Retrieval of Total Suspended Matter Concentration Based on the Iterative Analysis of Multiple Equations: A Case Study of a Lake Taihu Image from the First Sustainable Development Goals Science Satellite’s Multispectral Imager for Inshore
Abstract
1. Introduction
2. Materials and Methods
2.1. Study Area
2.2. Field Measurement Data
2.3. Satellite Remote Sensing Data
2.4. Hydrolight Radiation Transfer Simulation
2.4.1. Model Method and Parameter Setting
- Absorption model
- Backscattering model
- External environmental condition
- The range of the simulated spectrum
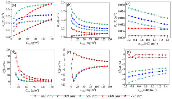
2.4.2. Influence of Single-Component Concentration Change on Reflectance
2.5. Sensor Channel Convolution and Multi-Band Combination Enhancement
2.5.1. Sensor Channel Convolution
2.5.2. Multi-Band Combination Enhancement
2.6. Correlation Analysis
2.7. Iterative Inversion Method of Ctsm
2.7.1. Iterative Inversion Method Based on Multiple Linear Regression Analysis
2.7.2. Evaluation Indicators
3. Results
3.1. Validation of Remote Sensing Reflectance Simulations
3.2. Analysis of Influence Characteristics of Remote Sensing Reflectance
3.3. Correlation between Remote Sensing Reflectance and Concentration of Three Components
3.4. Multivariate Iterative Inversion Model Construction and Evaluation
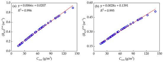
3.4.1. Multivariate Iterative Inversion Model Construction
- Reflectance simulation of single-component contribution
- Multiple linear regression analysis
- Construction of the iterative inversion model
3.4.2. Analysis of the Initial Value Setting of Ctsm(0)
3.4.3. Valuation of Ctsm Estimation Methods for SDGSAT-1 MII Image
4. Discussion
4.1. Comparison between Different Characteristic Band Combinations
4.2. Comparison with Other Inversion Models
4.3. Temporal and Spatial Distribution Characteristics of Ctsm in Lake Taihu
5. Conclusions
Author Contributions
Funding
Data Availability Statement
Conflicts of Interest
Appendix A


References
- Sun, M.; Zhang, L.; Yang, R.; Li, X.; Zhao, J.; Liu, Q. Water resource dynamics and protection strategies for inland lakes: A case study of Hongjiannao Lake. J. Environ. Manag. 2024, 355, 120462. [Google Scholar] [CrossRef]
- He, Y.; Lu, Z.; Wang, W.; Zhang, D.; Zhang, Y.; Qin, B.; Shi, K.; Yang, X. Water clarity mapping of global lakes using a novel hybrid deep-learning-based recurrent model with Landsat OLI images. Water Res. 2022, 215, 118241. [Google Scholar] [CrossRef] [PubMed]
- Soomets, T.; Uudeberg, K.; Jakovels, D.; Brauns, A.; Zagars, M.; Kutser, T. Validation and comparison of water quality products in baltic lakes using sentinel-2 msi and sentinel-3 OLCI data. Sensors 2020, 20, 742. [Google Scholar] [CrossRef]
- Zhai, M.; Zhou, X.; Tao, Z.; Lv, T.; Zhang, H.; Li, R.; Huang, Y. Retrieve of total suspended matter in typical lakes in China based on broad bandwidth satellite data: Random forest model with Forel-Ule Index. Front. Environ. Sci. 2023, 11, 1132346. [Google Scholar] [CrossRef]
- Li, N.; Zhang, Y.; Shi, K.; Zhang, Y.; Sun, X.; Wang, W.; Huang, X. Monitoring water transparency, total suspended matter and the beam attenuation coefficient in inland water using innovative ground-based proximal sensing technology. J. Environ. Manag. 2022, 306, 114477. [Google Scholar] [CrossRef] [PubMed]
- Tian, L.; Wai, O.W.; Chen, X.; Li, W.; Li, J.; Li, W.; Zhang, H. Retrieval of total suspended matter concentration from Gaofen-1 Wide Field Imager (WFI) multispectral imagery with the assistance of Terra MODIS in turbid water–case in Deep Bay. Int. J. Remote Sens. 2016, 37, 3400–3413. [Google Scholar] [CrossRef]
- Xiong, Y.; Ran, Y.; Zhao, S.; Zhao, H.; Tian, Q. Remotely assessing and monitoring coastal and inland water quality in China: Progress, challenges and outlook. Crit. Rev. Environ. Sci. Technol. 2020, 50, 1266–1302. [Google Scholar] [CrossRef]
- Ge, K.; Liu, J.; Wang, F.; Chen, B.; Hu, Y. A Cloud Detection Method Based on Spectral and Gradient Features for SDGSAT-1 Multispectral Images. Remote Sens. 2022, 15, 24. [Google Scholar] [CrossRef]
- Shen, M.; Luo, J.; Cao, Z.; Xue, K.; Qi, T.; Ma, J.; Liu, D.; Song, K.; Feng, L.; Duan, H. Random forest: An optimal chlorophyll-a algorithm for optically complex inland water suffering atmospheric correction uncertainties. J. Hydrol. 2022, 615, 128685. [Google Scholar] [CrossRef]
- Silveira Kupssinskü, L.; Thomassim Guimarães, T.; Menezes de Souza, E.; Zanotta, D.C.; Roberto Veronez, M.; Gonzaga, L., Jr.; Mauad, F.F. A method for chlorophyll-a and suspended solids prediction through remote sensing and machine learning. Sensors 2020, 20, 2125. [Google Scholar] [CrossRef]
- Liu, J.; Liu, J.; He, X.; Pan, D.; Bai, Y.; Zhu, F.; Chen, T.; Wang, Y. Diurnal dynamics and seasonal variations of total suspended particulate matter in highly turbid hangzhou bay waters based on the geostationary ocean color imager. IEEE J. Sel. Top. Appl. Earth Observ. Remote Sens. 2018, 11, 2170–2180. [Google Scholar] [CrossRef]
- Wen, Z.; Wang, Q.; Liu, G.; Jacinthe, P.-A.; Wang, X.; Lyu, L.; Tao, H.; Ma, Y.; Duan, H.; Shang, Y. Remote sensing of total suspended matter concentration in lakes across China using Landsat images and Google Earth Engine. ISPRS-J. Photogramm. Remote Sens. 2022, 187, 61–78. [Google Scholar] [CrossRef]
- Tang, Y.; Pan, Y.; Zhang, L.; Yi, H.; Gu, Y.; Sun, W. Efficient Monitoring of Total Suspended Matter in Urban Water Based on UAV Multi-spectral Images. Water Resour. Manag. 2023, 37, 2143–2160. [Google Scholar] [CrossRef]
- Wang, C.; Wang, D.; Yang, J.; Fu, S.; Li, D. Suspended Sediment within Estuaries and along Coasts: A Review of Spatial and Temporal Variations based on Remote Sensing. J. Coast. Res. 2020, 36, 1323–1331. [Google Scholar] [CrossRef]
- Xu, J.; Zhang, B.; Song, K.; Wang, Z.; Duan, H.; Chen, M.; Yang, F.; Li, F. Bio-Optical model of total suspended matter based on reflectance in the near infrared wave band for Case-II waters. Spectrosc. Spectr. Anal. 2008, 28, 2273–2277. [Google Scholar]
- Werdell, P.J.; McKinna, L.I.; Boss, E.; Ackleson, S.G.; Craig, S.E.; Gregg, W.W.; Lee, Z.; Maritorena, S.; Roesler, C.S.; Rousseaux, C.S. An overview of approaches and challenges for retrieving marine inherent optical properties from ocean color remote sensing. Prog. Oceanogr. 2018, 160, 186–212. [Google Scholar] [CrossRef]
- Chen, S.; Han, L.; Chen, X.; Li, D.; Sun, L.; Li, Y. Estimating wide range Total Suspended Solids concentrations from MODIS 250-m imageries: An improved method. ISPRS-J. Photogramm. Remote Sens. 2015, 99, 58–69. [Google Scholar] [CrossRef]
- Hou, X.; Feng, L.; Duan, H.; Chen, X.; Sun, D.; Shi, K. Fifteen-year monitoring of the turbidity dynamics in large lakes and reservoirs in the middle and lower basin of the Yangtze River, China. Remote Sens. Environ. 2017, 190, 107–121. [Google Scholar] [CrossRef]
- Li, W.; Yang, Q.; Ma, Y.; Yang, Y.; Song, K.; Zhang, J.; Wen, Z.; Liu, G. Remote Sensing Estimation of Long-Term Total Suspended Matter Concentration from Landsat across Lake Qinghai. Water 2022, 14, 2498. [Google Scholar] [CrossRef]
- Wang, C.; Chen, S.; Li, D.; Wang, D.; Liu, W.; Yang, J. A Landsat-based model for retrieving total suspended solids concentration of estuaries and coasts in China. Geosci. Model Dev. 2017, 10, 4347–4365. [Google Scholar] [CrossRef]
- Adhikari, A.; Menon, H.B. A Bio-optical Numerical Approach for Remote Retrieval of Total Suspended Matter from Turbid Waters. J. Indian Soc. Remote Sens. 2022, 50, 1773–1786. [Google Scholar] [CrossRef]
- Pahlevan, N.; Sarkar, S.; Franz, B.; Balasubramanian, S.V.; He, J. Sentinel-2 MultiSpectral Instrument (MSI) data processing for aquatic science applications: Demonstrations and validations. Remote Sens. Environ. 2017, 201, 47–56. [Google Scholar] [CrossRef]
- Jiang, D.; Matsushita, B.; Pahlevan, N.; Gurlin, D.; Lehmann, M.K.; Fichot, C.G.; Schalles, J.; Loisel, H.; Binding, C.; Zhang, Y. Remotely estimating total suspended solids concentration in clear to extremely turbid waters using a novel semi-analytical method. Remote Sens. Environ. 2021, 258, 112386. [Google Scholar] [CrossRef]
- Liu, Z.; Chen, J.; Cui, T.; Tang, J.; Wang, L. A combined semi-analytical algorithm for retrieving total suspended sediment concentration from multiple missions: A case study of the China Eastern Coastal Zone. Int. J. Remote Sens. 2021, 42, 8004–8033. [Google Scholar] [CrossRef]
- Kang, L.; Zhu, G.; Zhu, M.; Xu, H.; Zou, W.; Xiao, M.; Zhang, Y.; Qin, B. Bloom-induced internal release controlling phosphorus dynamics in large shallow eutrophic Lake Taihu, China. Environ. Res. 2023, 231, 116251. [Google Scholar] [CrossRef] [PubMed]
- Yang, W.; Matsushita, B.; Chen, J.; Fukushima, T. A relaxed matrix inversion method for retrieving water constituent concentrations in case II waters: The case of Lake Kasumigaura, Japan. IEEE Trans. Geosci. Remote Sens. 2011, 49, 3381–3392. [Google Scholar] [CrossRef]
- Liu, C.-C.; Miller, R.L. Spectrum matching method for estimating the chlorophyll-a concentration, CDOM ratio, and backscatter fraction from remote sensing of ocean color. Can. J. Remote Sens. 2008, 34, 343–355. [Google Scholar] [CrossRef]
- Zhang, Y.; Ma, R.; Duan, H.; Loiselle, S.; Xu, J. A spectral decomposition algorithm for estimating chlorophyll-a concentrations in Lake Taihu, China. Remote Sens. 2014, 6, 5090–5106. [Google Scholar] [CrossRef]
- Qin, B.; Deng, J.; Shi, K.; Wang, J.; Brookes, J.; Zhou, J.; Zhang, Y.; Zhu, G.; Paerl, H.W.; Wu, L. Extreme climate anomalies enhancing cyanobacterial blooms in eutrophic Lake Taihu, China. Water Resour. Res. 2021, 57, e2020WR029371. [Google Scholar] [CrossRef]
- Ma, R.; Duan, H.; Liu, Q.; Loiselle, S.A. Approximate bottom contribution to remote sensing reflectance in Taihu Lake, China. J. Gt. Lakes Res. 2011, 37, 18–25. [Google Scholar] [CrossRef]
- Clementson, L.A.; Parslow, J.S.; Turnbull, A.R.; McKenzie, D.C.; Rathbone, C.E. Optical properties of waters in the Australasian sector of the Southern Ocean. J. Geophys. Res. Oceans 2001, 106, 31611–31625. [Google Scholar] [CrossRef]
- Stramska, M.; Stramski, D.; Mitchell, B.G.; Mobley, C.D. Estimation of the absorption and backscattering coefficients from inߚwater radiometric measurements. Limnol. Oceanogr. 2000, 45, 628–641. [Google Scholar] [CrossRef]
- Kim, J.; Jang, W.; Kim, J.H.; Lee, J.; Cho, K.H.; Lee, Y.-G.; Chon, K.; Park, S.; Pyo, J.; Park, Y. Application of airborne hyperspectral imagery to retrieve spatiotemporal CDOM distribution using machine learning in a reservoir. Int. J. Appl. Earth Obs. Geoinf. 2022, 114, 103053. [Google Scholar] [CrossRef]
- Zhang, F.; Li, J.; Wang, C.; Wang, S.; Wang, Z.; Zhang, B. Multitype inland water atmospheric correction and water quality estimation based on HY-1C CZI images. Natl. Remote Sens. Bull. 2023, 27, 79–91. [Google Scholar] [CrossRef]
- Tang, J.-W.; Tian, G.-L.; Wang, X.-Y.; Wang, X.-M.; Song, Q.-J. The methods of water spectra measurement and analysis I: Above-Water method. J. Remote Sens. 2021, 1, 37–44. [Google Scholar]
- Pancorbo, J.; Lamb, B.T.; Quemada, M.; Hively, W.D.; Gonzalez-Fernandez, I.; Molina, I. Sentinel-2 and WorldView-3 atmospheric correction and signal normalization based on ground-truth spectroradiometric measurements. ISPRS-J. Photogramm. Remote Sens. 2021, 173, 166–180. [Google Scholar] [CrossRef]
- Wang, R.; Shen, Q.; Peng, H.; Yao, Y.; Li, J.; Wang, M.; Shi, J.; Xu, W. Study on the applicability of multi-source high-resolution satellite images for monitoring black and odorous water body. Natl. Remote Sens. Bull. 2022, 26, 179–192. [Google Scholar] [CrossRef]
- Zhao, Z.; Yang, J.; Wang, M.; Chen, J.; Sun, C.; Song, N.; Wang, J.; Feng, S. The PCA-NDWI Urban Water Extraction Model Based on Hyperspectral Remote Sensing. Water 2024, 16, 963. [Google Scholar] [CrossRef]
- Werdell, P.J.; Franz, B.A.; Bailey, S.W.; Feldman, G.C.; Boss, E.; Brando, V.E.; Dowell, M.; Hirata, T.; Lavender, S.J.; Lee, Z. Generalized ocean color inversion model for retrieving marine inherent optical properties. Appl. Optics. 2013, 52, 2019–2037. [Google Scholar] [CrossRef]
- Pope, R.M.; Fry, E.S. Absorption spectrum (380–700 nm) of pure water. II. Integrating cavity measurements. Appl. Opt. 1997, 36, 8710–8723. [Google Scholar] [CrossRef]
- Mohd-Shazali, S.M.; Madihah, J.-S.; Ali, N.; Cheng-Ann, C.; Brewin, R.J.; Idris, M.S.; Noir, P.P. Dynamics of absorption properties of CDOM and its composition in Likas estuary, North Borneo, Malaysia. Oceanologia 2022, 64, 583–594. [Google Scholar] [CrossRef]
- Smith, R.C.; Baker, K.S. Optical properties of the clearest natural waters (200–800 nm). Appl. Opt. 1981, 20, 177–184. [Google Scholar] [CrossRef] [PubMed]
- Li, Y.; Wang, Q.; Huang, J.; Lyu, H.; Wei, Y. Optical Characteristics and Remote Sensing of Water Color in Lake Taihu; Science Press: Beijing, China, 2010; pp. 129–137. [Google Scholar]
- Miller, J.D.; Thode, A.E. Quantifying burn severity in a heterogeneous landscape with a relative version of the delta Normalized Burn Ratio (dNBR). Remote Sens. Environ. 2007, 109, 66–80. [Google Scholar] [CrossRef]
- Su, H.; Lu, X.; Chen, Z.; Zhang, H.; Lu, W.; Wu, W. Estimating coastal chlorophyll-a concentration from time-series OLCI data based on machine learning. Remote Sens. 2021, 13, 576. [Google Scholar] [CrossRef]
- Wang, J.-H.; Li, C.; Xu, Y.-P.; Li, S.-Y.; Du, J.-S.; Han, Y.-P.; Hu, H.-Y. Identifying major contributors to algal blooms in Lake Dianchi by analyzing river-lake water quality correlations in the watershed. J. Clean. Prod. 2021, 315, 128144. [Google Scholar] [CrossRef]
- Shi, K.; Zhang, Y.; Zhu, G.; Liu, X.; Zhou, Y.; Xu, H.; Qin, B.; Liu, G.; Li, Y. Long-term remote monitoring of total suspended matter concentration in Lake Taihu using 250 m MODIS-Aqua data. Remote Sens. 2015, 164, 43–56. [Google Scholar]
- Li, J.; Chen, X.; Tian, L.; Huang, J.; Feng, L. Improved capabilities of the Chinese high-resolution remote sensing satellite GF-1 for monitoring suspended particulate matter (SPM) in inland waters: Radiometric and spatial considerations. ISPRS-J. Photogramm. Remote Sens. 2015, 106, 145–156. [Google Scholar] [CrossRef]






















| Band | Center Wavelength (μm) | Gain | |
|---|---|---|---|
| By December 2022 | After December 2022 | ||
| B1 | 0.406 | 0.051560133 | 0.052084676 |
| B2 | 0.448 | 0.036241353 | 0.038928845 |
| B3 | 0.509 | 0.023316835 | 0.025864978 |
| B4 | 0.569 | 0.015849666 | 0.017501881 |
| B5 | 0.668 | 0.016096381 | 0.016499392 |
| B6 | 0.773 | 0.019719039 | 0.021554446 |
| B7 | 0.848 | 0.013811458 | 0.015360482 |
| Variable | Initial Concentration | Concentration Change Settings |
|---|---|---|
| (g/m3) | 10 | 20, 30, 40, 50, 60, 70, 80, 90, 100, 110, 120, 130, 140, 150 |
| (mg/m3) | 0.2 | 1, 5, 10, 20, 30, 40, 50, 60, 70, 80, 90, 100, 110, 120, 130, 140 |
| (m−1) | 0.2 | 0.3, 0.4, 0.5, 0.6, 0.7, 0.8, 0.9, 1.0, 1.1, 1.2, 1.3, 1.4 |
| R2 | RMSE (1/sr) | |
|---|---|---|
| 0.826 | 0.0025 | |
| 0.837 | 0.0031 | |
| 0.824 | 0.0032 | |
| 0.862 | 0.0038 | |
| 0.906 | 0.0029 |
| Clarification | Model Application Scenarios | |
|---|---|---|
| One-Dimensional Reflectance Values | SDGSAT-1 MII Images | |
| a set of one-dimensional values | a remote sensing reflectance image | |
| calculation method | iterative on a value-by-value basis | iterative image-by-image pixel |
| Characteristic Band Combinations | The Modeled Data | The SDGSAT-1 MII Image | ||||
|---|---|---|---|---|---|---|
| R2 | RMSE (g/m3) | MAPE (%) | R2 | RMSE (g/m3) | MAPE (%) | |
| 0.91 | 8.05 | 16.93 | 0.82 | 8.48 | 31.06 | |
| 0.97 | 4.89 | 11.48 | 0.87 | 3.92 | 8.13 | |
| 0.95 | 6.03 | 14.05 | 0.84 | 8.67 | 30.47 | |
| 0.96 | 5.49 | 12.58 | 0.86 | 6.63 | 23.06 | |
| Model Name | Typology | Formulas | Evaluation Indicators |
|---|---|---|---|
| Shi_2015 [47] | original model | Ctsm = 9.65 | R2 = 0.70; RMSE = 14.3; MAPE = 23 |
| adapted model | Ctsm = 8.98 | R2 = 0.66; RMSE = 16.96; MAPE = 27.01 | |
| Li_2015 [48] | original model | Ctsm = −20.7 + 2.8 | R2 = 0.95; RMSE = 14.7 |
| adapted model | Ctsm = 12.05 | R2 = 0.64; RMSE = 17.59; MAPE = 29.45 | |
| Hou_2017 [18] | original model | Ctsm = 132.83 − 52.618 | R2 = 0.88; RMSE = 34.2; MRE = 33.79 |
| adapted model | Ctsm = 1.21 | R2 = 0.82; RMSE = 12.44; MAPE = 16.97 |
Disclaimer/Publisher’s Note: The statements, opinions and data contained in all publications are solely those of the individual author(s) and contributor(s) and not of MDPI and/or the editor(s). MDPI and/or the editor(s) disclaim responsibility for any injury to people or property resulting from any ideas, methods, instructions or products referred to in the content. |
© 2024 by the authors. Licensee MDPI, Basel, Switzerland. This article is an open access article distributed under the terms and conditions of the Creative Commons Attribution (CC BY) license (https://creativecommons.org/licenses/by/4.0/).
Share and Cite
Hu, X.; Li, J.; Sun, Y.; Bao, Y.; Sun, Y.; Chen, X.; Yan, Y. Retrieval of Total Suspended Matter Concentration Based on the Iterative Analysis of Multiple Equations: A Case Study of a Lake Taihu Image from the First Sustainable Development Goals Science Satellite’s Multispectral Imager for Inshore. Remote Sens. 2024, 16, 1385. https://doi.org/10.3390/rs16081385
Hu X, Li J, Sun Y, Bao Y, Sun Y, Chen X, Yan Y. Retrieval of Total Suspended Matter Concentration Based on the Iterative Analysis of Multiple Equations: A Case Study of a Lake Taihu Image from the First Sustainable Development Goals Science Satellite’s Multispectral Imager for Inshore. Remote Sensing. 2024; 16(8):1385. https://doi.org/10.3390/rs16081385
Chicago/Turabian StyleHu, Xueke, Jiaguo Li, Yuan Sun, Yunfei Bao, Yonghua Sun, Xingfeng Chen, and Yueguan Yan. 2024. "Retrieval of Total Suspended Matter Concentration Based on the Iterative Analysis of Multiple Equations: A Case Study of a Lake Taihu Image from the First Sustainable Development Goals Science Satellite’s Multispectral Imager for Inshore" Remote Sensing 16, no. 8: 1385. https://doi.org/10.3390/rs16081385
APA StyleHu, X., Li, J., Sun, Y., Bao, Y., Sun, Y., Chen, X., & Yan, Y. (2024). Retrieval of Total Suspended Matter Concentration Based on the Iterative Analysis of Multiple Equations: A Case Study of a Lake Taihu Image from the First Sustainable Development Goals Science Satellite’s Multispectral Imager for Inshore. Remote Sensing, 16(8), 1385. https://doi.org/10.3390/rs16081385

