Abstract
Salt marshes, as one of the most productive ecosystems on earth, have experienced fragmentation, degradation, and losses due to the impacts of climate change and human overexploitation. Accurate monitoring of vegetation distribution and composition is crucial for salt marsh protection. However, achieving accurate mapping has posed a challenge. Leveraging the high spatiotemporal resolution of the Sentinel series data, this study developed a method for high-accuracy mapping based on monthly changes across the vegetation life cycle, utilizing the random forest algorithm. This method was applied to identify Phragmites australis, Suaeda salsa, Spartina alterniflora, and the mixed-vegetation zones of Tamarix chinensis in the Yellow River Delta, and to analyze the key features of the model. The results indicate that: (1) integrating Sentinel-1 and Sentinel-2 satellite data achieved superior mapping accuracy (OA = 90.7%) compared to using either satellite individually; (2) the inclusion of SAR data significantly enhanced the classification accuracy within the mixed-vegetation zone, with “SARdivi” in July emerging as the pivotal distinguishing feature; and (3) the overall extent of salt marsh vegetation in the Yellow River Delta remained relatively stable from 2018 to 2022, with the largest area recorded in 2020 (265.69 km2). These results demonstrate the robustness of integrating Sentinel-1 and Sentinel-2 features for mapping salt marsh, particularly in complex mixed-vegetation zones. Such insights offer valuable guidance for the conservation and management of salt marsh ecosystems.
1. Introduction
Estuarine and coastal salt marshes, located at the land–sea interface, are globally distributed, covering all continents except Antarctica [1]. These wetlands play a crucial role in biodiversity conservation, providing habitats for a wide range of species, as well as offering essential ecosystem services such as carbon sequestration and coastal protection [2,3]. Because of their character as a transition zone between land and sea, salt marshes are often the richest in biodiversity, and support crucial habitats for numerous species on the earth [4]. Salt marsh vegetation typically displays a banded distribution pattern along environmental gradients [5]. However, in recent years, the effects of climate change, human activities, and invasive species have significantly diminished salt marshes, making them one of the most threatened ecosystems in the 21st century [6]. Protecting native salt marsh species is significant for successful salt marsh restoration efforts. Therefore, accurately identifying the distribution and composition of complex wetland vegetation and monitoring the spatiotemporal changes in salt marsh are essential for protecting salt marsh ecosystems and maintaining their health and stability [7]. However, distinguishing between native and invasive species, as well as differentiating among various native species, remains a significant challenge for researchers.
Field surveys have traditionally been the primary method for mapping salt marshes, with handheld real-time kinematic (RTK) devices commonly employed for sampling. While reliable, field surveys face significant limitations, including high time consumption, expenses, and the intricate nature of salt marsh environments. These factors make large-scale, long-term monitoring difficult and limit access to historical data [8].
To address these challenges, satellite-based monitoring offers a powerful alternative, enabling large-scale, long-term monitoring of environmental changes, making them indispensable tools for regular salt marsh monitoring. Remote sensing is increasingly preferred by researchers for salt marsh surveillance [9,10,11,12]. The Landsat satellite series has provided valuable data for over four decades and has been extensively utilized in salt marsh monitoring [13,14,15,16]. For instance, Wang et al. (2020) mapped coastal land cover types in China in 2018 by discerning shifts in various wetland types [17]. Sun et al. (2023) categorized salt marshes along Jiangsu’s coast based on phenological variances using Landsat satellite data [14]. However, the revisit cycle of Landsat satellites is 16 days. Additionally, due to damage to the Landsat 7 satellite sensor scanner in 2003, there is reduced image availability, especially in cloud-prone regions like salt marshes [14,18].
In contrast, Sentinel-2 (S2) offers enhanced temporal resolution through its dual-satellite system, coupled with high spatial resolution. Previous studies have utilized the S2 data for tasks such as tidal creek extraction [19], invasive species monitoring [20], and wetland mapping [9,21,22]. While optical satellites like Sentinel-2 provide detailed spectral information, the integration of synthetic aperture radar (SAR) data offers significant advantages for improving mapping accuracy. SAR remains unaffected by illumination and atmospheric conditions, allowing for consistent, all-weather observation [23,24]. Furthermore, SAR bands exhibit higher sensitivity to vegetation structure and water bodies [25,26]. Hence, the fusion of SAR and optical satellite data enables more precise vegetation characterization and accurate mapping [27,28].
The integration of Sentinel-1 (S1) and S2 satellite data offers higher spatial and temporal resolutions, along with complementary radar and optical data, making them well-suited for monitoring complex ecosystems like salt marshes [29,30]. Feng et al. (2022) combined S1 and S2 data from May to October to extract phenological characteristics, achieving a mapping accuracy of 91.3% for China’s Momoge Ramsar wetland site [31]. Zhang et al. (2021) identified typical salt marsh vegetation in the Yellow River Delta (YRD) using S1/2 data features collected monthly throughout 2019, achieving an accuracy of 92.4% [32]. While these studies demonstrate the potential of SAR and optical data integration for vegetation mapping, they often rely on limited temporal datasets that may not fully capture the phenological dynamics of vegetation. Furthermore, accurately mapping mixed-vegetation zones remains a significant challenge. These zones, where species such as T. chinensis (TC) often coexist with P. australis (PA) and S. salsa (SS), are ecologically critical as buffers between freshwater and saline environments. However, the spectral similarities between these species complicate classification tasks. Observing the distributions of mixed-vegetation zones offers insights into ecosystem processes, such as salinity and groundwater gradients in the YRD, highlighting the ecological impact of improved water management. Therefore, a more integrated approach, combining both optical and SAR data throughout the vegetation life cycle, is needed to improve the accuracy of vegetation classification in these complex environments.
The primary aim of this study is to develop a more refined method for identifying salt marsh vegetation, including the complex mixed-vegetation zones. Building on prior research, this study extended the classification to include mixed-vegetation areas, enabling a finer-scale mapping of the diverse ecosystems in YRD. The study employed monthly Sentinel satellite data over a complete vegetation lifecycle (March to February of the following year) and the random forest (RF) algorithm to achieve the following objectives: (1) develop an integrated mapping approach that combines S1 and S2 data, with a focus on accurately identifying mixed-vegetation zones; (2) evaluate the classification performance of S1 and S2 data and identify the key features that enhance model accuracy; and (3) generate detailed maps of the YRD salt marsh vegetation distribution from 2018 to 2022, providing insights into the ecosystem’s spatiotemporal dynamics.
2. Materials and Methods
2.1. Study Area
The study area, the Yellow River Delta (YRD), is located at the mouth of the Yellow River. The YRD is characterized by a warm temperate monsoon climate with distinct seasons. The YRD is influenced by semi-diurnal tides from Bohai sea. The region is renowned for its rich biodiversity, serving as an important habitat and migratory stopover for numerous bird species [33].
The dominant native species in the YRD primarily consist of herbaceous plants, with prominent native species including P. australis (PA), S. salsa (SS), and T. chinensis (TC). SS generally grows to a height of less than 0.5 m, with a density ranging from 7 to 20 plants/m2. PA typically flourishes in the supratidal zone and floodplain areas adjacent to SS, with an average plant height of 1.2 to 1.8 m and a density of 64 to 88 plants/m2 [14]. TC predominantly coexists with PA and SS in the YRD, with heights ranging from 0.2 to 3 m. The invasive species S. alterniflora (SA) was introduced into the YRD in 1989 and initially planted at Pile No. 5, located north of the Gudong Oilfield area and north of the study site [34]. SA typically thrives in the intertidal zone, growing to heights of 1.6 to 2.2 m and with dense stands often reaching a density of 200 plants/m2. SA expanded rapidly in the YRD after 2008, forming dense communities that severely disrupted the local ecosystem. To mitigate the impact of SA, extensive eradication measures were implemented in 2021 [35]. The eradication area of SA showed a low and dense community during sampling, as shown in Figure 1.
Figure 1.
Location of the Yellow River Delta (YRD), Dongying City, Shandong Province, China. (a) Geospatial distribution of vegetation during field surveys within the YRD. (b) The distribution of salt marsh vegetation along the red line in (a), moving from the Yellow River to the ocean. The sequential zones of vegetation include P. australis (PA), T. chinensis & P. australis (T&P), T. chinensis & S. salsa (T&S), S. salsa (SS), no-vegetation (NV), and S. alterniflora (SA).
2.2. Datasets
2.2.1. Sentinel Data and Preprocessing
Sentinel series data covering the YRD from March 2018 to February 2023 were preprocessed using Google Earth Engine. A total of 673 S1 images and 1029 S2 images were collected. Figure 2 illustrates the monthly distribution of acquired images from March to February of the following year.
Figure 2.
The number of images per month during the observation period (1 March 2018–28 September 2023). (a) Sentinel-1, (b) Sentinel-2 images selected with less than 20% cloud cover.
The S1 data were acquired from Level-1 Ground Range Detected (GRD) scenes and preprocessed using the S1 toolkit. Preprocessing steps included thermal noise removal, radiometric calibration, and terrain correction using the SRTM DEM. Operating at 5.405 GHz, the S1 A/B satellites were equipped with C-band. S1 was revisited for the same area approximately every 6 to 12 days, offering four working modes. The study focused on the dual-polarization data (VV + VH) captured in the Interferometric Wide Swath (IW) mode, featuring a spatial resolution of 10 m. Notably, due to the malfunction of S1 B satellite on 23 December 2021, the availability of S1 data for 2022 was limited.
The S2 data included Harmonized S2 Level 1C data from March to November 2018 and Harmonized Level 2A data from December 2018 to March 2023, generated by the European Space Agency’s Sentinel Science Data Center. S2 data offer a temporal resolution of 5 days and a spatial resolution of 10/20 m. Images with over 20% cloud cover were filtered out. Sen2cor was employed to conduct atmospheric correction on Level 1C data to acquire the surface reflectance. Poor-quality pixels obscured by clouds, cirrus, shadows, and snow were identified through the QA band, with the corresponding logical bit mask utilized to derive high-quality observation results.
2.2.2. Field Data
A field survey of vegetation in the YRD was conducted in the summer (August) and autumn (October) of 2022, utilizing Ruide R8i RTK and DJI Mini3 Pro UAV. During sampling, UAV images were captured vertically and consistency was ensured between the vegetation types within 4 pixels (40 × 40 m2) of the satellite image. The coordinates of the image center corresponded to the respective vegetation types. Six categories were identified, including PA, eradicated SA (SAE), SS, no-vegetation (NV), T. chinensis & P. australis (T&P), and T. chinensis & S. salsa (T&S).
Due to tidal influences, estuarine waters could not be directly sampled from the field. To address this, the k-means clustering algorithm, combined with the indices in Section 3.2 as inputs, was employed to cluster the study area. The Yellow River and ocean areas were then extracted through visual interpretation. Following a screening process, 435 points were selected as sample points for water bodies.
Large-scale SA eradication efforts were conducted in the YRD in 2021, preceded by pilot projects in specific areas in 2020. Consequently, using the k-means clustering algorithm and visual interpretation, the SA regions were classified with indices in 2019. A total of 233 sample points were selected for SA. Details regarding the sample size for each category are provided in Table 1.
Table 1.
The number of samples of different vegetation types in the YRD.
2.3. Methods
2.3.1. Workflow
Figure 3 illustrates the workflow for analyzing the distribution of salt marsh vegetation. The workflow began with the acquisition of location data, including UAV-based field sampling and k-means clustering for identifying water bodies and SA (Section 2.2.2). Subsequently, features derived from S1 and S2 were utilized to train the RF model, generating models from different sensor types (Section 2.3). These models were then evaluated to assess the accuracy of typical salt marsh mapping and identify the key features contributing to the classification models (Section 3.2). Finally, based on the optimal model, the distribution and composition of vegetation in the YRD from 2018 to 2022 were analyzed (Section 3.3).
Figure 3.
The workflow for analyzing the distribution and composition of typical salt marsh vegetation in the YRD.
2.3.2. Selection and Calculation of Classification Features
In addition to the 10 surface reflectance (SR) bands of S2, eight spectral indices (SIs) were selected for their effectiveness in highlighting unique characteristics of salt marsh vegetation (Table 2). To account for variations in the vegetation characteristics, the SR data and SIs were extracted on a monthly basis, covering the full vegetation life cycle from March to February of the following year. Based on the preprocessed S2 data, these indices were carefully chosen to emphasize the vegetation traits. For feature extraction, the SR data used the median of the monthly image pixels, while the SIs applied the maximum monthly pixel values to enhance vegetation signal capture. Each feature is labeled in the format “month_SI”, where “SI” denotes the specific spectral index.
Considering the sensitivity of S1 data to soil humidity, disturbances, and stalk-surface double-bounce effects [26,36], this study introduced additional parameters beyond the existing VV and VH. Specifically, four new indices were constructed: SARsum, SARdiff, SARdivi, and SARNDVI. These SAR-based indices were calculated and aggregated using the median of the monthly pixel values, following the same March to February cycle used for Sentinel-2 data. Each SAR feature followed the naming format “month_subscript”, where “subscript” represents the index name, and the subscript for SARNDVI was denoted as “NDVI1” in the feature labels.
Table 2.
S1 and S2 indices and calculation formulas.
Table 2.
S1 and S2 indices and calculation formulas.
| Sensor | Spectral Indices | Formulation | Reference |
|---|---|---|---|
| S2 | Normalized Difference Vegetation Index (NDVI) | [37] | |
| Normalized Difference Water Index (NDWI) | [38] | ||
| Land Surface Water Index (LSWI) | [39] | ||
| Modified Soil Adjusted Vegetation Index (MSAVI) | [40] | ||
| Enhanced Vegetation Index (EVI) | [41] | ||
| two-band EVI without the blue band (EVI2) | [42] | ||
| modified Normalized Difference Water Index (mNDWI) | [43] | ||
| Normalized Difference Greenness Index (NDGI) | |||
| S1 | SARsum | ||
| SARdiff | |||
| SARdivi | |||
| SARNDVI |
Notes: represents the blue band (458–523 nm), represents the green band (543–578 nm), represents the red band (650–680 nm), represents the near-infrared band (785–900 nm), and represents the short-wave infrared band (1565–1655 nm).
2.3.3. Random Forest Algorithms and Accuracy Assessment
The RF algorithm [44] was configured with 100 decision trees. The maximum number of features considered for each split was set to the square root of the total number of features, optimizing the balance between computational efficiency and model accuracy. Sample points were divided into a 70% training set and a 30% validation set. The monthly features of the corresponding pixels (March to February of the following year) served as inputs for constructing the classification model based on S1 features, S2 features, and S1/2 joint features.
The classification accuracy was evaluated using a confusion matrix. The validation set was assessed for user’s accuracy (UA), producer’s accuracy (PrA), F1, and overall accuracy (OA).
To identify key features influencing the predictive ability of RF models, we evaluated the importance of each feature. The evaluation process quantified the contribution of each feature to model accuracy while minimizing the interference of correlated features. All the input features were ranked using the mean decrease in the impurity criterion, which measures their influence on model performance. The top n (where n ≤ 30) features were selected for model training. We then created thirty different RF models, each trained with a different subset of the top-ranked features, and OA was calculated for each model. Based on the model improvement results and OA, features that led to significant accuracy improvements were identified as crucial for distinguishing between salt marsh vegetation types, particularly in challenging mixed-vegetation zones.
3. Results
3.1. Comparison of Sensor Model Results
The accuracy results of the three sensor models are presented in Table 3. The S1 model exhibited the lowest accuracy (OA = 79.3%), which was inferior to the S2 model (OA = 88.5%). Notably, the combined S1 and S2 model (S1S2) delivered the highest accuracy (OA = 90.7%). Concerning the identification accuracy of individual categories, all the metrics for the S1 model were lower compared to the S2 and S1S2 models, with F1 scores ranging from 0.632 to 0.963. Notably, F1 values for SAE, SA, and WT exceeded 0.89, The S1S2 model demonstrated a significant improvement in recognition accuracy over the S2 model, particularly for classes PA, T&P, and T&S, where the F1 recognition accuracy increased by more than 0.055. For SS, however, PrA increased and UA decreased. Conversely, NV showed an increase in UA but a decrease in PrA, although the overall F1 score still improved (ΔF1 > 0.006) compared to the individual model. Overall, the S1S2 model consistently outperformed in accurately mapping salt marsh vegetation, especially in areas with complex mixed-vegetation zones.
Table 3.
Comparison of classification accuracy across the sensor models.
Regarding specific categories in the optimal model S1S2, the accuracy of identifying individual categories surpassed that of mixed-vegetation zones. The F1 score of individual categories exceeded 0.88, with particularly high score for SAE, SA, and WT, which surpassed 0.97. However, SS and PA exhibited relatively low classification accuracy within single categories. The confusion matrix (Table 4) indicates misclassifications between SS and NV, while some SS instances were misclassified as T&S. Similarly, PA was frequently misclassified as T&P. In mixed-vegetation zones, the F1 scores of T&P and T&S were 0.832 and 0.823, respectively. T&P was mainly misclassified as PA, while T&S was mainly misclassified as SS. These errors highlight the challenges in accurately classifying mixed-vegetation zones within the complex ecosystem of the YRD.
Table 4.
Confusion matrix of salt marsh habitat classification results using S1S2 model.
Figure 4 presents the mapping result of the S1S2 model for YRD in 2022, accompanied by a detailed comparison of the three models in specific areas. The mapping results align closely with UAV-based sampling data, demonstrating the model’s ability to accurately differentiate various vegetation categories, including those in complex mixed-vegetation zones. In the sandbar area in the upper right corner, the S2 and S1S2 models exhibited more comprehensive identification and higher recognition accuracy compared to the S1 model. Moreover, the S1S2 model demonstrated superior accuracy in identifying SAE and NV compared to the S2 and S1 models, with fewer regions misclassified as PA. Regarding the mapping results of the selected central region, the vegetation distribution depicted by the S2 and S1S2 models is more complete than that of the S1 model. However, the S2 model results misclassified certain water body areas as SAE. The S1S2 model accurately recognized the water area and captured the transitional vegetation gradient from PA to T&P to T&S to SS. This comprehensive mapping allows for a clearer depiction of vegetation transitions across the YRD.
Figure 4.
The classification results of the S1S2 model for YRD in 2022, and the detailed comparison of the S1, S2, and S1S2 models in selected regions. The vegetation categories include P. australis (PA), T. chinensis & P. australis (T&P), T. chinensis & S. salsa (T&S), S. salsa (SS), no-vegetation (NV), S. alterniflora (SA), and S. alterniflora (eradication) (SAE).
3.2. Feature Importance Assessment
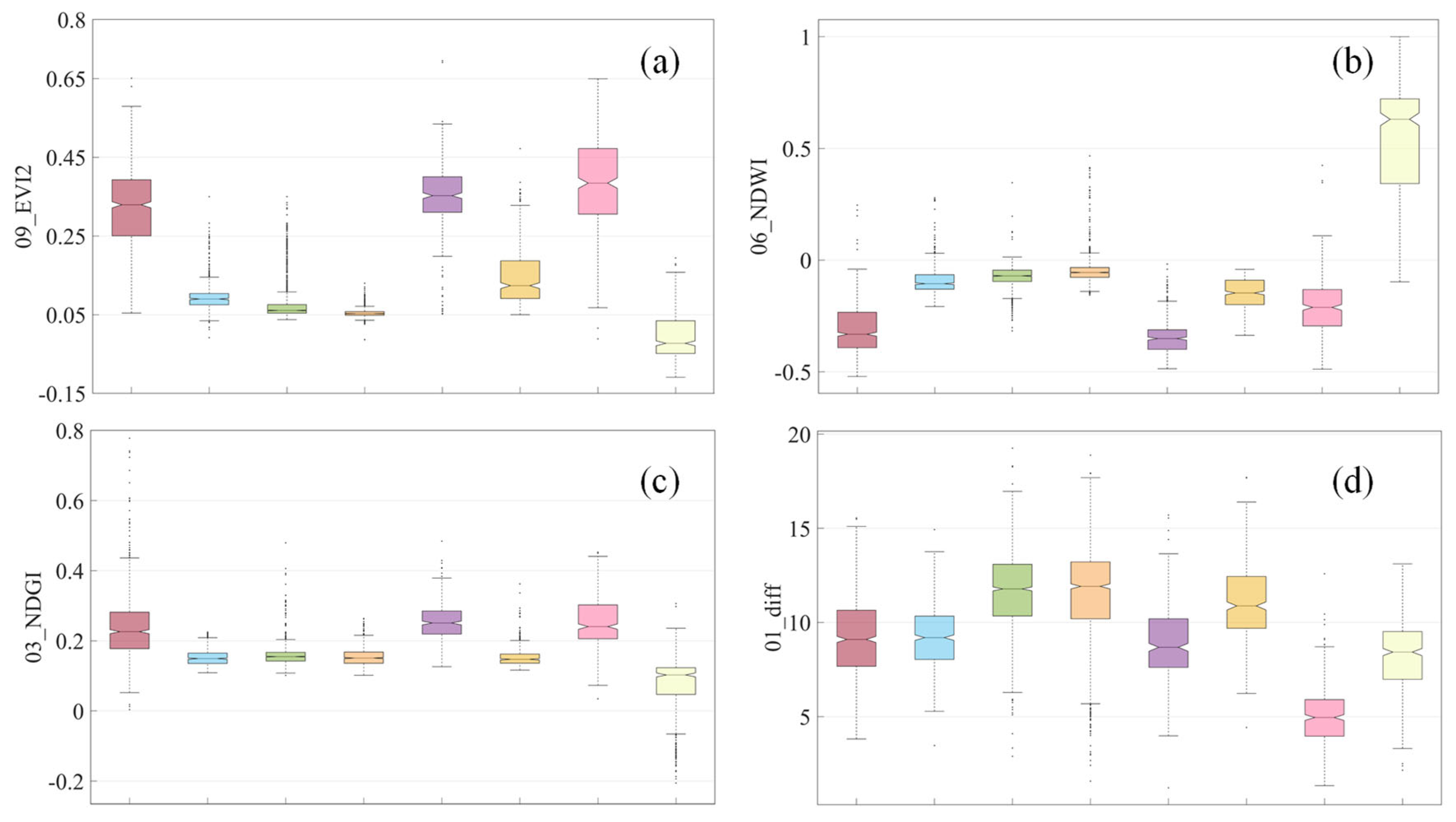
The importance ranking of variables in the RF model highlighted that some features contributed significantly to model accuracy (Figure 5). The accuracy of the model increased as additional key features were incorporated. Upon incorporating the top ten features, the OA reached 86.0%. Subsequent inclusion of additional features resulted in only minor improvements in model performance. Among the top ten features, 09_ EVI2, 06_ NDWI, 03_NDGI, 01_diff, 03_B8A, and 06_B8A exhibited an increase of more than 1.5% in OA of the model, marking them as important features. Although 06_NDGI and 07_NDGI ranked high in importance, they contributed minimally to OA enhancement. Consequently, these top six features were selected for further analysis to understand their role in improving the separability of different salt marsh vegetation categories.
Figure 5.
The importance ranking of features in the S1S2 model, where feature names are formatted as “month_index”, and the overall accuracy of models using the top n feature combinations.
To better understand the feature distribution across vegetation categories, we analyzed six critical variables, with the results presented in Figure 6. While some similarities were observed among the features of various categories, clear classification patterns were evident in 09_EVI2, 06_NDWI, 01_diff, and 03_B8A. Specifically, 09_EVI2 effectively distinguished PA, T&P, and SA from other categories, while 01_diff excelled in extracting SA. WT exhibited dissimilarities compared to other categories in 09_EVI2, 06_NDWI, and 03_B8A. Although SAE, SS, and NV exhibited similar feature distributions, SAE can be differentiated from SS and NV in 01_diff, despite there being similar intervals. However, distinguishing between SS and NV proved challenging due to their similarity across these six features. Moreover, similarities are observed between PA, SS, and the mixed zone with TC. While SS and T&S exhibited slight differences in 09_EVI2 and 03_B8A, PA and T&P demonstrated considerable overlap across all six features, necessitating additional features for clearer separation.

Figure 6.
Boxplots of the six most important features for the different vegetation categories in the salt marshes of YRD (a) 09_EVI2, (b) 06_NDWI, (c) 03_NDGI, (d) 01_diff, (e) 03_B8A, and (f) 06_B8A. P. australis (PA), T. chinensis & P. australis (T&P), T. chinensis & S. salsa (T&S), S. salsa (SS), no-vegetation (NV), S. alterniflora (SA), S. alterniflora (eradication) (SAE), and water (WT).
3.3. Interannual Variations in YRD Salt Marsh During 2018–2022
The distribution of salt marsh vegetation in the YRD from 2018 to 2022 is depicted in Figure 7. Owing to extensive eradication efforts targeting SA in 2021, many former SA regions were erroneously classified as PA. Consequently, the mapping results for 2021 were excluded from the analysis. Figure 7 illustrates that PA predominantly occupied areas on both sides of the Yellow River and near the original Qing Shui channel. T&P were situated on the PA side, away from the Yellow River, extending to the terminus of the Qing Shui channel and the middle and lower reaches of the Yellow River within the study area. SS primarily thrived on the northern bank of the Yellow River in the central study area, extending across most regions of the southern bank, flanked by the ocean and PA. Meanwhile, T&S was predominantly found in the area between T&P and SS. SA was mainly concentrated near the ocean, particularly on the northern side of the Yellow River’s northern bank and the newly formed sandbar area, the eastern side of the southern bank, and the southernmost region of the central region of the southern bank.
Figure 7.
Vegetation distribution in the salt marsh of YRD during 2018–2022.
Over the past five years, the distribution of salt marsh vegetation in YRD has remained relatively stable overall, though notable changes were observed in SS, T&S, and SA. Certain areas originally dominated by PA and SS transitioned into water bodies or bare land, increased the availability of freshwater resources, and drove the expansion of T&S and T&P zones. The notable change was the gradual expansion of SA, which formed dense communities on the southern bank of the Yellow River and the formation of new sandbars. As depicted in Figure 8 the ranking of vegetation coverage from largest to smallest includes SS, PA, SA, T&P, and T&S. SA demonstrated a consistent increase in area before eradication efforts, reaching a peak of 65.27 km2 in 2020. The total salt marsh area fluctuated over the five-year period, peaking at 265.69 km2 in 2020. However, due to the eradication efforts targeting SA and the impact of various engineering projects, the total area of salt marsh wetlands in the YRD decreased to 247.49 km2 by 2022.
Figure 8.
The occupancy areas and proportions of different salt marsh vegetation types in YRD from 2018 to 2022. The bars represent the percentage of area occupied by each vegetation type, while the lines depict changes in absolute area over time. For ease of interpretation, SAE in 2022 was combined with SA to show the overall trend in SA coverage.
4. Discussion
4.1. The Role of Mixed-Vegetation Zones in the YRD
This study identifies mixed-vegetation zones in YRD primarily composed of TC coexisting with PA and SS, with each species demonstrating distinct salinity tolerance that shapes their respective distributions across the salt marsh ecosystem. TC shows moderate salinity tolerance, thrives in salinity conditions up to 20 PSU, and can withstand levels approaching 60 PSU [45]. It also requires a groundwater depth of less than 1.5 m and is sensitive to prolonged surface flooding [46]. Unlike TC, PA exhibits lower salinity tolerance and is typically found near freshwater sources or in areas impacted by ecological engineering that reduces soil salinity. In contrast, SS displays high salinity tolerance, thrives in high-salinity coastal marshes, and serves as a pioneer species in extreme salt environments where few other plants can establish. TC’s intermediate tolerance positions it uniquely in transitional zones, forming a critical ecological bridge between low-salinity zones dominated by PA and high-salinity areas dominated by SS. This adaptability allows TC to create ecological buffers within mixed-vegetation zones, moderating salinity and enhancing biodiversity by supporting species with varying salinity adaptations.
Over recent decades, infrastructure projects, such as road construction and oil extraction, have significantly altered the hydrological conditions of the YRD, impacting natural salinity gradients and groundwater levels, which impacted native vegetation distribution. Recent ecological engineering efforts, including freshwater introduction, have helped restore these conditions. For instance, an ecological engineering project north of the Yellow River (illustrated in Figure 7) significantly increased freshwater supply, expanding the T&P and T&S zones on the right side. Over the five-year period, the T&P and T&S areas grew from 9.74 to 14.12 km2 and from 8.78 to 10.63 km2, respectively. These measures have improved soil salinity levels and raised groundwater tables, allowing TC to grow in regions that previously exhibited excessive salinity, thereby enhancing the suitable habitat for these species and promoting greater biodiversity within the salt marsh.
The restoration of mixed-vegetation zones has broader implications for the ecological stability of the YRD. By creating salinity gradients that support a range of native species, these zones play a critical role in maintaining the ecosystem’s resilience against coastal erosion and invasive species encroachment. Future ecological engineering could further stabilize these areas, with strategies focused on controlled freshwater inputs and the establishment of habitats. Continuous monitoring of vegetation dynamics is essential to understand the long-term effects of these interventions and to guide future restoration efforts in the YRD and similar ecosystems.
4.2. Identification and Potential Error Sources of Salt Marsh Vegetation
Identifying different species within salt marshes, particularly with mixed-vegetation zones, has been a longstanding challenge that previous studies often overlooked. This study employed features derived from monthly-synthesized Sentinel series images to map YRD salt marsh, capturing detailed distributions, including complex mixed-vegetation areas. The method presents the following advantages: (1) K-means classification enables the effective extraction of water and SA regions, minimizing tidal interference and enhancing the accuracy of salt marsh delineation. (2) UAV sampling provides a more comprehensive representation of the complex vegetation composition in the study area, ensuring safe and efficient sampling practices. (3) The integration of S1 and S2 data facilitates a robust characterization of salt marsh features, as confirmed by multiple studies demonstrating the effectiveness of combining these datasets in classification tasks [28,31]. The Sentinel series offers both high temporal and spatial resolutions, providing detailed data. (4) By considering the seasonal cycle from March to February of the following year, this method leverages the inter-monthly variations in the salt marsh life cycle, facilitating a comprehensive extraction of differences across vegetation types.
In addition, the method does have some limitations. Temporal feature variability poses challenges, especially given the wetland restoration efforts in the YRD since 2019, which have introduced inaccuracies in classification. Additionally, the extensive eradication of SA in 2021 altered the dataset’s temporal characteristics, leading to misclassification with PA. Thus, ensuring stability in feature extraction over time is critical. Moreover, the relatively short operational history of the Sentinel satellites, compared to the Landsat satellites, limits their ability to depict long-term salt marsh distribution trends in salt marsh distribution. Despite these limitations, the method remains effective for annual vegetation classification, capturing critical monthly variations and providing valuable insights into the dynamics of salt marsh ecosystems.
4.3. Advantages of SAR in Salt Marsh Vegetation Classification
The integration of SAR technology significantly enhanced the classification accuracy of salt marsh vegetation, particularly with mixed vegetation types, as illustrated in Table 3. SAR’s cloud-penetrating capability ensures reliable data collection in the YRD, where frequent cloud cover would otherwise hide consistent temporal monitoring.
Another significant advantage of SAR is its sensitivity to variations in soil salinity and moisture, both of which influence vegetation distribution [5]. Differences in vegetation characteristics and soil moisture levels create variations in surface roughness and dielectric properties, leading to distinct backscattering coefficients. These differences enable SAR to distinguish vegetation types based on their morphological traits and soil features [26], adding a valuable layer of detail to the classification.
Figure 9 further analyzes the key SAR features 07_divi and 05_diff extracted in the S1S2 model. The feature 07_divi effectively distinguished mixed-vegetation zones, comprising TC, PA, and SS. Although T&P and PA, and T&S and SS share some similarities, their quartile values differed in the 07_divi feature, allowing for a clearer classification within the mixed-vegetation areas.
Figure 9.
Top S1 features in the S1S2 model (a) 07_divi (b) 05_diff.
Additionally, the feature 05_diff indicated a distinct feature differentiation between SS and NV, which was not easily captured by optical sensors. Sparse distributions of SS often exhibited low spectral contrast in optical reflectance, making them difficult to distinguish. In contrast, SAR’s sensitivity to surface conditions allowed for better differentiation. However, the classification performance improvement of the S1S2 model over S2 alone was limited, with some instances even showing a reduction in UA. The morphology variability of SS, influenced by soil salinity and moisture content [24], appeared to be a key factor influencing classification accuracy. The study hypothesized that SS morphology, shaped by environmental factors, contributes to these classification challenges. As depicted in Figure 10, all three images were captured in August 2022. SS appeared with different characteristics across varying conditions: in Figure 10a, SS was densely distributed and appeared red; in Figure 10b, SS plants were small and sparsely distributed; and in Figure 10c, SS was relatively larger and appears green. While the red color in the optical signals tended to serve as a distinguishing feature from bare ground, the variations in SAR backscatter made enhancement effects less pronounced across these SS morphologies.
Figure 10.
Images of SS in selected areas of the YRD, captured in August 2022 (a) SS appeared relative densely distributed, depicted in red. (b) SS appeared small and sparsely distributed. (c) SS was larger and appeared green.
5. Conclusions
Accurately delineating the composition and distribution of salt marsh vegetation is essential for the sustainable management and preservation of salt marshes. This study developed random forest models to discern and map salt marsh vegetation in the Yellow River Delta (YRD) by integrating monthly variations captured by Sentinel-1 synthetic aperture radar (SAR) data and Sentinel-2 optical satellite data from March to February of the following year. The findings demonstrated the effectiveness of combining Sentinel-1 and Sentinel-2 data, achieving a remarkable classification accuracy for salt marsh vegetation, including mixed-vegetation zones (OA = 90.7%). Compared to optical satellite data alone, the incorporation of SAR data notably enhanced the identification of complex mixed-vegetation areas. Over a five-year period (2018–2022), the distribution of salt marsh vegetation in the YRD remained relatively stable, with the largest total area recorded in 2020 at 265.69 km2. This method enables high-resolution mapping of salt marshes, providing a practical approach for recognizing mixed-vegetation zones. Such detailed mapping of vegetation transitions and zones of coexistence offers insights into ecological dynamics and salinity gradients, supporting effective conservation strategies and ecosystem management.
Author Contributions
Conceptualization, K.C. and Y.Y.; methodology, software, K.C. and J.X.; validation, Q.L. and Y.Y.; investigation, K.C., J.X. and Q.L.; data curation, J.X. and Y.Y.; writing—original draft preparation, Y.Y. and K.C.; writing—review and editing, K.C. and Y.Y.; supervision, Y.Y.; funding acquisition, Y.Y. All authors have read and agreed to the published version of the manuscript.
Funding
This study was funded by the Joint Funds of the National Natural Science Foundation of China, grant number U2243236; National Science Fund for Distinguished Young Scholars, grant number 52025092; and the National Key Research and Development Program of China, grant number 2022YFC3202002.
Data Availability Statement
Data will be made available upon request.
Conflicts of Interest
The authors declare no conflicts of interest.
References
- Mcowen, C.; Weatherdon, L.; Bochove, J.; Sullivan, E.; Blyth, S.; Zockler, C.; Stanwell-Smith, D.; Kingston, N.; Martin, C.; Spalding, M.; et al. A Global Map of Saltmarshes. Biodivers. Data J. 2017, 5, e11764. [Google Scholar] [CrossRef] [PubMed]
- Moeller, I.; Kudella, M.; Rupprecht, F.; Spencer, T.; Paul, M.; van Wesenbeeck, B.K.; Wolters, G.; Jensen, K.; Bouma, T.J.; Miranda-Lange, M.; et al. Wave Attenuation Over Coastal Salt Marshes Under Storm Surge Conditions. Nat. Geosci. 2014, 7, 727–731. [Google Scholar] [CrossRef]
- Crooks, S.; Sutton-Grier, A.E.; Troxler, T.G.; Herold, N.; Bernal, B.; Schile-Beers, L.; Wirth, T. Coastal Wetland Management as a Contribution to the Us National Greenhouse Gas Inventory. Nat. Clim. Chang. 2018, 8, 1109–1112. [Google Scholar] [CrossRef] [PubMed]
- Deegan, L.A.; Johnson, D.S.; Warren, R.S.; Peterson, B.J.; Fleeger, J.W.; Fagherazzi, S.; Wollheim, W.M. Coastal Eutrophication as a Driver of Salt Marsh Loss. Nature 2012, 490, 388–392. [Google Scholar] [CrossRef]
- Xie, H.; Yi, Y.; Hou, C.; Yang, Z. In Situ Experiment on Groundwater Control of the Ecological Zonation of Salt Marsh Macrophytes in an Estuarine Area. J. Hydrol. 2020, 585, 124844. [Google Scholar] [CrossRef]
- Schuerch, M.; Spencer, T.; Temmerman, S.; Kirwan, M.L.; Wolff, C.; Lincke, D.; McOwen, C.J.; Pickering, M.D.; Reef, R.; Vafeidis, A.T.; et al. Future Response of Global Coastal Wetlands to Sea-Level Rise. Nature 2018, 561, 231–234. [Google Scholar] [CrossRef] [PubMed]
- Rapinel, S.; Mony, C.; Lecoq, L.; Clément, B.; Thomas, A.; Hubert-Moy, L. Evaluation of Sentinel-2 Time-Series for Mapping Floodplain Grassland Plant Communities. Remote Sens. Environ. 2019, 223, 115–129. [Google Scholar] [CrossRef]
- Choi, J.; Park, Y.J.; Lee, B.R.; Eom, J.; Moon, J.; Ryu, J. Application of the Geostationary Ocean Color Imager (Goci) to Mapping the Temporal Dynamics of Coastal Water Turbidity. Remote Sens. Environ. 2014, 146, 24–35. [Google Scholar] [CrossRef]
- Sun, C.; Li, J.; Liu, Y.; Liu, Y.; Liu, R. Plant Species Classification in Salt Marshes Using Phenological Parameters Derived from Sentinel-2 Pixel-Differential Time-Series. Remote Sens. Environ. 2021, 256, 112320. [Google Scholar] [CrossRef]
- Mo, Y.; Kearney, M.S.; Riter, J.C.A.; Zhao, F.; Tilley, D.R. Assessing Biomass of Diverse Coastal Marsh Ecosystems Using Statistical and Machine Learning Models. Int. J. Appl. Earth Obs. Geoinf. 2018, 68, 189–201. [Google Scholar] [CrossRef]
- Li, H.; Wang, C.; Cui, Y.; Hodgson, M. Mapping Salt Marsh Along Coastal South Carolina Using U-Net. Isprs-J. Photogramm. Remote Sens. 2021, 179, 121–132. [Google Scholar] [CrossRef]
- Campbell, A.; Wang, Y.; Christiano, M.; Stevens, S. Salt Marsh Monitoring in Jamaica Bay, New York From 2003 to 2013: A Decade of Change from Restoration to Hurricane Sandy. Remote Sens. 2017, 9, 131. [Google Scholar] [CrossRef]
- Zeng, J.; Sun, Y.; Cao, P.; Wang, H. A Phenology-Based Vegetation Index Classification (PVC) Algorithm for Coastal Salt Marshes Using Landsat 8 Images. Int. J. Appl. Earth Obs. Geoinf. 2022, 110, 102776. [Google Scholar] [CrossRef]
- Sun, C.; Li, J.; Liu, Y.; Zhao, S.; Zheng, J.; Zhang, S. Tracking Annual Changes in the Distribution and Composition of Saltmarsh Vegetation on the Jiangsu Coast of China Using Landsat Time Series–Based Phenological Parameters. Remote Sens. Environ. 2023, 284, 113370. [Google Scholar] [CrossRef]
- Lopes, C.L.; Mendes, R.; Caçador, I.; Dias, J.M. Assessing Salt Marsh Extent and Condition Changes with 35 Years of Landsat Imagery: Tagus Estuary Case Study. Remote Sens. Environ. 2020, 247, 111939. [Google Scholar] [CrossRef]
- Jin, H.; Huang, C.; Lang, M.W.; Yeo, I.; Stehman, S.V. Monitoring of Wetland Inundation Dynamics in the Delmarva Peninsula Using Landsat Time-Series Imagery From 1985 to 2011. Remote Sens. Environ. 2017, 190, 26–41. [Google Scholar] [CrossRef]
- Wang, X.; Xiao, X.; Zou, Z.; Hou, L.; Qin, Y.; Dong, J.; Doughty, R.B.; Chen, B.; Zhang, X.; Chen, Y.; et al. Mapping Coastal Wetlands of China Using Time Series Landsat Images in 2018 and Google Earth Engine. Isprs-J. Photogramm. Remote Sens. 2020, 163, 312–326. [Google Scholar] [CrossRef] [PubMed]
- Tian, J.; Wang, L.; Yin, D.; Li, X.; Diao, C.; Gong, H.; Shi, C.; Menenti, M.; Ge, Y.; Nie, S.; et al. Development of Spectral-Phenological Features for Deep Learning to Understand Spartina Alterniflora Invasion. Remote Sens. Environ. 2020, 242, 111745. [Google Scholar] [CrossRef]
- Gong, Z.; Wang, Q.; Guan, H.; Zhou, D.; Zhang, L.; Jing, R.; Wang, X.; Li, Z. Extracting Tidal Creek Features in a Heterogeneous Background Using Sentinel-2 Imagery: A Case Study in the Yellow River Delta, China. Int. J. Remote Sens. 2020, 41, 3653–3676. [Google Scholar] [CrossRef]
- Tian, Y.; Jia, M.; Wang, Z.; Mao, D.; Du, B.; Wang, C. Monitoring Invasion Process of Spartina Alterniflora by Seasonal Sentinel-2 Imagery and an Object-Based Random Forest Classification. Remote Sens. 2020, 12, 1383. [Google Scholar] [CrossRef]
- Bhatnagar, S.; Gill, L.; Regan, S.; Naughton, O.; Johnston, P.; Waldren, S.; Ghosh, B. Mapping Vegetation Communities Inside Wetlands Using Sentinel-2 Imagery in Ireland. Int. J. Appl. Earth Obs. Geoinf. 2020, 88, 102083. [Google Scholar] [CrossRef]
- Jia, M.; Wang, Z.; Mao, D.; Ren, C.; Wang, C.; Wang, Y. Rapid, Robust, and Automated Mapping of Tidal Flats in China Using Time Series Sentinel-2 Images and Google Earth Engine. Remote Sens. Environ. 2021, 255, 112285. [Google Scholar] [CrossRef]
- Abou El-Magd, I.; Zakzouk, M.; Abdulaziz, A.M.; Ali, E.M. The Potentiality of Operational Mapping of Oil Pollution in the Mediterranean Sea Near the Entrance of the Suez Canal Using Sentinel-1 Sar Data. Remote Sens. 2020, 12, 1352. [Google Scholar] [CrossRef]
- Li, M.; Bijker, W. Vegetable Classification in Indonesia Using Dynamic Time Warping of Sentinel-1a Dual Polarization Sar Time Series. Int. J. Appl. Earth Obs. Geoinf. 2019, 78, 268–280. [Google Scholar] [CrossRef]
- Chen, Y.; He, X.; Xu, J.; Zhang, R.; Lu, Y. Scattering Feature Set Optimization and Polarimetric Sar Classification Using Object-Oriented Rf-Sfs Algorithm in Coastal Wetlands. Remote Sens. 2020, 12, 407. [Google Scholar] [CrossRef]
- Hu, Y.; Tian, B.; Yuan, L.; Li, X.; Huang, Y.; Shi, R.; Jiang, X.; Wang, L.; Sun, C. Mapping Coastal Salt Marshes in China Using Time Series of Sentinel-1 SAR. Isprs-J. Photogramm. Remote Sens. 2021, 173, 122–134. [Google Scholar] [CrossRef]
- Liu, Y.; Xiao, X.; Li, J.; Wang, X.; Chen, B.; Sun, C.; Wang, J.; Tian, P.; Zhang, H. Tracking Changes in Coastal Land Cover in the Yellow Sea, East Asia, Using Sentinel-1 and Sentinel-2 Time-Series Images and Google Earth Engine. Isprs-J. Photogramm. Remote Sens. 2023, 196, 429–444. [Google Scholar] [CrossRef]
- Slagter, B.; Tsendbazar, N.; Vollrath, A.; Reiche, J. Mapping Wetland Characteristics Using Temporally Dense Sentinel-1 and Sentinel-2 Data: A Case Study in the St. Lucia Wetlands, South Africa. Int. J. Appl. Earth Obs. Geoinf. 2020, 86, 102009. [Google Scholar] [CrossRef]
- Brombacher, J.; Reiche, J.; Dijksma, R.; Teuling, A.J. Near-Daily Discharge Estimation in High Latitudes from Sentinel-1 and 2: A Case Study for the Icelandic Þjórsá River. Remote Sens. Environ. 2020, 241, 111684. [Google Scholar] [CrossRef]
- Mahdianpari, M.; Salehi, B.; Mohammadimanesh, F.; Homayouni, S.; Gill, E. The First Wetland Inventory Map of Newfoundland at a Spatial Resolution of 10 M Using Sentinel-1 and Sentinel-2 Data on the Google Earth Engine Cloud Computing Platform. Remote Sens. 2019, 11, 43. [Google Scholar] [CrossRef]
- Feng, K.; Mao, D.; Qiu, Z.; Zhao, Y.; Wang, Z. Can Time-Series Sentinel Images be Used to Properly Identify Wetland Plant Communities? Gisci. Remote Sens. 2022, 59, 2202–2216. [Google Scholar] [CrossRef]
- Zhang, C.; Gong, Z.; Qiu, H.; Zhang, Y.; Zhou, D. Mapping Typical Salt-Marsh Species in the Yellow River Delta Wetland Supported by Temporal-Spatial-Spectral Multidimensional Features. Sci. Total Environ. 2021, 783, 147061. [Google Scholar] [CrossRef] [PubMed]
- Cui, B.; Yang, Q.; Yang, Z.; Zhang, K. Evaluating the Ecological Performance of Wetland Restoration in the Yellow River Delta, China. Ecol. Eng. 2009, 35, 1090–1103. [Google Scholar] [CrossRef]
- Ren, G.; Wang, J.; Wang, A.; Wang, J.; Zhu, Y.; Wu, P.; Ma, Y.; Zhang, J. Monitoring the Invasion of Smooth Cordgrass Spartina Alterniflora Within the Modern Yellow River Delta Using Remote Sensing. J. Coast. Res. 2019, 90, 135–145. [Google Scholar] [CrossRef]
- Min, Y.; Cui, L.; Li, J.; Han, Y.; Zhuo, Z.; Yin, X.; Zhou, D.; Ke, Y. Detection of Large-Scale Spartina Alterniflora Removal in Coastal Wetlands Based on Sentinel-2 and Landsat 8 Imagery on Google Earth Engine. Int. J. Appl. Earth Obs. Geoinf. 2023, 125, 103567. [Google Scholar] [CrossRef]
- McNairn, H.; Champagne, C.; Shang, J.; Holmstrom, D.; Reichert, G. Integration of Optical and Synthetic Aperture Radar (SAR) Imagery for Delivering Operational Annual Crop Inventories. Isprs-J. Photogramm. Remote Sens. 2009, 64, 434–449. [Google Scholar] [CrossRef]
- Tucker, C.J. Red and Photographic Infrared Linear Combinations for Monitoring Vegetation. Remote Sens. Environ. 1979, 8, 127–150. [Google Scholar] [CrossRef]
- McFeeters, S.K. The Use of the Normalized Difference Water Index (NDWI) in the Delineation of Open Water Features. Int. J. Remote Sens. 1996, 17, 1425–1432. [Google Scholar] [CrossRef]
- Xiao, X.; Boles, S.; Liu, J.; Zhuang, D.; Liu, M. Characterization of Forest Types in Northeastern China, Using Multi-Temporal Spot-4 Vegetation Sensor Data. Remote Sens. Environ. 2002, 82, 335–348. [Google Scholar] [CrossRef]
- Qi, J.; Chehbouni, A.; Huete, A.R.; Kerr, Y.H.; Sorooshian, S. A Modified Soil Adjusted Vegetation Index. Remote Sens. Environ. 1994, 48, 119–126. [Google Scholar] [CrossRef]
- Huete, A.; Didan, K.; Miura, T.; Rodriguez, E.P.; Gao, X.; Ferreira, L.G. Overview of the Radiometric and Biophysical Performance of the Modis Vegetation Indices. Remote Sens. Environ. 2002, 83, 195–213. [Google Scholar]
- Jiang, Z.; Huete, A.R.; Didan, K.; Miura, T. Development of a Two-Band Enhanced Vegetation Index without a Blue Band. Remote Sens. Environ. 2008, 112, 3833–3845. [Google Scholar]
- Xu, H. Modification of Normalised Difference Water Index (NDWI) to Enhance Open Water Features in Remotely Sensed Imagery. Int. J. Remote Sens. 2007, 27, 3025–3033. [Google Scholar]
- Breiman, L. Random Forests. Mach. Learn. 2001, 45, 5–32. [Google Scholar] [CrossRef]
- Qi, M.; Sun, T.; Xue, S.; Yang, W.; Shao, D.; Martinez-Lopez, J. Competitive Ability, Stress Tolerance and Plant Interactions Along Stress Gradients. Ecology. 2018, 99, 848–857. [Google Scholar] [PubMed]
- Cui, B.; Yang, Q.; Zhang, K.; Zhao, X.; You, Z. Responses of Saltcedar (Tamarix chinensis) to Water Table Depth and Soil Salinity in the Yellow River Delta, China. Plant Ecol. 2010, 209, 279–290. [Google Scholar] [CrossRef]
Disclaimer/Publisher’s Note: The statements, opinions and data contained in all publications are solely those of the individual author(s) and contributor(s) and not of MDPI and/or the editor(s). MDPI and/or the editor(s) disclaim responsibility for any injury to people or property resulting from any ideas, methods, instructions or products referred to in the content. |
© 2024 by the authors. Licensee MDPI, Basel, Switzerland. This article is an open access article distributed under the terms and conditions of the Creative Commons Attribution (CC BY) license (https://creativecommons.org/licenses/by/4.0/).










