Next Article in Journal
Regional Assessment of COCTS HY1-C/D Chlorophyll-a and Suspended Particulate Matter Standard Products over French Coastal Waters
Previous Article in Journal
LWSARDet: A Lightweight SAR Small Ship Target Detection Network Based on a Position–Morphology Matching Mechanism
 
 
Font Type:
Arial Georgia Verdana
Font Size:
Aa Aa Aa
Line Spacing:
Column Width:
Background:
Article

MSJosSAR Configuration Optimization and Scattering Mechanism Classification Based on Multi-Dimensional Features of Attribute Scattering Centers

1
National Key Laboratory of Microwave Imaging, Aerospace Information Research Institute, Chinese Academy of Sciences, Beijing 100190, China
2
School of Electronic, Electrical and Communication Engineering, University of Chinese Academy of Sciences, Beijing 100049, China
3
Xi’an Electronic Engineering Research Institute, Xi’an 710100, China
*
Author to whom correspondence should be addressed.
Remote Sens. 2025, 17(14), 2515; https://doi.org/10.3390/rs17142515
Submission received: 28 June 2025 / Revised: 15 July 2025 / Accepted: 17 July 2025 / Published: 19 July 2025

Abstract

As a novel system, multi-dimensional space joint-observation SAR (MSJosSAR) can simultaneously acquire target information across multiple dimensions such as frequency, angle, and polarization. This capability facilitates a more comprehensive understanding of the target and enhances subsequent recognition applications. However, current research on the configuration optimization of multi-dimensional SAR systems is limited, particularly in balancing recognition requirements with observation costs. This limitation has become a major bottleneck restricting the development of MSJosSAR. Moreover, studies on the joint utilization of multi-dimensional information at the scattering center level remain insufficient, which constrains the effectiveness of target component recognition. To address these challenges, this paper proposes a configuration optimization method for MSJosSAR based on the separability of scattering mechanisms. The approach transforms the configuration optimization problem into a vector separability problem commonly addressed in machine learning. Experimental results demonstrate that the multi-dimensional configuration obtained by this method significantly improves the classification accuracy of scattering mechanisms. Additionally, we propose a feature extraction and classification method for scattering centers across frequency and angle-polarization dimensions, and validate its effectiveness through electromagnetic simulation experiments. This study offers valuable insights and references for MSJosSAR configuration optimization and joint feature information processing.

1. Introduction

Synthetic aperture radar (SAR) acquires target scattering information by actively transmitting electromagnetic waves and utilizes advanced signal processing techniques to achieve imaging and extraction of electromagnetic scattering features of the observed targets. Operating in the microwave frequency band, SAR offers the significant advantage of all-weather, day-and-night observation capabilities. At present, SAR has been widely used in agricultural remote sensing [1], ground deformation monitoring [2], target detection and recognition [3], 3D reconstruction [4], and other fields, and has played an important role.
With the development of SAR technology and the promotion of application requirements, the SAR imaging system has gradually developed from single-polarization, single-band, single-angle to multi-polarization [5], multi-band [6], multi-angle [7], and other different dimensions of observation combination. At the same time, cross-dimensional fusion observations are also conducted globally. For example, AIRSAR in the United States uses three bands of C, L, and P, of which L and P bands are fully polarized [8]; Germany ’s F-SAR system is equipped with P, L, S, C, X five-band radar, in which X and S bands have the ability of cross-orbit interference [9]; China’s first multi-dimensional airborne SAR system uses P, L, S, C, X, Ku multi-band full-polarization, which can simultaneously achieve 6-band, full-polarization, high-resolution Earth observation [10]. In [11], the concept of multi-dimensional space joint-observation SAR (MSJosSAR) was proposed for the first time, and the connotation of multi-dimensional observation space and multi-dimensionality was systematically established. MSJosSAR requires observation from at least two dimensions of polarization, frequency, angle, and time. Through the comprehensive processing of signals and information, the available information such as the electromagnetic scattering characteristics of the observed object can be obtained. The observation concept diagram is shown in Figure 1.
MSJosSAR facilitates the comprehensive acquisition of information about the observed object. In fact, several practical applications of MSJosSAR have already been demonstrated. Zhiying Xie et al. obtained the characteristics of forest targets in different frequency bands through multi-frequency radar wave observation, and retrieved the height of forests through interferometry (multi-angle) [12]. Natale et al. developed an airborne multi-band interferometric and polarimetric SAR system with funding from the Italian Space Agency, which achieved multi-dimensional observations in the frequency, polarization, and angle dimensions, and improved the imaging resolution of the target [13]. PolInSAR is a combination of polarimetric SAR and interferometric SAR. It is a coherent MSJosSAR with polarization and angle dimensions. It not only has the characteristic of interferometric SAR of being sensitive to the spatial distribution of vegetation scatterers on the surface, but also has the characteristic of polarimetric SAR of being sensitive to the shape and direction of vegetation scatterers [14]. Changcheng Wang et al. optimized the parameter estimation by establishing a more accurate random model and weighting function, and eliminated the mismatched interference baseline observations by iterative weighting [15]. Yan Jin et al. used the multi-band fully polarimetric SAR system to obtain multiple observations of ground objects in the two dimensions of frequency and polarization, and constructed the multi-band fully polarimetric ground object fine classification dataset MPOLSAR-1.0 [16]. It can be seen that the current research mainly focuses on the application and processing of multi-dimensional information, and there are few studies from the perspective of observation system. MSJosSAR requires observations across multiple dimensions such as frequency, angle, and polarization, resulting in a complex and challenging system to implement. This complexity has become the primary factor limiting the development of MSJosSAR. Therefore, it is urgent to optimize the MSJosSAR configuration from the perspective of multi-dimensional observation system and application requirements. Specifically, it addresses how many observations are required in the frequency and angle dimensions, and which of these observations can satisfy application requirements while minimizing system implementation costs. In this paper, we primarily investigate the challenges of MSJosSAR in observing stationary small targets using multi-band, multi-angle, and full-polarization techniques. The observation scene is shown in Figure 2.
Target recognition technology is one of the important application directions of SAR [3]. The current mainstream method is to describe the electromagnetic scattering characteristics of the target by constructing an electromagnetic scattering parametric model [17], extract the scattering centers in the SAR observation data, establish the corresponding relationship between the scattering centers and the target components, and realize the accurate matching of the physical properties of the target [18], so as to achieve the purpose of recognition. The parametric model of electromagnetic scattering can be divided into three-dimensional electromagnetic scattering models, such as the model of typical components such as plane, dihedral, trihedral, top hat, cylinder, and sphere constructed by Jackson et al. of Ohio State University based on physical optics (PO) and geometrical theory of diffraction (GTD) [19]. However, this model has complex parameter dimensions and is not conducive to engineering implementation [17]. The other is the classical scattering center model, including the ideal point scattering model, the attenuation index and model, and the most widely used attributed scattering center (ASC) [20]. In addition, three-dimensional ASC [18], fully polarized ASC [21], and other models have been proposed, but these models are limited to the description of single-dimensional electromagnetic scattering information, which is not conducive to the complete expression of target feature and multi-dimensional information processing.
Regarding the extraction of target electromagnetic scattering features, current algorithms can be mainly classified into two categories: image domain algorithm and frequency domain algorithm. Image domain includes CLEAN algorithm [22], watershed algorithm [23], fast extraction method based on sparse representation in image domain [24], etc. More widely used is the frequency domain, whose core is to estimate the ASC parameters by constructing a sparse dictionary. The more classic is the sparse estimation of ASC parameters by the OMP algorithm [25]. Furthermore, Hongwei Liu et al. used the strategy of constructing a dictionary step by step to reduce the complexity of the operation, and introduced the RELAX algorithm to improve the accuracy of parameter estimation [26]. At the same time, some intelligent algorithms have also been applied to this problem: ref. [27] used the incremental sparse Bayesian learning method to achieve sparse-driven ASC parameter estimation; Haodong Yang et al. realized the rapid extraction of ASC using an interpretable deep unfolding network [28]; Maoqiang Jing et al. proposed an ACS feature extraction method based on genetic algorithm, which has lower computational cost and stronger robustness [29]. Jiacheng Chen et al. used reinforcement learning to extract ASC, which improved the efficiency of parameter update in the reasoning stage [30]. Similarly, current research on ASC feature extraction primarily focuses on single-dimensional features, overlooking the joint utilization of multi-dimensional information and the comprehensive representation of the observed target across dimensions such as frequency, angle, and polarization. This limitation can easily result in false target recognition.
To address the aforementioned issues and fill the gap in MSJosSAR-related research, this study carried out multi-dimensional observation (multi-band, multi-angle and full-polarization joint observation) electromagnetic simulation on six typical scattering mechanisms: dihedral, trihedral, top hat, sphere, cylinder, and plate. The attribute scattering center is used to model the echo data, and the multi-band and multi-angle full-polarization electromagnetic scattering feature extraction and joint feature classification methods are proposed, respectively, to realize the recognition of six scattering mechanisms. At the same time, based on the proposed multi-dimensional joint feature classification method, an MSJosSAR configuration optimization method based on scattering mechanism separability is proposed to reduce the observation cost while meeting the recognition requirements, and the effectiveness of the proposed optimized configuration is verified by experiments.
In summary, the key contributions of our work are as follows:
  • We propose a feature extraction and classification method combining multi-band information. We carry out multi-band observation of six typical scattering mechanisms, extend ASC in the frequency dimension, extract ASC of multi-band data based on OMP algorithm, establish normalized multi-band joint rcs feature of scattering mechanism, and use SVM algorithm to realize feature classification.
  • We propose a feature extraction and classification method combining multi-angle full polarization information. We carry out multi-angle full-polarization observation on six typical scattering mechanisms, extend the full-polarization ASC in the angle dimension, propose a full-polarization channel ASC extraction method, and establish multi-angle Krogager polarization decomposition feature to realize scattering mechanism recognition, which improves the robustness and noise immunity of the result.
  • We propose a configuration optimization method for MSJosSAR based on the separability of the scattering mechanism. The fisher separability ratio (FDR) is used to describe the separability, and the optimal configuration of MSJosSAR is obtained through experiments. At the same time, we also visually describe the experimental results for intuitive understanding.
The rest of this paper is organized as follows: Section 2 introduces the relevant knowledge of ASC and mathematically models its feature extraction problem. In Section 3, we will introduce the MSJosSAR configuration optimization method, and we introduce the process and specific details of the multi-band and multi-angle full-polarization feature extraction classification method. Section 4 introduces the relevant experimental settings and shows the experimental results and analysis. The experimental results are discussed in Section 5, and the conclusions of this study are presented in Section 6.

2. ASC Model

The attributed scattering center (ASC) model was proposed by Gerry et al. [20]. Based on the theory of PO and GTD, the power function is used to establish the frequency dependence, and the sinc function is used to establish the azimuth dependence. It is more suitable for wide-angle imaging and its application is also the most extensive. According to the GTD theory, the electromagnetic scattering echo of the observed target can be expressed as follows:
D ( f , φ ; Θ ) = p = 1 P E p ( f , φ ; Θ p )
D ( f , φ ; Θ ) represents the total scattering field of radar echo, f and φ represent radar frequency and observation azimuth, respectively. P represents the number of scattering centers in the echo, E p ( f , φ ; Θ p ) represents the echo of the pth scattering center. Θ = { Θ p } p = 1 P represents the parameter set of radar target, determined by the specific scattering center model. According to ASC, the echo of a single scattering center can be expressed as follows:
E p f , φ ; Θ p = A p × j f f c α p × e 2 π f γ p sin φ × sinc ( 2 π f c L p sin φ φ ¯ p ) × e j 4 π f c x p cos φ + y p sin φ
where f c is the central frequency, c is the speed of light, and Θ p = { A p , x p , y p , α p , γ p , L p , φ ¯ p } is the parameter set of ASC. A p is the amplitude, that is, the radar cross section (rcs) of the scattering center. ( x p , y p ) is the position coordinate of the scattering center, frequency dependence factor α { 1 , 0.5 , 0 , 0.5 , 1 } , γ p is orientation dependence factor, L p is the length of the scattering center, and φ ¯ p is the central azimuth of the scattering center. As γ p has little effect on the scattering echo, γ p is ignored in some studies for the convenience of calculation [31,32,33]; this paper also adopts the strategy of ignoring γ p . ASC divides the scattering centers into two categories. One is the localized scattering center, and its scattering characteristics are independent of the azimuth angle, so L = φ ¯ = 0 ; the other is the distributed scattering center, where L denotes the projection of the length of the scattering center in the azimuth direction. In general, we can determine the type of scattering mechanism of scattering centers according to the parameters α and L of ASC, as shown in Table 1.
Considering the influence of noise, the real backscattering field can be expressed as follows:
D ( f , φ ) = p = 1 P E p ( f , φ ; Θ p ) + N
where N is Gaussian white noise. Extracting ASC features from SAR echo scattering signals can be transformed into a parameter estimation problem. The parameter set to be estimated can be expressed as follows:
Θ ^ = arg min Θ D ( f , φ ) D ( f , φ ; Θ ) 2 = arg min { Θ p } p = 1 P D ( f , φ ) p = 1 P E p ( f , φ ; Θ p ) 2
D ( f , φ ) is the real echo data. Vectorize the above parameters, and let D = v e c t ( D ( f , φ ) ) , d = v e c t ( D ( f , φ ; Θ ) ) ; the noise vector is transformed into n . As the total scattering field can be regarded as the coherent superposition of several strong scattering centers, the radar echo is sparse in the parameter space composed of attribute scattering parameters, which can be solved by sparse representation theory. Let the observation dictionary be Ψ ; then there is
D = d + n = Ψ · a + n
where a is a sparse vector.
At this time, ASC parameter estimation can be transformed into the l 0 parameter optimization problem:
a ^ = arg min   a a 0 s . t . D Ψ · a 2 ε
where ε is the noise level. After solving Equation (6), the non-zero element in a is the amplitude A in the solution parameter, and the number of non-zero elements is the number of scattering centers. The atom corresponding to the non-zero element in the observation matrix Ψ is the echo response of the corresponding scattering center. The sparse solution problem is an np-hard problem, which can be solved directly from the frequency domain by greedy algorithms such as the OMP algorithm. For manmade targets, the overall scattering characteristics can be expressed as the sum of the scattering characteristics of several strong scattering centers, that is, the scattering centers of the target in the echo domain are sparse. Therefore, the purpose of establishing ASC is to extract the scattering center and estimate the corresponding parameters, rather than high-precision imaging. The sparse optimization method is more conducive to the extraction of the scattering center.
As shown in Table 1, the current mainstream method is to determine the type of scattering mechanism corresponding to the scattering center by estimating α and L in the ASC. This method is more straightforward but heavily depends on the accuracy of the estimated parameters, especially α . However, current estimation algorithms typically employ a step-by-step strategy to reduce computational complexity, which can easily lead to error accumulation. This results in inaccurate estimation of α , reduced robustness, and increased sensitivity to noise. In addition, this method is only effective when the observation direction is directly opposite to the scattering mechanism. If the front of the scattering mechanism faces in other directions, due to the anisotropy, the scattering mechanism will be misidentified. For example, the scattering characteristics of the dihedral structure at the observation angle of 0 are manifested as the dihedral itself, while at the observation angle of 90 , it is manifested as the edge diffraction of the plate, which also reflects the limitation of using only one-dimensional information. In the next section, we will extend the ASC model mentioned in this section in the frequency dimension and the angular polarization dimension. Specifically, we will propose multi-band ASC and multi-angle fully polarized ASC based on the traditional single-dimensional ASC.

3. Methods

In this section, the extraction and classification methods of scattering mechanism joint multi-angle Krogager polarization decomposition features and joint multi-band features will be proposed, respectively. Firstly, the ASC is extended in the angle dimension and the frequency dimension, and the multi-dimensional features of the scattering center are extracted based on the OMP algorithm to avoid the recognition error caused by over-reliance on an estimated parameter value and improve the fault tolerance of the algorithm. At the same time, based on multi-dimensional features, the fisher discriminant ratio is used to describe the separability of the scattering mechanism, and the MSJosSAR configuration is optimized based on the separability.

3.1. Multi-Angle Polarization Feature Extraction and Analysis

3.1.1. Angle Dimension Extension of Fully Polarized ASC

According to [21], the fully polarized attribute scattering center model after ignoring γ p is
E p H H f , φ ; Θ p H H E p H V f , φ ; Θ p H V E p V V f , φ ; Θ p V V = A p H H A p H V A p V V × j f f c α p × sinc ( 2 π f c L p sin φ φ ¯ p ) × e j 4 π f c x p cos φ + y p sin φ
Let [ E p H H f , φ ; Θ p H H , E p H V f , φ ; Θ p H V , E p V V f , φ ; Θ p V V ] H = E p , [ A p H H , A p H V , A p V V ] H = A p . At this time, the joint ASC of a single scattering center with multiple observation azimuths can be written:
E p φ ˜ 1 = A p φ ˜ 1 × j f f c α p × sinc ( 2 π f c L p sin φ φ ¯ p ) × e j 4 π f c x p cos φ + y p sin φ E p φ ˜ K = A p φ ˜ K × j f f c α p × sinc ( 2 π f c L p sin φ φ ¯ p ) × e j 4 π f c x p cos φ + y p sin φ
Among them, φ ˜ 1 , , φ ˜ K represents the radar observation azimuth, and K is the number of angle-dimensional observations. Let the fully polarized total scattering field at the observation angle φ ˜ k be [ D H H φ ˜ k ( f , φ ) , D H V φ ˜ k ( f , φ ) , D V V φ ˜ k ( f , φ ) ] = D φ ˜ k , then the total scattering field containing noise n is
D φ ˜ 1 = p = 1 P E p φ ˜ 1 + n D φ ˜ K = p = 1 P E p φ ˜ K + n

3.1.2. Multi-Angle Joint Krogager Polarization Decomposition Feature Extraction

In the case of single angle, the target scattering center is modeled by the fully polarized ASC, and the ASC parameters are estimated by the fully polarized OMP algorithm based on the step-by-step estimation strategy. The scattering center amplitude of the HH, HV, and VV polarization channels is obtained by the least square method. Finally, the polarization characteristics of the scattering component as the scattering center are obtained by the scattering center level Krogager polarization decomposition.
Krogager decomposition is a coherent polarization decomposition which is suitable for the description of scattering characteristics of manmade targets. It decomposes the scattering matrix into odd scattering (sphere, trihedral angle, plate, etc.), even scattering (dihedral angle, top cap, etc.), and spiral scattering components [34]. In this method, the odd component κ o and even component κ e of the Krogager decomposition results are used as the polarization characteristics of the scattering mechanism at different angles.
When extracting the fully polarized ASC, we consider that in most cases the amplitude and phase characteristics of the target are reflected in the co-polarized data, and the energy of the co-polarized data is generally higher. Therefore, in the data processing of the fully polarized channel at the scattering center level, this method adopts the maximum matching value selection strategy. When calculating the correlation value in the OMP algorithm, each polarization channel is calculated separately, and then the dictionary atom sequence corresponding to the maximum correlation value is added to the common atom set of the three polarization channels (the three channels share an optimal atom set). Then, the least squares is used to estimate the sparse vector for each channel, and, finally, the residual is updated for the next iteration. The iteration is terminated when the number of extracted scattering centers reaches the preset sparsity P. The algorithm flow is shown in Figure 3. Finally, the non-zero value in the sparse vector of the three polarization channels is the amplitude of the corresponding polarization channel echo signal. After obtaining the amplitudes of HH, HV, and VV polarization channels, the polarization scattering matrix is constructed, and the multi-angle polarization characteristics of the scattering mechanism are obtained by Krogager decomposition of the polarization scattering matrix at multiple observation angles.

3.1.3. Multi-Angle Polarization Feature Classification Based on Sliding Window Euclidean Distance

Through the above feature extraction method, the six typical scattering mechanisms are observed many times in the angle dimension, and their multi-angle Krogager decomposition polarization characteristics are obtained. The six scattering mechanisms of different sizes are observed for many times, and the average value of the characteristics of multiple observations is taken as the standard feature, that is, the classification standard. At the same time, the main orientation of the six scattering mechanisms in the observation angle space is defined according to the six characteristic curves. Because the number of samples in the angle dimension of the scattering center that can be observed in the actual situation is not necessarily the same as the classification standard, the actual feature dimension is related to the construction of the observed target, which cannot be determined in advance, which leads to the traditional learning-based classification method not being applicable. Therefore, the sliding window interception + similarity measure combination evaluation method is used to judge the scattering center category, and the similarity is measured by Euclidean distance. Finally, according to the defined main orientation, it is mapped from the angle dimension space of the classification standard to the angle dimension space of the actual observation, and the orientation of the observation structure is judged. The specific process is shown in Figure 4, where n N .

3.2. Multi-Band Feature Extraction and Analysis

3.2.1. ASC Frequency Dimension Extension

Referring to the ASC given in the previous section, parameter x p , y p , α p , L p , φ ¯ p does not change with the change of radar operating frequency in theory (ignore γ p ); in the model, only parameter A p is related to the frequency, and the center frequency f c also changes with the operating frequency. Therefore, the extended form of ASC of the scattering center p in the frequency dimension is given:
E p s 1 ( f , φ ; Θ p s 1 ) E p s 2 ( f , φ ; Θ p s 2 ) E p s F ( f , φ ; Θ p s F ) = A p s 1 ( 1 f 1 ) α p A p s 2 ( 1 f 2 ) α p A p s F ( 1 f F ) α p × ( j · f ) α p × sinc ( 2 π f c L p sin φ φ ¯ p ) × e j 4 π f c x p cos φ + y p sin φ
where s 1 , s 2 s F represents the working frequency band of the radar, and F is the number of observations in the frequency dimension. f 1 , f 2 f F is the center frequency under different working frequency bands. It should be noted that f 1 , f 2 f F is a parameter determined by the radar system and does not need to be estimated. The total scattering field containing noise n is
D s 1 ( f , φ ) D s 2 ( f , φ ) D s F ( f , φ ) = p = 1 P E p s 1 ( f , φ ; Θ p s 1 ) E p s 2 ( f , φ ; Θ p s 2 ) E p s F ( f , φ ; Θ p s F ) + n
The above vectorization, multi-band radar echo can be written as follows:
d = p = 1 P e p + n
Assuming that the number of frequency and angle sampling points is M and N, respectively, the data size of each frequency channel is 1 × M N , andthen the echo and noise in Equation (12) are matrices of size F × M N .

3.2.2. Normalized Multi-Band Joint RCS Feature Extraction

In the case of a single frequency band, the OMP algorithm based on the step-by-step estimation strategy is used to estimate the ASC parameters, and then the least square method is used to obtain the amplitude of the ASC in this frequency band, that is, the Radar cross-section (RCS). Specifically, first estimate the parameter Θ 1 ( x , y , L , φ ¯ ) , then estimate α and constitute a complete estimated parameter space Θ = { Θ 1 , α } . When estimating Θ 1 ( x , y , L , φ ¯ ) , by observing Equation (2), it can be decoupled into Θ 1 1 ( x , y ) and Θ 2 1 ( L , φ ¯ ) , and the OMP algorithm is used to estimate them, respectively. In addition, when estimating Θ 1 1 ( x , y ) , the signal can be transformed into the time domain by two-dimensional IFFT, and the range of coordinates ( x , y ) can be roughly determined by time domain imaging, so as to achieve dictionary dimension reduction and reduce the amount of computation.
When estimating the ASC parameters of multi-band channels, in order to ensure the consistency of extracting scattering centers in different frequency bands, the intermediate frequency band position selection strategy is adopted. Firstly, the position parameters x, y of the scattering center of the intermediate frequency band echo data are estimated, and the position is used as the standard position of the scattering center of different bands. When estimating the ASC parameters of other channel bands, the position parameters to be estimated are fixed as the standard position, and there is no need to re-estimate. The OMP algorithm is used to estimate other attribute parameters of each channel, and the sparse vector is estimated by least squares for each channel. The non-zero value in the final sparse vector is the rcs of the echo signal in the corresponding frequency channel.
As the rcs value of the scattering mechanism is related to the observation angle, the center frequency, and the target size, it is necessary to eliminate the influence of different sizes of the scattering mechanism in the study of multi-band characteristics when the observation angle is determined. Therefore, the extracted multi-band rcs feature vector is normalized by L2, and only the relative characteristics of rcs changing with frequency are retained to eliminate the influence of rcs amplitude.
The overall process of normalized multi-band joint rcs feature extraction is shown in Figure 5.

3.2.3. Data Enhancement and SVM Feature Classification

After the extraction method in the previous section, several normalized multi-band rcs feature samples are obtained. As the sample data needs to be obtained through electromagnetic simulation experiments, the sample size is limited, so the sample needs to be enhanced. In this paper, we use the neighbor-guided dynamic noise augmentation (NGDN) strategy, which can better maintain the characteristics of the sample data through the neighbor guidance, so that the noise disturbance is finally carried out along the tangent space direction of the data manifold. At the same time, dynamic Gaussian noise can automatically align the noise amplitude with the feature importance and improve the model training accuracy.
Assume that the original feature matrix is X R n × d , where n is the number of samples, d is the feature dimension, and d is equal to the frequency dimension observation F in the multi-band feature. Standardize the feature matrix:
X s c a l e d = [ x i j μ j σ j ] n × d
where μ j is the mean value of each feature and σ j is the standard deviation of each feature. Then, the characteristic level noise amplitude is
Σ = d i a g ( σ 1 , σ 2 , , σ d )
For each sample x i X s c a l e d , random Gaussian noise ε i N ( 0 , ε s c a l e 2 ) can be generated, where ε s c a l e = η · Σ , η are global noise coefficients.
At the same time, the k-nearest neighbor algorithm is used to establish the adjacency relationship between the feature samples. Taking k = 2, assume that the two nearest neighbors to the sample are x i 1 , x i 2 , and the second nearest neighbor is selected to construct the direction vector δ i = x i 2 x i . The final guided synthetic noise is
ε g u i d e d = ε i + β · δ i δ i 2
where β is the direction weight coefficient. Finally, the newly generated samples are merged with the original samples by inverse standardization to form an enhanced dataset.
Considering that the feature classification is a small sample problem, the dimension of the feature vector is low, and the separability of each category is good. From the perspective of calculation and implementation cost, it is not necessary to use complex classification algorithms. Therefore, the support vector machine (SVM) algorithm is used to classify the multi-band features of the six scattering mechanisms. Firstly, the data is standardized to avoid dimensional differences. In order to further improve the classification accuracy and avoid the problem of non-linear inseparability, RBF (radial basis function) kernel tuning is used to map the data to a high-dimensional space.

3.3. Configuration Optimization of MSJosSAR Based on Scattering Mechanism Separability

Aiming at the problem of target recognition, an MSJosSAR configuration optimization method based on scattering mechanism separability is proposed. Based on the above multi-dimensional features, the Fisher discriminant ratio (FDR) is used to quantitatively describe the separability between scattering mechanisms, and the optimal multi-dimensional observation combination that can distinguish various scattering mechanisms is obtained through electromagnetic simulation experiments.
The core of this method is to find a certain observation combination that can maximize the FDR between the two types of scattering mechanisms with the smallest separability. The optimal observation combination k o p t can be expressed as follows:
k o p t = arg max k 1 , . . . , k N min c 1 c 2 F D R ( a k n , c 1 , a k n , c 2 )
where k 1 , k N represent different observation combinations, and c 1 , c 2 are two arbitrary different scattering mechanisms, F D R ( · ) is an implicit expression for calculating Fisher discriminant ratio, and a k n , c 1 , a k n , c 2 is the multi-dimensional characteristics of the two scattering mechanisms under the observation combination k n .
The key idea of the FDR is to maximize the ratio of inter-class differences to intra-class differences. The larger the FDR value, the more significant the inter-class differences, the closer the intra-class samples, and the better the separability between different categories; the smaller the FDR value is, the less significant the difference between classes is, and the separability is poor. The calculation formula is as follows:
F D R = t r ( S b ) t r ( S w ) = i = 1 C N i ( μ i μ ) ( μ i μ ) T i = 1 C x c i ( x μ i ) ( x μ i ) T
where S b , S w is the between-class scatter matrix and the within-class scatter matrix, respectively; C is the number of categories; c i represents a certain category; N i is the number of samples in the ith category; x is the sample; μ represents the average value of all samples; and μ i represents the average value of the ith sample. The criteria for FDR size and separability are as follows:
  • FDR > 1: Inter-class difference > intra-class difference, with good separability;
  • FDR 1 : Inter-class/intra-class differences are equal, and separability is critical;
  • FDR < 1: Inter-class difference < intra-class difference, poor separability.
When calculating the FDR between different scattering mechanisms, due to the limitation of time conditions, the data samples of electromagnetic simulation are limited, so it is also necessary to expand the data samples through data enhancement. The specific method is shown in Section 3.2.3.

4. Experiment and Result

In this section, we evaluate and analyze the multi-angle Krogager polarization decomposition feature and multi-band rcs feature extraction and classification methods respectively. At the same time, based on the MSJosSAR configuration optimization method, the optimal multi-dimension observation combinations are obtained through electromagnetic simulation experiments, and experiments are carried out to verify the recognition performance under the optimal combination. All simulation experiments in this paper are carried out using FEKO electromagnetic simulation software, version 2022. The multi level fast multi-pole method (MLFMM) is used in the low-frequency band, and the ray-launching geometrical optics (RL-GO) algorithm is used in the high-frequency band to ensure the accuracy of the simulation results in different frequency bands.

4.1. Multi-Angle Full Polarization Experimental Results and Analysis

4.1.1. Multi-Angle Feature Extraction

In this section, we carry out multi-angle full polarization observation electromagnetic simulation experiments on six typical scattering mechanisms of top hat, dihedral, flat plate, sphere, trihedral, and cylinder. The multi-angle polarization characteristics of six scattering mechanisms are obtained using the multi-angle full polarization ASC extraction method. The simulation scenario and parameter configuration are as shown in Figure 6 and Table 2.
The simulation experiments are carried out at seven observation azimuth angles of 0 , 15 , 30 , 45 , 60 , 75 , and 90 , and the multi-angle polarization characteristic curves of six typical scattering mechanisms are obtained. As the orientation of the target scattering mechanism is often unknown in the actual observation situation, in order to better cope with the actual situation, it is necessary to expand the angle dimension of the above characteristic curve according to the symmetry of the scattering structure (because the trihedral does not have a structural symmetry greater than 90°, it is not expanded) to obtain the complete characteristics of the scattering mechanism in the angle dimension. The expanded characteristic curve is shown in Figure 7; the horizontal axis of the curve is the observation angle dimension space under this experiment, and the vertical axis is the value of Krogager decomposition between 0 and 1.
The electromagnetic simulation of six scattering mechanisms of four groups of different sizes is carried out, and the average of the four groups of features is taken as the basis for the classification of scattering mechanisms under general observation conditions. At the same time, the orientation of the scattering structure can be judged according to the curve (except for the axisymmetric structure such as top cap and sphere). Based on the observation angle space of this experiment, the main orientation of each scattering structure is defined as shown in Table 3.

4.1.2. Multi-Scattering Structure Scene Experiment

In order to verify the effectiveness of the multi-angle polarization feature classification method of the scattering mechanism, in this section, the electromagnetic simulation is carried out for the scene with multiple scattering structures to verify the effect of the proposed method in the face of the unknown orientation of the scattering structure. The simulation scenario is as shown in Figure 8.
In order to meet the observation resolution, the signal bandwidth is 3 GHz. At the same time, in order to obtain the complete information of the target, the observation angle is 90 , 75 , 60 , 45 , 30 , 15 , 0 , 15 , 30 , 45 , 60 , 75 , and 90 . At the same time, for each azimuth observation angle, the synthetic aperture length range is [a − 3 . 5 , a + 3 . 5 ], where a is the central angle of azimuth observation, and the other parameters are the same as those in Table 2. The parameters of the scattering structure in the experiment are shown in Table 4.
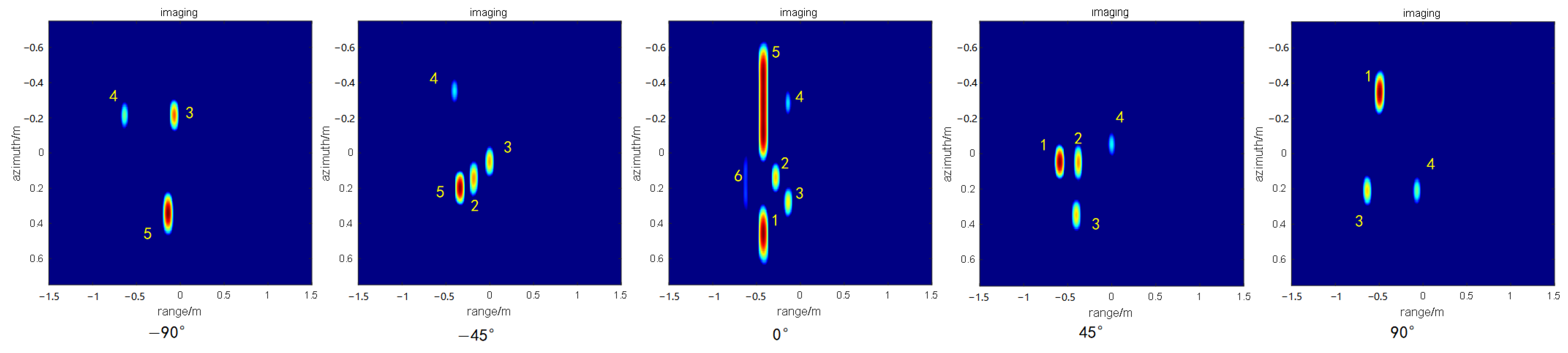
The imaging results at the observation angles of 90 , 45 , 0 , 45 , and 90 are shown in Figure 9, where the serial number represents the same scattering center corresponding to different angles.
The multi-angle Krogager decomposition polarization characteristic curves of the four scattering centers extracted are shown in Figure 10. The odd-order component κ o is taken as the polarization feature, and the feature classification is performed using the method described in Section 3.1.3. The Euclidean distance between the scattering center 1 and the sub-sequence of the dihedral angle standard sequence from 30 to 45 is calculated to be the smallest, which is 0.0447. It can be judged as a dihedral angle structure. At the same time, by comparing the characteristic curve with the dihedral standard characteristic curve, it can be judged that the orientation is 60 . Similarly, it can be obtained that scattering center 2 is a trihedral structure with an orientation of 30 ; scattering center 3 is the top cap; scattering center 4 is a sphere. The top cap and the ball are centrally symmetrical structures, and there is no need to judge the orientation. This verifies the effectiveness of the proposed multi-angle polarization feature classification method when the scattering structure orientation is unknown.

4.1.3. Anti-Noise Experiment

In order to verify the anti-noise performance of the proposed method, this experiment takes dihedral, trihedral, sphere, and cylinder as examples for simulation experiments. Random Gaussian white noise of 10 dB, 15 dB, 20 dB, 25 dB, 30 dB, 35 dB, 40 dB, and 45 dB is added to the obtained echo data, respectively, with 50 Monte Carlo experiments for each signal-to-noise ratio. The traditional ASC parameter estimation classification method and the multi-angle full-polarization feature classification method proposed in this paper can correctly identify the two scattering mechanisms under different noise conditions. If more than 45 of the 50 Monte Carlo experiments can be correctly identified, it can be considered that the anti-noise performance is better under this signal-to-noise ratio condition. In order to ensure that the traditional ASC parameter estimation method under single angle can correctly identify the scattering mechanism, the orientations of various scattering structures are set to 0 in the anti-noise experiment. The specific simulation scenario is shown in Figure 11.
The recognition results of the traditional method and the multi-angle polarization feature classification method under different noises are as shown in Table 5.
It can be seen that the anti-noise performance of the classification method based on multi-angle polarization characteristics is significantly better than that of the traditional method under single angle. This is because the traditional single-angle recognition method requires high accuracy of parameter estimation and relies too much on the parameter estimation results, resulting in weak robustness of recognition. This method combines the polarization characteristics of the target at multiple angles, and identifies the scattering mechanism through the polarization decomposition feature. It has low dependence and accuracy requirements on the parameter estimation results, and has strong robustness and noise immunity. In addition, for the cylinder, the anti-noise performance of the two methods is not strong. This is because the scattering intensity of the cylindrical scattering center is small during large-angle observation, and it is difficult to extract features under noise conditions.

4.2. Multi-Band Experimental Results and Analysis

4.2.1. Multi-Band Feature Extraction and Classification

In this section, we perform multi-band observation electromagnetic simulation on six typical scattering mechanisms: top-hat, dihedral, plate, sphere, trihedral, and cylinder. And their normalized multi-band rcs characteristics are obtained by multi-band ASC extraction method. The simulation scenario and parameter configuration are as shown in Figure 12:
The electromagnetic simulation experiments are carried out in S, C, X, Ku, and K bands. The multi-band ASC extraction method is used to obtain the rcs features of the scattering mechanism in different frequency bands. Finally, the normalized multi-band joint rcs features of the six scattering mechanisms are obtained by normalization, as shown in Figure 13.

4.2.2. Frequency-Dimensional Configuration Optimization and Classification

According to the experimental method of Section 4.2.1, five simulation experiments are carried out for each scattering mechanism according to different sizes to obtain five groups of normalized samples. Due to the small number of actual samples, in order to increase the diversity of samples while maintaining their original distribution characteristics, the NGDN data enhancement method in Section 3.2.3 is used to expand the sample data. The noise intensity coefficient η is set to 0.1, and the direction weight coefficient β is set to 0.2. The original data is expanded to 50 samples per type of scattering mechanism.
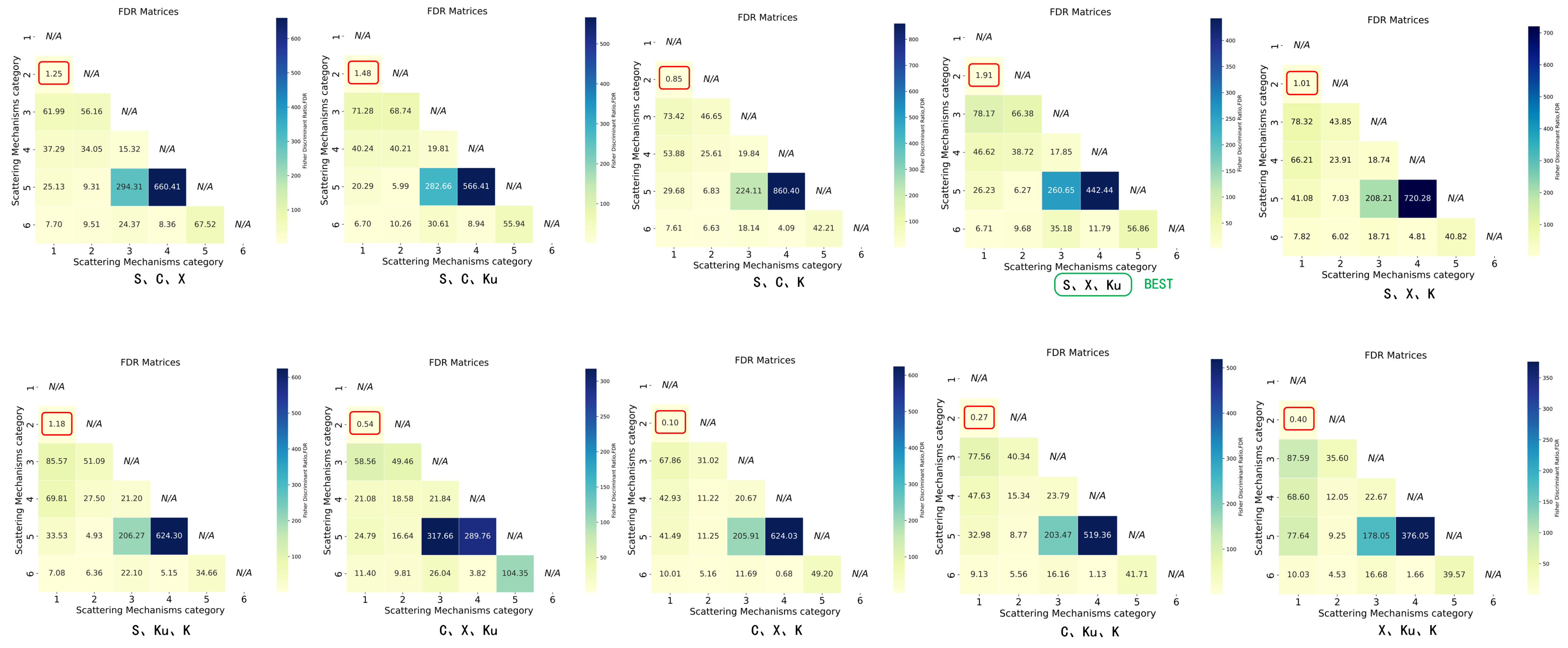
Taking the five frequency bands of S, C, X, Ku, and K as the full set of frequency dimension observation, the FDR between each scattering mechanism category in its subset 4-bands and 3-bands is calculated, and the optimal observation combination is obtained, so that the minimum FDR between the two categories is maximized.
The FDR matrix of the five bands is shown in Figure 14. The two categories with the smallest FDR of the multi-band rcs feature are the top hat and the dihedral, and the FDR is 0.91.
The FDR matrix of the six scattering mechanisms in the 4-band under different observation combinations is shown in Figure 15. Similarly, the two scattering mechanisms with the smallest separability of multi-band characteristics under each frequency observation combination are the top hat and the dihedral angle. The optimal observation combination in the 4-band is S, C, X, and Ku bands, and the minimum FDR value is 1.36.
The FDR matrix of the 3-band combination is shown in Figure 16. It can be seen that the optimal observation combination is S, X, and Ku, and the minimum FDR value is 1.91.
In order to more intuitively describe the separability between scattering mechanisms, we visualize it. PCA is used to reduce the dimension of 50 samples of 5-band, 4-band, and 3-band normalized multi-band rcs feature vectors, and the original feature vector is reduced to a two-dimensional vector to realize the visualization of the separability of scattering mechanism. The visual feature point cloud of the frequency dimension separability of the six scattering mechanisms under the optimal frequency observation combination is shown in Figure 17. Intuitively, the point cloud cluster is the closest to the top hat and the dihedral, which also shows that the multi-band characteristics of these two scattering mechanisms are the worst distinguishable.
In addition, the electromagnetic simulation of two groups of scattering mechanisms with different sizes is carried out, and two sets of simulation data are obtained. The method in Section 3.2.3 is used to expand the number of samples of each type to 20 test sets, and the original 50 groups of samples are used as training sets for training. The optimal observation combination of 5-band, 4-band, and 3-band uses the SVM classification method based on RBF kernel. The classification accuracy of the test set is 97%, 98%, and 97%, respectively, which achieves the ideal classification effect.
We also tested the classification results using linear kernels, and the classification accuracy was 91%. The confusion matrix of the test set using linear kernel and RBF kernel under the optimal observation combination of 3-band is shown in Figure 18; it can be seen that the classification performance of linear kernel is worse than that of RBF kernel, and there are more confusions in classification, because it cannot deal with nonlinear problems well.

4.3. Multi-Dimensional Observation Experiment of Slicy Model

In this section, multi-dimensional observation experiments are carried out on the Slicy model to test the effectiveness of the multi-band feature classification and multi-angle polarization feature classification methods proposed in this paper for the scattering centers of complex models, and to verify the optimality of the observation combination obtained in Section 4.2.2 at the same time.

4.3.1. Multi-Band Observation

The multi-band electromagnetic simulation observation of the Slicy model is carried out. The simulation scenario of the Slicy model is shown in Figure 19. In order to meet the resolution requirements, the bandwidth of the simulation is set to 3 GHz, and the remaining configurations are the same as shown in Table 6.
Experiments are carried out using the traditional ASC parameter estimation method based on α and L and the multi-band feature classification method proposed in this paper. The observation combination of frequency takes 5-band S, C, X, Ku, K, 4-band optimal observation combination S, C, X, Ku, 3-band optimal observation combination S, X, Ku, and 3-band partial non-optimal observation combination. The experimental results are shown in Table 7.
It can be seen that among the six main scattering centers of the Slicy model, the traditional method has misidentified the cylinder and one of the top hats, and the classification effect is general. Using 5-band classification, the same top hat is also identified as a dihedral angle, which may be because the FDR of the 5-band feature of the top hat and the dihedral angle is only 0.91, and the separability is not very ideal. The minimum FDR of the 4-band and 3-band is 1.36 and 1.91, and the overall separability is better, so the scattering center recognition effect is better. In addition, we also carried out experiments using different combinations of frequency bands in 3-band: C, X, K with a minimum FDR of 0.1; S, C, K with a minimum FDR of 0.85; S, C, X with a minimum FDR of 1.25. The experimental results are shown in Table 8.
It can be seen that due to the minimum FDR of the three non-optimal observation combinations being small, it is easy to misidentify between the top cap and the dihedral angle. At the same time, for the observation combination of C, X, and K, the FDR between the sphere and the cylinder is only 0.68, so it is also prone to misidentification. The imaging of the scattering center of the Slicy model and the classification results under the combination of S, X, and Ku observations are shown in Figure 20. By obtaining the multi-band electromagnetic scattering information of the target scattering mechanism, we extract the normalized multi-band joint rcs features and then classify them. Compared with the traditional single-dimensional ASC parameter estimation method, we introduce multi-band information so that we can obtain a more complete description of the target in the frequency dimension and improve the recognition accuracy. At the same time, the joint feature is also more robust than the traditional single-dimensional feature, because it does not rely too much on the estimation results of a certain parameter.

4.3.2. Multi-Angle Observation Experiment of Slicy Model

In order to further illustrate the effectiveness of the multi-angle polarization feature extraction and classification method on the combined model, this section performs multi-angle full polarization simulation on the Slicy model. The simulation scenario is shown in Figure 21, and the experimental parameter configuration is the same as that in Section 4.1.2.
The imaging results at 90 , 45 , 0 , 45 , and 90 observation angles are shown in Figure 22, where the serial number represents the same scattering center corresponding to different angles.
The multi-angle Krogager decomposition polarization feature curve of the scattering center is extracted, as shown in Figure 23. The classification and orientation judgment results of the five scattering centers are shown in Table 9. For the scattering centers 1 and 5, the scattering mechanism category shown at 0 observation angle is dihedral, just like the classification result of multi-band features in Section 4.3.1; in the multi-angle observation, the classification results are towards different trihedrals. These two results are not contradictory. Due to the anisotropy of the scattering structure, multi-angle observation can obtain the characteristics of the scattering structure at different angles, so as to describe the target more completely. For scattering center 6, due to its incomplete structure, the scattering intensity is small, and it can only be observed at 0 azimuth, which cannot meet the multi-angle observation conditions. Therefore, this method cannot be used to determine its type. Experiments show that the multi-angle method has certain applicability in the combined model.

5. Discussion

To address the issues of incomplete utilization of multi-dimensional information and high observation costs in MSJosSAR development, this study proposes a multi-dimensional feature extraction and recognition method based on the ASC scattering mechanism. Additionally, it optimizes the MSJosSAR configuration according to the separability of scattering mechanisms. Extensive experiments have been conducted to validate the effectiveness of the proposed approach. Due to the limitation of laboratory equipment, only the results of simulation experiments are shown in this paper. Next, we will use the custom complex target simulation metal model to carry out the actual measurement experiment in the microwave darkroom. We will use multi-band, fully polarized equipment to observe the target, and use the turntable to simulate multi-angle observation to obtain multi-dimensional data of the real target, and then verify the effectiveness of the proposed method.
Concerning the target’s features in the frequency domain, we use the ASC amplitudes of different scattering mechanisms in different frequency bands as multi-band joint rcs features, and normalize them to exclude the influence of structural size. Experiments show that these features have good separability, which lays a foundation for further classification of scattering mechanisms. The performance of the SVM classification method based on the normalized multi-frequency rcs feature is also due to the traditional ASC parameter estimation classification method. In addition to SVM, other machine learning algorithms can also be used as classifiers. The main challenge for the classifier here is to distinguish the two types of scattering mechanisms with fewer separability multi-band features, that is, the top cap and the dihedral also have better classification results, which can be used as a further extension of the frequency dimension research.
For the angle-dimensional features, we combine the advantages of fully polarimetric SAR with multi-angle observations and use the fully polarimetric scattering matrix to perform Krogager decomposition to obtain the multi-angle polarization characteristics of the scattering mechanism. Experiments show that the classification using this feature can be applied to the case where the scattering mechanism is uncertain and has a certain anti-noise performance. As the multi-angle polarization characteristics between scattering mechanisms can be well distinguished, we do not use a learning-based classifier, thereby saving computing costs.
FDR is a commonly used data classification method in machine learning. We introduce it into the study of multi-dimensional characteristics of scattering mechanisms to describe the separability of different scattering mechanisms in different dimensions, so as to further optimize the configuration of MSJosSAR. Experiments show that this optimization idea is feasible, and the optimized multi-dimensional features still have good separability.
Our work also has some limitations. The premise of multi-dimensional feature classification of scattering mechanism is the correct extraction of scattering centers. At present, our multi-dimensional ASC extraction method is still based on the OMP algorithm, and the performance may be reduced in the face of complex targets. Therefore, the ACS extraction algorithm can be further optimized in the subsequent research. For the registration of multi-dimensional channel scattering centers, we have adopted a method based on scattering center coordinates to ensure the consistency of scattering centers in multi-band channels. In multi-angle channels, it is still necessary to manually register the same scattering center through prior information. In the follow-up work, more automated registration methods need to be further studied. In addition, as the research of MSJosSAR multi-dimensional information is still in its infancy, we have fewer multi-dimensional data, so the generalization of classification may have some limitations. In the future, with the enrichment of MSJosSAR data, this problem will be improved.

6. Conclusions

Based on the MSJosSAR research framework and addressing the issue of insufficient utilization of multi-dimensional information, this paper extends the ASC to the frequency and angle dimensions and proposes a scattering mechanism-normalized multi-band joint RCS feature alongside a multi-angle Krogager polarization decomposition feature extraction and classification method. Experiments show that this method can effectively distinguish six typical scattering mechanisms. Compared with the traditional ASC parameter estimation classification method, the multi-band joint feature has lower dependence on the accuracy of parameter estimation, so it has better classification performance and robustness. For the multi-angle polarization feature classification method, we can use the anisotropy of the scattering mechanism to avoid the problem of misidentification when the orientation of the scattering structure is uncertain, and to estimate the orientation of the structure.
In addition, we also propose an MSJosSAR configuration optimization method based on the separability of the scattering mechanism. By selecting the appropriate observation combination, the FDR value between the scattering mechanisms with the smallest separability is maximized, which reduces the number of required observation dimensions and reduces the observation cost under the premise of meeting the identification requirements of the scattering mechanism. We obtain the optimal observation combination under different observation numbers of frequency dimension through experiments. Experiments show that the scattering mechanism still has good separability under the optimal observation combination.
This paper provides a reference framework for the joint processing and application of MSJosSAR multi-dimensional information. The core idea is to fulfill practical application requirements by extracting and analyzing the target’s multi-dimensional features. Specifically, the multi-dimensional features are divided into two parts: multi-frequency and multi-angle full polarization. In the future, combining these two feature sets could further optimize MSJosSAR and leverage more information to enhance target recognition performance.

Author Contributions

Conceptualization, S.L. and F.Z.; methodology, S.L.; software, S.L.; validation, S.L.; formal analysis, T.J.; investigation, S.L. and M.S.; resources, F.Z.; data curation, S.L.; writing—original draft preparation, S.L.; writing—review and editing, F.Z. and T.J.; visualization, Y.L.; supervision, M.S.; project administration, L.C.; funding acquisition, L.C. All authors have read and agreed to the published version of the manuscript.

Funding

This research was funded by the National Natural Science Foundation of China under grant 62201554, and the Beijing Science and Technology Star Program under grant 20230484420.

Data Availability Statement

The data presented in this study are available on request from the corresponding author.

Conflicts of Interest

The authors declare no conflicts of interest.

References

  1. Yonezawa, C.; Watanabe, M. Analysis of the applicability of multi-temporal full polarimetric airborne L-band SAR scattering to paddy rice field mapping. Int. J. Remote Sens. 2020, 41, 2500–2516. [Google Scholar] [CrossRef]
  2. Polcari, M.; Montuori, A.; Bignami, C.; Moro, M.; Stramondo, S.; Tolomei, C. Using multi-band InSAR data for detecting local deformation phenomena induced by the 2016–2017 Central Italy seismic sequence. Remote Sens. Environ. 2017, 201, 234–242. [Google Scholar] [CrossRef]
  3. El-Darymli, K.; Gill, E.W.; McGuire, P.F.; Power, D.T.; Moloney, C.R. Automatic Target Recognition in Synthetic Aperture Radar Imagery: A State-of-the-Art Review. IEEE Access 2016, 4, 6014–6058. [Google Scholar] [CrossRef]
  4. Zhu, X.; Shahzad, M. Facade Reconstruction Using Multiview Spaceborne TomoSAR Point Clouds. IEEE Trans. Geosci. Remote Sens. 2014, 52, 3541–3552. [Google Scholar] [CrossRef]
  5. Xuesong, W.; Siwei, C. Polarimetric Synthetic Aperture Radar Interpretation and Recognition: Advances and Perspectives. J. Radars 2020, 9, 259–276. [Google Scholar]
  6. Guangyu, J.; Yongwei, D.; Yuncheng, B.; Yanlei, L.; Liangjiang, Z.; Xingdong, L. Multi-band SAR Coherent Change Detection Method Based on Coherent Representation Differences of Targets. J. Radars 2018, 7, 455–464. [Google Scholar]
  7. Knight, C.; Gunther, J.H.; Moon, T.K. Breaking the isotropic scattering assumption in wide-beam stripmap SAR imaging. In Proceedings of the 2012 Conference Record of the Forty Sixth Asilomar Conference on Signals, Systems and Computers (ASILOMAR), Pacific Grove, CA, USA, 4–7 November 2012; pp. 232–236. [Google Scholar]
  8. Zebker, H.A.; Madsen, S.N.; Martin, J.M.; Wheeler, K.B.; Miller, T.W.; Lou, Y.; Alberti, G.; Vetrella, S.; Cucci, A. The TOPSAR interferometric radar topographic mapping instrument. IEEE Trans. Geosci. Remote Sens. 1992, 30, 933–940. [Google Scholar] [CrossRef]
  9. Reigber, A.; Scheiber, R.; Jäger, M.; Prats, P.; Hajnsek, I.; Jagdhuber, T.; Papathanassiou, K.P.; Nannini, M.; Aguilera, E.; Baumgartner, S.V.; et al. Very-High-Resolution Airborne Synthetic Aperture Radar Imaging: Signal Processing and Applications. Proc. IEEE 2013, 101, 759–783. [Google Scholar] [CrossRef]
  10. Liangjiang, Z.; Bingnan, W.; Yachao, W.; Yongtao, Z.; Zekun, J.; Chen, S.; Zhongbin, W.; Dong, H.; Chibiao, D. Preliminary Process of Airborne Multidimensional Space Joint-observation SAR System. J. Electron. Inf. Technol. 2023, 45, 1243–1253. [Google Scholar]
  11. Yi-rong, W. Concept on Multidimensional Space Joint-observation SAR. J. Radars 2013, 2, 135–142. [Google Scholar]
  12. Xie, Z.; Liu, H.; He, Y.; Song, Y.; Hu, F.; Guo, Q. Analysis of Forest Height Change in Helan Mountain Based on Multi-Band InSAR. In Proceedings of the 2023 3rd International Conference on Frontiers of Electronics, Information and Computation Technologies (ICFEICT), Yangzhou, China, 26–29 May 2023; pp. 21–27. [Google Scholar]
  13. Natale, A.; Berardino, P.; Esposito, C.; Palmese, G.; Lanari, R.; Perna, S. The New Italian Airborne Multiband Interferometric and Polarimetric SAR (MIPS) System: First Flight Test Results. In Proceedings of the IGARSS 2022—2022 IEEE International Geoscience and Remote Sensing Symposium, Kuala Lumpur, Malaysia, 17–22 July 2022; pp. 4506–4509. [Google Scholar]
  14. Yi-rong, W.; Wen, H.; Yan-ping, W. The Current Status and Implications of Polarimetric SAR Interferometry. J. Electron. Inf. Technol. 2007, 29, 1258–1262. [Google Scholar]
  15. Wang, C.; Song, T.; Shen, P. A Novel Iterative Reweighted Method for Forest Height Inversion Using Multibaseline PolInSAR Data. IEEE Geosci. Remote Sens. Lett. 2022, 19, 4020605. [Google Scholar] [CrossRef]
  16. Yan, J.; Xiaolan, Q.; Jie, P.; Songtao, S.; Zezhong, W.; Wei, W.; Hong, Y. MPOLSAR-1.0: Multidimensional SAR Multiband Fully Polarized Fine Classification Dataset. J. Radars 2024, 13, 525–538. [Google Scholar]
  17. Mengdao, X.; Yiyuan, X.; Yuexin, G.; Jinsong, Z.; Jiaming, L.; Zhixin, W. Electromagnetic Scattering Characteristic Extraction and Imaging Recognition Algorithm: A Review. J. Radars 2022, 11, 921–942. [Google Scholar]
  18. He, Y.; He, S.; Zhang, Y.; Wen, G.J.; Yu, D.F.; Zhu, G. A Forward Approach to Establish Parametric Scattering Center Models for Known Complex Radar Targets Applied to SAR ATR. IEEE Trans. Antennas Propag. 2014, 62, 6192–6205. [Google Scholar] [CrossRef]
  19. Jackson, J.A. Three-Dimensional Feature Models for Synthetic Aperture Radar and Experiments in Feature Extraction. Master’s Thesis, The Ohio State University, Columbus, OH, USA, 2009. [Google Scholar]
  20. Gerry, M.J.; Potter, L.C.; Gupta, I.J.; van der Merwe, A. A parametric model for synthetic aperture radar measurements. IEEE Trans. Antennas Propag. 1999, 47, 1179–1188. [Google Scholar] [CrossRef]
  21. Duan, J.; Zhang, L.; Xing, M.; Wu, Y.; Wu, M. Polarimetric Target Decomposition Based on Attributed Scattering Center Model for Synthetic Aperture Radar Targets. IEEE Geosci. Remote Sens. Lett. 2014, 11, 2095–2099. [Google Scholar] [CrossRef]
  22. Bhalla, R.; Ling, H. Three-dimensional scattering center extraction using the shooting and bouncing ray technique. IEEE Trans. Antennas Propag. 1996, 44, 1445–1453. [Google Scholar] [CrossRef]
  23. Koets, M.; Moses, R.L. Image domain feature extraction from synthetic aperture imagery. In Proceedings of the 1999 IEEE International Conference on Acoustics, Speech, and Signal Processing. Proceedings. ICASSP99, Phoenix, AZ, USA, 15–19 March 1999; Volume 4, pp. 2319–2322. [Google Scholar]
  24. Yang, D.; Ni, W.; Du, L.; Liu, H.; Wang, J. Efficient Attributed Scatter Center Extraction Based on Image-Domain Sparse Representation. IEEE Trans. Signal Process. 2020, 68, 4368–4381. [Google Scholar] [CrossRef]
  25. Fei, L.; Li, Y. Sparse based attributed scattering center extraction algorithm with dictionary refinement. In Proceedings of the 2016 CIE International Conference on Radar (RADAR), Guangzhou, China, 10–13 October 2016; pp. 1–4. [Google Scholar]
  26. Liu, H.; Jiu, B.; Li, F.; Wang, Y. Attributed Scattering Center Extraction Algorithm Based on Sparse Representation With Dictionary Refinement. IEEE Trans. Antennas Propag. 2017, 65, 2604–2614. [Google Scholar] [CrossRef]
  27. Li, Z.; Jin, K.; Xu, B.; Zhou, W.; Yang, J. An Improved Attributed Scattering Model Optimized by Incremental Sparse Bayesian Learning. IEEE Trans. Geosci. Remote Sens. 2016, 54, 2973–2987. [Google Scholar] [CrossRef]
  28. Yang, H.; Huang, Z.; Zhang, Z. Interpretable Attributed Scattering Center Extracted via Deep Unfolding. In Proceedings of the IGARSS 2024—2024 IEEE International Geoscience and Remote Sensing Symposium, Athens, Greece, 7–12 July 2024; pp. 2004–2008. [Google Scholar]
  29. Jing, M.; Zhang, G. Attributed Scattering Center Extraction With Genetic Algorithm. IEEE Trans. Antennas Propag. 2021, 69, 2810–2819. [Google Scholar] [CrossRef]
  30. Chen, J.; Long, B.; Wang, H. Parameter Retrieval of Attributed Scattering Center in Sar Image Using Reinforcement Learning. In Proceedings of the IGARSS 2023—2023 IEEE International Geoscience and Remote Sensing Symposium, Pasadena, CA, USA, 16–21 July 2023; pp. 5555–5558. [Google Scholar]
  31. Cong, Y.; Chen, B.; Liu, H.; Jiu, B. Nonparametric Bayesian Attributed Scattering Center Extraction for Synthetic Aperture Radar Targets. IEEE Trans. Signal Process. 2016, 64, 4723–4736. [Google Scholar] [CrossRef]
  32. Xie, Y.; Xing, M.; Gao, Y.; Wu, Z.; Sun, G.; Guo, L. Attributed Scattering Center Extraction Method for Microwave Photonic Signals Using DSM-PMM-Regularized Optimization. IEEE Trans. Geosci. Remote Sens. 2022, 60, 5230016. [Google Scholar] [CrossRef]
  33. Shen, X.; Zhuang, Z.; Wang, H.; Shu, F. An Effective Method for Attributed Scattering Center Extraction Based on an Improved ESPRIT Algorithm. IEEE Trans. Antennas Propag. 2025, 73, 1618–1629. [Google Scholar] [CrossRef]
  34. Krogager, E. New decomposition of the radar target scattering matrix. Electron. Lett. 1990, 26, 1525–1527. [Google Scholar] [CrossRef]
Figure 1. Multi-dimensional electromagnetic scattering characteristics observation space concept diagram.
Figure 1. Multi-dimensional electromagnetic scattering characteristics observation space concept diagram.
Remotesensing 17 02515 g001
Figure 2. Multi-dimensional electromagnetic scattering characteristics observation space concept diagram.
Figure 2. Multi-dimensional electromagnetic scattering characteristics observation space concept diagram.
Remotesensing 17 02515 g002
Figure 3. Fully polarized ASC parameter optimization algorithm.
Figure 3. Fully polarized ASC parameter optimization algorithm.
Remotesensing 17 02515 g003
Figure 4. Multi-angle polarization feature classification method based on sliding window Euclidean distance.
Figure 4. Multi-angle polarization feature classification method based on sliding window Euclidean distance.
Remotesensing 17 02515 g004
Figure 5. Normalized multi-band joint rcs feature extraction flow chart.
Figure 5. Normalized multi-band joint rcs feature extraction flow chart.
Remotesensing 17 02515 g005
Figure 6. Six typical scattering mechanisms of multi-angle full-polarization observation FEKO simulation scenarios and sizes (in meters as a unit): (a) Top hat, H = 0.15, R = 0.05, L = 0.2. (b) Dihedral, L = 1, H = 0.5. (c) Flatbed (edge diffraction), L = H = 0.5. (d) Sphere, R = 0.2. (e) Trihedral, L = H = 0.5. (f) Cylinder, H = 0.5 R = 0.2. The blue arrow represents the observation azimuth angle.
Figure 6. Six typical scattering mechanisms of multi-angle full-polarization observation FEKO simulation scenarios and sizes (in meters as a unit): (a) Top hat, H = 0.15, R = 0.05, L = 0.2. (b) Dihedral, L = 1, H = 0.5. (c) Flatbed (edge diffraction), L = H = 0.5. (d) Sphere, R = 0.2. (e) Trihedral, L = H = 0.5. (f) Cylinder, H = 0.5 R = 0.2. The blue arrow represents the observation azimuth angle.
Remotesensing 17 02515 g006
Figure 7. The angular dimension expansion curves of multi-angle polarization characteristics of six typical scattering structures.
Figure 7. The angular dimension expansion curves of multi-angle polarization characteristics of six typical scattering structures.
Remotesensing 17 02515 g007
Figure 8. FEKO electromagnetic simulation scenario with multiple scattering structures.The blue arrow represents the observation azimuth angle.
Figure 8. FEKO electromagnetic simulation scenario with multiple scattering structures.The blue arrow represents the observation azimuth angle.
Remotesensing 17 02515 g008
Figure 9. Multi-angle imaging results of scene containing multiple scattering structures. The serial number represents the same scattering center corresponding to different angles.
Figure 9. Multi-angle imaging results of scene containing multiple scattering structures. The serial number represents the same scattering center corresponding to different angles.
Remotesensing 17 02515 g009
Figure 10. Multi-angle polarization characteristic curves of four scattering centers in the multiple scattering structures experiment.
Figure 10. Multi-angle polarization characteristic curves of four scattering centers in the multiple scattering structures experiment.
Remotesensing 17 02515 g010
Figure 11. Electromagnetic simulation scene of anti-noise experiment. The blue arrow indicates the azimuth angle of the observation.
Figure 11. Electromagnetic simulation scene of anti-noise experiment. The blue arrow indicates the azimuth angle of the observation.
Remotesensing 17 02515 g011
Figure 12. Six typical scattering mechanisms multi-band observation FEKO simulation scenarios and sizes (in meters as a unit): (a) Top hat, H = 0.15, R = 0.05, L = 0.2. (b) Dihedral, L = 0.2, H = 0.2. (c) Flatbed (edge diffraction), L = H = 0.2. (d) Sphere, R = 0.2. (e) Trihedral, L = H = 0.2. (f) Cylinder, H = 0.3 R = 0.3.
Figure 12. Six typical scattering mechanisms multi-band observation FEKO simulation scenarios and sizes (in meters as a unit): (a) Top hat, H = 0.15, R = 0.05, L = 0.2. (b) Dihedral, L = 0.2, H = 0.2. (c) Flatbed (edge diffraction), L = H = 0.2. (d) Sphere, R = 0.2. (e) Trihedral, L = H = 0.2. (f) Cylinder, H = 0.3 R = 0.3.
Remotesensing 17 02515 g012
Figure 13. Normalized multi-band rcs characteristics of six typical scattering mechanisms.
Figure 13. Normalized multi-band rcs characteristics of six typical scattering mechanisms.
Remotesensing 17 02515 g013
Figure 14. S, C, X, Ku, K five-band FDR matrix. Numbers 1, 2, 3, 4, 5, and 6 represent top hat, dihedral, plate, ball, trihedral, and cylinder, respectively. Red circles highlight the two categories with the smallest FDR.
Figure 14. S, C, X, Ku, K five-band FDR matrix. Numbers 1, 2, 3, 4, 5, and 6 represent top hat, dihedral, plate, ball, trihedral, and cylinder, respectively. Red circles highlight the two categories with the smallest FDR.
Remotesensing 17 02515 g014
Figure 15. The 4-band observation combination FDR matrices. Numbers 1, 2, 3, 4, 5, and 6 represent top hat, dihedral, plate, ball, trihedral, and cylinder, respectively. Red circles highlight the two categories with the smallest FDR. The green circle highlights the optimal observation combination.
Figure 15. The 4-band observation combination FDR matrices. Numbers 1, 2, 3, 4, 5, and 6 represent top hat, dihedral, plate, ball, trihedral, and cylinder, respectively. Red circles highlight the two categories with the smallest FDR. The green circle highlights the optimal observation combination.
Remotesensing 17 02515 g015
Figure 16. The 3-band observation combination FDR matrices. Numbers 1, 2, 3, 4, 5, and 6 represent top hat, dihedral, plate, ball, trihedral, and cylinder, respectively. Red circles highlight the two categories with the smallest FDR. The green circle highlights the optimal observation combination.
Figure 16. The 3-band observation combination FDR matrices. Numbers 1, 2, 3, 4, 5, and 6 represent top hat, dihedral, plate, ball, trihedral, and cylinder, respectively. Red circles highlight the two categories with the smallest FDR. The green circle highlights the optimal observation combination.
Remotesensing 17 02515 g016
Figure 17. Six scattering mechanisms frequency dimension separability visual point cloud diagram.
Figure 17. Six scattering mechanisms frequency dimension separability visual point cloud diagram.
Remotesensing 17 02515 g017
Figure 18. The confusion matrix of linear kernel and RBF kernel classification on the test set under the combination of S, X, and Ku observations is used. Here, 0, 1, 2, 3, 4, and 5 represent the category top hat, dihedral, flat plate, ball, trihedral, and cylinder, respectively.
Figure 18. The confusion matrix of linear kernel and RBF kernel classification on the test set under the combination of S, X, and Ku observations is used. Here, 0, 1, 2, 3, 4, and 5 represent the category top hat, dihedral, flat plate, ball, trihedral, and cylinder, respectively.
Remotesensing 17 02515 g018
Figure 19. Slicy model multi-band observation FEKO electromagnetic simulation scene.
Figure 19. Slicy model multi-band observation FEKO electromagnetic simulation scene.
Remotesensing 17 02515 g019
Figure 20. Slicy model scattering center imaging classification results.
Figure 20. Slicy model scattering center imaging classification results.
Remotesensing 17 02515 g020
Figure 21. Slicy model multi-angle full-polarization observation electromagnetic simulation scene. The blue arrow indicates the azimuth angle of the observation.
Figure 21. Slicy model multi-angle full-polarization observation electromagnetic simulation scene. The blue arrow indicates the azimuth angle of the observation.
Remotesensing 17 02515 g021
Figure 22. Multi-angle observation imaging results of the Slicy model. The serial number represents the same scattering center corresponding to different angles.
Figure 22. Multi-angle observation imaging results of the Slicy model. The serial number represents the same scattering center corresponding to different angles.
Remotesensing 17 02515 g022
Figure 23. Slicy model scattering center multi-angle Krogager decomposition polarization feature curve.
Figure 23. Slicy model scattering center multi-angle Krogager decomposition polarization feature curve.
Remotesensing 17 02515 g023
Table 1. The scattering mechanism corresponding to different combinations of α and L.
Table 1. The scattering mechanism corresponding to different combinations of α and L.
Scattering Mechanism α LASC Type
Dihedral1>0distributed
Trihedral10localized
Edge diffraction−0.5>0distributed
Edge broadside0>0distributed
Sphere00localized
Top hat0.50localized
Cylinder0.5>0distributed
Corner diffraction−10localized
Table 2. Typical scattering mechanism multi-angle full polarization observation simulation configuration.
Table 2. Typical scattering mechanism multi-angle full polarization observation simulation configuration.
ParameterValue
Bandwidth1 GHz
Center frequency15 GHz
Beam width 7
Down-looking angle 45
Azimuth observation angle 0 , 15 , 30 , 45 , 60 , 75 , 90
Polarization modeHH, HV, VH, VV
Table 3. The main orientation of the scattering structure in the standard angular dimension space.
Table 3. The main orientation of the scattering structure in the standard angular dimension space.
Scattering ConstructionMain Orientation
Dihedral 0
Flatbed (edge diffraction) 0 , 90
Sphere/
Trihedral 45
Cylinder 0
Top hat/
Table 4. Scattering structure size and orientation setting.
Table 4. Scattering structure size and orientation setting.
Scattering ConstructionSizeMain Orientation
DihedralL = H = 0.3 m 60
TrihedralL = H = 0.2 m 30
CylinderH = 0.3 m, R = 0.1 m, L = 0.3 m/
Top hatR = 0.15 m/
Table 5. Anti-noise experimental results. “✓” represents the number of correct recognition ≥45 times; “×” represents the number of correct recognition < 45 times.
Table 5. Anti-noise experimental results. “✓” represents the number of correct recognition ≥45 times; “×” represents the number of correct recognition < 45 times.
10 dB15 dB20 dB25 dB30 dB35 dB40 dB45 dB
Single Angle ASC Parameter Estimation Classification
Dihedral×××
Trihedral×××××
Sphere××××××
Cylinder××××××
Multi-angle Krogager polarization decomposition feature classification method
Dihedral×××
Trihedral××
Sphere××××
Cylinder×××××
Table 6. Typical scattering mechanism multi-band observation simulation configuration.
Table 6. Typical scattering mechanism multi-band observation simulation configuration.
ParameterValue
Bandwidth1 GHz
Center frequency3 GHz, 6 GHz, 9 GHz, 15 GHz, 20 GHz
Beam width 7
Down-looking angle 45
Azimuth observation angle 0
Polarization modeHH
Table 7. The recognition results of Slicy model scattering centers by traditional methods and multi-band feature extraction and classification methods. Pink filling indicates error recognition.
Table 7. The recognition results of Slicy model scattering centers by traditional methods and multi-band feature extraction and classification methods. Pink filling indicates error recognition.
Coordinates of Scattering CenterTrue ValueConventional Method5-Band Classification S, C, X, Ku, K4-Band Classification S, C, X, Ku3-Band Classification S, X, Ku
−0.42, −0.21dihedraldihedraldihedraldihedraldihedral
−0.42, 0.46dihedraldihedraldihedraldihedraldihedral
−0.63, 0.19cylinderdihedralcylindercylindercylinder
−0.28, 0.14trihedraltrihedraltrihedraltrihedraltrihedral
−0.14, 0.28top hattop hattop hattop hattop hat
−0.14, −0.28top hatdihedraldihedraltop hattop hat
Table 8. The recognition results of Slicy model scattering centers by 3-band different frequency observation combinations. Pink filling indicates error recognition. The number after frequency combination is its minimum FDR value.
Table 8. The recognition results of Slicy model scattering centers by 3-band different frequency observation combinations. Pink filling indicates error recognition. The number after frequency combination is its minimum FDR value.
Coordinates of Scattering CenterTrue ValueC, X, K (0.1)S, C, K (0.85)S, C, X (1.25)S, X, Ku (Optimal)
−0.42, −0.21dihedraldihedraldihedraldihedraldihedral
−0.42, 0.46dihedraldihedraldihedraldihedraldihedral
−0.63, 0.19cylinderspherecylindercylindercylinder
−0.28, 0.14trihedraltrihedraltrihedraltrihedraltrihedral
−0.14, 0.28top hatdihedraltop hatdihedraltop hat
−0.14, −0.28top hatdihedraldihedraldihedraltop hat
Table 9. Multi-angle feature classification results of main scattering centers of Slicy model.
Table 9. Multi-angle feature classification results of main scattering centers of Slicy model.
Labels of Scattering CenterClassified ResultsOrientation
1trihedral 45
2trihedral 45
3top hat/
4top hat/
5trihedral 45
Disclaimer/Publisher’s Note: The statements, opinions and data contained in all publications are solely those of the individual author(s) and contributor(s) and not of MDPI and/or the editor(s). MDPI and/or the editor(s) disclaim responsibility for any injury to people or property resulting from any ideas, methods, instructions or products referred to in the content.

Share and Cite

MDPI and ACS Style

Liu, S.; Zhang, F.; Chen, L.; Shi, M.; Jiang, T.; Lei, Y. MSJosSAR Configuration Optimization and Scattering Mechanism Classification Based on Multi-Dimensional Features of Attribute Scattering Centers. Remote Sens. 2025, 17, 2515. https://doi.org/10.3390/rs17142515

AMA Style

Liu S, Zhang F, Chen L, Shi M, Jiang T, Lei Y. MSJosSAR Configuration Optimization and Scattering Mechanism Classification Based on Multi-Dimensional Features of Attribute Scattering Centers. Remote Sensing. 2025; 17(14):2515. https://doi.org/10.3390/rs17142515

Chicago/Turabian Style

Liu, Shuo, Fubo Zhang, Longyong Chen, Minan Shi, Tao Jiang, and Yuhui Lei. 2025. "MSJosSAR Configuration Optimization and Scattering Mechanism Classification Based on Multi-Dimensional Features of Attribute Scattering Centers" Remote Sensing 17, no. 14: 2515. https://doi.org/10.3390/rs17142515

APA Style

Liu, S., Zhang, F., Chen, L., Shi, M., Jiang, T., & Lei, Y. (2025). MSJosSAR Configuration Optimization and Scattering Mechanism Classification Based on Multi-Dimensional Features of Attribute Scattering Centers. Remote Sensing, 17(14), 2515. https://doi.org/10.3390/rs17142515

Note that from the first issue of 2016, this journal uses article numbers instead of page numbers. See further details here.

Article Metrics

Back to TopTop