Optimizing Camera Settings and Unmanned Aerial Vehicle Flight Methods for Imagery-Based 3D Reconstruction: Applications in Outcrop and Underground Rock Faces
Abstract
1. Introduction
2. Materials and Methods
2.1. Theoretical Background of Error Prediction
2.2. Constraints: Illumination and Time
2.2.1. Illumination
2.2.2. Time
2.3. Step-by-Step Process of the OPS Determination
3. Application of the OPS
3.1. Comparison Between the OPS and APS Under Laboratory Conditions
3.2. Comparison Between the OPS and APS Under Field Conditions
3.3. Comparison with LiDAR Data
4. Results
4.1. Effectiveness of the OPS
4.1.1. Point Cloud Errors for the Indoor Reference Target
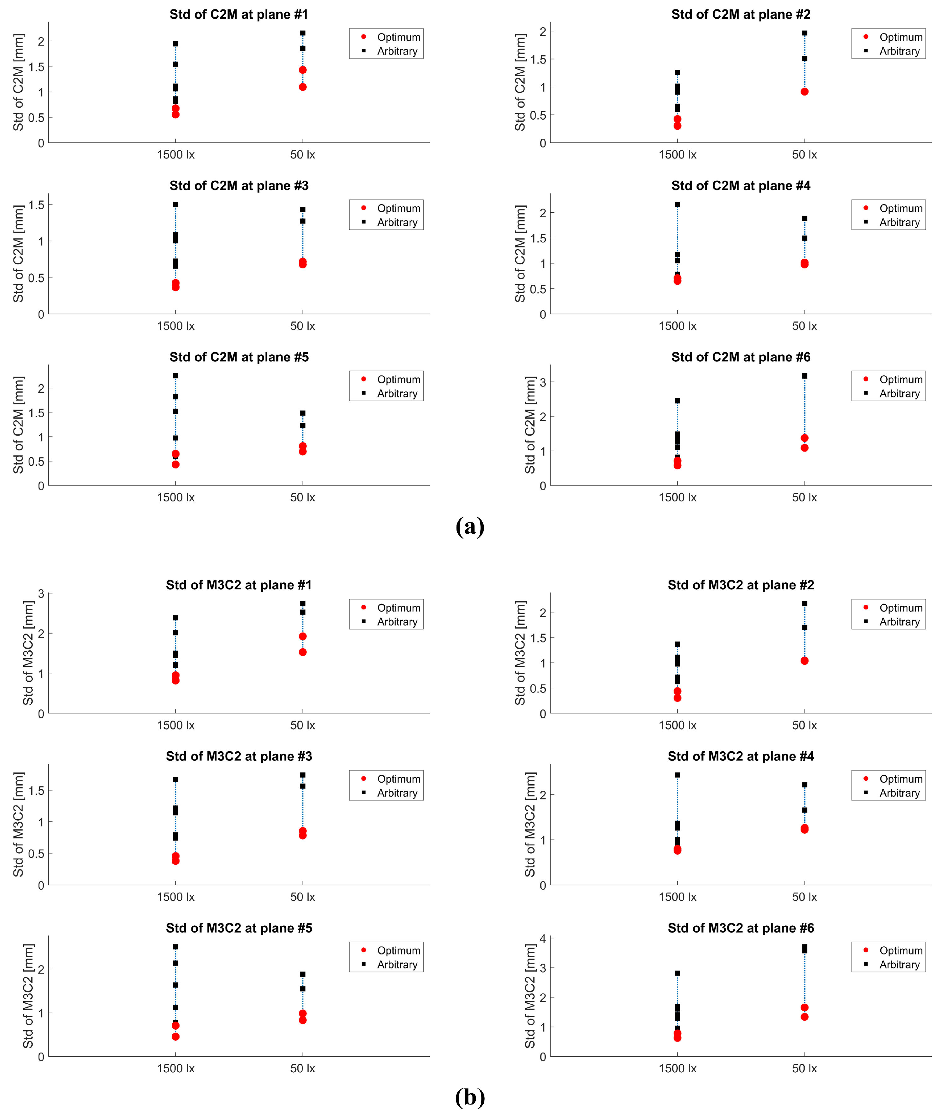
4.1.2. StdC2M Distances for the Joint Planes on an Outdoor Rock Mass
4.2. The Potential of SfM–MVS Utilizing OPS for Enhanced 3D Modeling
5. Discussion
5.1. Robustness of the OPS Derivation Procedure
5.2. Sensitivity of the OPS
6. Conclusions
Author Contributions
Funding
Data Availability Statement
Conflicts of Interest
Abbreviations and Symbols
| Abbreviations | |
| SfM | Structure from motion |
| MVS | Multiview stereo |
| LiDAR | Light Detection and Ranging |
| DEM | Digital elevation model |
| UAV | Unmanned aerial vehicle |
| PP | Point-to-point |
| PR | Point-to-raster |
| RR | Raster-to-raster |
| TS | Total station |
| dGPS | Differential global positioning system |
| RMSE | Root mean squared error |
| ME | Mean error |
| MAE | Mean absolute error |
| OPS | Optimal photography settings |
| APS | Arbitrary photography settings |
| ISO | International Organization for Standardization |
| SNR | Signal-to-noise ratio |
| BA | Bundle adjustment |
| GCP | Ground control point |
| FOV | Field of view |
| GSD | Ground sampling distance |
| C2M | Cloud-to-mesh |
| M3C2 | Multiscale model-to-model cloud comparison |
| stdC2M | Standard deviation of the C2M distances |
| stdM3C2 | Standard deviation of the M3C2 distances |
| ICP | Iterative closest point |
| GNSS | Global Navigation Satellite System |
| Symbols | |
| t | Camera shutter speed |
| N | Camera F-number |
| S | Camera ISO value |
| p | Camera pixel resolution |
| D | Distance from the target |
| v | UAV or camera platform speed |
| d | Camera sensor size |
| f | Camera focal length |
| ε3D | Errors in SfM–MVS-generated point clouds |
| ε2D | Image errors |
| εplane | Point-to-plane-type RMSE |
| εpoint | Point-to-point-type RMSE, equivalent to ε3D |
| s | Scaling factor |
| E | Illumination |
| M | Maximum template size |
| Q | Nosie sensitivity coefficient |
| A | Area photographed per unit of time |
Appendix A
References
- Smith, M.W.; Carrivick, J.L.; Quincey, D.J. Structure from motion photogrammetry in physical geography. Prog. Phys. Geogr. 2016, 40, 247–275. [Google Scholar] [CrossRef]
- Kovanič, Ľ.; Peťovský, P.; Topitzer, B.; Blišťan, P. Spatial Analysis of Point Clouds Obtained by SfM Photogrammetry and the TLS Method—Study in Quarry Environment. Land 2024, 13, 614. [Google Scholar] [CrossRef]
- Aasen, H.; Burkart, A.; Bolten, A.; Bareth, G. Generating 3D hyperspectral information with lightweight UAV snapshot cameras for vegetation monitoring: From camera calibration to quality assurance. ISPRS J. Photogramm. Remote Sens. 2015, 108, 245–259. [Google Scholar] [CrossRef]
- Reinprecht, V.; Kieffer, D.S. Application of UAV Photogrammetry and Multispectral Image Analysis for Identifying Land Use and Vegetation Cover Succession in Former Mining Areas. Remote Sen. 2025, 17, 405. [Google Scholar] [CrossRef]
- Micheletti, N.; Chandler, J.H.; Lane, S.N. Investigating the geomorphological potential of freely available and accessible structure-from-motion photogrammetry using a smartphone. Earth Surf. Process. Landf. 2015, 40, 473–486. [Google Scholar] [CrossRef]
- Smith, M.W.; Vericat, D. From experimental plots to experimental landscapes: Topography, erosion and deposition in sub-humid badlands from structure-from-motion photogrammetry. Earth Surf. Process. Landf. 2015, 40, 1656–1671. [Google Scholar] [CrossRef]
- Eltner, A.; Kaiser, A.; Castillo, C.; Rock, G.; Neugirg, F.; Abellán, A. Image-based surface reconstruction in geomorphometry—Merits, limits and developments. Earth Surf. Dyn. 2016, 4, 359–389. [Google Scholar] [CrossRef]
- Tonkin, T.N.; Midgley, N.G. Ground-control networks for image based surface reconstruction: An investigation of optimum survey designs using UAV derived imagery and structure-from-motion photogrammetry. Remote Sens. 2016, 8, 786. [Google Scholar] [CrossRef]
- James, M.R.; Chandler, J.H.; Eltner, A.; Fraser, C.; Miller, P.E.; Mills, J.P.; Noble, T.; Robson, S.; Lane, S.N. Guidelines on the use of structure-from-motion photogrammetry in geomorphic research. Earth Surf. Process. Landf. 2019, 44, 2081–2084. [Google Scholar] [CrossRef]
- Wheaton, J.M.; Brasington, J.; Darby, S.E.; Sear, D.A. Accounting for uncertainty in DEMs from repeat topographic surveys: Improved sediment budgets. Earth Surf. Process. Landf. 2010, 35, 136–156. [Google Scholar] [CrossRef]
- Bakker, M.; Lane, S.N. Archival photogrammetric analysis of river–floodplain systems using structure from motion (SfM) methods. Earth Surf. Process. Landf. 2017, 42, 1274–1286. [Google Scholar] [CrossRef]
- Vollgger, S.A.; Cruden, A.R. Mapping folds and fractures in basement and cover rocks using UAV photogrammetry, Cape Liptrap and Cape Paterson, Victoria, Australia. J. Struct. Geol. 2016, 85, 168–187. [Google Scholar] [CrossRef]
- Becker, R.E.; Galayda, L.J.; MacLaughlin, M.M. Digital photogrammetry software comparison for rock mass characterization. In Proceedings of the 52nd US Rock Mechanics/Geomechanics Symposium, Seattle, WA, USA, 17–20 June 2018. [Google Scholar]
- Zhang, Y.; Yue, P.; Zhang, G.; Guan, T.; Lv, M.; Zhong, D. Augmented reality mapping of rock mass discontinuities and rockfall susceptibility based on unmanned aerial vehicle photogrammetry. Remote Sens. 2019, 11, 1311. [Google Scholar] [CrossRef]
- Javadnejad, F.; Slocum, R.K.; Gillins, D.T.; Olsen, M.J.; Parrish, C.E. Dense point cloud quality factor as proxy for accuracy assessment of image-based 3D reconstruction. J. Surv. Eng. 2021, 147, 04020021. [Google Scholar] [CrossRef]
- Wenzel, K.; Rothermel, M.; Fritsch, D.; Haala, N. IMAGE ACQUISTION AND MODEL SELECTION FOR MULTI-VIEW. Int. Arch. Photogramm. Remote Sens. Spatial Inf. Sci. 2013, XL–5/W1, 251–258. [Google Scholar] [CrossRef]
- Rangelov, D.; Waanders, S.; Waanders, K.; Keulen, M.V.; Miltchev, R. Impact of camera settings on 3D Reconstruction quality: Insights from NeRF and Gaussian Splatting. Remote Sens. 2024, 24, 7594. [Google Scholar] [CrossRef]
- Dunford, R.; Michel, K.; Gagnage, M.; Piégay, H.; Trémelo, M.-L. Potential and constraints of unmanned aerial vehicle technology for the characterization of Mediterranean riparian forest. Int. J. Remote Sens. 2009, 30, 4915–4935. [Google Scholar] [CrossRef]
- Čerňava, J.; Chudý, F.; Tunák, D.; Saloň, Š.; Vyhnáliková, Z. The vertical accuracy of digital terrain models derived from the close-range photogrammetry point cloud using different methods of interpolation and resolutions. Cent. Eur. For. J. 2019, 65, 198–205. [Google Scholar] [CrossRef]
- O’Connor, J.; Smith, M.J.; James, M.R. Cameras and settings for aerial surveys in the geosciences: Optimising image data. Prog. Phys. Geogr. 2017, 41, 325–344. [Google Scholar] [CrossRef]
- Roncella, R.; Bruno, N.; Diotri, F.; Thoeni, K.; Giacomini, A. Photogrammetric Digital Surface Model Reconstruction in Extreme Low-Light Environments. Remote Sens. 2021, 13, 1261. [Google Scholar] [CrossRef]
- Burdziakowski, P.; Bobkowska, K. UAV Photogrammetry under Poor Lighting Conditions-Accuracy Considerations. Sensors 2021, 21, 3531. [Google Scholar] [CrossRef] [PubMed]
- Slaker, B.A.; Mohamed, K.M. A practical application of photogrammetry to performing rib characterization measurements in an underground coal mine using a DSLR camera. Int. J. Min. Sci. Technol. 2017, 27, 83–90. [Google Scholar] [CrossRef] [PubMed]
- García-Luna, R.; Senent, S.; Jurado-Piña, R.; Jimenez, R. Structure from motion photogrammetry to characterize underground rock masses: Experiences from two real tunnels. Tunn. Undergr. Space Technol. 2019, 83, 262–273. [Google Scholar] [CrossRef]
- Li, J.; Guan, J.; Chen, X.; Xi, J. Adaptive optimal exposure selection based on time cost function for 3D reconstruction of high dynamic range surfaces. Meas. Sci. Technol. 2023, 34, 125018. [Google Scholar] [CrossRef]
- Kim, J.-H.; Sung, S.-M. Quality Analysis of Unmanned Aerial Vehicle Images Using a Resolution Target. Appl. Sci. 2024, 14, 2154. [Google Scholar] [CrossRef]
- Abed, F.M.; Noori, A.M.; Al-Saedi, A.S.J. Optimizing Application of UAV-Based SfM Photogrammetric 3D Mapping in Urban Areas. Iraqi J. Sci. 2024, 65, 2958–2975. [Google Scholar] [CrossRef]
- Young, D.J.N.; Koontz, M.J.; Weeks, J. Optimizing aerial imagery collection and processing parameters for drone-based individual tree mapping in structurally complex conifer forests. Methods Ecol. Evol. 2022, 13, 1447–1463. [Google Scholar] [CrossRef]
- Korea Institute of Construction Technology (KICT). Final Report on the Development of Online Rock Mass Classification Technology and Operation Model Through Digital Mapping in Tunnel Construction; National Library of Korea: Seoul, Republic of Korea, 2017. [CrossRef]
- Leem, J.; Kim, J.; Kang, I.S.; Choi, J.; Song, J.J.; Mehrishal, S.; Shao, Y. Practical error prediction in UAV imagery-based 3D reconstruction: Assessing the impact of image quality factors. Int. J. Remote Sens. 2025, 46, 1000–1030. [Google Scholar] [CrossRef]
- International Organization for Standardization. Photography—General Purpose Photographic Exposure Meters (Photoelectric Type)—Guide to Product Specification. 1974. Available online: https://www.iso.org/standard/7690.html (accessed on 19 March 2025).
- Zhou, Z.; Pain, B.; Fossum, E.R. Frame-transfer CMOS active pixel sensor with pixel binning. IEEE Trans. Electron Devices 1997, 44, 1764–1768. [Google Scholar] [CrossRef]
- Lowe, D.G. Object recognition from local scale-invariant features. In Proceedings of the 7th IEEE International Conference on Computer Vision, Kerkyra, Greece, 20–27 September 1999. [Google Scholar] [CrossRef]
- Bay, H.; Ess, A.; Tuytelaars, T.; Van Gool, L. Speeded-up robust features (SURF). Comput. Vis. Image Underst. 2008, 110, 346–359. [Google Scholar] [CrossRef]
- Fischler, M.A.; Bolles, R.C. Random sample consensus: A paradigm for model fitting with applications to image analysis and automated cartography. Commun. ACM 1981, 24, 381–395. [Google Scholar] [CrossRef]
- Torr, P.H.S.; Zisserman, A. MLESAC: A new robust estimator with application to estimating image geometry. Comput. Vis. Image Underst. 2000, 78, 138–156. [Google Scholar] [CrossRef]
- Ballard, D.H.; Brown, C.M. Computer Vision; Prentice-Hall, Inc.: Englewood Cliffs, NJ, USA, 1982. [Google Scholar]
- Dai, F.; Feng, Y.; Hough, R. Photogrammetric error sources and impacts on modeling and surveying in construction engineering applications. Vis. Eng. 2014, 2, 2. [Google Scholar] [CrossRef]
- Piermattei, L.; Carturan, L.; Guarnieri, A. Use of terrestrial photogrammetry based on structure-from-motion for mass balance estimation of a small glacier in the Italian alps. Earth Surf. Process. Landf. 2015, 40, 1791–1802. [Google Scholar] [CrossRef]
- Ren, C.; Jiao, Y.; Liu, Y.; Shang, H. Optimal camera focal length detection method for GPS-supported bundle adjustment in UAV photogrammetry. Measurement 2024, 228, 114329. [Google Scholar] [CrossRef]
- Tan, C.; Chen, Z.; Chen, Z.; Liao, A.; Zeng, X.; Cao, J. Accuracy analysis of UAV aerial photogrammetry based on RTK mode, flight altitude, and number of GCPs. Meas. Sci. Technol. 2024, 35, 106310. [Google Scholar] [CrossRef]
- Luo, W.; Shao, M.; Che, X.; Hesp, P.A.; Bryant, R.G.; Yan, C.; Xing, Z. Optimization of UAVs-SfM data collection in aeolian landform morphodynamics: A case study from the Gonghe Basin, China. Earth Surf. Process. Landf. 2020, 45, 3293–3312. [Google Scholar] [CrossRef]
- Muhammad, M.; Tahar, K.N. Comprehensive Analysis of UAV Flight Parameters for High Resolution Topographic Mapping. IOP Conf. Ser. Earth Environ. Sci. 2021, 767, 012001. [Google Scholar] [CrossRef]
- De Lima, R.S.; Lang, M.; Burnside, N.G.; Peciña, M.V.; Arumäe, T.; Laarmann, D.; Ward, R.D.; Vain, A.; Sepp, K. An Evaluation of the Effects of UAS Flight Parameters on Digital Aerial Photogrammetry Processing and Dense-Cloud Production Quality in a Scots Pine Forest. Remote Sens. 2021, 13, 1121. [Google Scholar] [CrossRef]
- Paixão, A.; Muralha, J.; Resende, R.; Fortunato, E. Close-range photogrammetry for 3D rock joint roughness evaluation. Rock Mech. Rock Eng. 2022, 55, 3213–3233. [Google Scholar] [CrossRef]
- Furukawa, Y.; Ponce, J. Accurate, dense, and robust multiview stereopsis. IEEE Trans. Pattern Anal. Mach. Intell. 2010, 32, 1362–1376. [Google Scholar] [CrossRef] [PubMed]
- An, P.; Fang, K.; Jiang, Q.; Zhang, H.; Zhang, Y. Measurement of rock joint surfaces by using smartphone structure from motion (SfM) photogrammetry. Sensors 2021, 21, 922. [Google Scholar] [CrossRef] [PubMed]
- Lee, S.; Jeon, S. Estimating Rock Mass Joint Roughness Using Terrestrial Laser Scanner and Artificial Neural Network. In Proceedings of the 56th U.S. Rock Mechanics/Geomechanics Symposium, Santa Fe, NM, USA, 26 June 2022. [Google Scholar] [CrossRef]
- Huang, H.; Ye, Z.; Zhang, C.; Yue, Y.; Cui, C.; Hammad, A. Adaptive Cloud-to-Cloud (AC2C) Comparison Method for Photogrammetric Point Cloud Error Estimation Considering Theoretical Error Space. Remote Sens. 2022, 14, 4289. [Google Scholar] [CrossRef]
- Lague, D.; Brodu, N.; Leroux, J. Accurate 3D comparison of complex topography with terrestrial laser scanner: Application to the Rangitikei canyon (NZ). ISPRS J. Photogramm. Remote Sens. 2013, 82, 10–26. [Google Scholar] [CrossRef]
- Baltsavias, E.P. A comparison between photogrammetry and laser scanning. ISPRS J. Photogramm. Remote Sens. 1999, 54, 83–94. [Google Scholar] [CrossRef]
- Ge, Y.; Kulatilake, P.H.; Tang, H.; Xiong, C. Investigation of natural rock joint roughness. Comput. Geotech. 2014, 55, 290–305. [Google Scholar] [CrossRef]
- Park, J.W.; Lee, Y.K.; Song, J.J.; Choi, B.H. A constitutive model for shear behavior of rock joints based on three-dimensional quantification of joint roughness. Rock Mech. Rock Eng. 2013, 46, 1513–1537. [Google Scholar] [CrossRef]
- Barton, N.; Wang, C.; Yong, R. Advances in joint roughness coefficient (JRC) and its engineering applications. J. Rock Mech. Geotech. Eng. 2023, 15, 3352–3379. [Google Scholar] [CrossRef]














| Sensor | 1″ CMOS Effective pixels: 20 M |
| Lens | Field of view (FOV): approximately 77° Focal length: 28 mm (35 mm equivalent) Aperture: f/2.8–f/11 Shooting range: 1 m–∞ |
| ISO range | 100–12,800 (for still images) 100–6400 (for videos) |
| Shutter speed | 8–1/8000 s |
| Still image resolution | 5.4 K: 5472 × 3648 @ 24/25/30 fps |
| Video resolution | 4 K: 3840 × 2160 @ 24/25/30 fps 2.7 K: 2688 × 1512 @ 24/25/30/48/50/60 fps FHD: 1920 × 1080 @ 24/25/30/48/50/60/120 fps |
| Settings Index | N | t (s) | S | p (px) | D (m) | v (m/s) |
|---|---|---|---|---|---|---|
| OPS | 2.8 | 1/160 | 3200 | 1920 | 3 | 0.6 |
| APS#1 | 2.8 | 1/320 | 6400 | 1920 | 6 | 0.3 |
| APS#2 | 2.8 | 1/320 | 6400 | 1920 | 9 | 0.2 |
| Accuracy | ≥0.01 mm |
| Scanning rate | ≥1,350,000 measurements/s |
| Scanning area | ≥1440 × 860 mm |
| Resolution | ≥0.01 mm |
| Stand-off distance | 300 mm |
| Depth of field | 925 mm |
| Settings Index | E (lx) | N | t (s) | S | p (px) | D (m) | v (m/s) | Optimal |
|---|---|---|---|---|---|---|---|---|
| 1 | 50 | 3.5 | 1/50 | 3200 | 1920 | 2 | 0.2 | O |
| 2 | 50 | 3.5 | 1/50 | 3200 | 1920 | 4 | 0.1 | X |
| 3 | 1500 | 5.6 | 1/200 | 800 | 3840 | 2 | 0.2 | O |
| 4 | 1500 | 5.6 | 1/40 | 200 | 3840 | 4 | 0.1 | X |
| 5 | 1500 | 4 | 1/200 | 400 | 3840 | 4 | 0.1 | X |
| 6 | 1500 | 6.3 | 1/40 | 200 | 3840 | 2 | 0.2 | X |
| Field of view | 360° (horizontal)/300° (vertical) |
| Range | 0.6–60 m |
| Point measurement rate | ≤360,000 pts/s |
| Ranging accuracy | 4 mm @ 10 m/7 mm @ 20 m |
| Measurement speed | <3 min for complete full dome scan |
| 3D point accuracy | 6 mm @ 10 m/8 mm @ 20 m |
| Planes | #1 | #2 | #3 | #4 | #5 | #6 | Optimal | |
|---|---|---|---|---|---|---|---|---|
| Settings | ||||||||
| 50 lx | #1 | 1.43 1.09 | 0.91 0.92 | 0.72 0.68 | 1.01 0.98 | 0.81 0.70 | 1.38 1.09 | O |
| #2 | 2.16 1.85 | 1.51 1.97 | 1.27 1.43 | 1.49 1.89 | 1.23 1.49 | 3.18 3.17 | X | |
| 1500 lx | #3 | 0.67 0.55 | 0.42 0.30 | 0.37 0.43 | 0.65 0.71 | 0.65 0.43 | 0.71 0.58 | O |
| #4 | 1.94 1.54 | 0.94 1.01 | 1.02 1.00 | 2.16 0.66 | 0.96 0.60 | 1.37 1.10 | X | |
| #5 | 0.81 1.06 | 1.26 0.66 | 1.50 0.66 | 0.78 0.76 | 0.66 1.82 | 1.49 0.82 | X | |
| #6 | 1.12 0.86 | 0.90 0.60 | 1.09 0.73 | 0.17 1.05 | 2.25 1.53 | 0.25 0.13 | X |
| Planes | #1 | #2 | #3 | #4 | #5 | #6 | Optimal | |
|---|---|---|---|---|---|---|---|---|
| Settings | ||||||||
| 50 lx | #1 | 1.92 1.53 | 1.05 1.04 | 0.85 0.78 | 1.26 1.22 | 0.98 0.83 | 1.66 1.34 | O |
| #2 | 2.74 2.52 | 1.70 2.17 | 1.56 1.74 | 1.66 2.22 | 1.55 1.88 | 3.57 3.71 | X | |
| 1500 lx | #3 | 0.95 0.82 | 0.44 0.30 | 0.38 0.45 | 0.79 0.76 | 0.71 0.45 | 0.78 0.63 | O |
| #4 | 2.39 2.01 | 1.04 1.11 | 1.18 1.14 | 2.44 0.87 | 1.12 0.72 | 1.60 1.29 | X | |
| #5 | 1.21 1.45 | 1.37 0.72 | 1.67 0.74 | 1.00 0.94 | 0.77 2.14 | 1.68 0.95 | X | |
| #6 | 1.50 1.19 | 0.98 0.63 | 1.22 0.79 | 1.37 1.26 | 2.51 1.63 | 2.81 1.41 | X |
| SfM–MVS | LiDAR | |
|---|---|---|
| Instrument | DJI Mavic 2 Pro | Leica BLK 360 |
| Capital cost | USD 1770 | USD 15545 |
| Survey time | 5 min | 5 min |
| Resolution | 35,100,000 pts (670 pts/m) | Rock face: 1,700,000 pts (150 pts/m) Whole tunnel: 12,100,000 pts (400 pts/m) |
| Accuracy | 2 mm (@ OPS under E = 25 lx and A = 0.3 m2/s) | 6 mm (@ D = 10 m) |
| Features | Texture data Joints well depicted Need for drone control | Intensity data Shadow zones Simple scanning (⸪ TLS) |
Disclaimer/Publisher’s Note: The statements, opinions and data contained in all publications are solely those of the individual author(s) and contributor(s) and not of MDPI and/or the editor(s). MDPI and/or the editor(s) disclaim responsibility for any injury to people or property resulting from any ideas, methods, instructions or products referred to in the content. |
© 2025 by the authors. Licensee MDPI, Basel, Switzerland. This article is an open access article distributed under the terms and conditions of the Creative Commons Attribution (CC BY) license (https://creativecommons.org/licenses/by/4.0/).
Share and Cite
Leem, J.; Mehrishal, S.; Kang, I.-S.; Yoon, D.-H.; Shao, Y.; Song, J.-J.; Jung, J. Optimizing Camera Settings and Unmanned Aerial Vehicle Flight Methods for Imagery-Based 3D Reconstruction: Applications in Outcrop and Underground Rock Faces. Remote Sens. 2025, 17, 1877. https://doi.org/10.3390/rs17111877
Leem J, Mehrishal S, Kang I-S, Yoon D-H, Shao Y, Song J-J, Jung J. Optimizing Camera Settings and Unmanned Aerial Vehicle Flight Methods for Imagery-Based 3D Reconstruction: Applications in Outcrop and Underground Rock Faces. Remote Sensing. 2025; 17(11):1877. https://doi.org/10.3390/rs17111877
Chicago/Turabian StyleLeem, Junsu, Seyedahmad Mehrishal, Il-Seok Kang, Dong-Ho Yoon, Yulong Shao, Jae-Joon Song, and Jinha Jung. 2025. "Optimizing Camera Settings and Unmanned Aerial Vehicle Flight Methods for Imagery-Based 3D Reconstruction: Applications in Outcrop and Underground Rock Faces" Remote Sensing 17, no. 11: 1877. https://doi.org/10.3390/rs17111877
APA StyleLeem, J., Mehrishal, S., Kang, I.-S., Yoon, D.-H., Shao, Y., Song, J.-J., & Jung, J. (2025). Optimizing Camera Settings and Unmanned Aerial Vehicle Flight Methods for Imagery-Based 3D Reconstruction: Applications in Outcrop and Underground Rock Faces. Remote Sensing, 17(11), 1877. https://doi.org/10.3390/rs17111877

