Comparison of a Continuous Forest Inventory to an ALS-Derived Digital Inventory in Washington State
Abstract
1. Introduction
- How effectively does the Digital Inventory® (DI) capture the regional inventory information, such as heights, trees per acre (TPA), basal area per acre (BAA), and gross volume per acre (VPA), when compared to forward-modeled CFI data?
- What sizes of trees are the DI- and CFI-derived inventories effective at describing?
- What are the sources of uncertainty in the base CFI, forward-modeled CFI and DI?
2. Materials and Methods
2.1. Study Area
2.2. Forest Inventory Data
- -
- DBH and all other tree data except for trees with a height of >5 inches DBH.
- -
- Data for all saplings between 1- and 4.9-inches DBH in 2-inch sizes classes.
- -
- Data for all seedlings between 1- and 4.5-feet tall and less than 1-inch DBH.
- -
- Height recorded for all trees greater than 5 inches DBH.
2.3. Aerial LiDAR Scanning Data
2.4. DI Field Validation Methodology
2.5. Undisturbed and Geographically Aligned Plot Locations
2.6. Forward Growth Modeling
2.7. Reassessing Alignment Following Forward Modeling Using Aerial Photography
- (1)
- Assessing the difference in height of the tallest tree on each CFI plot (measured or imputed) versus the tallest tree as estimated on each corresponding DI plot.
- (2)
- Assessing the number of trees per acre of the tallest trees on a plot.
2.8. Direct CFI and DI Comparison
2.9. CFI Sample-Based vs. Population-Based Forest-Wide Comparison
3. Results
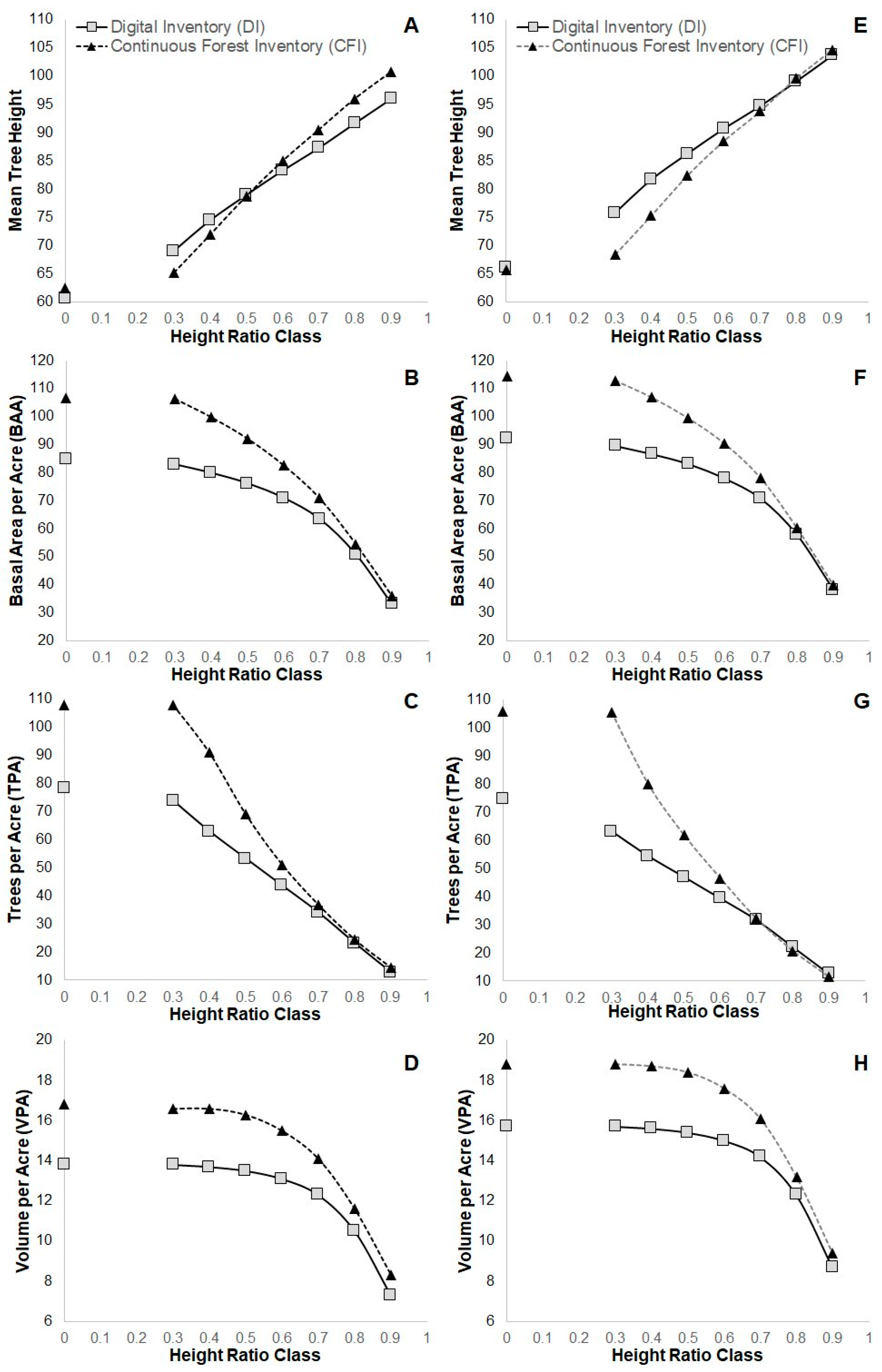
3.1. Comparison of Forward-Modeled CFI to DI (Plot-to-Plot Analysis)
3.2. DI Field Validation Results
3.3. CFI Versus DI Landscape Estimate
4. Discussion
4.1. Location Uncertainties
4.2. Tree Heights
4.3. Trees and Volume per Acre
4.4. CFI Sources of Error
4.5. DI Accuracy Assessment
5. Conclusions
- How effectively does the DI capture regional inventory information, such as heights, TPA, BAA, and VPA, when compared to forward-modeled CFI data?
- What sizes of trees are the DI- and CFI-derived inventories effective at describing?
- What are the sources of uncertainty in the base CFI, forward-modeled CFI, and ALS-derived inventories?
Author Contributions
Funding
Data Availability Statement
Conflicts of Interest
References
- Falkowski, M.J.; Smith, A.M.S.; Hudak, A.T.; Gessler, P.E.; Vierling, L.A.; Crookston, N.L. Automated estimation of individual conifer tree height and crown diameter via Two-dimensional spatial wavelet analysis of LiDAR data. Can. J. Remote Sens. 2006, 32, 153–161. [Google Scholar] [CrossRef]
- Hudak, A.T.; Strand, E.K.; Vierling, L.A.; Byrne, J.C.; Eitel, J.U.H.; Martinuzzi, S.; Falkowski, M.J. Quantifying aboveground forest carbon pools and fluxes from repeat LiDAR surveys. Remote Sens. Environ. 2012, 123, 25–40. [Google Scholar] [CrossRef]
- Sparks, A.M.; Smith, A.M.S. Accuracy of a LiDAR-based individual tree detection and attribute measurement algorithm developed to inform forest products supply chain and resource management. Forests 2022, 13, 3. [Google Scholar] [CrossRef]
- Nelson, R.; Parker, G.; Hom, M. A Portable Airborne Laser System for Forest Inventory. Photogramm. Eng. Remote Sens. 2003, 69, 267–273. [Google Scholar] [CrossRef]
- Hudak, A.T.; Evans, J.S.; Smith, A.M.S. Review: LiDAR Utility for Natural Resource Managers. Remote Sens. 2009, 1, 934–951. [Google Scholar] [CrossRef]
- Wulder, M.A.; White, J.C.; Nelson, R.F.; Næsset, E.; Orka, H.O.; Coops, N.C.; Hilker, T.; Bater, C.W.; Gobakken, T. LiDAR sampling for large-area forest characterization: A review. Remote Sens. Environ. 2012, 121, 196–209. [Google Scholar] [CrossRef]
- Falkowski, M.J.; Hudak, A.T.; Crookston, N.L.; Gessler, P.E.; Uebler, E.H.; Smith, A.M.S. Landscape-scale parameterization of a tree-level forest growth model: A k-nearest neighbor imputation approach incorporating LiDAR data. Can. J. For. Res. 2010, 40, 184–199. [Google Scholar] [CrossRef]
- Sibona, E.; Vitali, A.; Meloni, F.; Caffo, L.; Dotta, A.; Lingua, E.; Motta, R.; Garbarino, M. Direct measurement of tree height provides different results on the assessment of LiDAR accuracy. Forests 2017, 8, 7. [Google Scholar] [CrossRef]
- Popescu, S.C.; Wynne, R.H. Seeing the Trees in the Forest. Photogramm. Eng. Remote Sens. 2004, 70, 589–604. [Google Scholar] [CrossRef]
- Smith, A.M.S.; Greenberg, J.A.; Vierling, L.A. Introduction to Special Section: The Remote Characterization of Vegetation Structure: New methods and applications to landscape-regional-global scale processes. J. Geophys. Res. 2008, 113, G03S91. [Google Scholar] [CrossRef]
- Corrao, M.V.; Sparks, A.M.; Smith, A.M.S. A Conventional Cruise and Felled-Tree Validation of Individual Tree Diameter, Height and Volume Derived from Airborne Laser Scanning Data of a Loblolly Pine (P. taeda) Stand in Eastern Texas. Remote Sens. 2022, 14, 2567. [Google Scholar] [CrossRef]
- Yakama Reservation. Forest Management Plan; United States Department of the Interior, Bureau of Indian Affairs, Yakama Agency Branch of Forestry and the Yakama Nation: Toppenish, WA, USA, 2005. Available online: https://www.yakama.com/programs/ (accessed on 1 April 2025).
- Illes, K. A Sampler of Inventory Topics, 3rd ed.; Kim Iles & Associates, Ltd.: Nanaimo, BC, Canada, 2003. [Google Scholar]
- Cunia, T. On the error of continuous forest inventory estimates. Can. J. For. Res. 1987, 17, 436–441. [Google Scholar] [CrossRef]
- McTague, J.P.; Scolforo, H.F.; Scolforo, J.R.S. A new paradigm for Continuous Forest Inventory in industrial plantations. For. Ecol. Manag. 2022, 519, 120314. [Google Scholar] [CrossRef]
- Cunia, T. Some theory on reliability of volume estimates in a forest inventory sample. For. Sci. 1965, 11, 115–128. [Google Scholar]
- Reutebuch, S.E.; Andersen, H.-E.; McGaughey, R.J. Light detection and ranging (LIDAR): An emerging tool for multiple resource inventory. J. For. 2005, 103, 286–292. [Google Scholar] [CrossRef]
- Hudak, A.T.; Haren, A.T.; Crookston, N.L.; Liebermann, R.J.; Ohmann, J.L. Imputing forest structure attributes from stand inventory and remotely sensed data in western Oregon, USA. For. Sci. 2014, 60, 253–269. [Google Scholar] [CrossRef]
- Jeronimo, S.M.A.; Kane, V.R.; Churchill, D.J.; McGaughey, R.J.; Franklin, J.F. Applying LiDAR individual tree detection to management of structurally diverse forest landscapes. J. For. 2018, 116, 336–346. [Google Scholar] [CrossRef]
- Strunk, J.; Temesgen, H.; Andersen, H.-E.; Flewelling, J.P.; Madsen, L. Effects of LiDAR pulse density and sample size on a model-assisted approach to estimate forest inventory variables. Can. J. Remote Sens. 2012, 38, 644–654. [Google Scholar] [CrossRef]
- Landry, S.; St-Laurent, M.-H.; Pelletier, G.; Villard, M.-A. The best of both worlds? Integrating sentinel-2 images and airborne LiDAR to characterize forest regeneration. Remote Sens. 2020, 12, 2440. [Google Scholar] [CrossRef]
- Harikumar, A.; Bovolo, F.; Bruzzone, L. A local projection-based approach to individual tree detection and 3-d crown delineation in multistoried coniferous forests using high-density airborne LiDAR data. IEEE Trans. Geosci. Remote Sens. 2019, 57, 1168–1182. [Google Scholar] [CrossRef]
- Shao, G.; Shao, G.; Gallion, J.; Saunders, M.R.; Frankenberger, J.R.; Fei, S. Improving LiDAR-based aboveground biomass estimation of temperate hardwood forests with varying site productivity. Remote Sens. Environ. 2018, 204, 872–882. [Google Scholar] [CrossRef]
- Tamiminia, H.; Salehi, B.; Mahdianpari, M.; Beier, C.M.; Johnson, L.; Phoenix, D.B. A Comparison of Decision Tree-Based Models for Forest Above-Ground Biomass Estimation Using a Combination of Airborne Lidar and Landsat Data. ISPRS Ann. Photogramm. Remote Sens. Spat. Inf. Sci. 2021, 3, 235–241. [Google Scholar] [CrossRef]
- Li, S.; Quackenbush, L.J.; Im, J. Airborne LiDAR Sampling Strategies to Enhance Forest Aboveground Biomass Estimation from Landsat Imagery. Remote Sens. 2019, 11, 1906. [Google Scholar] [CrossRef]
- Oh, S.; Jung, J.; Shao, G.; Shao, G.; Gallion, J.; Fei, S. High-Resolution Canopy Height Model Generation and Validation Using USGS 3DEP LiDAR Data in Indiana, USA. Remote Sens. 2022, 14, 935. [Google Scholar] [CrossRef]
- Bureau of Indian Affairs. Indian Affairs Manual; Bureau of Indian Affairs: Washington, DC, USA, 2020; Volume 53, pp. 1–14. Available online: https://www.bia.gov/policy-forms/manual (accessed on 1 April 2025).
- Evans, J.S.; Hudak, A.T.; Faux, R.; Smith, A.M.S. Discrete Return LiDAR in Natural Resources: Recommendations for Project Planning, Data Processing, and Deliverables. Remote Sens. 2009, 1, 776–794. [Google Scholar] [CrossRef]
- Sparks, A.M.; Corrao, M.V.; Smith, A.M.S. Cross-Comparison of Individual Tree Detection Methods Using Low and High Pulse Density Airborne Laser Scanning Data. Remote Sens. 2022, 14, 3480. [Google Scholar] [CrossRef]
- Ullrich, A. Sampling the World in 3D by Airborne LiDAR—Assessing the Information Content of LIDAR Point Clouds. In Photogrammetric Week ’13; Fritsch, D., Ed.; Wichmann/VDE Verlag: Belin, Germany; Offenbach, Germany, 2013; pp. 247–259. [Google Scholar]
- Ullrich, A.; Pfennigbauer, M.; Rieger, P. How to Read Your Lidar Spec—A Comparison of Single-Laser-Output and Multi-Laser-Output Lidar Instruments; Riegl: Winter Garden, FL, USA, 2013. [Google Scholar]
- Sparks, A.M.; Smith, A.M.; Hudak, A.T.; Corrao, M.V.; Kremens, R.L.; Keefe, R.F. Integrating active fire behavior observations and multitemporal airborne laser scanning data to quantify fire impacts on tree growth: A pilot study in mature Pinus ponderosa stands. For. Ecol. Manag. 2023, 545, 121246. [Google Scholar] [CrossRef]
- Sparks, A.M.; Corrao, M.V.; Keefe, R.F.; Armstrong, R.; Smith, A.M.S. An accuracy assessment of field and airborne laser scanning–derived individual tree inventories using felled tree measurements and log scaling data in a mixed conifer forest. For. Sci. 2024, 70, 228–241. [Google Scholar] [CrossRef]
- Yang, J.; Kang, Z.; Cheng, S.; Yang, Z.; Akwensi, P.H. An Individual Tree Segmentation Method Based on Watershed Algorithm and Three-Dimensional Spatial Distribution Analysis from Airborne LiDAR Point Clouds. IEEE J. Sel. Top. Appl. Earth Obs. Remote Sens. 2020, 13, 1055–1067. [Google Scholar] [CrossRef]
- Yang, Q.; Su, Y.; Jin, S.; Kelly, M.; Hu, T.; Ma, Q.; Li, Y.; Song, S.; Zhang, J.; Xu, G.; et al. The Influence of Vegetation Characteristics on Individual Tree Segmentation Methods with Airborne LiDAR Data. Remote Sens. 2019, 11, 2880. [Google Scholar] [CrossRef]
- Jakubowski, M.K.; Li, W.; Guo, Q.; Kelly, M. Delineating Individual Trees from LiDAR Data: A Comparison of Vector- and Raster-based Segmentation Approaches. Remote Sens. 2013, 5, 4163–4186. [Google Scholar] [CrossRef]
- Jing, L.; Hu, B.; Li, J.; Noland, T. Automated Delineation of Individual Tree Crowns from LIDAR Data by Multi-Scale Analysis and Segmentation. Photogramm. Eng. Remote Sens. 2012, 78, 1275–1284. [Google Scholar] [CrossRef]
- Robinson, A.P.; Duursma, R.A.; Marshall, J.D. A regression-based equivalence test for model validation: Shifting the burden of proof. Tree Physiol. 2005, 25, 903–913. [Google Scholar] [CrossRef] [PubMed]
- R Core Team. R: A Language and Environment for Statistical Computing; R Foundation for Statistical Computing: Vienna, Austria, 2024. [Google Scholar]
- Robinson, A.P.; Hamann, J.D. Forest Analytics with R: An Introduction (Use R!): An Introduction; Springer: London, UK, 2011; 368p, ISBN 978-1441977618. [Google Scholar]
- Tinkham, W.T.; Smith, A.M.S.; Affleck, D.L.R.; Saralecos, J.D.; Falkowski, M.J.; Hoffman, C.M.; Hudak, A.T.; Wulder, M.A. Development of height-volume relationships in second growth Abies grandis for use with aerial LiDAR. Can. J. Remote Sens. 2016, 42, 400–410. [Google Scholar] [CrossRef]
- Sigrist, P.; Coppin, P.; Hermy, M. Impact of forest canopy on quality and accuracy of GPS measurements. Int. J. Remote Sens. 1999, 20, 3595–3610. [Google Scholar] [CrossRef]
- He, X.; Montillet, J.-P.; Fernandes, R.; Bos, M.; Yu, K.; Hua, X.; Jiang, W. Review of current GPS methodologies for producing accurate time series and their error sources. J. Geodyn. 2017, 106, 12–29. [Google Scholar] [CrossRef]
- Hill, R.A.; Broughton, R.K. Mapping the understorey of deciduous woodland from leaf-on and leaf-off airborne LiDAR data: A case study in lowland Britain. ISPRS J. Photogramm. Remote Sens. 2009, 64, 223–233. [Google Scholar] [CrossRef]
- Peters, S.; Liu, J.; Bruce, D.; Li, J.; Finn, A.; O’Hehir, J. Research note: Cost-efficient estimates of Pinus radiata wood volumes using multitemporal LiDAR data. Aust. For. 2021, 84, 206–214. [Google Scholar] [CrossRef]
- Riofrío, J.; White, J.C.; Tompalski, P.; Coops, N.C.; Wulder, M.A. Modelling height growth of temperate mixedwood forests using an age-independent approach and multi-temporal airborne laser scanning data. For. Ecol. Manag. 2023, 543, 121137. [Google Scholar] [CrossRef]
- Riofrío, J.; White, J.C.; Tompalski, P.; Coops, N.C.; Wulder, M.A. Harmonizing multi-temporal airborne laser scanning point clouds to derive periodic annual height increments in temperate mixedwood forests. Can. J. For. Res. 2022, 52, 1334–1352. [Google Scholar] [CrossRef]
- Short, E.A.; Burkhart, H.E. Predicting Crown-Height Increment for Thinned and Unthinned Loblolly Pine Plantations. For. Sci. 1992, 38, 594–610. [Google Scholar] [CrossRef]
- Leites, L.P.; Robinson, A.P.; Crookston, N.L. Accuracy and equivalence testing of crown ratio models and assessment of their impact on diameter growth and basal area increment predictions of two variants of the forest vegetation simulator. Can. J. For. Res. 2009, 39, 655–665. [Google Scholar] [CrossRef]
- Wykoff, W.R. A basal area increment model for individual conifers in the northern Rocky Mountains. For. Sci. 1990, 36, 1077–1104. [Google Scholar] [CrossRef]
- Intertribal Timber Council. IFMAT IV: Assessment of Indian Forests and Forest Management in the United States; Intertribal Timber Council: Portland, OR, USA, 2023. [Google Scholar]
- Giebink, C.L.; DeRose, R.J.; Castle, M.; Shaw, J.D.; Evans, M.E.K. Climatic sensitivities derived from tree rings improve predictions of the Forest Vegetation Simulator growth and yield model. For. Ecol. Manag. 2022, 517, 120256. [Google Scholar] [CrossRef]
- Riegl USA. Riegl 1560ii LiDAR Sensor [WWW Document]. 2022. Available online: http://www.riegl.com/nc/products/airborne-scanning/produktdetail/product/scanner/68/ (accessed on 24 January 2022).
- Gertner, G.Z. Control of sampling error and measurement error in a horizontal point cruise. Can. J. For. Res. 1984, 14, 40–43. [Google Scholar] [CrossRef]
- Gertner, G.Z. The sensitivity of measurement error in stand volume estimation. Can. J. For. Res. 1990, 20, 800–804. [Google Scholar] [CrossRef]
- Kangas, A.S. On the prediction bias and variance in long-term growth projections. For. Ecol. Manag. 1997, 96, 207–216. [Google Scholar] [CrossRef]
- Dixon, G.E. Essential FVS: A User’s Guide to the Forest Vegetation Simulator; Internal Rep.; Revised 16 February 2024; U. S. Department of Agriculture, Forest Service, Forest Management Service Center: Fort Collins, CO, USA, 2002; 226p.
- Hudak, A.T.; Fekety, P.A.; Kane, V.R.; Kennedy, R.E.; Filippelli, S.K.; Falkowski, M.J.; Tinkham, W.T.; Smith, A.M.S.; Crookston, N.L.; Domke, G.M.; et al. A carbon monitoring system for mapping regional, annual aboveground biomass across the northwestern USA. Environ. Res. Lett. 2020, 15, 095003. [Google Scholar] [CrossRef]
- Tinkham, W.T.; Mahoney, P.R.; Hudak, A.T.; Domke, G.M.; Falkowski, M.J.; Woodall, C.W.; Smith, A.M.S. Applications of the United States Forest Inventory and Analysis dataset: A review and future directions. Can. J. For. Res. 2018, 48, 1251–1268. [Google Scholar] [CrossRef]












Disclaimer/Publisher’s Note: The statements, opinions and data contained in all publications are solely those of the individual author(s) and contributor(s) and not of MDPI and/or the editor(s). MDPI and/or the editor(s) disclaim responsibility for any injury to people or property resulting from any ideas, methods, instructions or products referred to in the content. |
© 2025 by the authors. Licensee MDPI, Basel, Switzerland. This article is an open access article distributed under the terms and conditions of the Creative Commons Attribution (CC BY) license (https://creativecommons.org/licenses/by/4.0/).
Share and Cite
Montzka, T.; Scharosch, S.; Huebschmann, M.; Corrao, M.V.; Hardman, D.D.; Rainsford, S.W.; Smith, A.M.S.; The Confederated Tribes and Bands of the Yakama Nation. Comparison of a Continuous Forest Inventory to an ALS-Derived Digital Inventory in Washington State. Remote Sens. 2025, 17, 1761. https://doi.org/10.3390/rs17101761
Montzka T, Scharosch S, Huebschmann M, Corrao MV, Hardman DD, Rainsford SW, Smith AMS, The Confederated Tribes and Bands of the Yakama Nation. Comparison of a Continuous Forest Inventory to an ALS-Derived Digital Inventory in Washington State. Remote Sensing. 2025; 17(10):1761. https://doi.org/10.3390/rs17101761
Chicago/Turabian StyleMontzka, Thomas, Steve Scharosch, Michael Huebschmann, Mark V. Corrao, Douglas D. Hardman, Scott W. Rainsford, Alistair M. S. Smith, and The Confederated Tribes and Bands of the Yakama Nation. 2025. "Comparison of a Continuous Forest Inventory to an ALS-Derived Digital Inventory in Washington State" Remote Sensing 17, no. 10: 1761. https://doi.org/10.3390/rs17101761
APA StyleMontzka, T., Scharosch, S., Huebschmann, M., Corrao, M. V., Hardman, D. D., Rainsford, S. W., Smith, A. M. S., & The Confederated Tribes and Bands of the Yakama Nation. (2025). Comparison of a Continuous Forest Inventory to an ALS-Derived Digital Inventory in Washington State. Remote Sensing, 17(10), 1761. https://doi.org/10.3390/rs17101761

