Spatial and Temporal Expansion of Photovoltaic Sites and Thermal Environmental Effects in Ningxia Based on Remote Sensing and Deep Learning
Abstract
1. Introduction
- (1)
- A unified validation platform for PV extraction was developed, enabling systematic evaluation of nine mainstream deep learning semantic segmentation models across complex geomorphic regions, including “desert–agricultural transition zones” and “urban–ecological intertwined zones”. The platform standardizes data preprocessing, supports randomized sample selection, facilitates model adaptation and optimization, and incorporates a multi-indicator performance evaluation framework.
- (2)
- A comprehensive analytical framework was constructed by integrating Gaofen-1 (GF-1) multispectral imagery with Landsat-derived land surface temperature products to investigate PV–thermal environmental interactions in arid regions. The approach combines spatial buffer analysis, morphological metrics of PV patches, and seasonal and regional dimensions, thereby achieving deep coupling of multi-source remote sensing data, spatial structure characteristics, and temporal–seasonal factors.
- (3)
- A long-term PV database covering the period from 2015 to 2024 was compiled to quantitatively assess the dual-driven expansion mechanism characterized by “land resource optimization–policy incentive” dynamics. This database enables in-depth analysis of PV development across individual cities and the broader Ningxia Hui Autonomous Region, providing an empirical foundation for evaluating the effectiveness of related policy interventions.
2. Materials and Methods
2.1. Study Area
2.2. Data Acquisition and Preprocessing
2.3. Research Methodology
2.3.1. PV Site
2.3.2. Thermal Environment
3. Results
3.1. PV Site Extraction
3.2. Spatial and Temporal Expansion Patterns of PV Sites
3.2.1. Spatial and Temporal Expansion of PV Sites in Municipalities
3.2.2. Time Dilation Patterns of PV Sites
3.2.3. Spatial Expansion Patterns of PV Sites
3.3. PV Site Impact on the Thermal Environment
3.3.1. Impact of Distance on the Surrounding Thermal Environment
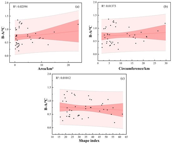
3.3.2. Factors Affecting the Surrounding Thermal Environment of PV Site Patches
4. Discussion
4.1. Drivers and Policy Factors for PV Expansion
4.2. Mechanisms for PV Site Impacts on the Thermal Environment
4.3. Ecological and Geographical Causes of Regional Differences
4.4. Policy Implications for Urban Planning
4.5. Study Strengths and Limitations
5. Conclusions
Author Contributions
Funding
Data Availability Statement
Conflicts of Interest
References
- Tan, Z.; Zhang, H.; Xu, J.; Wang, J.; Yu, C.; Zhang, J. Photovoltaic Power Generation in China: Development Potential, Benefits of Energy Conservation and Emission Reduction. J. Energy Eng. 2012, 138, 73–86. [Google Scholar] [CrossRef]
- Lu, Q.; Yu, H.; Zhao, K.; Leng, Y.; Hou, J.; Xie, P. Residential demand response considering distributed PV consumption: A model based on China’s PV policy. Energy 2019, 172, 443–456. [Google Scholar] [CrossRef]
- Mu, L.; Gu, Y.; Guo, Y.; Liu, P. The LCOE Evolution and Grid Parity Analysis of Centralized Solar Photovoltaic: A Case Study of Ningxia, China. Front. Energy Res. 2021, 9, 711864. [Google Scholar] [CrossRef]
- Stamford, L.; Azapagic, A. Environmental Impacts of Photovoltaics: The Effects of Technological Improvements and Transfer of Manufacturing from Europe to China. Energy Technol. 2018, 6, 1148–1160. [Google Scholar] [CrossRef]
- Wang, X.; Xiao, X.; Zhang, X.; Ye, H.; Dong, J.; He, Q.; Wang, X.; Liu, J.; Li, B.; Wu, J. Characterization and mapping of photovoltaic solar power plants by Landsat imagery and random forest: A case study in Gansu Province, China. J. Clean. Prod. 2023, 417, 138015. [Google Scholar] [CrossRef]
- Hastik, R.; Basso, S.; Geitner, C.; Haida, C.; Poljanec, A.; Portaccio, A.; Vrščaj, B.; Walzer, C. Renewable energies and ecosystem service impacts. Renew. Sustain. Energy Rev. 2015, 48, 608–623. [Google Scholar] [CrossRef]
- Jiang, H.; Yao, L.; Lu, N.; Qin, J.; Liu, T.; Liu, Y.; Zhou, C. Multi-resolution dataset for photovoltaic panel segmentation from satellite and aerial imagery. Earth Syst. Sci. Data 2021, 13, 5389–5401. [Google Scholar] [CrossRef]
- Wang, X.; Xiao, X.; Zou, Z.; Chen, B.; Ma, J.; Dong, J.; Doughty, R.B.; Zhong, Q.; Qin, Y.; Dai, S.; et al. Tracking annual changes of coastal tidal flats in China during 1986-2016 through analyses of Landsat images with Google Earth Engine. Remote Sens. Environ. 2020, 238, 110987. [Google Scholar] [CrossRef]
- Hou, T.; Sun, W.; Chen, C.; Yang, G.; Meng, X.; Peng, J. Marine floating raft aquaculture extraction of hyperspectral remote sensing images based decision tree algorithm. Int. J. Appl. Earth Obs. Geoinf. 2022, 111, 102846. [Google Scholar] [CrossRef]
- Malof, J.M.; Bradbury, K.; Collins, L.M.; Newell, R.G. Automatic detection of solar photovoltaic arrays in high resolution aerial imagery. Appl. Energy 2016, 183, 229–240. [Google Scholar] [CrossRef]
- Jie, Y.; Ji, X.; Yue, A.; Chen, J.; Deng, Y.; Chen, J.; Zhang, Y. Combined Multi-Layer Feature Fusion and Edge Detection Method for Distributed Photovoltaic Power Station Identification. Energies 2020, 13, 6742. [Google Scholar] [CrossRef]
- Bradbury, K.; Saboo, R.; Johnson, T.L.; Malof, J.M.; Devarajan, A.; Zhang, W.; Collins, L.M.; Newell, R.G. Distributed solar photovoltaic array location and extent dataset for remote sensing object identification. Sci. Data 2016, 3, 160106. [Google Scholar] [CrossRef]
- Chen, Z.; Kang, Y.; Sun, Z.; Wu, F.; Zhang, Q. Extraction of Photovoltaic Plants Using Machine Learning Methods: A Case Study of the Pilot Energy City of Golmud, China. Remote Sens. 2022, 14, 2697. [Google Scholar] [CrossRef]
- da Costa, M.V.C.V.; de Carvalho, O.L.F.; Orlandi, A.G.; Hirata, I.; de Albuquerque, A.O.; e Silva, F.V.; Guimarães, R.F.; Gomes, R.A.T.; Júnior, O.A.d.C. Remote Sensing for Monitoring Photovoltaic Solar Plants in Brazil Using Deep Semantic Segmentation. Energies 2021, 14, 2960. [Google Scholar] [CrossRef]
- Kruitwagen, L.; Story, K.T.; Friedrich, J.; Byers, L.; Skillman, S.; Hepburn, C. A global inventory of photovoltaic solar energy generating units. Nature 2021, 598, 604–610. [Google Scholar] [CrossRef] [PubMed]
- Hou, X.; Wang, B.; Hu, W.; Yin, L.; Wu, H. SolarNet: A Deep Learning Framework to Map Solar Power Plants In China From Satellite Imagery. arXiv 2019. [Google Scholar] [CrossRef]
- Chen, Y.; Zhou, J.; Ge, Y.; Dong, J. Uncovering the rapid expansion of photovoltaic power plants in China from 2010 to 2022 using satellite data and deep learning. Remote Sens. Environ. 2024, 305, 114100. [Google Scholar] [CrossRef]
- Turney, D.; Fthenakis, V. Environmental impacts from the installation and operation of large-scale solar power plants. Renew. Sustain. Energy Rev. 2011, 15, 3261–3270. [Google Scholar] [CrossRef]
- Millstein, D.; Menon, S. Regional climate consequences of large-scale cool roof and photovoltaic array deployment. Environ. Res. Lett. 2011, 6, 034001. [Google Scholar] [CrossRef]
- Genchi, Y.; Ishisaki, M.; Ohashi, Y.; Takahashi, H.; Inaba, A. Impacts of large-scale photovoltaic panel installation on the heat island effect in Tokyo. In Proceedings of the Fifth Conference on the Urban Climate, Łódź, Poland, 1–5 September 2003. [Google Scholar]
- Tian, W.; Wang, Y.; Xie, Y.; Wu, D.; Zhu, L.; Ren, J. Effect of building integrated photovoltaics on microclimate of urban canopy layer. Build. Environ. 2007, 42, 1891–1901. [Google Scholar] [CrossRef]
- Lu, X. The Environment Effect Analysis of PV Power Plant Construction in Desert Gobbi-Take Dongdongtan Million Kilowatt Soler Power Demonstration Base, Jiuquan City as An Example. Master’s Thesis, Lanzhou University, Lanzhou, China, 2013. (In Chinese). [Google Scholar]
- Broadbent, A.M.; Krayenhoff, E.S.; Georgescu, M.; Sailor, D.J. The Observed Effects of Utility-Scale Photovoltaics on Near-Surface Air Temperature and Energy Balance. J. Appl. Meteorol. Climatol. 2019, 58, 989–1006. [Google Scholar] [CrossRef]
- Li, P.; Luo, Y.; He, Z.; Zheng, J.; Xia, X.; Liao, Z.; Gao, X. A comparative study of the effects of photovoltaic power plants in desert and lake on the microclimate. Energy Rep. 2023, 10, 2128–2137. [Google Scholar] [CrossRef]
- Yang, H.; Li, Z.; Zhao, J.; Liu, Y.; Bai, J.; Yang, X. Impact of photovoltaic power field construction on surfacetemperature in desert and gobi regions: A case study of Junma Power Field. Sci. Soil Water Conserv. 2025, 23, 148–156. (In Chinese) [Google Scholar] [CrossRef]
- Liu, Y.; Zhang, R.-Q.; Huang, Z.; Cheng, Z.; Lopez-Vicente, M.; Ma, X.-R.; Wu, G.-L. Solar photovoltaic panels significantly promote vegetation recovery by modifying the soil surface microhabitats in an arid sandy ecosystem. Land. Degrad. Dev. 2019, 30, 2177–2186. [Google Scholar] [CrossRef]
- Luo, D.; Jin, H.; Marchenko, S.S.; Romanovsky, V.E. Difference between near-surface air, land surface and ground surface temperatures and their influences on the frozen ground on the Qinghai-Tibet Plateau. Geoderma 2018, 312, 74–85. [Google Scholar] [CrossRef]
- Yang, P.; Zhai, X.; Huang, H.; Zhang, Y.; Zhu, Y.; Shi, X.; Zhou, L.; Fu, C. Association and driving factors of meteorological drought and agricultural drought in Ningxia, Northwest China. Atmos. Res. 2023, 289, 106753. [Google Scholar] [CrossRef]
- Li, Z.; Shen, H.; Li, H.; Xia, G.; Gamba, P.; Zhang, L. Multi-feature combined cloud and cloud shadow detection in GaoFen-1 wide field of view imagery. Remote Sens. Environ. 2017, 191, 342–358. [Google Scholar] [CrossRef]
- Pflug, B.; Main-Knorn, M. Validation of atmospheric correction algorithm ATCOR. In Proceedings of the Conference on Remote Sensing of Clouds and the Atmosphere XIX and Optics in Atmospheric Propagation and Adaptive Systems XVII, Amsterdam, The Netherlands, 22–25 September 2014. [Google Scholar] [CrossRef]
- Roy, D.P.; Wulder, M.A.; Loveland, T.R.; Woodcock, C.E.; Allen, R.G.; Anderson, M.C.; Helder, D.; Irons, J.R.; Johnson, D.M.; Kennedy, R.; et al. Landsat-8: Science and product vision for terrestrial global change research. Remote Sens. Environ. 2014, 145, 154–172. [Google Scholar] [CrossRef]
- Cook, M.; Schott, J.R.; Mandel, J.; Raqueno, N. Development of an Operational Calibration Methodology for the Landsat Thermal Data Archive and Initial Testing of the Atmospheric Compensation Component of a Land Surface Temperature (LST) Product from the Archive. Remote Sens. 2014, 6, 11244–11266. [Google Scholar] [CrossRef]
- Jiménez-Muñoz, J.C.; Sobrino, J.A. A generalized single-channel method for retrieving land surface temperature from remote sensing data: Art. no. D08112. J. Geophys. Res. Atmos. 2004, 109, D08112. [Google Scholar] [CrossRef]
- Huang, Z.; Wang, X.; Wei, Y.; Huang, L.; Shi, H.; Liu, W.; Huang, T.S. CCNet: Criss-Cross Attention for Semantic Segmentation. Ieee Trans. Pattern Anal. Mach. Intell. 2023, 45, 6896–6908. [Google Scholar] [CrossRef]
- Fu, J.; Liu, J.; Tian, H.; Li, Y.; Bao, Y.; Fang, Z.; Lu, H.; Soc, I.C. Dual Attention Network for Scene Segmentation. In Proceedings of the 32nd IEEE/CVF Conference on Computer Vision and Pattern Recognition (CVPR), Long Beach, CA, USA, 16–20 June 2019; pp. 3141–3149. [Google Scholar]
- Zhang, H.; Dana, K.; Shi, J.; Zhang, Z.; Wang, X.; Tyagi, A.; Agrawal, A. Context Encoding for Semantic Segmentation. In Proceedings of the 31st IEEE/CVF Conference on Computer Vision and Pattern Recognition (CVPR), Salt Lake City, UT, USA, 18–23 June 2018; pp. 7151–7160. [Google Scholar] [CrossRef]
- Shelhamer, E.; Long, J.; Darrell, T. Fully Convolutional Networks for Semantic Segmentation. IEEE Trans. Pattern Anal. Mach. Intell. 2017, 39, 640–651. [Google Scholar] [CrossRef] [PubMed]
- Cao, Y.; Xu, J.; Lin, S.; Wei, F.; Hu, H. GCNet: Non-local Networks Meet Squeeze-Excitation Networks and Beyond. In Proceedings of the IEEE/CVF International Conference on Computer Vision (ICCV), Seoul, Republic of Korea, 2 November 2019; pp. 1971–1980. [Google Scholar] [CrossRef]
- Zhao, H.; Zhang, Y.; Liu, S.; Shi, J.; Loy, C.C.; Lin, D.; Jia, J. PSANet: Point-wise Spatial Attention Network for Scene Parsing. In Proceedings of the 15th European Conference on Computer Vision (ECCV), Munich, Germany, 8–14 September 2018; pp. 270–286. [Google Scholar] [CrossRef]
- Zhao, H.; Shi, J.; Qi, X.; Wang, X.; Jia, J. Pyramid Scene Parsing Network. In Proceedings of the 30th IEEE/CVF Conference on Computer Vision and Pattern Recognition (CVPR), Honolulu, HI, USA, 21–26 July 2017; pp. 6230–6239. [Google Scholar] [CrossRef]
- Chen, L.-C.; Papandreou, G.; Schroff, F.; Adam, H. Rethinking Atrous Convolution for Semantic Image Segmentation. Computer Vision and Pattern Recognition. arXiv 2017. [Google Scholar] [CrossRef]
- Chen, L.-C.; Zhu, Y.; Papandreou, G.; Schroff, F.; Adam, H. Encoder-Decoder with Atrous Separable Convolution for Semantic Image Segmentation. In Proceedings of the 15th European Conference on Computer Vision (ECCV), Munich, Germany, 8–14 September 2018; pp. 833–851. [Google Scholar] [CrossRef]
- Chen, C.; Zhao, H.; Cui, W.; He, X. Dual Crisscross Attention Module for Road Extraction from Remote Sensing Images. Sensors 2021, 21, 6873. [Google Scholar] [CrossRef] [PubMed]
- Czirjak, D. Detecting photovoltaic solar panels using hyperspectral imagery and estimating solar power production. J. Appl. Remote Sens. 2017, 11, 026007. [Google Scholar] [CrossRef]
- Xia, Z.; Li, Y.; Chen, R.; Sengupta, D.; Guo, X.; Xiong, B.; Niu, Y. Mapping the rapid development of photovoltaic power stations in northwestern China using remote sensing. Energy Rep. 2022, 8, 4117–4127. [Google Scholar] [CrossRef]
- Luan, Q.; Ye, C.; Liu, Y.; Li, S.; Gao, Y. Effect of urban green land on thermal environment of surroundings based on remote sensing: A case study in Beijing, China. Ecol. Environ. Sci. 2014, 23, 252–261. (In Chinese) [Google Scholar] [CrossRef]
- Liu, A.J.; Cameron, G.N. Analysis of landscape patterns in coastal wetlands of Galveston Bay, Texas (USA). Landsc. Ecol. 2001, 16, 581–595. [Google Scholar] [CrossRef]
- Hulshoff, R.M. Landscape indices describing a Dutch landscape. Landsc. Ecol. 1995, 10, 101–111. [Google Scholar] [CrossRef]
- Zhu, S.K.; Wang, S.; Zhang, J.T.; Gao, D.D.; Sheng, H.Y. Microclimate characteristics of photovoltaic arrays and their effects on plant growth in a solar power station area. Chin. J. Ecol. 2021, 40, 3078–3087. (In Chinese) [Google Scholar] [CrossRef]
- Zhao, Y.; Li, S.; Yang, D.; Yahaya, I.I.; Pan, H. Assessment of site suitability for centralized photovoltaic power stations in Northwest China’s six provinces. J. Environ. Manag. 2024, 366, 121820. [Google Scholar] [CrossRef]
- Hu, Y.-Y.; Lee, Y.-K.; Fu, W.-L. Analysis of China’s Solar Power Industry Development Strategy and Current Issues in the Post-Corona Era. J. Asian Stud. 2022, 25, 115–136. [Google Scholar] [CrossRef]
- Li, Q.; Yu, X.; Li, H. Batteries: From China’s 13th to 14th Five-Year Plan. eTransportation 2022, 14, 100201. [Google Scholar] [CrossRef]
- Wei, Y.; Zhao, T.; Wang, J.; Zhang, X.; Li, Z. Two-level allocation and its future change of CO2 reduction responsibility in China’s power sector. Environ. Impact Assess. Rev. 2023, 99, 107031. [Google Scholar] [CrossRef]
- Taha, H. The potential for air-temperature impact from large-scale deployment of solar photovoltaic arrays in urban areas. Sol. Energy 2013, 91, 358–367. [Google Scholar] [CrossRef]
- Yang, L.; Gao, X.; Lv, F.; Hui, X.; Ma, L.; Hou, X. Study on the local climatic effects of large photovoltaic solar farms in desert areas. Sol. Energy 2017, 144, 244–253. [Google Scholar] [CrossRef]
- Santamouris, M.; Synnefa, A.; Karlessi, T. Using advanced cool materials in the urban built environment to mitigate heat islands and improve thermal comfort conditions. Sol. Energy 2011, 85, 3085–3102. [Google Scholar] [CrossRef]
- Fassbender, E.; Rott, J.; Hemmerle, C. Impacts of Photovoltaic Façades on the Urban Thermal Microclimate and Outdoor Thermal Comfort: Simulation-Based Analysis. Buildings 2024, 14, 923. [Google Scholar] [CrossRef]
- Cortes, A.; Murashita, Y.; Matsuo, T.; Kondo, A.; Shimadera, H.; Inoue, Y. Numerical evaluation of the effect of photovoltaic cell installation on urban thermal environment. Sustain. Cities Soc. 2015, 19, 250–258. [Google Scholar] [CrossRef]
- Zhang, X.; Xu, M. Assessing the Effects of Photovoltaic Powerplants on Surface Temperature Using Remote Sensing Techniques. Remote Sens. 2020, 12, 1825. [Google Scholar] [CrossRef]
- Li, H.; Wang, G.; Tian, G.; Jombach, S. Mapping and Analyzing the Park Cooling Effect on Urban Heat Island in an Expanding City: A Case Study in Zhengzhou City, China. Land 2020, 9, 57. [Google Scholar] [CrossRef]
- Chang, R.; Luo, Y.; Zhu, R. Simulated local climatic impacts of large-scale photovoltaics over the barren area of Qinghai, China. Renew. Energy 2020, 145, 478–489. [Google Scholar] [CrossRef]
- Parida, B.; Iniyan, S.; Goic, R. A review of solar photovoltaic technologies. Renew. Sustain. Energy Rev. 2011, 15, 1625–1636. [Google Scholar] [CrossRef]
- Li, P.; Gao, X. The Impact of Photovoltaic Power Plants on Ecological Environment and Climate: A Literature Review. Plateau Meteorol. 2021, 40, 702–710. [Google Scholar] [CrossRef]
- Weng, Q.H.; Lu, D.S.; Schubring, J. Estimation of land surface temperature-vegetation abundance relationship for urban heat island studies. Remote Sens. Environ. 2004, 89, 467–483. [Google Scholar] [CrossRef]
- Wulder, M.; Boots, B. Local spatial autocorrelation characteristics of remotely sensed imagery assessed with the Getis statistic. Int. J. Remote Sens. 2010, 19, 2223–2231. [Google Scholar] [CrossRef]
- Zhang, X.; Zeraatpisheh, M.; Rahman, M.M.; Wang, S.; Xu, M. Texture Is Important in Improving the Accuracy of Mapping Photovoltaic Power Plants: A Case Study of Ningxia Autonomous Region, China. Remote Sens. 2021, 13, 3909. [Google Scholar] [CrossRef]















| Acquisition Time | Spatial Resolution | Band | Time Resolution | Width | |
|---|---|---|---|---|---|
| GF-1 WFV data | 18 October 2015 | 16 m | Blue (B), green (G), red (R), near-infrared band (NIR) | 4 days | 800 km |
| 13 September 2016 | |||||
| 14 November 2017 | |||||
| 2 November 2018 | |||||
| 14 November 2019 | |||||
| 4 September 2020 | |||||
| 17 November 2021 | |||||
| 31 October 2022 | |||||
| 23 October 2023 | |||||
| 22 October 2024 | |||||
| Landsat 8 data | 5 January 2024 (Winter) | 100 m | Thermal infrared band (TIR) | 16 days | 185 km × 185 km |
| 10 April 2024 (Spring) | |||||
| 15 July 2024 (Summer) | |||||
| 11 October 2024 (Autumn) |
| Hardware/Software Type | Versions |
|---|---|
| CPU | Intel (R) i7-10750H 2.60 GHz (From the American company Intel, Santa Clara, CA, USA) |
| GPU | NVIDIA GeForce GTX 1650 Ti (From the American company Nvidia, Santa Clara, CA, USA) |
| Operating system | Win11 (64) |
| Pytorch | 1.13.1 (By Facebook Artificial Intelligence Academy, Menlo Park, CA, USA) |
| CUDA | 11.6 (From the American company Nvidia) |
| Min | Max | Average | |
|---|---|---|---|
| 0.194 | 23.670 | 3.617 | |
| 1.860 | 29.589 | 9.402 | |
| Shape index | 16.036 | 62.068 | 32.792 |
| Temperature/°C | 23.38 | 29.12 | 25.56 |
| Algorithms | MIoU | Precision | Recall | F1-Score |
|---|---|---|---|---|
| CCNet | 91.87% | 88.13% | 88.4% | 88.27% |
| DANet | 87.07% | 88.05% | 88.4% | 88.22% |
| EncNet | 89.53% | 88.42% | 88.6% | 88.51% |
| FCN | 91.66% | 88.22% | 88.4% | 88.31% |
| GCNet | 89.69% | 87.38% | 88.1% | 87.74% |
| PSANet | 90.17% | 87.93% | 88.2% | 88.06% |
| PSPNet | 91.78% | 88.33% | 88.6% | 88.47% |
| DeepLabV3 | 91.58% | 88.24% | 88.5% | 88.37% |
| DeepLabV3+ | 91.97% | 89.02% | 89.2% | 89.11% |
| Year | Yinchuan/km2 | Zhongwei/km2 | Wuzhong/km2 | Shizuishan/km2 | Guyuan/km2 | Total Area/km2 |
|---|---|---|---|---|---|---|
| 2015 | 10.4416 | 24.4614 | 13.6265 | 10.3575 | 0.7327 | 59.6196 |
| 2016 | 26.3849 | 27.0840 | 38.0805 | 13.0645 | 0.7327 | 105.3467 |
| 2017 | 32.4000 | 33.3235 | 42.9349 | 13.1899 | 1.1405 | 122.9887 |
| 2018 | 45.6758 | 36.7389 | 46.6986 | 13.6218 | 1.1405 | 143.8755 |
| 2019 | 46.3711 | 38.9012 | 48.9266 | 16.1659 | 1.2067 | 151.5715 |
| 2020 | 48.9642 | 42.9799 | 57.7260 | 21.3969 | 1.2067 | 172.2738 |
| 2021 | 57.8685 | 61.6995 | 75.6431 | 23.5887 | 1.2857 | 220.0856 |
| 2022 | 61.2735 | 65.8045 | 79.9335 | 24.7232 | 1.2861 | 233.0208 |
| 2023 | 161.2580 | 93.0644 | 89.7526 | 29.3293 | 1.2861 | 374.6903 |
| 2024 | 171.2072 | 100.5315 | 104.7697 | 32.2686 | 1.2861 | 410.0630 |
| PV Site Patches | A/°C | B/°C | B − A/°C | C/°C | C − B/°C | D/°C | D − C/°C | |
|---|---|---|---|---|---|---|---|---|
| 1 | 23.670 | 25.41 | 26.60 | 1.19 | 26.87 | 0.27 | 26.87 | 0.00 |
| 2 | 14.735 | 27.17 | 28.07 | 0.90 | 28.43 | 0.36 | 28.53 | 0.11 |
| 3 | 12.444 | 28.06 | 28.48 | 0.42 | 28.81 | 0.33 | 28.95 | 0.14 |
| 4 | 10.525 | 26.30 | 26.96 | 0.66 | 27.12 | 0.16 | 27.00 | −0.12 |
| 5 | 9.481 | 29.12 | 29.81 | 0.68 | 29.81 | 0.01 | 29.74 | −0.07 |
| 6 | 9.115 | 29.02 | 29.68 | 0.66 | 29.70 | 0.02 | 29.57 | −0.13 |
| 7 | 7.773 | 23.57 | 24.41 | 0.84 | 24.63 | 0.22 | 24.51 | −0.12 |
| 8 | 6.594 | 24.51 | 25.01 | 0.51 | 25.21 | 0.20 | 25.13 | −0.08 |
| 9 | 6.004 | 27.27 | 27.89 | 0.62 | 28.06 | 0.18 | 28.27 | 0.21 |
| 10 | 5.620 | 27.47 | 28.18 | 0.71 | 28.38 | 0.20 | 28.36 | −0.01 |
| 11 | 4.807 | 24.47 | 25.52 | 1.04 | 25.72 | 0.20 | 25.80 | 0.08 |
| 12 | 4.786 | 27.54 | 28.28 | 0.74 | 28.51 | 0.23 | 28.51 | 0.00 |
| 13 | 4.772 | 24.35 | 25.15 | 0.80 | 25.24 | 0.10 | 25.28 | 0.04 |
| 14 | 2.685 | 23.66 | 24.10 | 0.44 | 24.39 | 0.29 | 24.31 | −0.09 |
| 15 | 2.607 | 24.86 | 26.09 | 1.23 | 26.36 | 0.26 | 26.30 | −0.06 |
| 16 | 2.391 | 24.88 | 26.09 | 1.21 | 26.72 | 0.63 | 26.93 | 0.21 |
| 17 | 1.946 | 24.89 | 26.18 | 1.29 | 26.72 | 0.54 | 26.76 | 0.04 |
| 18 | 1.684 | 25.75 | 26.99 | 1.25 | 27.55 | 0.55 | 27.76 | 0.21 |
| 19 | 1.622 | 25.16 | 25.57 | 0.41 | 25.85 | 0.28 | 25.86 | 0.01 |
| 20 | 1.603 | 23.63 | 24.68 | 1.06 | 25.24 | 0.56 | 25.32 | 0.08 |
| 21 | 1.600 | 25.46 | 26.57 | 1.11 | 27.03 | 0.46 | 26.86 | −0.17 |
| 22 | 1.452 | 24.74 | 25.20 | 0.46 | 25.49 | 0.28 | 25.81 | 0.32 |
| 23 | 1.431 | 26.66 | 26.85 | 0.19 | 26.76 | −0.09 | 26.57 | −0.19 |
| 24 | 1.413 | 23.38 | 23.76 | 0.37 | 24.07 | 0.31 | 23.91 | −0.16 |
| 25 | 1.164 | 27.74 | 28.08 | 0.35 | 28.17 | 0.09 | 28.05 | −0.13 |
| 26 | 1.098 | 24.10 | 24.56 | 0.46 | 24.52 | −0.04 | 24.11 | −0.42 |
| 27 | 1.047 | 26.08 | 27.43 | 1.35 | 27.87 | 0.44 | 28.04 | 0.17 |
| 28 | 0.868 | 25.13 | 25.72 | 0.59 | 25.95 | 0.23 | 25.80 | −0.16 |
| 29 | 0.854 | 26.59 | 26.92 | 0.33 | 26.87 | −0.04 | 26.69 | −0.18 |
| 30 | 0.713 | 24.01 | 24.44 | 0.42 | 24.61 | 0.17 | 24.53 | −0.08 |
| 31 | 0.690 | 26.73 | 27.22 | 0.48 | 27.00 | −0.21 | 26.84 | −0.16 |
| 32 | 0.685 | 25.79 | 26.54 | 0.75 | 26.89 | 0.35 | 26.82 | −0.07 |
| 33 | 0.642 | 24.82 | 25.61 | 0.78 | 26.05 | 0.44 | 25.87 | −0.17 |
| 34 | 0.591 | 26.21 | 27.20 | 0.99 | 27.58 | 0.38 | 27.59 | 0.01 |
| 35 | 0.514 | 26.15 | 26.64 | 0.50 | 26.45 | −0.19 | 25.94 | −0.52 |
| 36 | 0.503 | 23.62 | 24.37 | 0.75 | 24.80 | 0.43 | 24.71 | −0.10 |
| 37 | 0.395 | 25.39 | 26.03 | 0.64 | 25.97 | −0.06 | 25.77 | −0.20 |
| 38 | 0.384 | 24.82 | 25.56 | 0.74 | 25.64 | 0.08 | 25.81 | 0.17 |
| 39 | 0.332 | 24.26 | 25.24 | 0.98 | 25.54 | 0.30 | 25.26 | −0.29 |
| 40 | 0.247 | 26.13 | 27.18 | 1.05 | 27.83 | 0.65 | 28.10 | 0.27 |
| 41 | 0.217 | 24.14 | 24.54 | 0.40 | 24.68 | 0.14 | 24.52 | −0.16 |
| 42 | 0.194 | 24.43 | 24.69 | 0.26 | 24.98 | 0.29 | 25.00 | 0.02 |
Disclaimer/Publisher’s Note: The statements, opinions and data contained in all publications are solely those of the individual author(s) and contributor(s) and not of MDPI and/or the editor(s). MDPI and/or the editor(s) disclaim responsibility for any injury to people or property resulting from any ideas, methods, instructions or products referred to in the content. |
© 2025 by the authors. Licensee MDPI, Basel, Switzerland. This article is an open access article distributed under the terms and conditions of the Creative Commons Attribution (CC BY) license (https://creativecommons.org/licenses/by/4.0/).
Share and Cite
Xie, H.; Li, P.; Shi, F.; Han, C.; Cui, X.; Zhao, Y. Spatial and Temporal Expansion of Photovoltaic Sites and Thermal Environmental Effects in Ningxia Based on Remote Sensing and Deep Learning. Remote Sens. 2025, 17, 2440. https://doi.org/10.3390/rs17142440
Xie H, Li P, Shi F, Han C, Cui X, Zhao Y. Spatial and Temporal Expansion of Photovoltaic Sites and Thermal Environmental Effects in Ningxia Based on Remote Sensing and Deep Learning. Remote Sensing. 2025; 17(14):2440. https://doi.org/10.3390/rs17142440
Chicago/Turabian StyleXie, Heao, Peixian Li, Fang Shi, Chengting Han, Ximin Cui, and Yuling Zhao. 2025. "Spatial and Temporal Expansion of Photovoltaic Sites and Thermal Environmental Effects in Ningxia Based on Remote Sensing and Deep Learning" Remote Sensing 17, no. 14: 2440. https://doi.org/10.3390/rs17142440
APA StyleXie, H., Li, P., Shi, F., Han, C., Cui, X., & Zhao, Y. (2025). Spatial and Temporal Expansion of Photovoltaic Sites and Thermal Environmental Effects in Ningxia Based on Remote Sensing and Deep Learning. Remote Sensing, 17(14), 2440. https://doi.org/10.3390/rs17142440

