Spatiotemporal Characteristics of and Factors Influencing CO2 Concentration During 2010–2023 in China
Abstract
1. Introduction
2. Data and Methodology
2.1. Data
2.2. Method
2.2.1. Correlation Analysis
2.2.2. Random Forest Model
3. Accuracy Validation of CO2 Observation Data
4. Spatiotemporal Distribution of CO2 Concentrations
4.1. Annual Changes
4.2. Multi-Year Seasonal Variation
5. Vertical Distribution of CO2
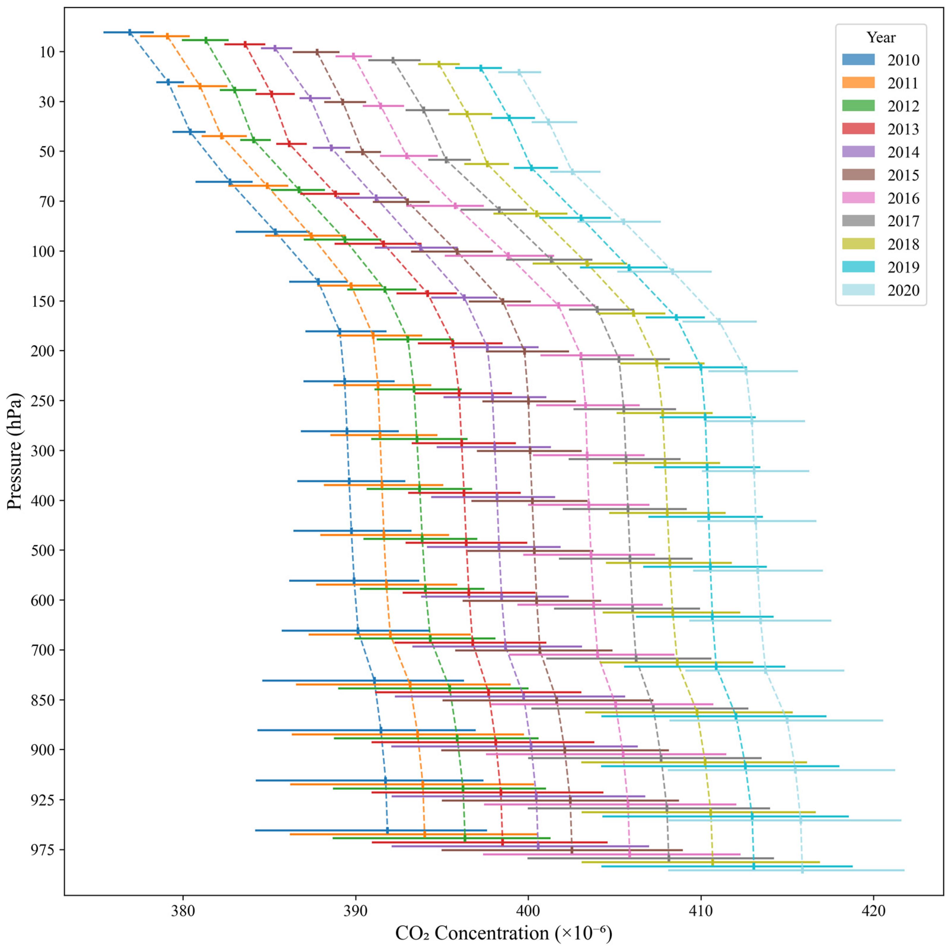
5.1. Multi-Year Vertical Distribution
5.2. Seasonal Vertical Distribution
5.3. Spatial Characteristics at Different Levels
6. Factors Influencing CO2 Concentration
7. Discussion
8. Conclusions
- (1)
- From 2010 to 2023, CO2 column concentrations showed a consistent annual increase over China, rising from 389.08 × 10−6 to 419.22 × 10−6. The spatial distribution exhibited a clear “east-high and west-low” pattern, with higher concentrations in industrialized eastern regions like north China, the Yangtze River Delta, and the Pearl River Delta and lower concentrations in western regions, including the Tibetan Plateau and Inner Mongolia.
- (2)
- CO2 concentrations reach their peak in spring (406.39 × 10−6) and their lowest value in summer (401.59 × 10−6). Northern and eastern China maintain relatively high concentrations year-round, while the Qinghai–Tibet Plateau consistently exhibits lower levels. During summer, the highest concentrations concentrate in the southeastern coastal regions, and the lowest concentrations occur in northeastern China.
- (3)
- Regarding the vertical profile of CO2, concentrations generally decrease with increasing altitude. However, during summer, strong photosynthetic activity reduces surface concentrations, leading to an increase in CO2 levels with increasing height below 200 hPa. Spatial distribution patterns of CO2 differ across vertical layers: higher concentration at the lower layer is located in eastern China, while southern China exhibits elevated CO2 levels at higher altitudes. Throughout the atmospheric column, the Qinghai–Tibet Plateau consistently maintains lower CO2 concentrations.
- (4)
- CO2 emissions are the dominant drivers of CO2 variation, with biosphere emissions contributing 24% and fossil fuel emissions contributing 23%. Temperature (13%) and fire emissions (12%) served as secondary climatic controls, while vegetation indices, precipitation, and wind speed played more modest modulating roles (each <10%). These driving factors exhibited significant spatial heterogeneity in their impacts across different regions of China.
Author Contributions
Funding
Data Availability Statement
Acknowledgments
Conflicts of Interest
Abbreviations
| OCO-2 | Orbiting Carbon Observatory 2 |
| GOSAT | Greenhouse Gases Observing Satellite |
| CO2 | carbon dioxide |
| LAI | leaf area index |
| FTS | Fourier transform spectrometer |
| TCCON | Total Carbon Column Observing Network |
| WLG | Waliguan global background station |
| HKG | Hong Kong |
| HKO | Hong Kong Observatory |
| WDCGG | World Data Centre for Greenhouse Gases |
| RF | random forest |
| MAE | mean absolute error |
| RMSE | root mean squared error |
| GAW | Global Atmosphere Watch |
References
- Calvin, K.; Dasgupta, D.; Krinner, G.; Mukherji, A.; Thorne, P.W.; Trisos, C.; Romero, J.; Aldunce, P.; Barrett, K.; Blanco, G.; et al. Climate Change 2023: Synthesis Report. Contribution of Working Groups I, II and III to the Sixth Assessment Report of the Intergovernmental Panel on Climate Change; Core Writing Team, Lee, H., Romero, J., Eds.; IPCC: Geneva, Switzerland, 2023. [Google Scholar]
- Ge, Y.; Xiao, Z. Analysis on the Spatial and Temporal Characteristics of CO2 Concentration in China Based on GOSAT Satellite. Environ. Monit. China 2022, 38, 96–108. [Google Scholar]
- Zhong, P. The New Situation of Global Climate Change and the New Potential of Climate Friendly Technologies. China Sustain. Trib. 2020, 10, 40–42. [Google Scholar]
- Lei, L.; Guan, X.; Zeng, Z.; Zhang, B.; Ru, F.; Bu, R. A Comparison of Atmospheric CO2 Concentration GOSAT-Based Observations and Model Simulations. Sci. China Earth Sci. 2014, 57, 1393–1402. [Google Scholar] [CrossRef]
- Gurney, K.R.; Law, R.M.; Denning, A.S.; Rayner, P.J.; Baker, D.; Bousquet, P.; Bruhwiler, L.; Chen, Y.-H.; Ciais, P.; Fan, S.; et al. Towards Robust Regional Estimates of CO2 Sources and Sinks Using Atmospheric Transport Models. Nature 2002, 415, 626–630. [Google Scholar] [CrossRef] [PubMed]
- Hungershoefer, K.; Breon, F.-M.; Peylin, P.; Chevallier, F.; Rayner, P.; Klonecki, A.; Houweling, S.; Marshall, J. Evaluation of Various Observing Systems for the Global Monitoring of CO2 Surface Fluxes. Atmos. Chem. Phys. 2010, 10, 10503–10520. [Google Scholar] [CrossRef]
- Rayner, P.J.; O’Brien, D.M. Correction to “The Utility of Remotely Sensed CO2 Concentration Data in Surface Source Inversions”. Geophys. Res. Lett. 2001, 28, 2429. [Google Scholar] [CrossRef]
- Houweling, S.; Breon, F.-M.; Aben, I.; Rödenbeck, C.; Gloor, M.; Heimann, M.; Ciais, P. Atmospheric Chemistry and Physics Inverse Modeling of CO2 Sources and Sinks Using Satellite Data: A Synthetic Inter-Comparison of Measurement Techniques and Their Performance as a Function of Space and Time. Atmos. Chem. Phys. 2004, 4, 523–538. [Google Scholar] [CrossRef]
- Miller, C.E.; Crisp, D.; DeCola, P.L.; Olsen, S.C.; Randerson, J.T.; Michalak, A.M.; Alkhaled, A.; Rayner, P.; Jacob, D.J.; Suntharalingam, P.; et al. Precision Requirements for Space-Based XCO2 Data. J. Geophys. Res. Atmos. 2007, 112, D10314. [Google Scholar] [CrossRef]
- Chevallier, F. Impact of Correlated Observation Errors on Inverted CO2 Surface Fluxes from OCO Measurements. Geophys. Res. Lett. 2007, 34, L24804. [Google Scholar] [CrossRef]
- Chen, L.; Zhang, Y.; Zou, M.; Xu, Q.; Li, L.; Li, X.; Tao, J. Overview of Atmospheric CO2 Remote Sensing from Space. Natl. Remote Sens. Bull. 2015, 19, 1–11. [Google Scholar] [CrossRef]
- Li, J.; Jia, K.; Wei, X.; Xia, M.; Chen, Z.; Yao, Y.; Zhang, X.; Jiang, H.; Yuan, B.; Tao, G.; et al. High-Spatiotemporal Resolution Mapping of Spatiotemporally Continuous Atmospheric CO2 Concentrations over the Global Continent. Int. J. Appl. Earth Obs. Geoinf. 2022, 108, 102743. [Google Scholar] [CrossRef]
- Yang, D.; Yang, X.; Wu, X. Spatio-Temporal Evolution Characteristics of Carbon Emissions from Energy Consumption and Its Driving Mechanism in Northeast China. Acta Sci. Circumstantiae 2018, 38, 4554–4564. [Google Scholar]
- Yin, S.; Wang, X.; Tani, H.; Zhang, X.; Zhong, G.; Sun, Z.; Chittenden, A.R. Analyzing Temporo-Spatial Changes and the Distribution of the CO2 Concentration in Australia from 2009 to 2016 by Greenhouse Gas Monitoring Satellites. Atmos. Environ. 2018, 192, 1–12. [Google Scholar] [CrossRef]
- Imasu, R.; Tanabe, Y. Diurnal and Seasonal Variations of Carbon Dioxide (CO2) Concentration in Urban, Suburban, and Rural Areas around Tokyo. Atmosphere 2018, 9, 367. [Google Scholar] [CrossRef]
- Deng, A.; Guo, H.; Hu, J.; Jiang, C.; Liu, P.; Jing, H. Temporal and Distribution Characteristic of CO2 Concentration over China Based on GOSAT Satellite Data. Natl. Remote Sens. Bull. 2020, 24, 319–325. [Google Scholar] [CrossRef]
- Lv, Z.; Shi, Y.; Zang, S.; Sun, L. Spatial and Temporal Variations of Atmospheric CO2 Concentration in China and Its Influencing Factors. Atmosphere 2020, 11, 231. [Google Scholar] [CrossRef]
- Lv, Y.; Ma, Y.; Li, H.; Ding, Y.; Meng, Q.; Guo, J. Analysis of Spatiotemporal Patterns of Atmospheric CO2 Concentration in the Yellow River Basin over the Past Decade Based on Time-Series Remote Sensing Data. Environ. Sci. Pollut. Res. Int. 2023, 30, 115745–115757. [Google Scholar] [CrossRef] [PubMed]
- Gao, Y.; Liu, S.; Hu, N.; Wang, S.; Deng, L.; Yu, Z.; Zhang, Z.; Li, X. Direct Observation on the Temporal and Spatial Patterns of the CO2 Concentration in the Atmospheric of Nanjing Urban Canyon in Summe. Environ. Sci. 2015, 36, 2367–2373. [Google Scholar]
- Liu, X.; Cheng, X.; Hu, F. Gradient Characteristics of CO2 Concentration and Flux in Beijing Urban Area Part I: Concentration and Virtual Temperature. Chin. J. Geophys. 2015, 58, 1502–1512. (In Chinese) [Google Scholar]
- Sun, P.; Yuan, K.; Hu, S.; Huang, J. Statistical Analysis of Lower-Troposphere CO2 Vertical Distribution Measured by Raman Lidar in Hefei Western Suburb. Guangxue Xuebao/Acta Opt. Sin. 2016, 36, 1101001. [Google Scholar] [CrossRef]
- Xiao, J.; Xie, B.; Zhou, K.; Li, J.; Xie, J.; Liang, C. Contributions of Climate Change, Vegetation Growth, and Elevated Atmospheric CO2 Concentration to Variation in Water Use Efficiency in Subtropical China. Remote Sens. 2022, 14, 4296. [Google Scholar] [CrossRef]
- Chen, X.; He, Q.; Ye, T.; Liang, Y.; Li, Y. Decoding Spatiotemporal Dynamics in Atmospheric CO2 in Chinese Cities: Insights from Satellite Remote Sensing and Geographically and Temporally Weighted Regression Analysis. Sci. Total Environ. 2024, 908, 167917. [Google Scholar] [CrossRef] [PubMed]
- Yurak, V.V.; Fedorov, S.A. Review of Natural and Anthropogenic Emissions of Carbon Dioxide into the Earth’s Atmosphere. Int. J. Environ. Sci. Technol. 2025, 22, 2719–2736. [Google Scholar] [CrossRef]
- Mustafa, F.; Bu, L.; Wang, Q.; Ali, M.A.; Bilal, M.; Shahzaman, M.; Qiu, Z. Multi-Year Comparison of CO2 Concentration from NOAA Carbon Tracker Reanalysis Model with Data from GOSAT and OCO-2 over Asia. Remote Sens. 2020, 12, 2498. [Google Scholar] [CrossRef]
- Zhu, W.; Zhang, H.; Zhang, X.; Guo, H.; Liu, Y. Evaluating the Spatiotemporal Variations in Atmospheric CO2 Concentrations in China and Identifying Factors Contributing to Its Increase. Atmos. Pollut. Res. 2025, 16, 102458. [Google Scholar] [CrossRef]
- Wu, D.; Yue, Y.; Jing, J.; Liang, M.; Sun, W.; Han, G.; Lou, M. Background Characteristics and Influence Analysis of Greenhouse Gases at Jinsha Atmospheric Background Station in China. Atmosphere 2023, 14, 1541. [Google Scholar] [CrossRef]
- Song, X.; Duan, X.; Peng, X.; Yin, Y.; Li, X. Study on Screening and Concentration Characteristics of Atmospheric CO2 Data from Shangri La Regional Atmospheric Background Station. J. Agric. Catastrophology 2025, 15, 170–172. [Google Scholar]
- Cohen, H.W. P Values: Use and Misuse in Medical Literature. Am. J. Hypertens. 2011, 24, 18–23. [Google Scholar] [CrossRef] [PubMed]
- Brereton, R.G. The Use and Misuse of p Values and Related Concepts. Chemom. Intell. Lab. Syst. 2019, 195, 103884. [Google Scholar] [CrossRef]
- Huang, K.; Xiao, Q.; Meng, X.; Geng, G.; Wang, Y.; Lyapustin, A.; Gu, D.; Liu, Y. Predicting Monthly High-Resolution PM2.5 Concentrations with Random Forest Model in the North China Plain. Environ. Pollut. 2018, 242, 675–683. [Google Scholar] [CrossRef] [PubMed]
- Zheng, L.; Lin, R.; Wang, X.; Chen, W. The Development and Application of Machine Learning in Atmospheric Environment Studies. Remote Sens. 2021, 13, 4839. [Google Scholar] [CrossRef]
- Meng, F.; Tan, Y.; Bu, Y. Target Aggregation Regression Based on Random Forests. Procedia Comput. Sci. 2022, 199, 517–523. [Google Scholar] [CrossRef]
- Tsigaridis, K.; Daskalakis, N.; Kanakidou, M.; Adams, P.J.; Artaxo, P.; Bahadur, R.; Balkanski, Y.; Bauer, S.E.; Bellouin, N.; Benedetti, A.; et al. The AeroCom Evaluation and Intercomparison of Organic Aerosol in Global Models. Atmos. Chem. Phys. 2014, 14, 10845–10895. [Google Scholar] [CrossRef]
- Chicco, D.; Warrens, M.J.; Jurman, G. The Coefficient of Determination R-Squared Is More Informative than SMAPE, MAE, MAPE, MSE and RMSE in Regression Analysis Evaluation. PeerJ Comput. Sci. 2021, 7, e623. [Google Scholar] [CrossRef] [PubMed]
- Wunch, D.; Toon, G.C.; Blavier, J.F.L.; Washenfelder, R.A.; Notholt, J.; Connor, B.J.; Griffith, D.W.T.; Sherlock, V.; Wennberg, P.O. The Total Carbon Column Observing Network. Philos. Trans. R. Soc. A Math. Phys. Eng. Sci. 2011, 369, 2087–2112. [Google Scholar] [CrossRef] [PubMed]
- Zhou, L.; Zhou, X.; Zhang, X.; Wen, Y.; Yan, P. Progress in the Study of Background Greenhouse Gases at Waliguan Observatory. Acta Meteorol. Sin. 2007, 65, 458–468. [Google Scholar]
- Lin, B.; Liu, X. China’s Carbon Dioxide Emissions under the Urbanization Process: Influence Factors and Abatement Policies. Econ. Res. J. 2010, 8, 66–78. [Google Scholar]
- Zhao, H.; You, A.; Yang, W.; Wang, D. China Regional Economic Development Report (2015–2016); Social Sciences Academic Press: Beijing, China, 2016; ISBN 9787509790878. [Google Scholar]
- Wang, K.; Lv, C. Achievements and Prospect of China’s National Carbon Market Construction (2024). J. Beijing Inst. Technol. Soc. Sci. Ed. 2024, 26, 16–27. [Google Scholar]
- Zhang, Z.; Yu, Y.; Wang, D.; Kharrazi, A.; Ren, H.; Zhou, W.; Ma, T. Socio-Economic Drivers of Rising CO2 Emissions at the Sectoral and Sub-Regional Levels in the Yangtze River Economic Belt. J. Environ. Manag. 2021, 290, 112617. [Google Scholar] [CrossRef] [PubMed]
- Pérez, I.A.; Sánchez, M.L.; García, M.Á.; Pardo, N.; Fernández-Duque, B. The Influence of Meteorological Variables on CO2 and CH4 Trends Recorded at a Semi-Natural Station. J. Environ. Manag. 2018, 209, 37–45. [Google Scholar] [CrossRef] [PubMed]
- Ge, F.; Li, J.; Zhang, Y.; Ye, S.; Han, P. Impacts of Energy Structure on Carbon Emissions in China, 1997–2019. Int. J. Environ. Res. Public Health 2022, 19, 5850. [Google Scholar] [CrossRef] [PubMed]
- Nie, H.; Mo, J. Spatiotemporal Dynamics of Carbon Dioxide Emissions Distribution in China: A Study Utilizing Input-Output Theor. Soc. Sci. Front. 2024, 7, 80–92. [Google Scholar]
- Hao, R.; Wei, W.; Liu, C.; Xie, B.; Du, H. Spatialization and Spatio-Temporal Dynamics of Energy Consumption Carbon Emissions in China. Environ. Sci. 2022, 43, 5305–5314. [Google Scholar]
- Wei, Y.; Xie, Z. Investigation of the Historical Context of the Development and Revitalization of the Industrial Economy in Northeast China after the Founding of the People’s Republic of China. Liaoning Econ. 2024, 11, 64–66. [Google Scholar]
- Li, S. The Impact of Industrial Structure Upgrading on My Country’s Carbon Emission Reduction from the Perspective of High-Quality Development. Sustain. Dev. 2021, 11, 149–159. [Google Scholar] [CrossRef]
- Mu, X.; Fan, Z.; Tong, X. On the Impact and Countermeasures of Population Loss on Economy in Northeast China. J. Hainan Norm. Univ. 2025, 1, 113–120. [Google Scholar]
- Yang, S.; Wang, F.; Liu, N. Assessment of the Air Pollution Prevention and Control Action Plan in China: A Difference-in-Difference Analysis. China Popul. Resour. Environ. 2020, 30, 110–117. [Google Scholar]
- Xu, B.; Fan, M.; Chen, L.; Jiang, T.; Tao, J.; Cheng, L.; Ji, X.; Wu, W. Analysis of Temporal and Spatial Characteristics and Influonling Factors of Crop Residue Burning in Major Agricultural Areas from 2013 to 2017. Yaogan Xuebao/J. Remote Sens. 2020, 24, 1221–1232. [Google Scholar] [CrossRef]
- Xie, H.; Du, L.; Liu, S.; Chen, L.; Gao, S.; Liu, S.; Pan, H.; Tong, X. Dynamic Monitoring of Agricultural Fires in China from 2010 to 2014 Using MODIS and GlobeLand30 Data. ISPRS Int. J. Geoinf. 2016, 5, 172. [Google Scholar] [CrossRef]
- Zhuang, Y.; Li, R.; Yang, H.; Chen, D.; Chen, Z.; Gao, B.; He, B. Understanding Temporal and Spatial Distribution of Crop Residue Burning in China from 2003 to 2017 Using MODIS Data. Remote Sens. 2018, 10, 390. [Google Scholar] [CrossRef]
- Ren, H. Implementing Clean Energy Action to Improve Air Quality in China. Environ. Impact Assess. 2014, 4, 28–30. [Google Scholar]
- Zhou, M.; Liu, H.; Peng, L.; Qin, Y.; Chen, D.; Zhang, L.; Mauzerall, D.L. Environmental Benefits and Household Costs of Clean Heating Options in Northern China. Nat. Sustain. 2022, 5, 329–338. [Google Scholar] [CrossRef]
- Meng, W.; Zhong, Q.; Chen, Y.; Shen, H.; Yun, X.; Smith, K.R.; Li, B.; Liu, J.; Wang, X.; Ma, J.; et al. Energy and Air Pollution Benefits of Household Fuel Policies in Northern China. Proc. Natl. Acad. Sci. USA 2019, 116, 16773–16780. [Google Scholar] [CrossRef] [PubMed]
- Fang, P.; Zhang, W.; Song, L.L.; Xu, Z.; Wu, Z.M.; Lei, Z.Y.; Hu, T.J.; Li, M.Y.; Chen, L.; Li, J.S. Benefit Assessment of Mercury Emission Reductions under the Cleaner Heating Policy for the Rural Households in Northern China. Zhongguo Huanjing Kexue/China Environ. Sci. 2023, 43, 981–992. [Google Scholar]
- Wang, J.; Xu, Y.; Ding, F.; Gao, X.; Li, S.; Sun, L.; An, T.; Pei, J.; Li, M.; Wang, Y.; et al. Process of Plant Residue Transforming into Soil Organic Matter and Mechanism of Its Stabilization: A Review. Acta Pedol. Sin. 2019, 56, 528–540. [Google Scholar] [CrossRef]
- Li, X.; Zhang, Z.; Dang, Z.; Wang, C. Effects of Drought on Soil Microorganism and Its Relationship with Carbon Dynamics. J. Shanxi Agric. Sci. 2018, 46, 402–406. [Google Scholar]
- Luo, Y. Response of Soil Microorganism to Elevated Atmospheric CO2 Concentration. Ecol. Environ. 2003, 12, 357–360. [Google Scholar]
- Dong, W. Analysis of the Situation of Pollution Reduction in China in the Late Stage of the Eleventh Five Year Plan. Environ. Pollut. Control 2008, 11, 99–100+107. [Google Scholar]
- Parazoo, N.C.; Koven, C.D.; Lawrence, D.M.; Romanovsky, V.; Miller, C.E. Detecting the Permafrost Carbon Feedback: Talik Formation and Increased Cold-Season Respiration as Precursors to Sink-to-Source Transitions 2017. Cryosphere 2017, 12, 123–144. [Google Scholar] [CrossRef]
- Zhang, Y.; Niu, J.; Xin, B.; Wang, M.; Guo, J. Temporal and Spatial Differences and Influencing Factors of Urban Carbon Emissions in Bohai Rim Region. J. Hebei Acad. Sci. 2024, 6, 15–24. [Google Scholar]
- Xie, X. Study on the interactions of air pollution, vegetation and carbon dioxide in China. Master’s Thesis, Nanjing University, Nanjing, China, 2020. [Google Scholar]
- Chao, B.; Bao, G.; Yuan, Z.; Wen, D.; Tong, S.; Guo, E.; Huang, X. Sensitivity of the Peaking Time of the Growing Season and Peak EVI to Climate at the Middle and High Latitudes of the Northern Hemisphere during 2001–2020. Prog. Geogr. 2023, 42, 1809–1824. [Google Scholar] [CrossRef]
- Randerson, J.T.; Thompson, M.V.; Conway, T.J.; Fung, I.Y.; Field, C.B. The Contribution of Terrestrial Sources and Sinks to Trends in the Seasonal Cycle of Atmospheric Carbon Dioxide. Glob. Biogeochem. Cycles 1997, 11, 535–560. [Google Scholar] [CrossRef]
- Kuttippurath, J.; Peter, R.; Singh, A.; Raj, S. The Increasing Atmospheric CO2 over India: Comparison to Global Trends. iScience 2022, 25, 104863. [Google Scholar] [CrossRef] [PubMed]
- Liu, D.; Lei, L.; Guo, L.; Zeng, Z.C. A Cluster of CO2 Change Characteristics with GOSAT Observations for Viewing the Spatial Pattern of CO2 Emission and Absorption. Atmosphere 2015, 6, 1695–1713. [Google Scholar] [CrossRef]
- Wang, S.; Zhou, C.; Li, G.; Feng, K. CO2, Economic Growth, and Energy Consumption in China’s Provinces: Investigating the Spatiotemporal and Econometric Characteristics of China’s CO2 Emissions. Ecol. Indic. 2016, 69, 184–195. [Google Scholar] [CrossRef]
- Zhao, M.; Lv, L.; Zhang, B.; Luo, H. Dynamic Relationship Among Energy Consumption, Economic Growth and Carbon Emissions in China. Res. Environ. Sci. 2021, 34, 1509–1522. [Google Scholar]
- Li, Y.; Deng, J.; Mu, C.; Xing, Z.; Du, K. Vertical Distribution of CO2 in the Atmospheric Boundary Layer: Characteristics and Impact of Meteorological Variables. Atmos. Environ. 2014, 91, 110–117. [Google Scholar] [CrossRef]
- Friedlingstein, P.; O’Sullivan, M.; Jones, M.W.; Andrew, R.M.; Bakker, D.C.E.; Hauck, J.; Landschützer, P.; Le Quéré, C.; Luijkx, I.T.; Peters, G.P.; et al. Global Carbon Budget 2023. Earth Syst. Sci. Data 2023, 15, 5301–5369. [Google Scholar] [CrossRef]
- Machida, T.; Kita, K.; Kondo, Y.; Blake, D.; Kawakami, S.; Inoue, G.; Ogawa, T. Vertical and Meridional Distributions of the Atmospheric CO2 Mixing Ratio between Northern Midlatitudes and Southern Subtropics. J. Geophys. Res. Atmos. 2002, 107, BIB 5-1–BIB 5-9. [Google Scholar] [CrossRef]
- He, Z.; Lei, L.; Zeng, Z.-C.; Sheng, M.; Welp, L.R. Evidence of Carbon Uptake Associated with Vegetation Greening Trends in Eastern China. Remote Sens. 2020, 12, 718. [Google Scholar] [CrossRef]
- Esteki, K.; Prakash, N.; Li, Y.; Mu, C.; Du, K. Seasonal Variation of CO2 Vertical Distribution in the Atmospheric Boundary Layer and Impact of Meteorological Parameters. Int. J. Environ. Res. 2017, 11, 707–721. [Google Scholar] [CrossRef]
- Zhang, M.; Zhang, X.; Liu, R. Study on the Accuracy of Satellite Hyperspectral Atmospheric CO2 Remote Sensing Retrieval and Ground-Based Verification. Adv. Clim. Change Res. 2014, 10, 427–432. [Google Scholar]
- Wang, Z.; Cui, C.; Peng, S. How Do Urbanization and Consumption Patterns Affect Carbon Emissions in China? A Decomposition Analysis. J. Clean. Prod. 2019, 211, 1201–1208. [Google Scholar] [CrossRef]
- Sun, M.; Zhang, J.; Qu, Y. The Impact of Urban Heat Island Effect on Urban and Rural Pollutant Transport. Rural. Econ. Sci.-Technol. 2021, 22, 28–30. [Google Scholar]
- Diallo, M.; Legras, B.; Ray, E.; Engel, A.; Añel, J.A. Global Distribution of CO2 in the Upper Troposphere and Stratosphere. Atmos. Chem. Phys. 2017, 17, 3861–3878. [Google Scholar] [CrossRef]
- Zhuo, G.; Xu, X.; Chen, L. Dynamical Effect of Boundary Layer Characteristics of Tibetan Plateau on General Circulation. J. Appl. Meteorol. Sci. 2002, 13, 163–169. [Google Scholar]
- Long, Q.; Jin, R.; Xiao, T.; Yang, N.; Liu, S. Analysis of the Characteristics of the East Asian Subtropical Westerly Jet under Different Scales in Summer. J. Trop. Meterology 2017, 6, 1000–1008. [Google Scholar]
- Wang, J.; Feng, L.; Palmer, P.I.; Liu, Y.; Fang, S.; Bösch, H.; O’Dell, C.W.; Tang, X.; Yang, D.; Liu, L.; et al. Large Chinese Land Carbon Sink Estimated from Atmospheric Carbon Dioxide Data. Nature 2020, 586, 720–723. [Google Scholar] [CrossRef] [PubMed]
- Mavi, M.S.; Marschner, P.; Chittleborough, D.J.; Cox, J.W.; Sanderman, J. Salinity and Sodicity Affect Soil Respiration and Dissolved Organic Matter Dynamics Differentially in Soils Varying in Texture. Soil Biol. Biochem. 2012, 45, 8–13. [Google Scholar] [CrossRef]
- Ye, J.; Yuan, Y.; Cai, L.; Wang, X. Research Progress of Phylogeographic Studies of Plant Species in Temperate Coniferous and Broadleaf Mixed Forests in Northeastern China. Biodivers. Sci. 2017, 25, 1339–1349. [Google Scholar] [CrossRef]
- Fang, Y.; Liu, D.; Duan, Y.; Huang, K.; Wang, W.; Qin, Y.J.; Wang, A.; Wang, C.; Liu, Y.; Tu, Y. Effects of Climate Warming on Carbon Sink of Forest Ecosystems: Mechanisms, Methods, and Progresses. Chin. J. Ecol. 2024, 43, 2551–2565. [Google Scholar]
- Gao, Z.; Sun, L.; Wang, L.; Li, W.; Song, B.; Zhang, L.; Du, C. Causes, Harms and Control Measures of Waterlogging in Heilongjiang Province. Heilongjiang Agric. Sci. 2019, 11, 142–148. [Google Scholar]
- Xie, M.; Wang, T.; Gao, D.; Li, S.; Zhuang, B.; Liu, Z. Impact of Anomalous East Asian Winter Monsoon on the Spatial Distribution of Aerosols over East Asia. Clim. Environ. Res. 2021, 26, 438–448. [Google Scholar]
- Fan, D.; Yang, X.; Wu, X.; Zhou, J.; Ru, Y. Spatial-Temporal Differentiation of Agro-Ecosystem Carbon Emissions in Northeast China and Its Driving Factors. Acta Sci. Circumstantiae 2017, 37, 2797–2804. [Google Scholar]
- Cheng, Z.; Wang, W. The Relationship Betwee Carbon Dioxide and Biosphere: The Third of the Global Green House Approaching Series. Res. Environ. Sci. 1990, 3, 38–44. [Google Scholar]
- Chou, W.C.; Gong, G.C.; Hung, C.C.; Wu, Y.H. Carbonate Mineral Saturation States in the East China Sea: Present Conditions and Future Scenarios. Biogeosciences 2013, 10, 6453–6467. [Google Scholar] [CrossRef]
- Liu, S.; Liang, J.; Jiang, Z.; Li, J.; Wu, Y.; Fang, Y.; Ren, Y.; Zhang, X.; Huang, X.; Macreadie, P.I. Temporal and Spatial Variations of Air-Sea CO2 Fluxes and Their Key Influence Factors in Seagrass Meadows of Hainan Island, South China Sea. Sci. Total Environ. 2024, 910, 168684. [Google Scholar] [CrossRef] [PubMed]
- Chen, Y.; Wang, S.; He, W. Global Air-Sea CO2 Flux Inversion Based on Multi-Source Data Fusion and Machine Learning. Chaos Solitons Fractals 2025, 192, 115963. [Google Scholar] [CrossRef]
- Yamuza-Magdaleno, A.; Jiménez-Ramos, R.; Cavijoli-Bosch, J.; Brun, F.G.; Egea, L.G. Ocean Acidification and Global Warming May Favor Blue Carbon Service in a Cymodocea Nodosa Community by Modifying Carbon Metabolism and Dissolved Organic Carbon Fluxes. Mar. Pollut. Bull. 2025, 212, 117501. [Google Scholar] [CrossRef] [PubMed]
- Peters, W.; Jacobson, A.R.; Sweeney, C.; Andrews, A.E.; Conway, T.J.; Masarie, K.; Miller, J.B.; Bruhwiler, L.M.P.; Pétron, G.; Hirsch, A.I.; et al. An Atmospheric Perspective on North American Carbon Dioxide Exchange: CarbonTracker. Proc. Natl. Acad. Sci. USA 2007, 104, 18925–18930. [Google Scholar] [CrossRef] [PubMed]
- Feng, T.; Zhou, W.; Wu, S.; Niu, Z.; Cheng, P.; Xiong, X.; Li, G. High-Resolution Simulation of Wintertime Fossil Fuel CO2 in Beijing, China: Characteristics, Sources, and Regional Transport. Atmos. Environ. 2019, 198, 226–235. [Google Scholar] [CrossRef]












| Site | Average Deviation d/(×10−6) | Standard Deviation of Deviation S/(×10−6) | Correlation Coefficient r | Slope k | Intercept b | Sample Size n |
|---|---|---|---|---|---|---|
| Hefei | −0.2054 | 1.7590 | 0.9579 | 0.9774 | 9.0886 | 89 |
| Xianghe | −0.6525 | 1.4082 | 0.9710 | 1.1113 | −46.8210 | 58 |
| WLG | −2.4223 | 3.1415 | 0.9493 | 0.9537 | 16.3080 | 149 |
| HKO | −11.4394 | 10.2034 | 0.8343 | 0.5031 | 195.7700 | 164 |
| HKG | −4.0315 | 9.3329 | 0.8494 | 0.5032 | 200.5100 | 142 |
| LLN | 0.1338 | 2.5275 | 0.9774 | 0.8794 | 49.1150 | 162 |
| XGLL | −1.7951 | 2.3388 | 0.8650 | 0.7643 | 95.1690 | 60 |
| AKDL | −3.8595 | 6.4396 | 0.7745 | 0.5531 | 175.4900 | 109 |
| Total | −3.0340 | 4.6439 | 0.8974 | 0.7807 | 86.8287 | 933 |
| Site | Average Deviation d/(×10−6) | Standard Deviation of Deviation S/(×10−6) | Correlation Coefficient r | Slope k | Intercept b | Sample Size n |
|---|---|---|---|---|---|---|
| Hefei | −1.7380 | 1.1484 | 0.9721 | 0.9329 | 25.6600 | 404 |
| Xianghe | −2.5926 | 1.9074 | 0.8596 | 0.9639 | 94.8870 | 816 |
| WLG | −4.5172 | 2.4126 | 0.9680 | 0.8671 | 49.8140 | 3741 |
| HKO | −11.7944 | 12.4882 | 0.6834 | 0.3400 | 260.8100 | 4269 |
| HKG | −4.1292 | 10.8409 | 0.7199 | 0.3748 | 249.9400 | 3853 |
| LLN | −2.2902 | 2.7374 | 0.9764 | 0.7684 | 90.8850 | 130 |
| XGLL | −3.1290 | 2.0319 | 0.8945 | 0.6387 | 145.0800 | 48 |
| AKDL | −5.8024 | 6.7609 | 0.7571 | 0.4950 | 197.0000 | 112 |
| Total | −5.4126 | 5.2557 | 0.8370 | 0.6232 | 157.0884 | 13421 |
Disclaimer/Publisher’s Note: The statements, opinions and data contained in all publications are solely those of the individual author(s) and contributor(s) and not of MDPI and/or the editor(s). MDPI and/or the editor(s) disclaim responsibility for any injury to people or property resulting from any ideas, methods, instructions or products referred to in the content. |
© 2025 by the authors. Licensee MDPI, Basel, Switzerland. This article is an open access article distributed under the terms and conditions of the Creative Commons Attribution (CC BY) license (https://creativecommons.org/licenses/by/4.0/).
Share and Cite
Zou, J.; Jiang, H.; Yang, T.; Wu, L.; Zhang, Q.; Xu, J. Spatiotemporal Characteristics of and Factors Influencing CO2 Concentration During 2010–2023 in China. Remote Sens. 2025, 17, 2542. https://doi.org/10.3390/rs17152542
Zou J, Jiang H, Yang T, Wu L, Zhang Q, Xu J. Spatiotemporal Characteristics of and Factors Influencing CO2 Concentration During 2010–2023 in China. Remote Sensing. 2025; 17(15):2542. https://doi.org/10.3390/rs17152542
Chicago/Turabian StyleZou, Jiayi, Huaixu Jiang, Tianshun Yang, Liqing Wu, Qi Zhang, and Jianjun Xu. 2025. "Spatiotemporal Characteristics of and Factors Influencing CO2 Concentration During 2010–2023 in China" Remote Sensing 17, no. 15: 2542. https://doi.org/10.3390/rs17152542
APA StyleZou, J., Jiang, H., Yang, T., Wu, L., Zhang, Q., & Xu, J. (2025). Spatiotemporal Characteristics of and Factors Influencing CO2 Concentration During 2010–2023 in China. Remote Sensing, 17(15), 2542. https://doi.org/10.3390/rs17152542

