Accuracy Assessment and Comparison of National, European and Global Land Use Land Cover Maps at the National Scale—Case Study: Portugal
Abstract
1. Introduction
2. Study Area and Datasets
2.1. Study Area Characterization
2.2. Datasets
2.2.1. Land Cover Map of Europe 2017 (S2GLC)
2.2.2. ESRI 2020 Land Cover (ESRI LC)
2.2.3. Carta de Ocupação do Solo Conjuntural 2018 (COSc)
2.2.4. CLC+ Backbone (CLC+ BB)
2.2.5. ESA WorldCover 2020 (ESA WC)
2.2.6. ELC10 2018
2.2.7. COS 2018
3. Methodology
3.1. Thematic Accuracy Assessment of the Original LULC Maps
3.1.1. Sampling Design
3.1.2. Response Design
3.1.3. Accuracy Indicators
- N is the total number of sample units;
- H is the number of strata;
- h is one of the H strata;
- is the amount of sample units within stratum h;
- u represents a sample unit;
- A is the total area of the map;
- , and are variables that take values either 1 or 0, such that:
- is the population mean based on a census of pixels;
- estimator of ;
- estimator of the ratio ;
- is the average of for the sample units in stratum ;
- is the amount of sample units which were selected from stratum ;
- is the average of for the sample units in stratum ;
- is the average of for the sample units in stratum ;
- is the sample variance of from stratum h;
- is the sample variance of within stratum h;
- is the sample covariance between and for stratum h;
- .
- There is an agreement between the map and the reference data only when the map pixel that contains the reference point is coincident with the primary class of the reference database;
- There is an agreement between the map and the reference data when the map pixel that contains the reference point is coincident with the primary or the secondary class of the reference database.
3.2. Nomenclature Comparison and Harmonization
3.3. Comparison of the Harmonized Maps
4. Results
4.1. Accuracy of the Original Products
4.1.1. Accuracy Values Obtained with the Created Reference Data
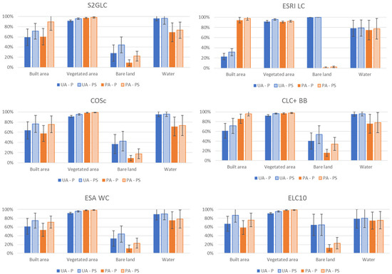
- In most maps and classes, the difference obtained when using only the primary class of the reference database or the primary and secondary class are relatively small (lower than 10%). However, some exceptions to this are observed. The most relevant cases correspond to the user’s accuracy of the classes “Cork-oak and Evergreen-oak” and “Maritime pine” in COSc. These differences are due to the characteristic of landscape where these types of trees exist, illustrated in Figure 5b, where the trees are distant from each other with low vegetation in between. Therefore, most pixels in these areas will be mixed, and the secondary class may in fact raise the chance of agreement between the reference data and the map.
- The map with more inaccurate classes is ESRI LC. The accuracy results per class enable to understand what was observed for the overall accuracy, as there are large commission errors in the class “Built area” and large omission errors in the classes “Bare ground” and “Grass”.
- In all products, the classes with better user’s and producer’s accuracy are the water classes.
- The classes associated with agriculture are better mapped in COSc. The second-best results for this land cover are obtained for CLC+ BB, as the class that includes the agriculture areas, which change between vegetated areas and bare land, in CLC+ BB is the class “Periodically herbaceous”. This class has the user’s accuracy higher than 80%, but the producer’s accuracy lower than 60%, which indicates omission errors. However, due to the land cover characteristics of this product, other classes may also include agriculture areas, which may be mapped to shrublands (e.g., vineyards) or trees (e.g., orchards or olive trees).
- The most problematic classes in S2GLC is the class “Vineyards”, with very large commission errors.
- In some maps there are classes with wider confidence intervals. For example, the class “Wetlands” at ELC10, or the class “Grass” in ESRI LC. These problems may originate from the limitations associated with the sampling design, which resulted in less sample points in these classes.
4.1.2. Comparison with Accuracy Values Reported by Map Producers
4.2. Accuracy of the Harmonized Products
4.3. Comparison of the Harmonized Maps
4.3.1. Visual Comparison
4.3.2. Comparison of the Regions Equally Classified and Class’s Areas
5. Discussion
6. Conclusions
Author Contributions
Funding
Data Availability Statement
Conflicts of Interest
References
- Ren, W.; Tian, H.; Tao, B.; Yang, J.; Pan, S.; Cai, W.-J.; Lohrenz, S.E.; He, R.; Hopkinson, C.S. Large Increase in Dissolved Inorganic Carbon Flux from the Mississippi River to Gulf of Mexico Due to Climatic and Anthropogenic Changes over the 21st Century. J. Geophys. Res. Biogeosciences 2015, 120, 724–736. [Google Scholar] [CrossRef]
- Li, Z.; Liu, S.; Tan, Z.; Sohl, T.L.; Wu, Y. Simulating the Effects of Management Practices on Cropland Soil Organic Carbon Changes in the Temperate Prairies Ecoregion of the United States from 1980 to 2012. Ecol. Model. 2017, 365, 68–79. [Google Scholar] [CrossRef]
- Moiceanu, G.; Dinca, M.N. Climate Change-Greenhouse Gas Emissions Analysis and Forecast in Romania. Sustainability 2021, 13, 12186. [Google Scholar] [CrossRef]
- Stevens, F.R.; Gaughan, A.E.; Linard, C.; Tatem, A.J. Disaggregating Census Data for Population Mapping Using Random Forests with Remotely-Sensed and Ancillary Data. PLoS ONE 2015, 10, e0107042. [Google Scholar] [CrossRef]
- Schneider, A. Monitoring Land Cover Change in Urban and Peri-Urban Areas Using Dense Time Stacks of Landsat Satellite Data and a Data Mining Approach. Remote Sens. Environ. 2012, 124, 689–704. [Google Scholar] [CrossRef]
- European Commission; Directorate-General for Communication. The European Green Deal; European Commission: Brussels, Belgium, 2020; ISBN 978-92-76-17190-4.
- Naeem, S.; Cao, C.; Fatima, K.; Najmuddin, O.; Acharya, B.K. Landscape Greening Policies-Based Land Use/Land Cover Simulation for Beijing and Islamabad—An Implication of Sustainable Urban Ecosystems. Sustainability 2018, 10, 1049. [Google Scholar] [CrossRef]
- Kidane, M.; Bezie, A.; Kesete, N.; Tolessa, T. The Impact of Land Use and Land Cover (LULC) Dynamics on Soil Erosion and Sediment Yield in Ethiopia. Heliyon 2019, 5, e02981. [Google Scholar] [CrossRef] [PubMed]
- Cihlar, J. Land Cover Mapping of Large Areas from Satellites: Status and Research Priorities. Int. J. Remote Sens. 2000, 21, 1093–1114. [Google Scholar] [CrossRef]
- Stehman, S.V.; Pengra, B.W.; Horton, J.A.; Wellington, D.F. Validation of the U.S. Geological Survey’s Land Change Monitoring, Assessment and Projection (LCMAP) Collection 1.0 Annual Land Cover Products 1985–2017. Remote Sens. Environ. 2021, 265, 112646. [Google Scholar] [CrossRef]
- Jun, C.; Ban, Y.; Li, S. Open Access to Earth Land-Cover Map. Nature 2014, 514, 434. [Google Scholar] [CrossRef]
- Gong, P.; Liu, H.; Zhang, M.; Li, C.; Wang, J.; Huang, H.; Clinton, N.; Ji, L.; Li, W.; Bai, Y.; et al. Stable Classification with Limited Sample: Transferring a 30-m Resolution Sample Set Collected in 2015 to Mapping 10-m Resolution Global Land Cover in 2017. Sci. Bull. 2019, 64, 370–373. [Google Scholar] [CrossRef] [PubMed]
- Malinowski, R.; Lewiński, S.; Rybicki, M.; Gromny, E.; Jenerowicz, M.; Krupiński, M.; Nowakowski, A.; Wojtkowski, C.; Krupiński, M.; Krätzschmar, E.; et al. Automated Production of a Land Cover/Use Map of Europe Based on Sentinel-2 Imagery. Remote Sens. 2020, 12, 3523. [Google Scholar] [CrossRef]
- Karra, K.; Kontgis, C.; Statman-Weil, Z.; Mazzariello, J.C.; Mathis, M.; Brumby, S.P. Global Land Use/Land Cover with Sentinel 2 and Deep Learning. In Proceedings of the 2021 IEEE International Geoscience and Remote Sensing Symposium IGARSS, Brussels, Belgium, 11–16 July 2021; pp. 4704–4707. [Google Scholar]
- Venter, Z.S.; Sydenham, M.A.K. Continental-Scale Land Cover Mapping at 10 m Resolution Over Europe (ELC10). Remote Sens. 2021, 13, 2301. [Google Scholar] [CrossRef]
- Zanaga, D.; Van De Kerchove, R.; De Keersmaecker, W.; Souverijns, N.; Brockmann, C.; Quast, R.; Wevers, J.; Grosu, A.; Paccini, A.; Vergnaud, S.; et al. ESA WorldCover 10 m; 2020 V100 2021; EAS: Paris, France, 2020.
- ESA WorldCover. Product Validation Report, v1.1 2021; EAS: Paris, France, 2021.
- Duarte, D.; Fonte, C.; Costa, H.; Caetano, M. Thematic Comparison between ESA WorldCover 2020 Land Cover Product and a National Land Use Land Cover Map. Land 2023, 12, 490. [Google Scholar] [CrossRef]
- Chaaban, F.; El Khattabi, J.; Darwishe, H. Accuracy Assessment of ESA WorldCover 2020 and ESRI 2020 Land Cover Maps for a Region in Syria. J. Geovis. Spat. Anal. 2022, 6, 31. [Google Scholar] [CrossRef]
- Stehman, S.V.; Wickham, J.D.; Smith, J.H.; Yang, L. Thematic Accuracy of the 1992 National Land-Cover Data for the Eastern United States: Statistical Methodology and Regional Results. Remote Sens. Environ. 2003, 86, 500–516. [Google Scholar] [CrossRef]
- Wickham, J.; Stehman, S.V.; Gass, L.; Dewitz, J.A.; Sorenson, D.G.; Granneman, B.J.; Poss, R.V.; Baer, L.A. Thematic Accuracy Assessment of the 2011 National Land Cover Database (NLCD). Remote Sens. Environ. 2017, 191, 328–341. [Google Scholar] [CrossRef]
- Wickham, J.; Stehman, S.V.; Sorenson, D.G.; Gass, L.; Dewitz, J.A. Thematic Accuracy Assessment of the NLCD 2016 Land Cover for the Conterminous United States. Remote Sens. Environ. 2021, 257, 112357. [Google Scholar] [CrossRef]
- Wickham, J.; Stehman, S.V.; Sorenson, D.G.; Gass, L.; Dewitz, J.A. Thematic Accuracy Assessment of the NLCD 2019 Land Cover for the Conterminous United States. GIScience Remote Sens. 2023, 60, 2181143. [Google Scholar] [CrossRef]
- Bie, Q.; Luo, J.; Lu, G. Accuracy Performance of Three 10-m Global Land Cover Products Around 2020 in an Arid Region of Northwestern China. IEEE Access 2023, 11, 133215–133228. [Google Scholar] [CrossRef]
- Zhang, W.; Tian, J.; Zhang, X.; Cheng, J.; Yan, Y. Which Land Cover Product Provides the Most Accurate Land Use Land Cover Map of the Yellow River Basin? Front. Ecol. Evol. 2023, 11, 1275054. [Google Scholar] [CrossRef]
- Venter, Z.S.; Barton, D.N.; Chakraborty, T.; Simensen, T.; Singh, G. Global 10 m Land Use Land Cover Datasets: A Comparison of Dynamic World, World Cover and Esri Land Cover. Remote Sens. 2022, 14, 4101. [Google Scholar] [CrossRef]
- Zheng, K.; He, G.; Yin, R.; Wang, G.; Long, T. A Comparison of Seven Medium Resolution Impervious Surface Products on the Qinghai–Tibet Plateau, China from a User’s Perspective. Remote Sens. 2023, 15, 2366. [Google Scholar] [CrossRef]
- Wang, Z.; Mountrakis, G. Accuracy Assessment of Eleven Medium Resolution Global and Regional Land Cover Land Use Products: A Case Study over the Conterminous United States. Remote Sens. 2023, 15, 3186. [Google Scholar] [CrossRef]
- Stehman, S.V. Sampling Designs for Accuracy Assessment of Land Cover. Int. J. Remote Sens. 2009, 30, 5243–5272. [Google Scholar] [CrossRef]
- Stehman, S.V. Estimating Area and Map Accuracy for Stratified Random Sampling When the Strata Are Different from the Map Classes. Int. J. Remote Sens. 2014, 35, 4923–4939. [Google Scholar] [CrossRef]
- Moreira, F. Overview of Landscape Research and Assessment in Portugal. Belgeo 2004, 2–3, 329–336. [Google Scholar] [CrossRef]
- Home | Global Land Cover—Sentinel 2. Available online: https://s2glc.cbk.waw.pl/ (accessed on 15 April 2024).
- ESRI 2020 Land Cover. Available online: https://www.arcgis.com/home/item.html?id=d6642f8a4f6d4685a24ae2dc0c73d4ac (accessed on 31 March 2023).
- Carta de Ocupação Do Solo Conjuntural—2020. Available online: https://dados.gov.pt/pt/datasets/carta-de-ocupacao-do-solo-conjuntural-2020/ (accessed on 31 March 2023).
- Costa, H.; Benevides, P.; Moreira, F.D.; Moraes, D.; Caetano, M. Spatially Stratified and Multi-Stage Approach for National Land Cover Mapping Based on Sentinel-2 Data and Expert Knowledge. Remote Sens. 2022, 14, 1865. [Google Scholar] [CrossRef]
- CLC+Backbone—Copernicus Land Monitoring Service. Available online: https://land.copernicus.eu/en/products/clc-backbone (accessed on 15 April 2024).
- European Environment Agency. Technical Specifications for Implementation of a New Land-Monitoring Concept Based on EAGLE. D5: Design Concept and CLC+ Backbone, Technical Specifications, CLC+ Core and CLC+ Instances Draft Specifications, Including Requirements Review. Call for Tenders No EEA/DIS/R0/19/012—Annex 7—Version 5.4. 2019. Available online: https://www.google.com/url?sa=j&url=https%3A%2F%2Fetendering.ted.europa.eu%2Fdocument%2Fdocument-file-download.html%3FdocFileId%3D65292&uct=1705109396&usg=OBwu1DShixoRLIYDUdJ6oFwG0ac.&opi=89978449&ved=2ahUKEwit6I6YvtqFAxUZ7bsIHTL7A3wQwtwHKAB6BAgBEAE (accessed on 19 April 2024).
- EAGLE Welcome Page—Copernicus Land Monitoring Service. Available online: https://land.copernicus.eu/eagle/welcome (accessed on 10 September 2021).
- ESA WorldCover 2020. Available online: https://worldcover2020.esa.int/downloader (accessed on 31 March 2023).
- Buchhorn, M.; Lesiv, M.; Tsendbazar, N.-E.; Herold, M.; Bertels, L.; Smets, B. Copernicus Global Land Cover Layers—Collection 2. Remote Sens. 2020, 12, 1044. [Google Scholar] [CrossRef]
- COS 2018. Available online: https://geo2.dgterritorio.gov.pt/cos/COS2018/COS2018v2-gpkg.zip (accessed on 31 March 2023).
- Direção Geral do Território, DGT Especificações Técnicas Da Carta de Uso e Ocupação Do Solo (COS) de Portugal Continental Para 2018; Direção Geral do Território: Lisbon, Portugal, 2019.
- Stehman, S.V.; Foody, G.M. Key Issues in Rigorous Accuracy Assessment of Land Cover Products. Remote Sens. Environ. 2019, 231, 111199. [Google Scholar] [CrossRef]
- Olofsson, P.; Foody, G.M.; Herold, M.; Stehman, S.V.; Woodcock, C.E.; Wulder, M.A. Good Practices for Estimating Area and Assessing Accuracy of Land Change. Remote Sens. Environ. 2014, 148, 42–57. [Google Scholar] [CrossRef]
- Wagner, J.E.; Stehman, S.V. Optimizing Sample Size Allocation to Strata for Estimating Area and Map Accuracy. Remote Sens. Environ. 2015, 168, 126–133. [Google Scholar] [CrossRef]
- Stehman, S.V.; Czaplewski, R.L. Design and Analysis for Thematic Map Accuracy Assessment: Fundamental Principles. Remote Sens. Environ. 1998, 64, 331–344. [Google Scholar] [CrossRef]
- Manning, C.D.; Raghavan, P.; Schutze, H. An Introduction to Information Retrieval; Cambridge University Press: Cambridge, UK, 2009. [Google Scholar]
- Liu, H.; Gong, P.; Wang, J.; Wang, X.; Ning, G.; Xu, B. Production of Global Daily Seamless Data Cubes and Quantification of Global Land Cover Change from 1985 to 2020—IMap World 1.0. Remote Sens. Environ. 2021, 258, 112364. [Google Scholar] [CrossRef]
- García-Álvarez, D.; Lara Hinojosa, J.; Jurado Pérez, F.J.; Quintero Villaraso, J. Global General Land Use Cover Datasets with a Time Series of Maps. In Land Use Cover Datasets and Validation Tools: Validation Practices with QGIS; García-Álvarez, D., Camacho Olmedo, M.T., Paegelow, M., Mas, J.F., Eds.; Springer International Publishing: Cham, Switzerland, 2022; pp. 287–311. ISBN 978-3-030-90998-7. [Google Scholar]
- Foody, G.M. Assessing the Accuracy of Land Cover Change with Imperfect Ground Reference Data. Remote Sens. Environ. 2010, 114, 2271–2285. [Google Scholar] [CrossRef]
- Foody, G.M. Impacts of Ignorance on the Accuracy of Image Classification and Thematic Mapping. Remote Sens. Environ. 2021, 259, 112367. [Google Scholar] [CrossRef]
- Sarmento, P.; Fonte, C.C.; Dinis, J.; Stehman, S.V.; Caetano, M. Assessing the Impacts of Human Uncertainty in the Accuracy Assessment of Land-Cover Maps Using Linguistic Scales and Fuzzy Intervals. Int. J. Remote Sens. 2015, 36, 2524–2547. [Google Scholar] [CrossRef]
- Tsendbazar, N.; Herold, M.; Li, L.; Tarko, A.; de Bruin, S.; Masiliunas, D.; Lesiv, M.; Fritz, S.; Buchhorn, M.; Smets, B.; et al. Towards Operational Validation of Annual Global Land Cover Maps. Remote Sens. Environ. 2021, 266, 112686. [Google Scholar] [CrossRef]
- Fonte, C.C.; See, L.; Laso-Bayas, J.C.; Lesiv, M.; Fritz, S. Assessing the Accuracy of Land Use Land Cover (LULC) Maps Using Class Proportions in The Reference Data. In ISPRS Annals of the Photogrammetry, Remote Sensing and Spatial Information Sciences; Copernicus GmbH: Göttingen, Germany, 2020; Volume V-3–2020, pp. 669–674. [Google Scholar]
- Stehman, S.V. Comparing Thematic Maps Based on Map Value. Int. J. Remote Sens. 1999, 20, 2347–2366. [Google Scholar] [CrossRef]























| COS 2018 Nomenclature Level | Class Name | Area (km2) |
|---|---|---|
| 1 | Artificial surfaces | 4324 |
| 2 | Annual croplands | 14,558 |
| 3 | Vineyards | 1944 |
| 3 | Orchards | 1843 |
| 3 | Olive groves | 4506 |
| 3 | Managed grasslands | 5442 |
| 3 | Spontaneous herbaceous vegetation | 767 |
| 1 | Agroforestry surfaces | 7469 |
| 4 | Holm and cork oak | 7924 |
| 4 | Eucalyptus | 9286 |
| 4 | Other oak trees | 2240 |
| 4 | Other broad-leaved trees | 2480 |
| 4 | Maritime pine | 10,194 |
| 4 | Stone pine | 2009 |
| 4 | Other pine trees | 370 |
| 1 | Shrublands | 11,086 |
| 1 | Surface without vegetation or with sparse vegetation | 869 |
| 1 | Wetlands | 264 |
| 1 | Water | 1385 |
| Class Name (Strata) | Sample Units with Secondary Class (%) |
|---|---|
| Artificial surfaces | 65 |
| Annual croplands | 40 |
| Vineyards | 80 |
| Orchards | 73 |
| Olive groves | 80 |
| Managed grasslands | 18 |
| Spontaneous herbaceous vegetation | 38 |
| Agroforestry surfaces | 50 |
| Holm and cork oak | 57 |
| Eucalyptus | 50 |
| Other oak trees | 58 |
| Other broad-leaved trees | 42 |
| Maritime pine | 62 |
| Stone pine | 37 |
| Other pine trees | 42 |
| Shrublands | 28 |
| Surface without vegetation or with sparse vegetation | 47 |
| Wetlands | 43 |
| Water | 5 |
| HN | ESRI LC | ESA WC | ELC10 | CLC+ BB | S2GLC | COSc |
|---|---|---|---|---|---|---|
| Built area |
|
|
|
|
|
|
| Vegeteted area |
|
|
|
|
|
|
|
|
|
|
|
| |
|
|
|
|
|
| |
| ||||||
|
|
|
|
|
| |
| Bare land |
|
|
|
|
|
|
| Water |
|
|
|
|
|
|
| HN | Min (km2) | Max (km2) | Max min (km2) | Max/Min | EC (km2) | EC/Min (%) | EC/Max (%) |
|---|---|---|---|---|---|---|---|
| Built area | 2293 | 9908 | 7615 | 4.3 | 1020 | 44 | 10 |
| Vegetated area | 77,581 | 84,646 | 7065 | 1.1 | 71,596 | 92 | 85 |
| Bare land | 262 | 2361 | 2099 | 9.0 | 41 | 16 | 2 |
| Water | 1103 | 1407 | 304 | 1.3 | 929 | 84 | 66 |
Disclaimer/Publisher’s Note: The statements, opinions and data contained in all publications are solely those of the individual author(s) and contributor(s) and not of MDPI and/or the editor(s). MDPI and/or the editor(s) disclaim responsibility for any injury to people or property resulting from any ideas, methods, instructions or products referred to in the content. |
© 2024 by the authors. Licensee MDPI, Basel, Switzerland. This article is an open access article distributed under the terms and conditions of the Creative Commons Attribution (CC BY) license (https://creativecommons.org/licenses/by/4.0/).
Share and Cite
Fonte, C.C.; Duarte, D.; Jesus, I.; Costa, H.; Benevides, P.; Moreira, F.; Caetano, M. Accuracy Assessment and Comparison of National, European and Global Land Use Land Cover Maps at the National Scale—Case Study: Portugal. Remote Sens. 2024, 16, 1504. https://doi.org/10.3390/rs16091504
Fonte CC, Duarte D, Jesus I, Costa H, Benevides P, Moreira F, Caetano M. Accuracy Assessment and Comparison of National, European and Global Land Use Land Cover Maps at the National Scale—Case Study: Portugal. Remote Sensing. 2024; 16(9):1504. https://doi.org/10.3390/rs16091504
Chicago/Turabian StyleFonte, Cidália C., Diogo Duarte, Ismael Jesus, Hugo Costa, Pedro Benevides, Francisco Moreira, and Mário Caetano. 2024. "Accuracy Assessment and Comparison of National, European and Global Land Use Land Cover Maps at the National Scale—Case Study: Portugal" Remote Sensing 16, no. 9: 1504. https://doi.org/10.3390/rs16091504
APA StyleFonte, C. C., Duarte, D., Jesus, I., Costa, H., Benevides, P., Moreira, F., & Caetano, M. (2024). Accuracy Assessment and Comparison of National, European and Global Land Use Land Cover Maps at the National Scale—Case Study: Portugal. Remote Sensing, 16(9), 1504. https://doi.org/10.3390/rs16091504

