Spatiotemporal Dynamics and Driving Factors of Soil Wind Erosion in Inner Mongolia, China
Abstract
1. Introduction
2. Materials and Methods
2.1. Study Area
2.2. Data Collection and Processing
2.3. Methods
2.3.1. Wind Erosion Evaluation by the RWEQ Model Change Trend
2.3.2. Classification of Soil Wind Erosion Intensity
2.3.3. Trend Analysis
2.3.4. Geographical Detector Model
- 1. Factor detection. Factor detection is used to quantify the explanatory power of the driving factor (X) in the spatial variation of the response variable (Y), measured by the q value. The higher the q value, the more influential the driving factors are in explaining the variation [47]. All continuous driving factors were discretised prior to analysis. By iteratively searching for optimal breakpoints that maximise the q-statistic, each variable was divided into 4 to 9 categorical levels. The formula for calculating the q value is as follows:where D represents a specific influencing factor, H is the SWEM, Q indicates the contribution of the influencing factor to the soil erosion modulus, with a range of [0–1]. N and σ2 denote the number of units and value factors, respectively; h is the stratification of SWEM, and L is the score of the influencing factor. The statistical significance of q values was evaluated using p values computed via the R geodetector package (version 1.0-0), with p < 0.05 indicating significance.
- 2. Interaction detector. The interaction detector can identify whether there are interactions between different driving factors, as well as the linearity or nonlinearity, direction, and intensity of these interactions [46]. The classification of interaction types and corresponding interpretation criteria is presented in Table 4.
- 3. Risk detector. The risk detector module further compares the mean value of SWEM under the different strata (intervals) of a given factor. It is used to identify the risk threshold ranges of each variable that contribute significantly to high erosion intensity.
3. Results
3.1. Accuracy Assessment of the RWEQ Model
3.2. Spatiotemporal Variations of the SWEM
3.2.1. Annual Variations of the SWEM
3.2.2. Seasonal Variations of the SWEM
3.3. Analysis of Driving Factors Based on a GeoDetector Model
3.3.1. Factor Detection Analysis
3.3.2. Interaction Detection Analysis
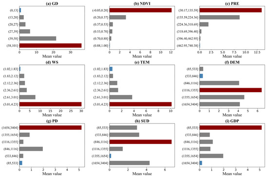
3.3.3. Risk Detection Analysis
3.4. Relationships Between Key Drivers and the SWEM
4. Discussion
4.1. Spatial Pattern of SWEM
4.2. Relationships Between Key Drivers and SWEM
4.3. Policy Impacts on Wind Erosion and Implications for Future Land Management
4.4. Limitations of This Study and Future Directions
5. Conclusions
Author Contributions
Funding
Data Availability Statement
Conflicts of Interest
Abbreviations
| RWEQ | Revised Wind Erosion Equation |
| SWEM | Soil Wind Erosion Modulus |
| HL | Hulunbuir City |
| HG | Hinggan League |
| TL | Tongliao City |
| CF | Chifeng City |
| XL | Xilingol League |
| UL | Ulanqab City |
| BT | Baotou City |
| HH | Hohhot City |
| BY | Bayannur City |
| OD | Ordos City |
| WH | Wuhai City |
| AL | Alxa League |
| CLCD | Annual China Land Cover Dataset |
| WS | Wind speed |
| GD | Gale days |
| PRE | Precipitation |
| TEM | Temperature |
| PET | Evapotranspiration |
| NDVI | Normalized Difference Vegetation Index |
| DEM | Digital Elevation Model |
| GDP | Gross Domestic Product |
| PD | Population density |
| SUD | Sheep unit density |
| TE | Tolerable erosion |
| LE | Light erosion |
| ME | Moderate erosion |
| SE | Severe erosion |
| ESE | Extremely Severe erosion |
| ESD | Extremely significant decrease |
| SD | Significant decrease |
| NSC | No significant change |
| ESI | Extremely significant increase |
| SI | Significant increase |
References
- Meng, Z.; Dang, X.; Gao, Y.; Ren, X.; Ding, Y.; Wang, M. Interactive Effects of Wind Speed, Vegetation Coverage and Soil Moisture in Controlling Wind Erosion in a Temperate Desert Steppe, Inner Mongolia of China. J. Arid Land 2018, 10, 534–547. [Google Scholar] [CrossRef]
- Wang, Y.; Xiao, Y.; Xu, J.; Xie, G.; Qin, K.; Liu, J.; Niu, Y.; Gan, S.; Huang, M. Evaluation of Inner Mongolia Wind Erosion Prevention Service Based on Land Use and the RWEQ Model. J. Resour. Ecol. 2022, 13, 763–774. [Google Scholar] [CrossRef]
- Fallahzade, J.; Karimi, A.; Naderi, M.; Shirani, H. Soil Mechanical Properties and Wind Erosion Following Conversion of Desert to Irrigated Croplands in Central Iran. Soil Tillage Res. 2020, 204, 104665. [Google Scholar] [CrossRef]
- Pierre, C.; Kergoat, L.; Hiernaux, P.; Baron, C.; Bergametti, G.; Rajot, J.-L.; Abdourhamane Toure, A.; Okin, G.S.; Marticorena, B. Impact of Agropastoral Management on Wind Erosion in Sahelian Croplands. Land Degrad. Dev. 2018, 29, 800–811. [Google Scholar] [CrossRef]
- Zhang, K.; Qu, J.; Han, Q.; Xie, S.; Kai, K.; Niu, Q.; An, Z. Wind Tunnel Simulation of Windblown Sand Along China’s Qinghai–Tibet Railway. Land Degrad. Dev. 2014, 25, 244–250. [Google Scholar] [CrossRef]
- Zhou, W.; Gang, C.; Zhou, F.; Li, J.; Dong, X.; Zhao, C. Quantitative Assessment of the Individual Contribution of Climate and Human Factors to Desertification in Northwest China Using Net Primary Productivity as an Indicator. Ecol. Indic. 2015, 48, 560–569. [Google Scholar] [CrossRef]
- Joshi, J.R. Quantifying the Impact of Cropland Wind Erosion on Air Quality: A High-Resolution Modeling Case Study of an Arizona Dust Storm. Atmos. Environ. 2021, 263, 118658. [Google Scholar] [CrossRef]
- Li, J.; Yuan, X.; Su, Y.; Qian, K.; Liu, Y.; Yan, W.; Xu, S.; Yang, X.; Luo, G.; Ma, X. Trade-Offs and Synergistic Relationships in Wind Erosion in Central Asia over the Last 40 Years: A Bayesian Network Analysis. Geoderma 2023, 437, 116597. [Google Scholar] [CrossRef]
- Dai, Y.; Tian, L.; Zhu, P.; Dong, Z.; Zhang, R. Dynamic Aeolian Erosion Evaluation and Ecological Service Assessment in Inner Mongolia, Northern China. Geoderma 2022, 406, 115518. [Google Scholar] [CrossRef]
- Fryrear, D.W.; Stout, J.E.; Hagen, L.J.; Vories, E.D. Wind Erosion: Field Measurement And Analysis. Trans. ASAE 1991, 34, 0155. [Google Scholar] [CrossRef]
- Fister, W.; Ries, J.B. Wind Erosion in the Central Ebro Basin under Changing Land Use Management. Field Experiments with a Portable Wind Tunnel. J. Arid. Environ. 2009, 73, 996–1004. [Google Scholar] [CrossRef]
- Hagen, L.J. A Wind Erosion Prediction System to Meet User Needs. J. Soil Water Conserv. 1991, 46, 106–111. [Google Scholar] [CrossRef]
- Zou, X.; Zhang, C.; Cheng, H.; Kang, L.; Wu, X.; Chang, C.; Wang, Z.; Zhang, F.; Li, J.; Liu, C.; et al. Classification and Representation of Factors Affecting Soil Wind Erosion in A Model. Adv. Earth Sci. 2014, 29, 875–889. [Google Scholar] [CrossRef]
- Shao, Y.P.; Leys, J.F. A Model for Predicting Aeolian Sand Drift and Dust Entrainment on Scales from Paddock to Region. Soil Res. 1996, 34, 309–342. [Google Scholar] [CrossRef]
- Fryrear, D.W.; Bilbro, J.D.; Saleh, A.; Schomberg, H.; Stout, J.E.; Zobeck, T.M. RWEQ: Improved Wind Erosion Technology. J. Soil Water Conserv. 2000, 55, 183–189. [Google Scholar] [CrossRef]
- Wang, J.; Zhen, J.; Hu, W.; Chen, S.; Lizaga, I.; Zeraatpisheh, M.; Yang, X. Remote Sensing of Soil Degradation: Progress and Perspective. Int. Soil Water Conserv. Res. 2023, 11, 429–454. [Google Scholar] [CrossRef]
- Ma, X.; Zhao, C.; Zhu, J. Aggravated Risk of Soil Erosion with Global Warming—A Global Meta-Analysis. Catena 2021, 200, 105129. [Google Scholar] [CrossRef]
- Zhao, C.; Zhang, H.; Wang, M.; Jiang, H.; Peng, J.; Wang, Y. Impacts of Climate Change on Wind Erosion in Southern Africa between 1991 and 2015. Land Degrad. Dev. 2021, 32, 2169–2182. [Google Scholar]
- Wang, W.; Samat, A.; Ge, Y.; Ma, L.; Tuheti, A.; Zou, S.; Abuduwaili, J. Quantitative Soil Wind Erosion Potential Mapping for Central Asia Using the Google Earth Engine Platform. Remote Sens. 2020, 12, 3430. [Google Scholar] [CrossRef]
- Wei, X.; Wu, X.; Wang, D.; Wu, T.; Li, R.; Hu, G.; Zou, D.; Bai, K.; Ma, X.; Liu, Y.; et al. Spatiotemporal Variations and Driving Factors for Potential Wind Erosion on the Mongolian Plateau. Sci. Total Environ. 2023, 862, 160829. [Google Scholar] [CrossRef]
- Lin, J.; Guan, Q.; Pan, N.; Zhao, R.; Yang, L.; Xu, C. Spatiotemporal Variations and Driving Factors of the Potential Wind Erosion Rate in the Hexi Region, PR China. Land Degrad. Dev. 2021, 32, 139–157. [Google Scholar] [CrossRef]
- Zhang, G.; Azorin-Molina, C.; Shi, P.; Lin, D.; Guijarro, J.A.; Kong, F.; Chen, D. Impact of Near-Surface Wind Speed Variability on Wind Erosion in the Eastern Agro-Pastoral Transitional Zone of Northern China, 1982–2016. Agric. For. Meteorol. 2019, 271, 102–115. [Google Scholar] [CrossRef]
- Zhang, H.; Fan, J.; Cao, W.; Harris, W.; Li, Y.; Chi, W.; Wang, S. Response of Wind Erosion Dynamics to Climate Change and Human Activity in Inner Mongolia, China during 1990 to 2015. Sci. Total Environ. 2018, 639, 1038–1050. [Google Scholar] [CrossRef]
- Zhang, X.; Zhang, C.; Zuo, X.; Zou, X.; Wang, X.; Zhao, J.; Li, W.; Zhou, Z.; Zhang, Y. Extension of the Revised Wind Erosion Equation (RWEQ) to Calculate Grassland Wind Erosion Rates Based on the 137Cs Tracing Technique. CATENA 2024, 234, 107544. [Google Scholar] [CrossRef]
- Borrelli, P.; Robinson, D.A.; Fleischer, L.R.; Lugato, E.; Ballabio, C.; Alewell, C.; Meusburger, K.; Modugno, S.; Schütt, B.; Ferro, V. An Assessment of the Global Impact of 21st Century Land Use Change on Soil Erosion. Nat. Commun. 2017, 8, 2013. [Google Scholar] [CrossRef] [PubMed]
- Keesstra, S.; Pereira, P.; Novara, A.; Brevik, E.C.; Azorin-Molina, C.; Parras-Alcantara, L.; Jordan, A.; Cerda, A. Effects of Soil Management Techniques on Soil Water Erosion in Apricot Orchards. Sci. Total Environ. 2016, 551–552, 357–366. [Google Scholar] [CrossRef]
- Xu, J.; Xiao, Y.; Xie, G.; Wang, Y.; Jiang, Y. Computing Payments for Wind Erosion Prevention Service Incorporating Ecosystem Services Flow and Regional Disparity in Yanchi County. Sci. Total Environ. 2019, 674, 563–579. [Google Scholar] [CrossRef]
- García-Ruiz, J.M. The Effects of Land Uses on Soil Erosion in Spain: A Review. Catena 2010, 81, 1–11. [Google Scholar] [CrossRef]
- Hoffmann, C.; Funk, R.; Reiche, M.; Li, Y. Assessment of Extreme Wind Erosion and Its Impacts in Inner Mongolia, China. Aeolian Res. 2011, 3, 343–351. [Google Scholar] [CrossRef]
- Lyu, X.; Li, X.; Wang, H.; Gong, J.; Li, S.; Dou, H.; Dang, D. Soil Wind Erosion Evaluation and Sustainable Management of Typical Steppe in Inner Mongolia, China. J. Environ. Manag. 2021, 277, 111488. [Google Scholar] [CrossRef]
- Zhou, Y.; Guo, B.; Wang, S.; Tao, H. An Estimation Method of Soil Wind Erosion in Inner Mongolia of China Based on Geographic Information System and Remote Sensing. J. Arid Land 2015, 7, 304–317. [Google Scholar] [CrossRef]
- Wang, J.-F.; Zhang, T.-L.; Fu, B.-J. A Measure of Spatial Stratified Heterogeneity. Ecol. Indic. 2016, 67, 250–256. [Google Scholar] [CrossRef]
- Zhao, X.; Tan, S.; Li, Y.; Wu, H.; Wu, R. Quantitative Analysis of Fractional Vegetation Cover in Southern Sichuan Urban Agglomeration Using Optimal Parameter Geographic Detector Model, China. Ecol. Indic. 2024, 158, 111529. [Google Scholar] [CrossRef]
- Yan, M.; Li, Q.; Song, Y. Spatial and Temporal Distribution Characteristics and Influential Mechanisms of China’s Industrial Landscape Based on Geodetector. Land 2024, 13, 746. [Google Scholar] [CrossRef]
- Li, H.; Chen, J.; Ling, M.; Chen, Z.; Lan, Y.; Huang, Q.; Li, X.; You, H.; Wang, F.; Han, X.; et al. A Framework for Dynamic Assessment of Soil Erosion and Detection of Driving Factors in Alpine Grassland Ecosystems Using the RUSLE-InVEST (SDR) Model and Geodetector: A Case Study of the Source Region of the Yellow River. Ecol. Inform. 2025, 85, 102928. [Google Scholar] [CrossRef]
- Du, Z.; Yu, L.; Chen, X.; Gao, B.; Yang, J.; Fu, H.; Gong, P. Land Use/Cover and Land Degradation across the Eurasian Steppe: Dynamics, Patterns and Driving Factors. Sci. Total Environ. 2024, 909, 168593. [Google Scholar] [CrossRef]
- Yao, B.; Gong, X.; Li, Y.; Li, Y.; Lian, J.; Wang, X. Spatiotemporal Variation and GeoDetector Analysis of NDVI at the Northern Foothills of the Yinshan Mountains in Inner Mongolia over the Past 40 Years. Heliyon 2024, 10, e39309. [Google Scholar] [CrossRef]
- Dou, H.; Li, X.; Li, S.; Dang, D.; Li, X.; Lyu, X.; Li, M.; Liu, S. Mapping Ecosystem Services Bundles for Analyzing Spatial Trade-Offs in Inner Mongolia, China. J. Clean. Prod. 2020, 256, 120444. [Google Scholar] [CrossRef]
- Li, D.; Wu, S.; Liu, L.; Zhang, Y.; Li, S. Vulnerability of the Global Terrestrial Ecosystems to Climate Change. Glob. Change Biol. 2018, 24, 4095–4106. [Google Scholar] [CrossRef]
- Du, H.; Dou, S.; Deng, X.; Xue, X.; Wang, T. Assessment of Wind and Water Erosion Risk in the Watershed of the Ningxia-Inner Mongolia Reach of the Yellow River, China. Ecol. Indic. 2016, 67, 117–131. [Google Scholar] [CrossRef]
- Jiang, L.; Xiao, Y.; Zheng, H.; Ouyang, Z. Spatio-Temporal Variation of Wind Erosion in Inner Mongolia of China Between 2001 and 2010. Chin. Geogr. Sci. 2016, 26, 155–164. [Google Scholar]
- Elliot, D. Adjustment and Analysis of Data for Regional Wind Energy Assessments. In Proceedings of the Workshop on Wind Climate, Asheville, NC, USA, 12–13 November 1979; pp. 121–173. [Google Scholar]
- Yang, J.; Huang, X. The 30 m Annual Land Cover Dataset and Its Dynamics in China from 1990 to 2019. Earth Syst. Sci. Data 2021, 13, 3907–3925. [Google Scholar] [CrossRef]
- Teng, Y.; Zhan, J.; Liu, W.; Sun, Y.; Agyemang, F.B.; Liang, L.; Li, Z. Spatiotemporal Dynamics and Drivers of Wind Erosion on the Qinghai-Tibet Plateau, China. Ecol. Indic. 2021, 123, 107340. [Google Scholar] [CrossRef]
- SL190-2007; Classification Criteria of Soil Erosion Intensities. Ministry of Water Resources of the People’s Republic of China: Beijing, China, 2007.
- Wang, J.; Xu, C. Geodetector: Principle and Prospective. Acta Geogr. Sin. 2017, 72, 116–134. [Google Scholar] [CrossRef]
- Li, W.; Kang, J.; Wang, Y. Spatiotemporal Changes and Driving Forces of Ecological Security in the Chengdu-Chongqing Urban Agglomeration, China: Quantification Using Health-Services-Risk Framework. J. Clean. Prod. 2023, 389, 136135.1–136135.15. [Google Scholar]
- Hoffmann, C.; Funk, R.; Li, Y.; Sommer, M. Effect of Grazing on Wind Driven Carbon and Nitrogen Ratios in the Grasslands of Inner Mongolia. CATENA 2008, 75, 182–190. [Google Scholar] [CrossRef]
- Chi, W.; Zhao, Y.; Kuang, W.; Pan, T.; Ba, T.; Zhao, J.; Jin, L.; Wang, S. Impact of Cropland Evolution on Soil Wind Erosion in Inner Mongolia of China. Land 2021, 10, 583. [Google Scholar] [CrossRef]
- Tao, W. Aeolian Desertification and Its Control in Northern China. Int. Soil Water Conserv. Res. 2014, 2, 34–41. [Google Scholar] [CrossRef]
- Xue, H.; Chen, Y.; Dong, G.; Li, J. Quantitative Analysis of Spatiotemporal Changes and Driving Forces of Vegetation Net Primary Productivity (NPP) in the Qimeng Region of Inner Mongolia. Ecol. Indic. 2023, 154, 110610. [Google Scholar] [CrossRef]
- Feng, S.; Liu, X.; Zhao, W.; Yao, Y.; Zhou, A.; Liu, X.; Pereira, P. Key Areas of Ecological Restoration in Inner Mongolia Based on Ecosystem Vulnerability and Ecosystem Service. Remote Sens. 2022, 14, 2729. [Google Scholar] [CrossRef]
- Batunacun; Wieland, R.; Lakes, T.; Yunfeng, H.; Nendel, C. Identifying Drivers of Land Degradation in Xilingol, China, between 1975 and 2015. Land Use Policy 2019, 83, 543–559. [Google Scholar] [CrossRef]
- Batunacun; Nendel, C.; Hu, Y.; Lakes, T. Land-use Change and Land Degradation on the Mongolian Plateau from 1975 to 2015—A Case Study from Xilingol, China. Land Degrad. Dev. 2018, 29, 1595–1606. [Google Scholar] [CrossRef]
- Hu, Y.; Nacun, B. An Analysis of Land-Use Change and Grassland Degradation from a Policy Perspective in Inner Mongolia, China, 1990–2015. Sustainability 2018, 10, 4048. [Google Scholar] [CrossRef]
- Jiang, H.; Gao, W.; Liu, B.; Chang, A.; Guo, Q. Quantifying Soil Wind Erosion Attribution in Inner Mongolia’s Desert Grassland. Sci. Rep. 2025, 15, 14319. [Google Scholar] [CrossRef]
- Lijuan, M.; Daniel, M.; Xuefeng, C.; Meihong, M.; Sylvain, D. Changes in Vegetation Phenology on the Mongolian Plateau and Their Climatic Determinants. PLoS ONE 2017, 12, e0190313. [Google Scholar] [CrossRef]
- Zhang, H.; Gao, Y.; Sun, D.; Liu, L.; Cui, Y.; Zhu, W. Wind Erosion Changes in a Semi-Arid Sandy Area, Inner Mongolia, China. Sustainability 2019, 11, 188. [Google Scholar] [CrossRef]
- Yue, S.; Yang, R.; Yan, Y.; Yang, Z.; Wang, D. Spatial and Temporal Variations of Wind Erosion Climatic Erosivity in the Farming-Pastoral Zone of Northern China. Theor. Appl. Climatol. 2019, 135, 1339–1348. [Google Scholar] [CrossRef]
- Zhang, H.; Peng, J.; Zhao, C.; Xu, Z.; Gao, Y. Wind Speed in Spring Dominated the Decrease in Wind Erosion across the Horqin Sandy Land in Northern China. Ecol. Indic. 2021, 127, 107599. [Google Scholar] [CrossRef]
- Ye, H.; Bai, D.; Liu, S.; Tan, S.; Wang, J.; Xie, F.; Zhu, Y. Spatiotemporal Evolution Characteristics of Freeze–Thaw Erosion Intensity in the High-Cold Mountainous Areas of Northwestern Yunnan from 2017 to 2023. Sci. Rep. 2025, 15, 9521. [Google Scholar] [CrossRef]
- Wang, L.; Shi, Z.H.; Wu, G.L.; Fang, N.F. Freeze/Thaw and Soil Moisture Effects on Wind Erosion. Geomorphology 2014, 207, 141–148. [Google Scholar] [CrossRef]
- Du, H.; Wang, T.; Xue, X. Potential Wind Erosion Rate Response to Climate and Land-use Changes in the Watershed of the Ningxia–Inner Mongolia Reach of the Yellow River, China, 1986–2013. Earth Surf. Process. Landf. 2017, 42, 1923–1937. [Google Scholar] [CrossRef]
- Anonymous. Integrated Wind-Erosion Modelling. In Physics and Modelling of Wind Erosion; Shao, Y., Ed.; Springer: Dordrecht, The Netherlands, 2008; pp. 303–360. ISBN 978-1-4020-8895-7. [Google Scholar]
- Shen, L.; Tian, M.; Gao, J. Analysis on Wind Erosion and Main Factors in Desertification Control Ecologincal Function Area of Hunshandake Using the Revised Wind Erosio Equation Model. Res. Soil Water Conserv. 2016, 23, 90–97. [Google Scholar]
- D’Odorico, P.; Bhattachan, A.; Davis, K.F.; Ravi, S.; Runyan, C.W. Global Desertification: Drivers and Feedbacks. Adv. Water Resour. 2013, 51, 326–344. [Google Scholar] [CrossRef]
- Liu, D.; Chen, Y.; Cai, W.; Dong, W.; Xiao, J.; Chen, J.; Zhang, H.; Xia, J.; Yuan, W. The Contribution of China’s Grain to Green Program to Carbon Sequestration. Landsc. Ecol. 2014, 29, 1675–1688. [Google Scholar] [CrossRef]
- Zeng, X.; Zhang, W.; Liu, X.; Cao, J.; Shen, H.; Zhao, X.; Zhang, N.; Bai, Y.; Yi, M. Change of Soil Organic Carbon after Cropland Afforestation in ‘Beijing-Tianjin Sandstorm Source Control’ Program Area in China. Chin. Geogr. Sci. 2014, 24, 461–470. [Google Scholar] [CrossRef]
- Akram, M.; Zhang, Q.; Li, W. Policy Analysis in Grassland Management of Xilingol Prefecture, Inner Mongolia. In The Future of Drylands; Lee, C., Schaaf, T., Eds.; Springer: Dordrecht, The Netherlands, 2008; pp. 493–505. ISBN 978-1-4020-6969-7. [Google Scholar]
- Liu, M. China’s Grassland Policies and the Inner Mongolian Grassland System. Ph.D. Thesis, Wageningen University, Wageningen, The Netherlands, 2017. [Google Scholar]
- Démurger, S.; Pelletier, A. Volunteer and Satisfied? Rural Households’ Participation in a Payments for Environmental Services Programme in Inner Mongolia. Ecol. Econ. 2015, 116, 25–33. [Google Scholar] [CrossRef]
- Pan, X.; Xu, L.; Yang, Z.; Yu, B. Payments for Ecosystem Services in China: Policy, Practice, and Progress. J. Clean. Prod. 2017, 158, 200–208. [Google Scholar] [CrossRef]
- Chi, W.; Zhao, Y.; Kuang, W.; He, H. Impacts of Anthropogenic Land Use/Cover Changes on Soil Wind Erosion in China. Sci. Total Environ. 2019, 668, 204–215. [Google Scholar] [CrossRef]
- Wei, W.; Wang, B.; Niu, X. Soil Erosion Reduction by Grain for Green Project in Desertification Areas of Northern China. Forests 2020, 11, 473. [Google Scholar] [CrossRef]
- Yu, B.-L.; Wu, W.-J.; Zhao, X.-J.; Wu, E.-T.; Cai, L.-Y.; Yang, F.-J. Benefits of Soil Wind Erosion Control of the Beijing-Tianjin Sand Source Control Project in Inner Mongolia. Arid Zone Res. 2016, 6, 1278–1286. [Google Scholar]
- Yan, H.; Xie, G.; Yan, F.; Niu, Z.; Xue, Z.; Wang, B. The Effects of Human Activities on Windbreak and Sand Fixation Services in Inner Mongolia Grasslands from 2000 to 2020. J. Geogr. Sci. 2024, 34, 2421–2439. [Google Scholar] [CrossRef]
- Buschiazzo, D.E.; Zobeck, T.M. Validation of WEQ, RWEQ and WEPS Wind Erosion for Different Arable Land Management Systems in the Argentinean Pampas. Earth Surf. Process. Landf. 2008, 33, 1839–1850. [Google Scholar] [CrossRef]
- Zhang, Z.; Huisingh, D. Combating Desertification in China: Monitoring, Control, Management and Revegetation. J. Clean. Prod. 2018, 182, 765–775. [Google Scholar] [CrossRef]
- Webb, N.P.; McGowan, H.A.; Phinn, S.R.; McTainsh, G.H. AUSLEM (AUStralian Land Erodibility Model): A Tool for Identifying Wind Erosion Hazard in Australia. Geomorphology 2006, 78, 179–200. [Google Scholar] [CrossRef]
- Yang, X.; Leys, J.; Zhang, M.; Gray, J.M. Estimating Nutrient Transport Associated with Water and Wind Erosion across New South Wales, Australia. Geoderma 2023, 430, 116345. [Google Scholar] [CrossRef]
- Zhang, H.; Peng, J.; Zhao, C. Wind Speed and Vegetation Coverage in Turn Dominated Wind Erosion Change with Increasing Aridity in Africa. Earth’s Future 2024, 12, e2024EF004468. [Google Scholar] [CrossRef]










| Data Type | Input Parameters | Acronym | Resolution | Time Series | Data Sources |
|---|---|---|---|---|---|
| Meteorological data | Wind speed (m·s−1) | WS | Site statistics | 1990–2022 | https://cds.climate.copernicus.eu/, accessed on 1 March 2025 |
| Gale days (days) | GD | ||||
| Precipitation (mm) | PRE | ||||
| Temperature (°C) | TEM | ||||
| Soil data | Soil sand content (%) | SA | 1 km | Constant | https://data.isric.org/, accessed on 3 March 2025 |
| Soil silt content (%) | SI | ||||
| Soil clay content (%) | CL | ||||
| Soil organic matter content (%) | OM | ||||
| Calcium Carbonate Content (%) | CACO3 | ||||
| Land-use/cover data | Land use | LUCC | 30 m | 1990–2022 | https://doi.org/10.5281/zenodo.5816591, accessed on 4 March 2025 |
| Remote sensing data | Snow depth (mm) | SD | 0.1° | 1990–2022 | https://cds.climate.copernicus.eu/, accessed on 5 March 2025 |
| Evapotranspiration (mm) | PET | 1km | 1990–2022 | https://data.tpdc.ac.cn/, accessed on 6 March 2025 | |
| Normalized Difference Vegetation Index | MODIS-NDVI GIMMS-NDVI | 250 m 8 km | 1990–2000 2001–2022 | https://ladsweb.modaps.eosdis.nasa.gov/, accessed on 7 March 2025 | |
| Digital Elevation Model (m) | DEM | 30 m | Constant | https://www.gscloud.cn/, accessed on 8 March 2025 | |
| Socio-economic data | Gross Domestic Product | GDP | County statistics | 1990–2020 | https://www.resdc.cn/, accessed on 10 March 2025 |
| Population density | PD | 1990–2020 | https://www.resdc.cn/, accessed on 10 March 2025 | ||
| Sheep unit density | SUD | 1990–2016 | https://tj.nmg.gov.cn/, accessed on 10 March 2025 |
| Land-Use Type | Coefficients |
|---|---|
| Forest | −0.1535 |
| Grassland | −0.1151 |
| Barren | −0.0768 |
| Cropland | −0.0438 |
| Classification | Abbreviation | Vegetation Coverage (%) | Soil Wind Erosion Thickness (mm/a) | Soil Wind Erosion Modulus [t·ha−1·yr−1] |
|---|---|---|---|---|
| Tolerable | TE | >70 | <2 | <2 |
| Light | LE | 50–70 | 2–10 | 2–25 |
| Moderate | ME | 30–50 | 10–25 | 25–50 |
| Severe | SE | 10–30 | 25–50 | 50–80 |
| Extremely Severe | ESE | <10 | 50–100 | 80–150 |
| Destructive | DE | <10 | >100 | >150 |
| Types of Interaction | Descriptions | Symbol |
|---|---|---|
| Non-linear reduction | q(X1∩X2) < Min(q(X1), q(X2)) | ↓ |
| Single-factor non-linear reduction | Min(q(X1), q(X2)) < q(X1∩X2) < Max(q(X1), q(X2)) | ↑ |
| Two-factor enhancement | q(X1∩X2) > Max(q(X1), q(X2)) | ↑↑ |
| Independent | q(X1∩X2) = q(X1) + q(X2) | — |
| Non-linear enhancement | q(X1∩X2) > q(X1) + q(X2) | ↑↑↑ |
| Drivers | q Value | p Value |
|---|---|---|
| GD | 0.206 | p < 0.001 |
| NDVI | 0.181 | p < 0.001 |
| PRE | 0.178 | p < 0.001 |
| WS | 0.129 | p < 0.001 |
| TEM | 0.114 | p < 0.001 |
| DEM | 0.033 | p < 0.001 |
| PD | 0.032 | p < 0.001 |
| SUD | 0.030 | p < 0.001 |
| GDP | 0.029 | p < 0.001 |
Disclaimer/Publisher’s Note: The statements, opinions and data contained in all publications are solely those of the individual author(s) and contributor(s) and not of MDPI and/or the editor(s). MDPI and/or the editor(s) disclaim responsibility for any injury to people or property resulting from any ideas, methods, instructions or products referred to in the content. |
© 2025 by the authors. Licensee MDPI, Basel, Switzerland. This article is an open access article distributed under the terms and conditions of the Creative Commons Attribution (CC BY) license (https://creativecommons.org/licenses/by/4.0/).
Share and Cite
Mei, Y.; Batunacun; Hai, C.; Chang, A.; Chang, Y.; Wang, Y.; Hu, Y. Spatiotemporal Dynamics and Driving Factors of Soil Wind Erosion in Inner Mongolia, China. Remote Sens. 2025, 17, 2365. https://doi.org/10.3390/rs17142365
Mei Y, Batunacun, Hai C, Chang A, Chang Y, Wang Y, Hu Y. Spatiotemporal Dynamics and Driving Factors of Soil Wind Erosion in Inner Mongolia, China. Remote Sensing. 2025; 17(14):2365. https://doi.org/10.3390/rs17142365
Chicago/Turabian StyleMei, Yong, Batunacun, Chunxing Hai, An Chang, Yueming Chang, Yaxin Wang, and Yunfeng Hu. 2025. "Spatiotemporal Dynamics and Driving Factors of Soil Wind Erosion in Inner Mongolia, China" Remote Sensing 17, no. 14: 2365. https://doi.org/10.3390/rs17142365
APA StyleMei, Y., Batunacun, Hai, C., Chang, A., Chang, Y., Wang, Y., & Hu, Y. (2025). Spatiotemporal Dynamics and Driving Factors of Soil Wind Erosion in Inner Mongolia, China. Remote Sensing, 17(14), 2365. https://doi.org/10.3390/rs17142365

