Radiative Transfer Simulation in the Near-Space Region for a Point Source at High Temperature Based on a Monte Carlo Method
Abstract
1. Introduction
2. Materials and Methods
2.1. NRLMSIS, an Atmospheric Vertical-Profile Empirical Model
2.2. Molecular Absorption Databases
2.3. Monte Carlo Radiative Transfer Method
2.4. Statistical Metrics Used for Validation
3. Results
3.1. Comparison of the Monte Carlo and VLIDORT Approaches
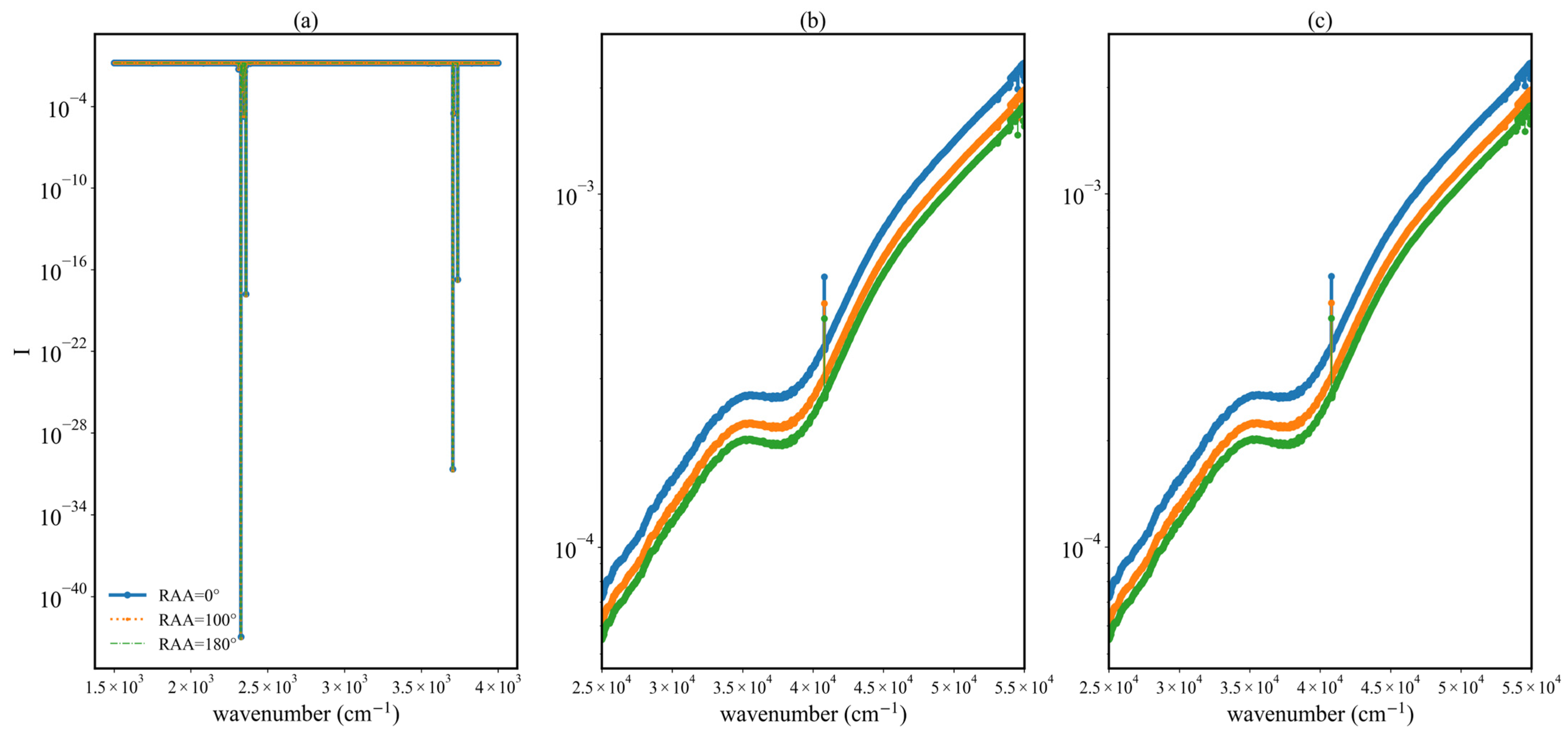
3.2. 1D Monte Carlo Simulation in 1800–4000 cm−1 and 25,000–55,000 cm−1
4. Discussion
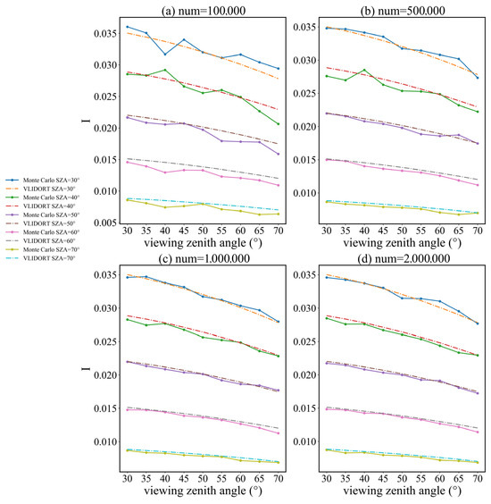
4.1. Influence of the Number of Photons on the Monte Carlo Method
4.2. 3D Monte Carlo Simulation with Point Sources for 1800–4000 cm−1 and 25,000–55,000 cm−1
5. Conclusions
Author Contributions
Funding
Data Availability Statement
Acknowledgments
Conflicts of Interest
Appendix A




References
- Niu, Q.; Yuan, Z.; Chen, B.; Dong, S. Infrared radiation characteristics of a hypersonic vehicle under time-varying angles of attack. Chin. J. Aeronaut. 2019, 32, 861–874. [Google Scholar] [CrossRef]
- Du, X.; Shi, Y.; Yang, Q.; Song, D.; Liu, X. Numerical Simulation of Spectral Radiation for Hypersonic Vehicles. Aerospace 2024, 11, 802. [Google Scholar] [CrossRef]
- Niu, Q.; He, Z.; Dong, S. Prediction of shock-layer ultraviolet radiation for hypersonic vehicles in near space. Chin. J. Aeronaut. 2016, 29, 1367–1377. [Google Scholar] [CrossRef]
- Ozawa, T.; Garrison, M.B.; Levin, D.A. Accurate Molecular and Soot Infrared Radiation Model for High-Temperature Flows. J. Thermophys. Heat Transf. 2007, 21, 19–27. [Google Scholar] [CrossRef]
- Nam, H.J.; Kwon, O.J. Infrared radiation modeling of NO, OH, CO, H2O, and CO2 for emissivity/radiance prediction at high temperature. Infrared Phys. Technol. 2014, 67, 283–291. [Google Scholar] [CrossRef]
- Kumar, N.; Bansal, A. Flow and radiation modeling over a Martian entry vehicle. Acta Astronaut. 2023, 205, 172–184. [Google Scholar] [CrossRef]
- Sziroczak, D.; Smith, H. A review of design issues specific to hypersonic flight vehicles. Prog. Aerosp. Sci. 2016, 84, 1–28. [Google Scholar] [CrossRef]
- Gorshkov, A.B. The simulation of ultraviolet radiation under conditions of re-entry of space vehicle from near-earth orbit. High Temp. 2010, 48, 12–22. [Google Scholar] [CrossRef]
- Jie, W.; Lu, B.; Tianjiao, Z.; Qiang, L.; Chaofan, X. Ultraviolet Radiation Characteristics of NO in Shock Layer of Hypersonic Vehicle. In Proceedings of the Sixteenth National Conference on Laser Technology and Optoelectronics, Shanghai, China, 3–6 June 2021; Volume 11907. [Google Scholar]
- Stamnes, K.; Tsay, S.-C.; Wiscombe, W.; Laszlo, I. DISORT, A General-Purpose Fortran Program for Discrete-Ordinate-Method Radiative Transfer in Scattering and Emitting Layered Media: Documentation of Methodology. 2000. Available online: http://www.rtatmocn.com/disort/docs/DISORTReport1.1.pdf (accessed on 7 January 2025).
- Spurr, R.J.D. VLIDORT: A linearized pseudo-spherical vector discrete ordinate radiative transfer code for forward model and retrieval studies in multilayer multiple scattering media. J. Quant. Spectrosc. Radiat. Transf. 2006, 102, 316–342. [Google Scholar] [CrossRef]
- Sun, B.; Gao, C.; Spurr, R. Scalar thermal radiation using the adding-doubling method. Opt. Express 2022, 30, 30075–30097. [Google Scholar] [CrossRef]
- Chen, Y.; Liou, K.N.; Gu, Y. An efficient diffusion approximation for 3D radiative transfer parameterization: Application to cloudy atmospheres. J. Quant. Spectrosc. Radiat. Transf. 2005, 92, 189–200. [Google Scholar] [CrossRef]
- Roger, M.; Caliot, C.; Crouseilles, N.; Coelho, P.J. A hybrid transport-diffusion model for radiative transfer in absorbing and scattering media. J. Comput. Phys. 2014, 275, 346–362. [Google Scholar] [CrossRef]
- Deutschmann, T.; Beirle, S.; Frieß, U.; Grzegorski, M.; Kern, C.; Kritten, L.; Platt, U.; Prados-Román, C.; Puķı¯te, J.; Wagner, T.; et al. The Monte Carlo atmospheric radiative transfer model McArtim: Introduction and validation of Jacobians and 3D features. J. Quant. Spectrosc. Radiat. Transf. 2011, 112, 1119–1137. [Google Scholar] [CrossRef]
- Zhai, P.-W.; Kattawar, G.W.; Yang, P. Impulse response solution to the three-dimensional vector radiative transfer equation in atmosphere-ocean systems. I. Monte Carlo method. Appl. Opt. 2008, 47, 1037–1047. [Google Scholar] [CrossRef]
- Saunders, R.; Rayer, P.; Brunel, P.; von Engeln, A.; Bormann, N.; Strow, L.; Hannon, S.; Heilliette, S.; Liu, X.; Miskolczi, F.; et al. A comparison of radiative transfer models for simulating Atmospheric Infrared Sounder (AIRS) radiances. J. Geophys. Res. Atmos. 2007, 112, D01S90. [Google Scholar] [CrossRef]
- Kotchenova, S.Y.; Vermote, E.F.; Levy, R.; Lyapustin, A. Radiative transfer codes for atmospheric correction and aerosol retrieval: Intercomparison study. Appl. Opt. 2008, 47, 2215–2226. [Google Scholar] [CrossRef] [PubMed]
- Kokhanovsky, A.A.; Budak, V.P.; Cornet, C.; Duan, M.; Emde, C.; Katsev, I.L.; Klyukov, D.A.; Korkin, S.V.; C.-Labonnote, L.; Mayer, B.; et al. Benchmark results in vector atmospheric radiative transfer. J. Quant. Spectrosc. Radiat. Transf. 2010, 111, 1931–1946. [Google Scholar] [CrossRef]
- Randles, C.A.; Kinne, S.; Myhre, G.; Schulz, M.; Stier, P.; Fischer, J.; Doppler, L.; Highwood, E.; Ryder, C.; Harris, B.; et al. Intercomparison of shortwave radiative transfer schemes in global aerosol modeling: Results from the AeroCom Radiative Transfer Experiment. Atmos. Chem. Phys. 2013, 13, 2347–2379. [Google Scholar] [CrossRef]
- Su, T.; Li, J.; Li, C.; Xiang, P.; Lau, A.K.H.; Guo, J.; Yang, D.; Miao, Y. An intercomparison of long-term planetary boundary layer heights retrieved from CALIPSO, ground-based lidar, and radiosonde measurements over Hong Kong. J. Geophys. Res. Atmos. 2017, 122, 3929–3943. [Google Scholar] [CrossRef]
- Ratynski, M.; Khaykin, S.; Hauchecorne, A.; Wing, R.; Cammas, J.-P.; Hello, Y.; Keckhut, P. Validation of Aeolus wind profiles using ground-based lidar and radiosonde observations at Réunion island and the Observatoire de Haute-Provence. Atmos. Meas. Tech. 2023, 16, 997–1016. [Google Scholar] [CrossRef]
- Costa-Surós, M.; Calbó, J.; González, J.A.; Long, C.N. Comparing the cloud vertical structure derived from several methods based on radiosonde profiles and ground-based remote sensing measurements. Atmos. Meas. Tech. 2014, 7, 2757–2773. [Google Scholar] [CrossRef]
- Hersbach, H.; Bell, B.; Berrisford, P.; Hirahara, S.; Horányi, A.; Muñoz-Sabater, J.; Nicolas, J.; Peubey, C.; Radu, R.; Schepers, D. The ERA5 global reanalysis. Q. J. R. Meteorol. Soc. 2020, 146, 1999–2049. [Google Scholar] [CrossRef]
- Tarek, M.; Brissette, F.P.; Arsenault, R. Evaluation of the ERA5 reanalysis as a potential reference dataset for hydrological modelling over North America. Hydrol. Earth Syst. Sci. 2020, 24, 2527–2544. [Google Scholar] [CrossRef]
- United States National Oceanic and Atmospheric Administration. US Standard Atmosphere, 1976; National Oceanic and Atmospheric Administration: Washington, DC, USA, 1976; Volume 76.
- Krueger, A.J.; Minzner, R.A. A mid-latitude ozone model for the 1976 US Standard Atmosphere. J. Geophys. Res. 1976, 81, 4477–4481. [Google Scholar] [CrossRef]
- Emmert, J.T.; Drob, D.P.; Picone, J.M.; Siskind, D.E.; Jones, M., Jr.; Mlynczak, M.G.; Bernath, P.F.; Chu, X.; Doornbos, E.; Funke, B. NRLMSIS 2.0: A whole-atmosphere empirical model of temperature and neutral species densities. Earth Space Sci. 2021, 8, e2020EA001321. [Google Scholar] [CrossRef]
- Picone, J.M.; Hedin, A.E.; Drob, D.P.; Aikin, A.C. NRLMSISE-00 empirical model of the atmosphere: Statistical comparisons and scientific issues. J. Geophys. Res. Space Phys. 2002, 107, SIA-15. [Google Scholar] [CrossRef]
- Licata, R.J.; Mehta, P.M.; Weimer, D.R.; Tobiska, W.K.; Yoshii, J. MSIS-UQ: Calibrated and enhanced NRLMSIS 2.0 model with uncertainty quantification. Space Weather 2022, 20, e2022SW003267. [Google Scholar] [CrossRef]
- Guo, Y.; Zhang, X.; Guo, F.; Yang, Y. Performance Analysis of NRLMSIS 2.1 Thermospheric Mass Density Model using GRACE-A and SWARM-C Observations. Adv. Space Res. 2024, 74, 2475–2491. [Google Scholar] [CrossRef]
- Virgili, B.B.; Lemmens, S.; Stevenson, E. The Impact of the New NRLMSIS 2.0 on Re-Entry Predictions. In Proceedings of the 8th European Conference on Space Debris, Online, 20–23 April 2021; pp. 20–23. [Google Scholar]
- Lean, J.; Picone, M.; Knowles, S.; Hedin, A.; Moore, G. Validating NRLMSIS Using Atmospheric Densities Derived from Spacecraft Drag: Starshine Example. In Proceedings of the AIAA/AAS Astrodynamics Specialist Conference and Exhibit, Monterey, CA, USA, 5–8 August 2002; p. 4736. [Google Scholar]
- Fried, A.; Richter, D. Infrared absorption spectroscopy. In Analytical Techniques for Atmospheric Measurement; Wiley-Blackwell: Hoboken, NJ, USA, 2006; pp. 72–146. [Google Scholar]
- Horvath, H. Atmospheric light absorption—A review. Atmos. Environ. Part A Gen. Top. 1993, 27, 293–317. [Google Scholar] [CrossRef]
- Bailey, J.; Simpson, A.; Crisp, D. Correcting infrared spectra for atmospheric transmission. Publ. Astron. Soc. Pac. 2007, 119, 228. [Google Scholar] [CrossRef]
- Clough, S.A.; Iacono, M.J.; Moncet, J.-L. Line-by-line calculations of atmospheric fluxes and cooling rates: Application to water vapor. J. Geophys. Res. Atmos. 1992, 97, 15761–15785. [Google Scholar] [CrossRef]
- Lacis, A.A.; Oinas, V. A description of the correlated k distribution method for modeling nongray gaseous absorption, thermal emission, and multiple scattering in vertically inhomogeneous atmospheres. J. Geophys. Res. Atmos. 1991, 96, 9027–9063. [Google Scholar] [CrossRef]
- Fu, Q.; Liou, K.N. On the Correlated k-Distribution Method for Radiative Transfer in Nonhomogeneous Atmospheres. J. Atmos. Sci. 1992, 49, 2139–2156. [Google Scholar] [CrossRef]
- Gordon, I.E.; Rothman, L.S.; Hargreaves, R.J.; Hashemi, R.; Karlovets, E.V.; Skinner, F.M.; Conway, E.K.; Hill, C.; Kochanov, R.V.; Tan, Y. The HITRAN2020 molecular spectroscopic database. J. Quant. Spectrosc. Radiat. Transf. 2022, 277, 107949. [Google Scholar] [CrossRef]
- Rothman, L.S.; Gordon, I.E.; Barber, R.J.; Dothe, H.; Gamache, R.R.; Goldman, A.; Perevalov, V.I.; Tashkun, S.A.; Tennyson, J. HITEMP, the high-temperature molecular spectroscopic database. J. Quant. Spectrosc. Radiat. Transf. 2010, 111, 2139–2150. [Google Scholar] [CrossRef]
- Delahaye, T.; Armante, R.; Scott, N.A.; Jacquinet-Husson, N.; Chédin, A.; Crépeau, L.; Crevoisier, C.; Douet, V.; Perrin, A.; Barbe, A. The 2020 edition of the GEISA spectroscopic database. J. Mol. Spectrosc. 2021, 380, 111510. [Google Scholar] [CrossRef]
- Keller-Rudek, H.; Moortgat, G.K.; Sander, R.; Sörensen, R. The MPI-Mainz UV/VIS spectral atlas of gaseous molecules of atmospheric interest. Earth Syst. Sci. Data 2013, 5, 365–373. [Google Scholar] [CrossRef]
- Schroeder, P.J.; Pfotenhauer, D.J.; Yang, J.; Giorgetta, F.R.; Swann, W.C.; Coddington, I.; Newbury, N.R.; Rieker, G.B. High temperature comparison of the HITRAN2012 and HITEMP2010 water vapor absorption databases to frequency comb measurements. J. Quant. Spectrosc. Radiat. Transf. 2017, 203, 194–205. [Google Scholar] [CrossRef]
- Tynes, H.H.; Kattawar, G.W.; Zege, E.P.; Katsev, I.L.; Prikhach, A.S.; Chaikovskaya, L.I.J.A.O. Monte Carlo and multicomponent approximation methods for vector radiative transfer by use of effective Mueller matrix calculations. Appl. Opt. 2001, 40, 400–412. [Google Scholar] [CrossRef]
- Lindfors, A.V.; Kujanpää, J.; Kalakoski, N.; Heikkilä, A.; Lakkala, K.; Mielonen, T.; Sneep, M.; Krotkov, N.A.; Arola, A.; Tamminen, J. The TROPOMI surface UV algorithm. Atmos. Meas. Tech. 2018, 11, 997–1008. [Google Scholar] [CrossRef]


















| The USSA1976 Profile Height Intervals | |
|---|---|
| 0~25 km | 1 km |
| 25~50 km | 2.5 km |
| 50~120 km | 5 km |
| The NRLMSIS model input parameters | |
| Date | UTC 1 June 2024 12:00 |
| Latitude | 45° |
| Longitude | 0° |
| Altitudes | 120, 140, 160, 180, 200, 300, 400, 500, 1000 |
| Daily F10.7 of the previous day of the given date | 150 |
| F10.7 running 81-day average centered on the given date | 150 |
| Daily Ap index | 7 |
| 3 h Ap index for current time | 7 |
| 3 h Ap index for 3 h before current time | 7 |
| 3 h Ap index for 6 h before current time | 7 |
| 3 h Ap index for 9 h before current time | 7 |
| Average of eight 3 h Ap indices from 12 to 33 h prior to current time | 7 |
| Average of eight 3 h Ap indices from 36 to 57 h prior to current time | 7 |
| Database | Gase | Wavelength Range (cm−1) | Data Type | |
|---|---|---|---|---|
| HITRAN | Ultraviolet (UV) | BrO, N2O, NO2, O3, OClO, SO2 | 25,927.0~54,999.9 | Mainly cross-section |
| Infrared (IR) | H2O, CO2, O3, N2O, CO, CH4, O2, NO, NO2, NH3, | 0.001~>10,000.0 | Line data | |
| HITEMP | UV | H2O, NO, OH | 25,000.0~43,409.0 | Line data |
| IR | H2O, CO2, N2O, CO, CH4, NO, NO2, OH | 0.0~>10,000.0 | Line data | |
| GEISA | UV | BrO, NO2, O3, OClO, SO2, O2 | 25,000.0~43,489.0 | Cross-section |
| IR | H2O, CO2, O3, N2O, CO, CH4, O2, NO, SO2, NO2 | 0.0~>10,000.0 | Line data | |
| MPI-Mainz | UV | BrO, N2O, NO2, O3, OClO, SO2, N2, NO, O2 | 25,000.0~>100,000.0 | Cross-section |
| IR | Not included | Not included | Not included |
| Parameter | Unit | Values |
|---|---|---|
| Solar zenith angle | degree | 30, 40, 50, 60, 70 |
| Viewing zenith angle | degree | 30, 40, 50, 60, 70 |
| Relative azimuth angle | degree | 0, 20, 40, …, 180 |
| Optical depth | − | 0.1, 1, 10, 50, 100 |
| Surface albedo | − | 0.5 |
| Single-scattering albedo | − | 0.999 |
| Comparison Experiment | Practical Simulation | Values |
|---|---|---|
| Solar zenith angle | Theta in | 30° |
| Viewing zenith angle | Theta out | 30° |
| Relative azimuth angle | Relative azimuth angle | 0°, 20°, 40°, …, 180° |
| Transmission Relative Error (%) | Transmission Absolute Relative Error (%) | Transmission MAE | Reflection RMSE | Reflection Relative Error (%) | Reflection Absolute Relative Error (%) | Reflection MAE | Reflection RMSE | |
|---|---|---|---|---|---|---|---|---|
| 0.1 | −0.411 | 0.818 | 0.0005 | 0.00345 | −0.209 | 0.236 | 0.0002 | 0.0002 |
| 1 | −0.792 | 1.024 | 0.012 | 0.103 | −0.826 | 0.894 | 0.0008 | 0.0009 |
| 10 | −0.973 | 1.164 | 0.0009 | 0.001 | −0.983 | 1.083 | 0.0013 | 0.0014 |
| 50 | −0.689 | 1.168 | 0.0004 | 0.0004 | −1.067 | 1.123 | 0.0016 | 0.0017 |
| 100 | −0.572 | 1.524 | 0.0003 | 0.0003 | −0.954 | 1.036 | 0.0015 | 0.0018 |
| Number of Photons | Transmission Relative Error (%) | Transmission Absolute Relative Error (%) | Transmission MAE | Transmission RMSE | Reflection Relative Error (%) | Reflection Absolute Relative Error (%) | Reflection MAE | Reflection RMSE |
|---|---|---|---|---|---|---|---|---|
| 100,000 | −1.990 | 4.650 | 0.0008 | 0.0010 | −0.879 | 1.384 | 0.0024 | 0.0029 |
| 500,000 | −1.153 | 2.149 | 0.0004 | 0.0005 | −0.914 | 1.111 | 0.0017 | 0.0020 |
| 1,000,000 | −0.848 | 1.511 | 0.0003 | 0.0003 | −0.923 | 1.006 | 0.0015 | 0.0018 |
| 1,500,000 | −0.869 | 1.336 | 0.0002 | 0.0003 | −0.979 | 1.011 | 0.0015 | 0.0016 |
| 2,000,000 | −0.919 | 1.318 | 0.0002 | 0.0003 | −0.985 | 1.020 | 0.0015 | 0.0016 |
Disclaimer/Publisher’s Note: The statements, opinions and data contained in all publications are solely those of the individual author(s) and contributor(s) and not of MDPI and/or the editor(s). MDPI and/or the editor(s) disclaim responsibility for any injury to people or property resulting from any ideas, methods, instructions or products referred to in the content. |
© 2025 by the authors. Licensee MDPI, Basel, Switzerland. This article is an open access article distributed under the terms and conditions of the Creative Commons Attribution (CC BY) license (https://creativecommons.org/licenses/by/4.0/).
Share and Cite
Liu, M.; Sun, B.; Lu, R. Radiative Transfer Simulation in the Near-Space Region for a Point Source at High Temperature Based on a Monte Carlo Method. Remote Sens. 2025, 17, 2769. https://doi.org/10.3390/rs17162769
Liu M, Sun B, Lu R. Radiative Transfer Simulation in the Near-Space Region for a Point Source at High Temperature Based on a Monte Carlo Method. Remote Sensing. 2025; 17(16):2769. https://doi.org/10.3390/rs17162769
Chicago/Turabian StyleLiu, Mingyang, Bingqiang Sun, and Rui Lu. 2025. "Radiative Transfer Simulation in the Near-Space Region for a Point Source at High Temperature Based on a Monte Carlo Method" Remote Sensing 17, no. 16: 2769. https://doi.org/10.3390/rs17162769
APA StyleLiu, M., Sun, B., & Lu, R. (2025). Radiative Transfer Simulation in the Near-Space Region for a Point Source at High Temperature Based on a Monte Carlo Method. Remote Sensing, 17(16), 2769. https://doi.org/10.3390/rs17162769

