Comprehensive Assessment of Ocean Surface Current Retrievals Using SAR Doppler Shift and Drifting Buoy Observations
Abstract
1. Introduction
2. Materials and Methods
2.1. Sentinel-1 Level-2 OCN Data
2.2. Drifter Ocean Surface Current Data
2.3. SMOC Ocean Surface Current Data
2.4. Methods
- Correction of satellite attitude and orbit variations (): These contributions are corrected using information provided in the Sentinel-1 Level-2 OCN product.
- Correction of scalloping effects (): A linear fitting method is employed to mitigate the Doppler distortions caused by scalloping. Notably, since 23 June 2020, the Sentinel-1 Instrument Processing Facility (IPF) has implemented internal corrections for Doppler scalloping [40].
- Correction of antenna electronic mispointing () and residual biases (): The doppler shift measurements over land are used as references to correct for the and over the ocean.
- Removal of sea state effects (): The geophysical Doppler contributions arising from wind waves and swell () are estimated and removed using the DPDop model. The DPDop model expresses the Doppler velocity () as the sum of the OSC velocity, the contributions from Bragg waves and breaking wave motions, and the effects of tilt and hydrodynamic modulation.
3. Results
3.1. Case Validation: Beibu Gulf
3.2. Case Validation: Kuroshio Current
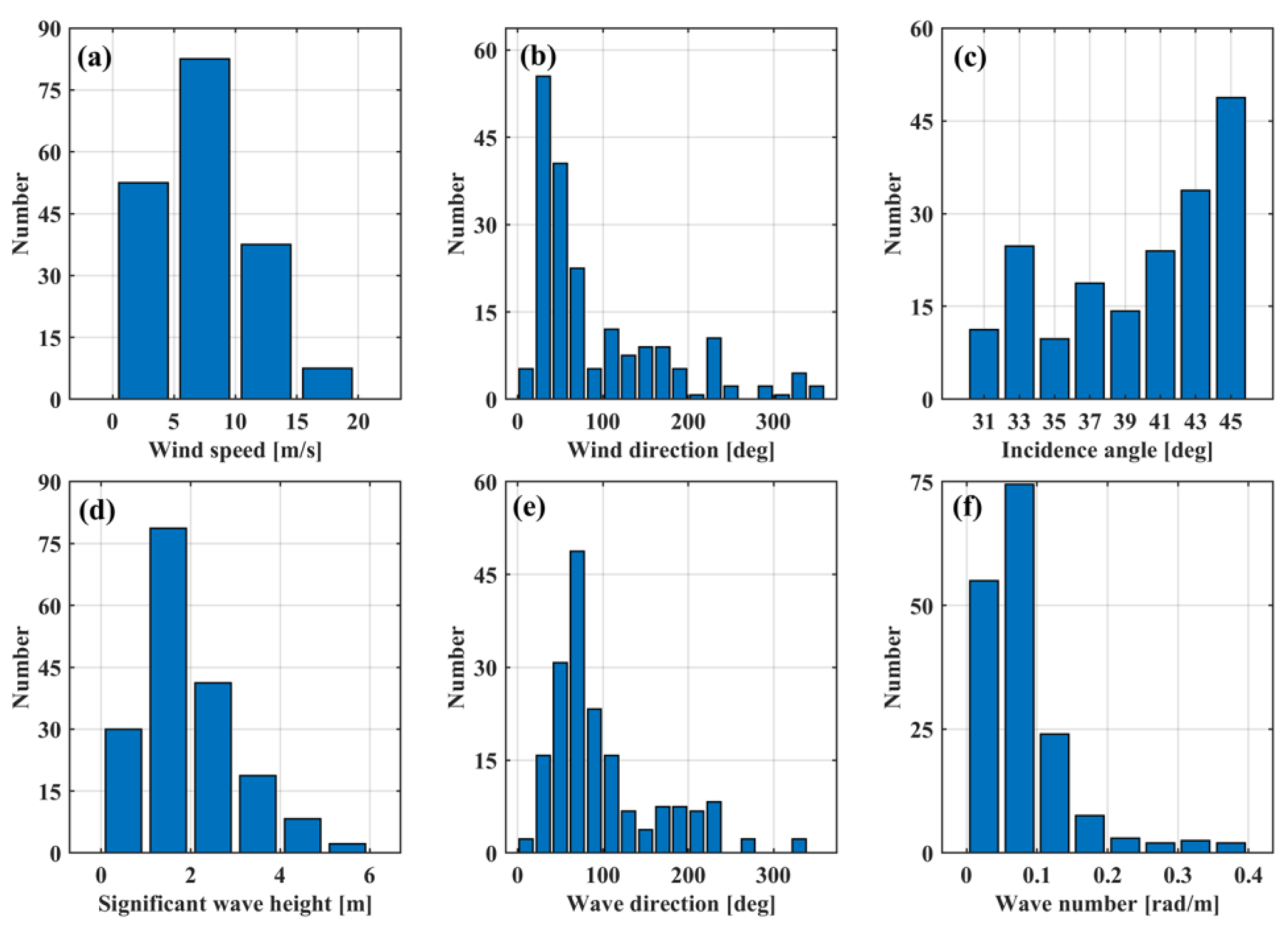
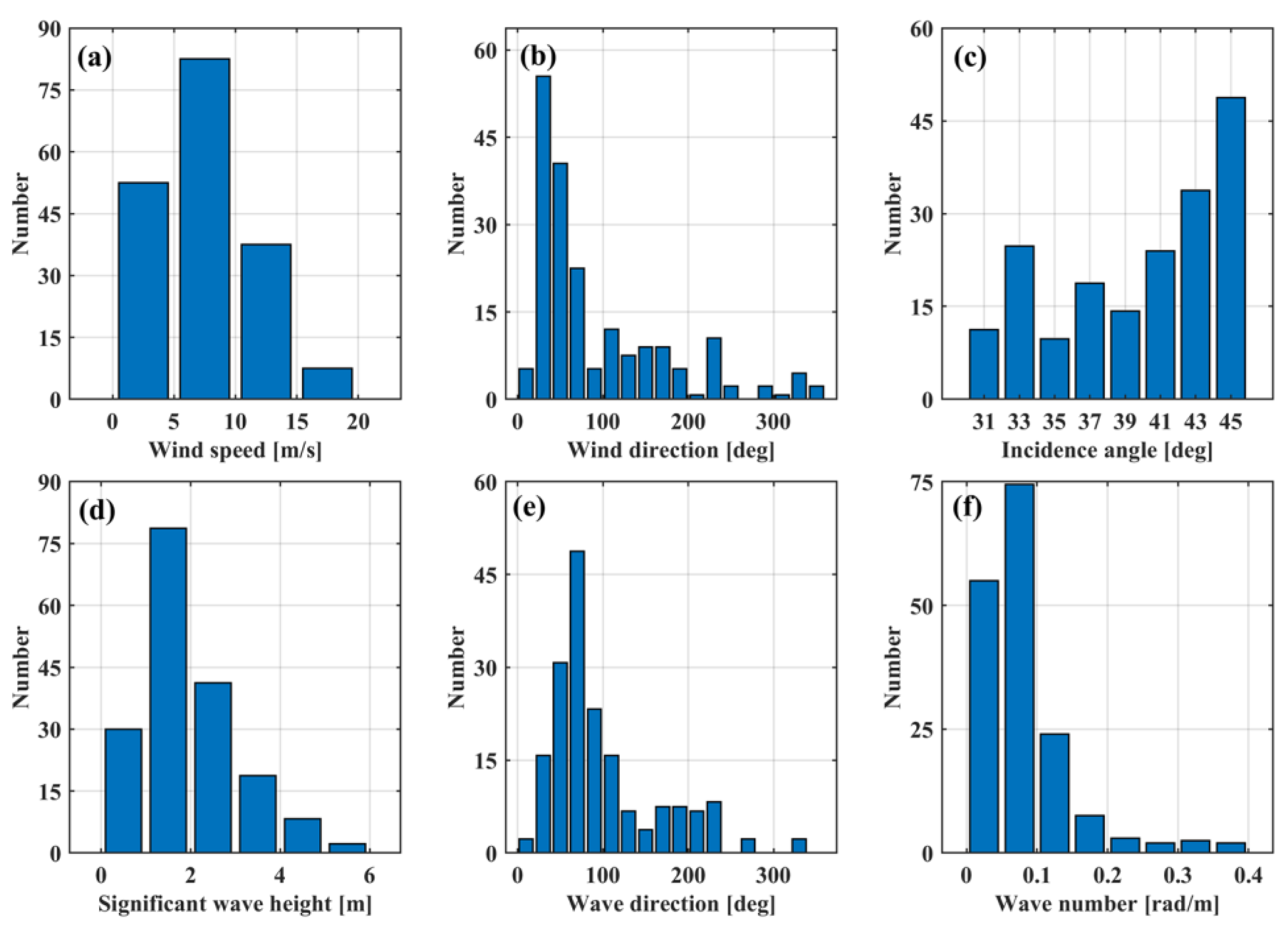
3.3. Statistical Validation
4. Discussion
5. Conclusions
Author Contributions
Funding
Data Availability Statement
Acknowledgments
Conflicts of Interest
References
- Ekman, V.W. On the influence of the Earth’s rotation on ocean-currents. Ark. För Mat. Astron. Och Fysik 1905, 2, 1–53. [Google Scholar]
- Stokes, G.G. On the theory of oscillatory waves. Trans. Camb. Philos. Soc. 1847, 8, 441–455. [Google Scholar]
- D’Asaro, E.A. The energy flux from the wind to near-inertial motions in the surface mixed layer. J. Phys. Oceanogr. 1985, 15, 1043–1059. [Google Scholar] [CrossRef]
- Singh, Y.; Sharma, S.; Sutton, R.; Hatton, D.; Khan, A. A constrained A* approach towards optimal path planning for an unmanned surface vehicle in a maritime environment containing dynamic obstacles and ocean current. Ocean Eng. 2018, 169, 187–201. [Google Scholar] [CrossRef]
- Nakada, S.; Hirose, N.; Senjyu, T.; Fukudome, K.; Tsuji, T.; Okei, N. Operational ocean prediction experiments for smart coastal fishing. Prog. Oceanogr. 2014, 121, 125–140. [Google Scholar] [CrossRef]
- Serra, M.; Sathe, P.; Rypina, I.; Kirincich, A.; Ross, S.D.; Lermusiaux, P.; Allen, A.; Peacock, T.; Haller, G. Search and rescue at sea aided by hidden flow structures. Nat. Commun. 2020, 11, 2525. [Google Scholar] [CrossRef] [PubMed]
- Ferreira, R.M.; Estefen, S.F.; Romeiser, R. Under what conditions SAR along-track interferometry is suitable for assessment of tidal energy resource. IEEE J. Select. Top. Appl. Earth. Observ. Remote Sens. 2016, 9, 5011–5022. [Google Scholar] [CrossRef]
- Herbers, T.H.S.; Lentz, S.J. Observing directional properties of ocean swell with an acoustic Doppler current profiler (ADCP). J. Atmos. Oceanic Technol. 2010, 27, 210–225. [Google Scholar] [CrossRef]
- Lim, H.S.; Kim, C.S.; Lee, H.J.; Shim, J.S.; Kim, S.J.; Park, K.S.; Chun, I. Variability of residual currents and waves in Haeundae using long-term observed AWAC data. J. Coast. Res. 2014, 72, 166–172. [Google Scholar] [CrossRef]
- Mitarai, S.; McWilliams, J.C. Wave glider observations of surface winds and currents in the core of Typhoon Danas. Geophys. Res. Lett. 2016, 43, 11312–11319. [Google Scholar] [CrossRef]
- Chi, N.H.; Zhang, D.; Zhang, C. Validation of OSCAR Surface Currents in the Western Arctic Marginal Seas Against Saildrone Observations. Earth Space Sci. 2023, 10, e2022EA002612. [Google Scholar] [CrossRef]
- Lumpkin, R.; Pazos, M. Measuring surface currents with Surface Velocity Program drifters: The instrument, its data and some recent results. Lagrangian Anal. Predict. Coast. Ocean. Dyn. 2007, 39, 67. [Google Scholar]
- Martin, A.; Gommenginger, C.; Marquez, J.; Doody, S.; Navarro, V.; Buck, C. Wind-wave-induced velocity in ATI SAR ocean surface currents: First experimental evidence from an airborne campaign. J. Geophys. Res. Oceans 2016, 121, 1640–1653. [Google Scholar] [CrossRef]
- Paduan, J.D.; Washburn, L. High-Frequency Radar Observations of Ocean Surface Currents. Annu. Rev. Mar Sci. 2013, 5, 115–136. [Google Scholar] [CrossRef] [PubMed]
- Pedlosky, J. Geophysical Fluid Dynamics; Springer-Verlag: New York, NY, USA, 1987. [Google Scholar]
- Chapron, B.; Collard, F.; Ardhuin, F. Direct measurements of ocean surface velocity from space: Interpretation and validation. J. Geophys. Res. Oceans 2005, 110, C07008. [Google Scholar] [CrossRef]
- Hansen, M.W.; Collard, F.; Dagestad, K.-F.; Johannessen, J.A.; Fabry, P.; Chapron, B. Retrieval of sea surface range velocities from Envisat ASAR Doppler centroid measurements. IEEE Trans. Geosci. Remote Sens. 2011, 49, 3582–3592. [Google Scholar] [CrossRef]
- Krug, M.; Mouche, A.; Collard, F.; Johannessen, J.A.; Chapron, B. Mapping the Agulhas Current from Space: An Assessment of ASAR Surface Current Velocities. J. Geophys. Res. Oceans 2010, 115, C10026. [Google Scholar] [CrossRef]
- Johnsen, H. Sentinel-1 Radial Velocity (RVL) Assessment. 1st ESA OSCC Metting. 2021. Available online: https://eo4society.esa.int/training_uploads/OceanScienceCluster2021/presentations/JOHNSEN-Harald_S1_RVL_OSCC_Dec01.pdf (accessed on 1 January 2025).
- Fan, S.; Zhang, B.; Kudryavtsev, V.; Perrie, W. Mapping Radial Ocean Surface Currents in the Outer Core of Hurricane Maria from Synthetic Aperture Radar Doppler Measurements. IEEE J. Select. Top. Appl. Earth. Observ. Remote Sens. 2024, 17, 2090–2097. [Google Scholar] [CrossRef]
- Elyouncha, A.; Eriksson, L.; Johnsen, H. Direct comparison of sea surface velocity estimated from Sentinel-1 and TanDEM-X SAR data. IEEE J. Select. Top. Appl. Earth. Observ. Remote Sens. 2022, 15, 2425–2436. [Google Scholar] [CrossRef]
- Martin, A.; Gommenginger, C.; Jacob, B.; Staneva, J. First multi-year assessment of sentinel-1 radial velocity products using HF radar currents in a coastal environment. Remote Sens. Environ. 2022, 268, 112758. [Google Scholar] [CrossRef]
- Tan, B.; Wang, L.; Ge, D.; Fang, Z.; Sun, W.; Feng, T. An investigation of inversion method to measure the radial velocity of Kuroshio from Sentinel-1 SAR data. Gisci. Remote Sens. 2024, 61, 2304965. [Google Scholar] [CrossRef]
- Mouche, A.A.; Collard, F.; Chapron, B.; Dagestad, K.F.; Guitton, G.; Johannessen, J.A.; Kerbaol, V.; Hansen, M.W. On the Use of Doppler Shift for Sea Surface Wind Retrieval from SAR. IEEE Trans. Geosci. Remote Sens. 2012, 50, 2901–2909. [Google Scholar] [CrossRef]
- Moiseev, A.; Johnsen, H.; Johannessen, J.A.; Collard, F.; Guitton, G. On removal of sea state contribution to Sentinel-1 Doppler shift for retrieving reliable ocean surface current. J. Geophys. Res. Oceans 2020, 125, e2020JC016288. [Google Scholar] [CrossRef]
- Moiseev, A.; Johannessen, J.A.; Johnsen, H. Towards retrieving reliable ocean surface currents in the coastal zone from the Sentinel-1 Doppler shift observations. J. Geophys. Res. Oceans 2022, 127, e2021JC018201. [Google Scholar] [CrossRef]
- Yang, Z.; Wang, J.; Liu, L.; Miao, H.; Miao, X.; Zhang, Q. Estimating effects of wind and waves on the Doppler centroid frequency shift for the SAR retrieval of ocean currents. Remote Sens. Environ. 2024, 311, 114312. [Google Scholar] [CrossRef]
- Kudryavtsev, V.; Fan, S.; Zhang, B.; Chapron, B.; Johannessen, J.A.; Moiseev, A. On the Use of Dual Co-Polarized Radar Data to Derive a Sea Surface Doppler Model—Part 1: Approach. IEEE Trans. Geosci. Remote Sens. 2023, 61, 4201013. [Google Scholar] [CrossRef]
- Fan, S.; Zhang, B.; Moiseev, A.; Kudryavtsev, V.; Johannessen, J.A.; Chapron, B. On the Use of Dual Co-Polarized Radar Data to Derive a Sea Surface Doppler Model—Part 2: Simulation and Validation. IEEE Trans. Geosci. Remote Sens. 2023, 61, 4202009. [Google Scholar] [CrossRef]
- Quilfen, Y.; Chapron, B.; Elfouhaily, T.; Katsaros, K.; Tournadre, J. Observation of tropical cyclones by high-resolution scatterometry. J. Geophys. Res. 1998, 103, 7767–7786. [Google Scholar] [CrossRef]
- Hersbach, H. Comparison of C-band scatterometer CMOD5.N equivalent neutral winds with ECMWF. J. Atmos. Oceanic Technol. 2010, 27, 721–736. [Google Scholar] [CrossRef]
- Elipot, S.; Lumpkin, R.; Perez, R.C.; Lilly, J.M.; Early, J.J.; Sykulski, A.M. A global surface drifter data set at hourly resolution. J. Geophys. Res. Oceans 2016, 121, 2937–2966. [Google Scholar] [CrossRef]
- Lumpkin, R.; Centurioni, L. Global Drifter Program Quality-Controlled 6-Hour Interpolated Data from Ocean Surface Drifting Buoys. NOAA National Centers for Environmental Information. Dataset. 2019. Available online: https://www.ncei.noaa.gov/access/metadata/landing-page/bin/iso?id=gov.noaa.nodc:AOML-GDP-6hr (accessed on 1 June 2024).
- Chen, C.; Lai, Z.; Beardsley, R.C.; Xu, Q.; Lin, H.; Viet, N.T. Current separation and upwelling over the southeast shelf of Vietnam in the South China Sea. J. Geophys. Res. Oceans 2012, 117, C03033. [Google Scholar] [CrossRef]
- Madec, G.; Bourdallé-Badie, R.; Bouttier, P.A.; Bricaud, C.; Bruciaferri, D.; Calvert, D. NEMO Ocean Engine (Version v3.6). Notes Du Pôle De Modélisation De L’institut Pierre-Simon Laplace (IPSL). 2017. Available online: https://epic.awi.de/id/eprint/39698/1/NEMO_book_v6039.pdf (accessed on 1 June 2024).
- Vancoppenolle, M.; Fichefet, T.; Goosse, H.; Bouillon, S.; Madec, G.; Maqueda, M.A. Simulating the mass balance and salinity of Arctic and Antartic sea ice: I. Model description and validation. Ocean Model. 2009, 27, 33–53. [Google Scholar] [CrossRef]
- Lefèvre, J.M.; Aouf, L.; Bataille, C.; Ardhuin, F.; Queffeulou, P. Apport d’un nouveau modèle de vagues de 3 génération à Météo Toulouse, France. Actes Des Ateliers De Modélisation de l’Atmosphère 2009, 27–29. [Google Scholar]
- Carrere, L.; Lyard, F.; Cancet, M.; Guillot, A. FES 2014, a new tidal model on the global ocean with enhanced accuracy in shallow seas and in the Arctic region. EGU Gen. Assem. Geophys. Res. Abstr. 2015, 17, EGU2015-5481-1. [Google Scholar]
- Drillet, Y.; Chune, S.L.; Levier, B.; Drevillon, M. SMOC: A new global surface current product containing the effect of the ocean general circulation, waves and tides. Geophys. Res. Abstr. 2019, 21, EGU2019-2376. [Google Scholar]
- Hajduch, G.; Vincent, P.; Cordier, K.; Grignoux, M.; Husson, R.; Peureux, C.; Piantanida, R.; Recchia, A.; Francheschi, N.; Schmidt, K. S-1A & S-1B Annual Performance Report 2020. ESA Technological Document MPC-0504. 2020. Available online: https://elib.dlr.de/145956/1/Sentinel-1-Annual-Performance-Report-2020.pdf (accessed on 1 June 2024).
- Zu, T.; Wang, D.; Yan, C.; Belkin, I.; Zhuang, W.; Chen, J. Evolution of an anticyclonic eddy southwest of Taiwan. Ocean Dyn. 2013, 63, 519–531. [Google Scholar] [CrossRef]
- Kudryavtsev, V.; Fan, S.; Zhang, B.; Mouche, A.A.; Chapron, B. On Quad-Polarized SAR Measurements of the Ocean Surface. IEEE Trans. Geosci. Remote Sens. 2019, 57, 8362–8370. [Google Scholar] [CrossRef]
- Zhang, B.; Mouche, A.A.; Perrie, W. First Quasi-Synchronous Hurricane Quad-Polarization Observations by C-Band Radar Constellation Mission and RADARSAT-2. IEEE Trans. Geosci. Remote Sens. 2022, 60, 4206510. [Google Scholar] [CrossRef]
- Fan, S.; Kudryavtsev, V.; Zhang, B.; Perrie, W. Radar Scattering Features Under High Wind Conditions From Spaceborne Quad-Polarization SAR Observations. IEEE Trans. Geosci. Remote Sens. 2024, 62, 4207309. [Google Scholar] [CrossRef]








Disclaimer/Publisher’s Note: The statements, opinions and data contained in all publications are solely those of the individual author(s) and contributor(s) and not of MDPI and/or the editor(s). MDPI and/or the editor(s) disclaim responsibility for any injury to people or property resulting from any ideas, methods, instructions or products referred to in the content. |
© 2025 by the authors. Licensee MDPI, Basel, Switzerland. This article is an open access article distributed under the terms and conditions of the Creative Commons Attribution (CC BY) license (https://creativecommons.org/licenses/by/4.0/).
Share and Cite
Fan, S.; Zhang, B.; Kudryavtsev, V. Comprehensive Assessment of Ocean Surface Current Retrievals Using SAR Doppler Shift and Drifting Buoy Observations. Remote Sens. 2025, 17, 2007. https://doi.org/10.3390/rs17122007
Fan S, Zhang B, Kudryavtsev V. Comprehensive Assessment of Ocean Surface Current Retrievals Using SAR Doppler Shift and Drifting Buoy Observations. Remote Sensing. 2025; 17(12):2007. https://doi.org/10.3390/rs17122007
Chicago/Turabian StyleFan, Shengren, Biao Zhang, and Vladimir Kudryavtsev. 2025. "Comprehensive Assessment of Ocean Surface Current Retrievals Using SAR Doppler Shift and Drifting Buoy Observations" Remote Sensing 17, no. 12: 2007. https://doi.org/10.3390/rs17122007
APA StyleFan, S., Zhang, B., & Kudryavtsev, V. (2025). Comprehensive Assessment of Ocean Surface Current Retrievals Using SAR Doppler Shift and Drifting Buoy Observations. Remote Sensing, 17(12), 2007. https://doi.org/10.3390/rs17122007

