Contributions of Dust and Non-Dust Weather to Dust Emissions: A Case Study from the Central Taklimakan Desert
Abstract
1. Introduction
2. Materials and Methods
2.1. Study Area and Dataset
2.2. Dust Emissions from Dust Weather and Gusts
2.3. Dust Emissions from Dust Devils
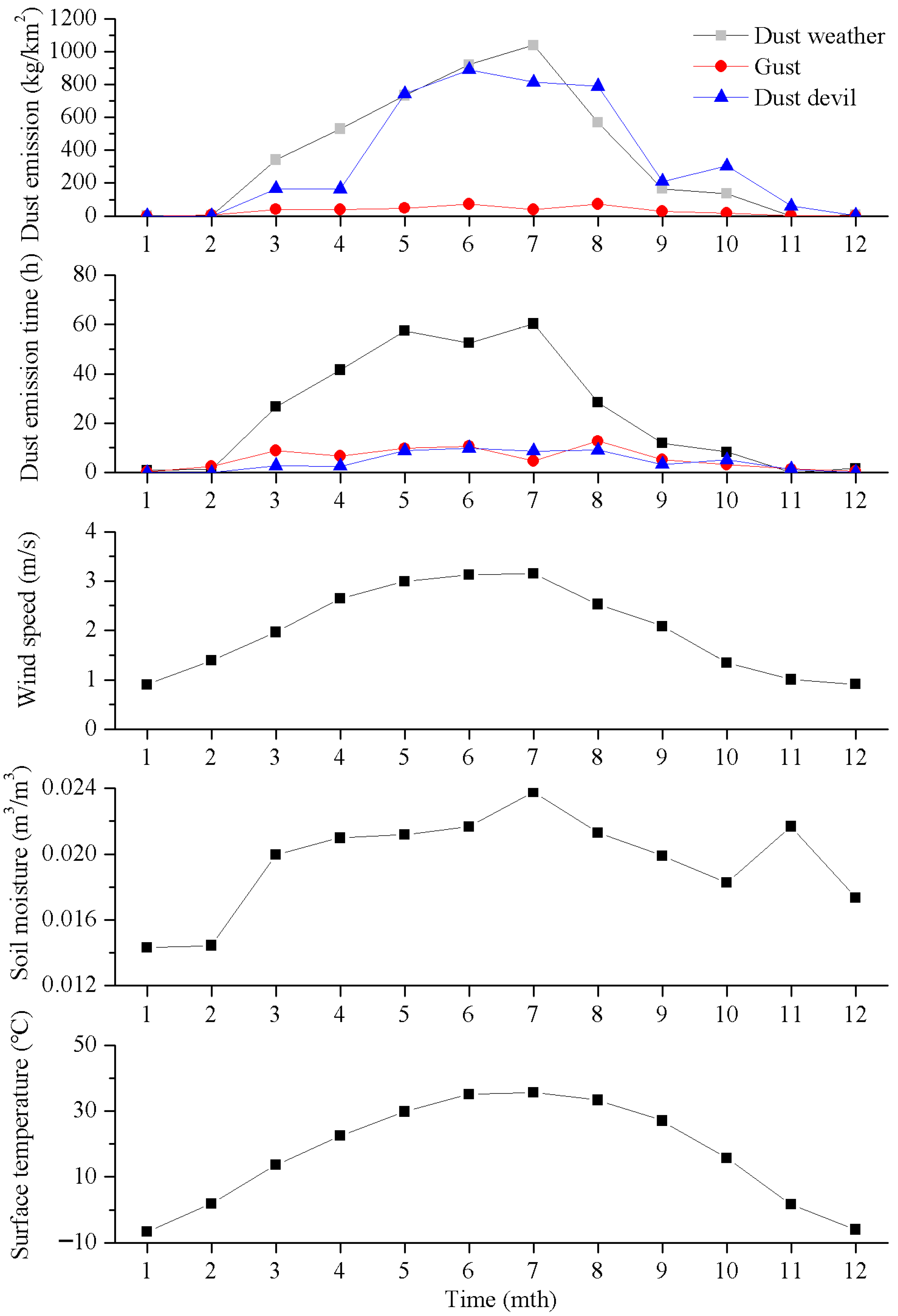
3. Results
3.1. Dust Emissions for Dust Events, Gusts, and Dust Devils
3.2. Dust Aerosols from Dust and Non-Dust Weather
4. Discussion
5. Conclusions
Author Contributions
Funding
Data Availability Statement
Acknowledgments
Conflicts of Interest
References
- Exequel, E. Global Deserts Outlook; United Nations Environment Programme: Nairobi, Kenya, 2006; pp. 1–5. [Google Scholar]
- Tyagi, B.K. Desert Malaria; Springer: Berlin, Germany, 2023; pp. 1–21. [Google Scholar]
- Han, Y.X.; Zhao, T.L.; Song, L.C.; Fang, X.M.; Yin, Y.; Deng, Z.Q.; Wang, S.P.; Fan, S.X. A linkage between Asian dust, dissolved iron and marine export production in the deep ocean. Atmos. Environ. 2011, 45, 4291–4298. [Google Scholar] [CrossRef]
- Martin, J.H.; Fitzwater, S.E. Iron deficiency limits phytoplankton growth in the north-east Pacific subarctic. Nature 1988, 331, 341–343. [Google Scholar] [CrossRef]
- Middleton, N.J. Desert dust hazards: A global review. Aeolian Res. 2017, 24, 53–63. [Google Scholar] [CrossRef]
- UNCCD and FAO. Guideline on the Integration of Sand and Dust Storm Management into Key Policy Areas; United Nations Convention to Combat Desertification and Food and Agriculture Organization of the United Nations: Bonn, Germany; Rome, Italy, 2024; pp. 1–26. [Google Scholar]
- Na, H.; Qi, J.; Zhen, Y.; Yao, X.; Gao, H. Asian dust-transported bacteria survive in seawater and alter the community structures of coastal bacterioplankton in the Yellow Sea. Glob. Planet. Change 2023, 224, 104115. [Google Scholar] [CrossRef]
- Korhonen, H.; Napari, I.; Timmreck, C.; Vehkamaki, H.; Pirjola, L.; Lehtinen, K.E.J.; Lauri, A.; Kulmala, M. Heterogeneous nucleation as a potential sulphate-coating mechanism of atmospheric mineral dust particles and implications of coated dust on new particle formation. J. Geophys. Res. Atmos. 2003, 108, 4546. [Google Scholar] [CrossRef]
- Shen, X.J.; Sun, J.Y.; Che, H.Z.; Zhang, Y.G.; Zhou, C.H.; Gui, K.; Xu, W.Y.; Liu, Q.; Zhong, J.T.; Xia, C.; et al. Characterization of dust-related new particle formation events based on long-term measurement in the North China Plain. Atmos. Chem. Phys. 2023, 23, 8241–8257. [Google Scholar] [CrossRef]
- Tegen, I.; Lacis, A.A.; Fung, I. The influence on climate forcing of mineral aerosols from disturbed soils. Nature 1996, 380, 419–422. [Google Scholar] [CrossRef]
- Xia, X.; Zong, X. Shortwave versus longwave direct radiative forcing by Taklimakan dust aerosols. Geophys. Res. Lett. 2009, 36, L07803. [Google Scholar] [CrossRef]
- Kok, J.F.; Ward, D.S.; Mahowald, N.M.; Evan, A.T. Global and regional importance of the direct dust-climate feedback. Nat. Commun. 2018, 9, 241. [Google Scholar] [CrossRef]
- Che, H.; Xia, X.; Zhao, H.; Li, L.; Gui, K.; Zheng, Y.; Song, J.; Qi, B.; Zhu, J.; Miao, Y.; et al. Aerosol optical and radiative properties and their environmental effects in China: A review. Earth-Sci. Rev. 2024, 248, 104634. [Google Scholar] [CrossRef]
- Wang, J.Y. Preliminary Study on Chronic Respiratory Damage Caused by Sand and Dust Pollution in the Population. Doctoral Dissertation, Lanzhou University, Lanzhou, China, 2014. [Google Scholar]
- Kwon, H.J.; Cho, S.H.; Chun, Y.; Lagarde, F.; Pershagen, G. Effects of the Asian dust events on daily mortality in Seoul, Korea. Environ. Res. 2002, 90, 1–5. [Google Scholar] [CrossRef] [PubMed]
- Maki, T.; Kurosaki, Y.; Onishi, K.; Lee, K.C.; Pointing, S.B.; Jugder, D.; Yamanaka, N.; Hasegawa, H.; Shinoda, M. Variations in the structure of airborne bacterial communities in Tsogt-Ovoo of Gobi desert area during dust events. Air Qual. Atmos. Health 2017, 10, 249–260. [Google Scholar] [CrossRef] [PubMed]
- Lal, R. Soil degradation by erosion. Land Degrad. Dev. 2001, 12, 519–539. [Google Scholar] [CrossRef]
- Middleton, N.J. Impacts of dust storms on agriculture: A synthesis. E3S Web Conf. 2024, 575, 05001. [Google Scholar] [CrossRef]
- UNDP. Global Multidimensional Poverty Index 2023; United Nations Development Programme and Oxford Poverty and Human Development Initiative: Nairobi, Kenya, 2023; pp. 1–30. [Google Scholar]
- Ginoux, P.; Chin, M.; Tegen, I.; Prospero, J.M.; Holben, B.; Dubovik, O.; Lin, S.J. Sources and distributions of dust aerosols simulated with the GOCART model. J. Geophys. Res. Atmos 2001, 106, 20255–20273. [Google Scholar] [CrossRef]
- Liu, C. Observation, Parameterization, and Climate Simulation Study on the Process of Dust Emission. Master Thesis, Nanjing University of Information Science and Technology, Nanjing, China, 2016. [Google Scholar]
- Uno, I.; Eguchi, K.; Yumimoto, K.; Takemura, T.; Shimizu, A.; Uematsu, M.; Liu, Z.; Wang, Z.; Hara, Y.; Sugimoto, N. Asian dust transported one full circuit around the globe. Nat. Geosci. 2009, 2, 557–560. [Google Scholar] [CrossRef]
- Zhang, X.Y.; Gong, S.L.; Zhao, T.L.; Arimoto, R.; Wang, Y.Q.; Zhou, Z.J. Sources of Asian dust and role of climate change versus desertification in Asian dust emission. Geophys. Res. Lett. 2003, 30, 2272. [Google Scholar] [CrossRef]
- Chen, S.; Huang, J.; Li, J.; Jia, R.; Jiang, N.; Kang, L.; Ma, X.; Xie, T. Comparison of dust emissions, transport, and deposition between the Taklimakan Desert and Gobi Desert from 2007 to 2011. Sci. China-Earth Sci. 2017, 60, 1338–1355. [Google Scholar] [CrossRef]
- Shao, Y.P. Physics and Modelling of Wind Erosion; Springer: Berlin, Germany, 2008; pp. 117–145. [Google Scholar]
- Marticorena, B.; Bergametti, G. Modeling the atmospheric dust cycle: 1. Design of a soil- derived dust emission scheme. J. Geophys. Res. 1995, 100, 16415–16430. [Google Scholar] [CrossRef]
- Iversen, J.D.; White, B.R. Saltation threshold on Earth, Mars and Venus. Sedimentology 1982, 29, 111–119. [Google Scholar] [CrossRef]
- Zhang, Z.; Dong, Z.; Li, J.; Qian, G.; Jiang, C. Implications of surface properties for dust emission from gravel deserts (gobis) in the Hexi Corridor. Geoderma 2016, 268, 69–77. [Google Scholar] [CrossRef]
- Fcan, F.; Marticorena, B.; Bergametti, G. Parametrization of the increase of the aeolian erosion threshold wind friction velocity due to soil moisture for arid and semi-arid areas. Ann. Geophys. 1999, 17, 149–157. [Google Scholar] [CrossRef]
- Raupach, M.R.; Gillette, D.A.; Leys, J.F. The effect of roughness elements on wind erosion threshold. J. Geophys. Res. Atmos. 1993, 98, 3023–3029. [Google Scholar] [CrossRef]
- Shao, Y. Adhesion theory and model for air humidity impact on dust emission. Aeolian Res. 2024, 66, 100898. [Google Scholar] [CrossRef]
- Du, H.; Xue, X.; Wang, T.; Lu, S.; Liao, J.; Li, S.; Fan, Y.; Liu, X. Modeling dust emission in alpine regions with low air temperature and low air pressure—A case study on the Qinghai-Tibetan Plateau (QTP). Geoderma 2022, 422, 115930. [Google Scholar] [CrossRef]
- Shao, Y.; Zhang, J.; Ishizuka, M.; Mikami, M.; Leys, J.; Huang, N. Dependency of particle size distribution at dust emission on friction velocity and atmospheric boundary layer stability. Atmos. Chem. Phys. 2020, 20, 12939–12953. [Google Scholar] [CrossRef]
- Tan, L.; Qu, J.; Wang, H.; An, Z.; Wang, T.; Zhao, S. Turbulent flow structures over a gobi surface and their impact on aeolian sand transport. Geophys. Res. Lett. 2023, 50, e2023GL103360. [Google Scholar] [CrossRef]
- Zhang, J.; Li, G.; Shi, L.; Huang, N.; Shao, Y. Impact of turbulence on aeolian particle entrainment: Results from wind-tunnel experiments. Atmos. Chem. Phys. 2022, 22, 9525–9535. [Google Scholar] [CrossRef]
- Gillette, D.A.; Passi, R. Modeling dust emission caused by wind erosion. J. Geophys. Res. Atmos. 1988, 93, 14233–14242. [Google Scholar] [CrossRef]
- Lu, H.; Shao, Y. A new model for dust emission by saltation bombardment. J. Geophys. Res. Atmos. 1999, 104, 16827–16842. [Google Scholar] [CrossRef]
- Zhang, H.S.; Zhu, H.; Peng, Y.; Kang, L.; Chen, J.Y.; Park, S.U. Experiment on dust flux during dust storm period over sand desert area. Acta Meteorol. Sin. 2007, 65, 744–752. [Google Scholar]
- Ravi, S.; D’Odorico, P. A field-scale analysis of the dependence of wind erosion threshold velocity on air humidity. Geophys. Res. Lett. 2005, 32, L21404. [Google Scholar] [CrossRef]
- Neuman, C.M. Effects of temperature and humidity upon the transport of sedimentary particles by wind. Sedimentology 2004, 51, 1–17. [Google Scholar] [CrossRef]
- Barchyn, T.E.; Hugenholtz, C.H. Winter variability of aeolian sediment transport threshold on a cold-climate dune. Geomorphology 2012, 177–178, 38–50. [Google Scholar] [CrossRef]
- Wu, C.L.; Lin, Z.H. Uncertainty in dust budget over East Asia simulated by WRF/Chem with different dust emission schemes. Atmos. Ocean. Sci. Lett. 2013, 6, 428–433. [Google Scholar]
- Zhang, X.X.; Claiborn, C.; Lei, J.Q.; Vaughan, J.; Wu, S.X.; Li, S.Y.; Liu, L.Y.; Wang, Z.F.; Wang, Y.D.; Huang, S.Y.; et al. Aeolian dust in Central Asia: Spatial distribution and temporal variability. Atmos. Environ. 2020, 238, 117734. [Google Scholar] [CrossRef]
- Liu, B.; Peng, W.Y.; Liu, S.L.; Yang, T. Estimation on the dust lift amount and source contribution of the heavy dust weather in mid-March 2021 over Central East Asia. J. Desert Res. 2022, 42, 79–86. [Google Scholar]
- Gillette, D.A.; Sinclair, P.C. Estimation of suspension of alkaline material by dust devils in the United States. Atmos. Environ. 1990, 24, 1135–1142. [Google Scholar] [CrossRef]
- Han, Y.X.; Wang, K.H.; Liu, F.; Zhao, T.L.; Yin, Y.; Duan, J.P.; Luan, Z.P. The contribution of dust devils and dusty plumes to the aerosol budget in western China. Atmos. Environ. 2016, 126, 21–27. [Google Scholar] [CrossRef]
- Koch, J.; Renno, N.O. The role of convective plumes and vortices on the global aerosol budget. Geophys. Res. Lett. 2005, 32, L18806. [Google Scholar] [CrossRef]
- Li, J.X.; Han, Y.X.; Liu, W.J.; Cao, L.; Lu, Z.Q. Contributions of gust under stationery weather conditions to the dust aerosol budget in northwestern China. Atmos. Res. 2023, 293, 106914. [Google Scholar] [CrossRef]
- Zeng, Q.C.; Cheng, X.L.; Hu, F. The mechanism of soil erosion and dust emission under the action of nonsteady strong wind with descending motion and gustwind. Clim. Environ. Res. 2007, 12, 244–250. [Google Scholar]
- Pan, L.; Han, Y.X.; Lu, Z.Q.; Li, J.X.; Gao, F.; Liu, Z.H.; Liu, W.J.; Liu, Y.G. Integrative investigation of dust emissions by dust storms and dust devils in North Africa. Sci. Total Environ. 2021, 756, 144128. [Google Scholar] [CrossRef] [PubMed]
- Onishchenko, O.; Fedun, V.; Horton, W.; Pokhotelov, O.; Verth, G. Dust devils: Structural features, dynamics and climate impact. Climate 2019, 7, 12. [Google Scholar] [CrossRef]
- Guan, X.; Li, Q.Y. The impact of dust deposition on soil properties in western southern Xinjiang. Soils 2000, 4, 178–182. [Google Scholar]
- Li, C.; Wang, Y.; Lei, J.; Xu, X.; Wang, S.; Fan, J.; Fan, S. Damage by wind-blown sand and its control measures along the Taklimakan Desert highway in China. J. Arid Land 2021, 13, 98–106. [Google Scholar] [CrossRef]
- Zhou, J. A Study on the Impact of Sandstorms on Residents’ Health in Hotan Area, Xinjiang. Master’s Thesis, Xinjiang Medical University, Urumqi, China, 2011. [Google Scholar]
- Yang, X.; Zhou, C.; Yang, F.; Meng, L.; Huo, W.; Mamtimin, A.; He, Q. Saltation activity on non-dust days in the Taklimakan Desert, China. Remote Sens. 2022, 14, 2099. [Google Scholar] [CrossRef]
- National Weather Bureau of China. Criterion of Surface Meteorological Observation; Meteorological Press: Beijing, China, 1979; pp. 33–34. [Google Scholar]
- Ma, M.; Yang, X.; He, Q.; Mamtimin, A. Improvement of dust emission parameterization scheme for dust devils based on intensive observations in the northern margin of the Taklimakan Desert. Theor. Appl. Climatol. 2023, 151, 1227–1237. [Google Scholar] [CrossRef]
- Yang, X.H. Observation and Parameterization on Dust Emission over the Taklimakan Desert. Doctoral Dissertation, Nanjing University of Information Science and Technology, Nanjing, China, 2019. [Google Scholar]
- Renno, N.O.; Burkett, M.L.; Larkin, M.P. A simple thermodynamical theory for dust devils. J. Atmos. Sci. 1998, 55, 3244–3252. [Google Scholar] [CrossRef]
- Yang, X.H.; Xu, X.L.; He, Q.; Mamtimin, A.; Yu, B.; Tang, S.H. Sand flux estimation during a sand-dust storm at Tazhong area of Taklimakan Desert, China. J. Arid. Land 2011, 3, 199–205. [Google Scholar] [CrossRef]
- Li, J.L.; He, Q.; Ge, X.Y.; Abbas, A. Spatiotemporal distribution of aerosols over the Tibet Plateau and Tarim Basin (1980–2020). J. Clean. Prod. 2022, 374, 133958. [Google Scholar] [CrossRef]
- Xia, X.A. The MODIS aerosol optical thickness over land worldwide is significantly higher. Sci. Bull. 2006, 51, 2297–2303. [Google Scholar] [CrossRef]
- Mhawish, A.; Banerjee, T.; Sorek-Hamer, M.; Lyapustin, A.; Broday, D.M.; Chatfield, R. Comparison and evaluation of MODIS Multi-angle Implementation of Atmospheric Correction (MAIAC) aerosol product over South Asia. Remote Sens. Environ. 2019, 224, 12–28. [Google Scholar] [CrossRef]








| Dust Emission (kg/km2) | Spring | Summer | Autumn | Winter |
|---|---|---|---|---|
| Dust event | 1604.9 (57.1%) | 2526.4 (48.6%) | 301.9 (32.7%) | 11.3 (51.8%) |
| Gust | 129.1 (4.6%) | 183.9 (3.5%) | 46.7 (5.1%) | 7.1 (32.6%) |
| Dust devil | 1075.9 (38.3%) | 2492.1 (47.9%) | 574.9 (62.3%) | 3.4 (15.6%) |
| Total | 2809.9 | 5202.4 | 923.5 | 21.8 |
| Emission Time (h) | Spring | Summer | Autumn | Winter |
|---|---|---|---|---|
| Dust event | 125.8 (76.1%) | 141.3 (71.7%) | 20.2 (50.6%) | 3.8 (52.1%) |
| Gust | 25.3 (15.3%) | 28.1 (14.3%) | 10 (25.1%) | 3.4 (46.6%) |
| Dust devil | 14.2 (8.6%) | 27.7 (14.0%) | 9.7 (24.3%) | 0.1 (1.3%) |
| Total | 165.3 | 197.1 | 39.9 | 7.3 |
Disclaimer/Publisher’s Note: The statements, opinions and data contained in all publications are solely those of the individual author(s) and contributor(s) and not of MDPI and/or the editor(s). MDPI and/or the editor(s) disclaim responsibility for any injury to people or property resulting from any ideas, methods, instructions or products referred to in the content. |
© 2025 by the authors. Licensee MDPI, Basel, Switzerland. This article is an open access article distributed under the terms and conditions of the Creative Commons Attribution (CC BY) license (https://creativecommons.org/licenses/by/4.0/).
Share and Cite
Yang, X.; Ma, M.; Zhou, C.; Yang, F.; Huo, W.; Mamtimin, A.; He, Q.; Wang, G. Contributions of Dust and Non-Dust Weather to Dust Emissions: A Case Study from the Central Taklimakan Desert. Remote Sens. 2025, 17, 2531. https://doi.org/10.3390/rs17142531
Yang X, Ma M, Zhou C, Yang F, Huo W, Mamtimin A, He Q, Wang G. Contributions of Dust and Non-Dust Weather to Dust Emissions: A Case Study from the Central Taklimakan Desert. Remote Sensing. 2025; 17(14):2531. https://doi.org/10.3390/rs17142531
Chicago/Turabian StyleYang, Xinghua, Mingjie Ma, Chenglong Zhou, Fan Yang, Wen Huo, Ali Mamtimin, Qing He, and Guohua Wang. 2025. "Contributions of Dust and Non-Dust Weather to Dust Emissions: A Case Study from the Central Taklimakan Desert" Remote Sensing 17, no. 14: 2531. https://doi.org/10.3390/rs17142531
APA StyleYang, X., Ma, M., Zhou, C., Yang, F., Huo, W., Mamtimin, A., He, Q., & Wang, G. (2025). Contributions of Dust and Non-Dust Weather to Dust Emissions: A Case Study from the Central Taklimakan Desert. Remote Sensing, 17(14), 2531. https://doi.org/10.3390/rs17142531

