Linkage Between Radar Reflectivity Slope and Raindrop Size Distribution in Precipitation with Bright Bands
Abstract
1. Introduction
- (1)
- How do DSD parameters (mass-weighted mean diameter (Dm), normalized concentration parameter (Nw), shape parameter (μ), and slope (λ)) vary among precipitation with different reflectivity slopes?
- (2)
- How do the factors affect these slope–DSD relationships?
2. Materials and Methods
2.1. Materials
2.2. Methods
- (1).
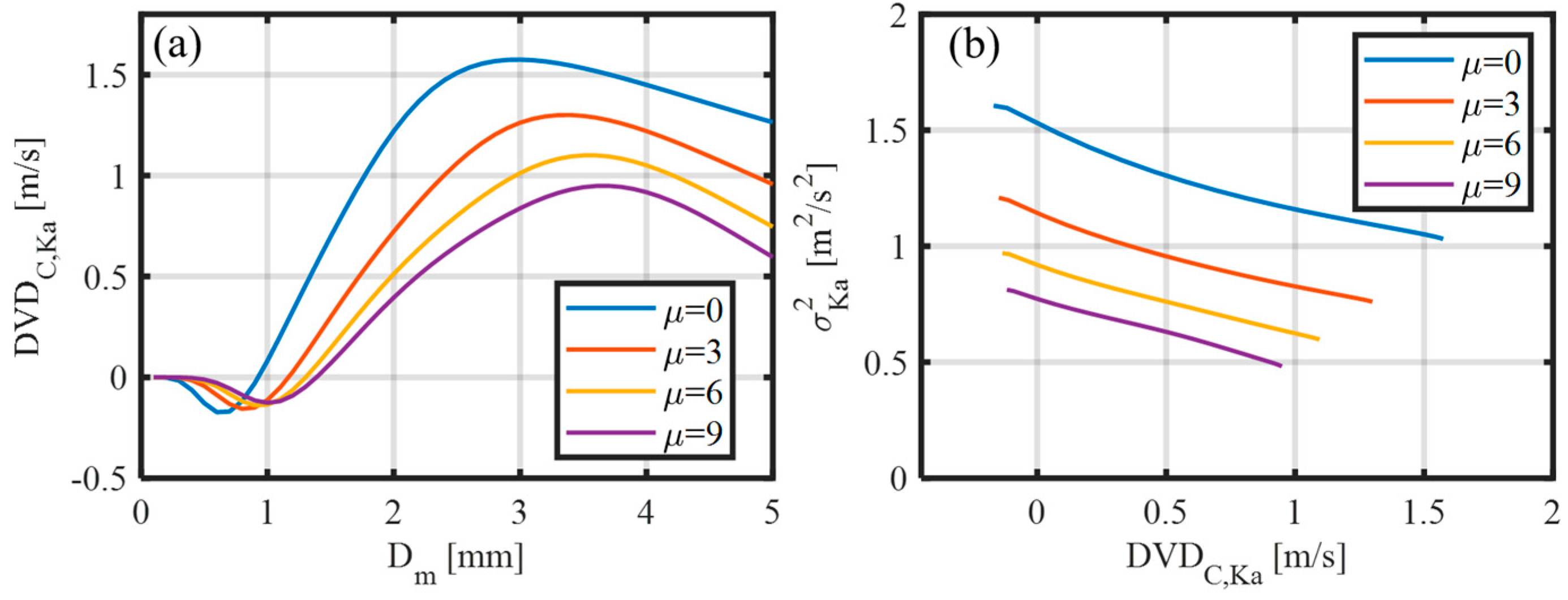
- Retrieval of μ: Using the radar-measured DVD and Ka-band velocity spectrum variance , we first retrieve μ, as shown in Figure 6b.
- (2).
- (3).
- Calculation of Nw: With measured C-band radar reflectivity and known μ and Dm, Nw is computed using Equation (6).
- (4).
- Retrieval of Vair: For the vertically pointing radar, the measured mean Doppler velocity of the C-band radar () is the sum of and Vair. The is calculated using Equation (6) and subtracted from to isolate Vair.
3. Results
3.1. DSD Parameters in Surface
3.2. Profile of DSD Parameters and Vair
3.3. Difference in Environmental Conditions
4. Discussion
5. Conclusions
Author Contributions
Funding
Data Availability Statement
Conflicts of Interest
References
- Ulbrich, C.W. Natural variations in the analytical form of the raindrop size distribution. J. Clim. Appl. Meteorol. 1983, 22, 1764–1775. [Google Scholar] [CrossRef]
- Bringi, V.N.; Chandrasekar, V. Polarimetric Doppler Weather Radar: Principles and Applications; Cambridge University Press: Cambridge, UK, 2001. [Google Scholar]
- Pruppacher, H.R.; Klett, J.D. Microphysics of Clouds and Precipitation: Reprinted 1980; Springer Science & Business Media: Berlin/Heidelberg, Germany, 2012. [Google Scholar]
- Doviak, R.J.; Zrnic, D.S. Doppler Radar & Weather Observations; Academic Press: Cambridge, MA, USA, 2014. [Google Scholar]
- Zeng, Z.; Wang, D.; Chen, Y. An investigation of convective features and Z-R relationships for a local extreme precipitation event. Atmos. Res. 2020, 250, 105372. [Google Scholar] [CrossRef]
- Hou, Y.; Kakar, R.K.; Neeck, S.; Azarbarzin, A.A.; Kummerow, C.D.; Kojima, M.; Oki, R.; Nakamura, K.; Iguchi, T. The global precipitation measurement mission. Bull. Am. Meteorol. Soc. 2014, 95, 701–722. [Google Scholar] [CrossRef]
- Bringi, V.; Chandrasekar, V.; Hubbert, J.; Gorgucci, E.; Randeu, W.; Schoenhuber, M. Raindrop size distribution in different climatic regimes from disdrometer and dual-polarized radar analysis. J. Atmos. Sci. 2003, 60, 354–365. [Google Scholar] [CrossRef]
- Kumjian, M.R.; Prat, O.P. The impact of raindrop collisional processes on the polarimetric radar variables. J. Atmos. Sci. 2014, 71, 3052–3067. [Google Scholar] [CrossRef]
- Liu, C.; Zipser, E.J. Why does radar reflectivity tend to increase downward toward the ocean surface, but decrease downward toward the land surface? J. Geophys. Res. Atmos. 2013, 118, 135–148. [Google Scholar] [CrossRef]
- Beard, K.V.; Ochs, H.T. Warm-Rain Initiation: An Overview of Microphysical Mechanisms. J. Appl. Meteorol. Climatol. 1993, 32, 608–625. [Google Scholar] [CrossRef]
- Huang, H.; Chen, F. Precipitation Microphysics of Tropical Cyclones Over the Western North Pacific Based on GPM DPR Observations: A Preliminary Analysis. J. Geophys. Res. Atmos. 2019, 124, 3124–3142. [Google Scholar] [CrossRef]
- Villarini, G.; Krajewski, W.F. Review of the Different Sources of Uncertainty in Single Polarization Radar-Based Estimates of Rainfall. Surv. Geophys. 2009, 31, 107–129. [Google Scholar] [CrossRef]
- Tokay, A.; Wolff, D.B.; Petersen, W.A. Evaluation of the new version of the laser-optical disdrometer, OTT Parsivel 2. J. Atmos. Ocean. Technol. 2014, 31, 1276–1288. [Google Scholar] [CrossRef]
- Williams, C.R.; Beauchamp, R.M.; Chandrasekar, V. Vertical air motions and raindrop size distributions estimated using mean Doppler velocity difference from 3-and 35-GHz vertically pointing radars. IEEE Trans. Geosci. Remote Sens. 2016, 54, 6048–6060. [Google Scholar] [CrossRef]
- Tokay, A.; D’Adderio, L.P.; Porcù, F.; Wolff, D.B.; Petersen, W.A. A field study of footprint-scale variability of raindrop size distribution. J. Hydrometeorol. 2017, 18, 3165–3179. [Google Scholar] [CrossRef]
- Raupach, T.H.; Berne, A. Retrieval of the raindrop size distribution from polarimetric radar data using double-moment normalisation. Atmos. Meas. Tech. Discuss. 2016, 2016, 1–28. [Google Scholar] [CrossRef]
- Wu, Y.; Liu, L. Statistical characteristics of raindrop size distribution in the Tibetan Plateau and southern China. Adv. Atmos. Sci. 2017, 34, 727–736. [Google Scholar] [CrossRef]
- Atlas, D.; Srivastava, R.C.; Sekhon, R.S. Doppler radar characteristics of precipitation at vertical incidence. Rev. Geophys. 1973, 11, 1–35. [Google Scholar] [CrossRef]
- Jaffrain, J.L.; Berne, A. Experimental Quantification of the Sampling Uncertainty Associated with Measurements from PARSIVEL Disdrometers. J. Hydrometeorol. 2011, 12, 352–370. [Google Scholar] [CrossRef]
- Pang, S.; Ruan, Z.; Yang, L.; Liu, X.; Huo, Z.; Li, F.; Ge, R. Estimating Raindrop Size Distributions and Vertical Air Motions with Spectral Difference Using Vertically Pointing Radar. J. Atmos. Ocean. Technol. 2021, 38, 1697–1713. [Google Scholar] [CrossRef]
- Ding, H.; Li, H.; Liu, L. Improved spectral processing for a multi-mode pulse compression Ka-Ku-band cloud radar system. Atmos. Meas. Tech. 2022, 15, 6181–6200. [Google Scholar] [CrossRef]
- Hersbach, H.; Bell, B.; Berrisford, P.; Hirahara, S.; Horányi, A.; Muñoz-Sabater, J.; Nicolas, J.; Peubey, C.; Radu, R.; Schepers, D.; et al. The ERA5 global reanalysis. Q. J. R. Meteorol. Soc. 2020, 146, 1999–2049. [Google Scholar] [CrossRef]
- Li, Q.; Li, H.; Sun, X.; Ruan, Z.; Liu, L.; Gao, W.; Liao, C.; Ding, H. On the Quantification of Thermodynamic Phases of Raining Clouds: Insights From Multi-Year CloudSat and Ground-Based Radar Observations Over Longmen, Southern China. J. Geophys. Res. Atmos. 2025, 130, e2024JD041824. [Google Scholar] [CrossRef]
- Battan, L.J. Rain Resulting from Melting Ice Particles. J. Appl. Meteorol. 2010, 16, 595–604. [Google Scholar] [CrossRef]
- Fabry, F.; Zawadzki, I. Long-Term Radar Observations of the Melting Layer of Precipitation and Their Interpretation. J. Atmos. Sci. 1957, 52, 838–851. [Google Scholar] [CrossRef]
- Takeda, T.; Fujiyoshi, Y. Micro-Physical Processes around Melting Layer in Precipitating Clouds as Observed by Vertically Pointing Radar. J. Meteorol. Soc. Jpn. 1978, 56, 293–303. [Google Scholar] [CrossRef]
- Yokoyama, T.; Tanaka, H.; Akaeda, K.; Ohtani, T.; Yoshizawa, N.; Yamanaka, M.D.; Mita, A.; Ishizaka, Y.; Ono, A. Observation on Microphysical Processes in the Stratiform Precipitations Including Melting Layers at Mt. Fuji. J. Meteorol. Soc. Japan. Ser. II 1985, 63, 100–111. [Google Scholar] [CrossRef][Green Version]
- Sekhon, R.S.; Srivastava, R.C. Doppler Radar Observations of Drop-Size Distributions in a Thunderstorm. J. Atmos. Sci. 1971, 28, 983–994. [Google Scholar] [CrossRef]
- Willis, P.T. Functional Fits to Some Observed Drop Size Distributions and Parameterization of Rain. J. Atmos. Sci. 1984, 41, 1648–1661. [Google Scholar] [CrossRef]
- Testud, J.; Oury, S.; Black, R.A.; Amayenc, P.; Dou, X. The Concept of ‘Normalized’ Distribution to Describe Raindrop Spectra: A Tool for Cloud Physics and Cloud Remote Sensing. J. Appl. Meteorol. Climatol. 2001, 40, 1118–1140. [Google Scholar] [CrossRef]
- Liu, C.; Zipser, E.J.; Cecil, D.J.; Nesbitt, S.W.; Sherwood, S. A cloud and precipitation feature database from nine years of TRMM observations. J. Appl. Meteorol. Climatol. 2008, 47, 2712–2728. [Google Scholar] [CrossRef]
- Anthes, R.; Cotton, W. Storm and Cloud Dynamics; Academic Press: Cambridge, MA, USA, 2011. [Google Scholar]
- Nzeukou, A.; Sauvageot, H.; Ochou, A.D.; Kebe, C.M.F. Raindrop Size Distribution and Radar Parameters at Cape Verde. J. Appl. Meteorol. 2004, 43, 90–105. [Google Scholar] [CrossRef]
- Tokay, A.; Short, D.A. Evidence from Tropical Raindrop Spectra of the Origin of Rain from Stratiform versus Convective Clouds. J. Appl. Meteorol. Climatol. 1996, 35, 355–371. [Google Scholar] [CrossRef]
- Tokay, A.; Short, D.A.; Williams, C.R.; Ecklund, W.L.; Gage, K.S. Tropical Rainfall Associated with Convective and Stratiform Clouds: Intercomparison of Disdrometer and Profiler Measurements. J. Appl. Meteorol. 1999, 38, 302–320. [Google Scholar] [CrossRef]
- Atlas, D.; Ulbrich, C.W.; Marks, F.D.; Amitai, E.; Williams, C.R. Systematic variation of drop size and radar-rainfall relations. J. Geophys. Res. Atmos. 1999, 104, 6155–6169. [Google Scholar] [CrossRef]
- Atlas, D.; Ulbrich, C.W. An Observationally Based Conceptual Model of Warm Oceanic Convective Rain in the Tropics. J. Appl. Meteorol. 1942, 39, 2165–2181. [Google Scholar] [CrossRef]
- Zhu, S.; Guo, X.; Lu, G.; Guo, L. Ice Crystal Habits and Growth Processes in Stratiform Clouds with Embedded Convection Examined through Aircraft Observation in Northern China. J. Atmos. Sci. 2014, 72, 2011–2032. [Google Scholar] [CrossRef]
- Schumacher, C.; Stevenson, S.N.; Williams, C.R. Vertical motions of the tropical convective cloud spectrum over Darwin, Australia. Q. J. R. Meteorol. Soc. 2015, 141, 2277–2288. [Google Scholar] [CrossRef]
- Zhang, G.; Vivekanandau, J.; Brandes, E. A method for estimating rain rate and drop size distribution from polarimetric radar measurements. IEEE Trans. Geosci. Remote Sens. 2001, 39, 830–841. [Google Scholar] [CrossRef]
- Brandes, E.A.; Zhang, G.; Vivekanandan, J. Drop Size Distribution Retrieval with Polarimetric Radar: Model and Application. J. Appl. Meteorol. 2004, 43, 461–475. [Google Scholar] [CrossRef]












| Type 1 | Type 2 | Type 3 | |
|---|---|---|---|
| ΔDm | >0 | >0 | >0 |
| ΔZ | >0 | 0 | <0 |
| microphysical processes | coalescence | coalescence, evaporation, and size sorting | evaporation and size sorting |
| Threshold | Type 1 | Type 2 | Type 3 |
|---|---|---|---|
| ±0.8 | 31.65% | 11.64% | 56.71% |
| ±0.9 | 32.35% | 8.08% | 59.57% |
| ±1.0 | 32.69% | 5.95% | 61.36% |
Disclaimer/Publisher’s Note: The statements, opinions and data contained in all publications are solely those of the individual author(s) and contributor(s) and not of MDPI and/or the editor(s). MDPI and/or the editor(s) disclaim responsibility for any injury to people or property resulting from any ideas, methods, instructions or products referred to in the content. |
© 2025 by the authors. Licensee MDPI, Basel, Switzerland. This article is an open access article distributed under the terms and conditions of the Creative Commons Attribution (CC BY) license (https://creativecommons.org/licenses/by/4.0/).
Share and Cite
Li, Q.; Sun, X.; Liu, X.; Li, H. Linkage Between Radar Reflectivity Slope and Raindrop Size Distribution in Precipitation with Bright Bands. Remote Sens. 2025, 17, 2393. https://doi.org/10.3390/rs17142393
Li Q, Sun X, Liu X, Li H. Linkage Between Radar Reflectivity Slope and Raindrop Size Distribution in Precipitation with Bright Bands. Remote Sensing. 2025; 17(14):2393. https://doi.org/10.3390/rs17142393
Chicago/Turabian StyleLi, Qinghui, Xuejin Sun, Xichuan Liu, and Haoran Li. 2025. "Linkage Between Radar Reflectivity Slope and Raindrop Size Distribution in Precipitation with Bright Bands" Remote Sensing 17, no. 14: 2393. https://doi.org/10.3390/rs17142393
APA StyleLi, Q., Sun, X., Liu, X., & Li, H. (2025). Linkage Between Radar Reflectivity Slope and Raindrop Size Distribution in Precipitation with Bright Bands. Remote Sensing, 17(14), 2393. https://doi.org/10.3390/rs17142393

