Seasonal Variation in Vertical Structure for Stratiform Rain at Mêdog Site in Southeastern Tibetan Plateau
Abstract
1. Introduction
2. Data and Methods
2.1. Site and Instruments
2.2. Rain Parameter Calculation
2.3. Stratiform Rain Identification
3. Results
3.1. Vertical Profiles of Rain Parameters
3.1.1. Vertical Profile of the Radar Reflectivity
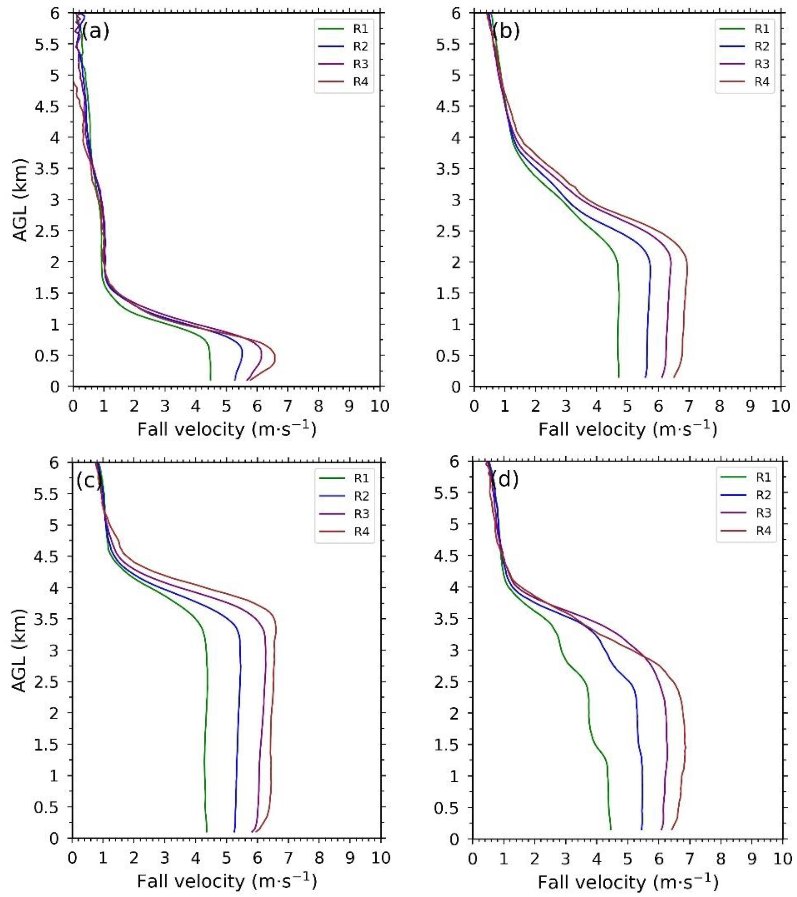
3.1.2. Vertical Profile of the Fall Velocity
3.1.3. Vertical Profile of the Rain Rate and Liquid Water Content
3.2. The Seasonal Variation in Drop Size Distribution
3.3. The Relative Contributions of Raindrops to the Total Number Concentration Nt and Precipitation Intensity R in Four Seasons
4. Discussion
5. Conclusions
- (1)
- There is a significant seasonal variation in the melting layer height in Mêdog. The average BB bottom height is the lowest in February, reaches a peak of 4.2 km in August, and then gradually decreases again. In the winter and monsoon seasons, the seasonal variation in the BB bottom height is relatively small. However, in the premonsoon and postmonsoon seasons, BB bottom height changes are more pronounced, possibly because of significant monthly temperature fluctuations during these periods.
- (2)
- For the R1 category (0.1 ≤ R < 1 mm h−1), the concentrations of small drops remains uniform in winter below the melting layer. The concentrations of medium-sized drops show slight increases, indicating the coalescence of raindrops, leading to the increases in the microphysical profiles with decreasing height. Slight or evident decreases in concentrations of small drops are observed in the premonsoon, monsoon, and postmonsoon seasons, likely due to significant evaporation. The radar reflectivity, rain rate, and liquid water content profiles decrease with decreasing height according to the variations in the drop size distribution (DSD). As the rain rate increases, the spectral width increases significantly, with the maximum raindrop diameter exceeding 3.5 mm. For the R4 category (5 ≤ R < 10 mm h−1), the DSD displays significant variations in winter. The concentrations of large drops increase at 400–800 m but decrease rapidly below 400 m, leading to a significant positive gradient in the fall velocity profiles. In the premonsoon, monsoon, and postmonsoon seasons, the concentrations of large drops significantly decrease below the melting layer because of the breakup mechanism, leading to the decreases in the fall velocity profiles with decreasing height during these seasons. However, the radar reflectivity, rainfall rate, and LWC profiles exhibit increases with decreasing height, likely due to the attenuation of the MRR at high rain rates.
- (3)
- The raindrops are divided into five diameter categories. The concentrations of D1 raindrops to Nt are the greatest in winter, and raindrops larger than 1 mm contribute minimally to Nt, while the contributions to R reach approximately 25%. The contributions of D1 raindrops to Nt decrease during the premonsoon and monsoon seasons compared to those in winter but still dominate. The contributions of raindrops larger than 1 mm to R are greater than those of small drops in these two seasons, indicating that the rain rate in these two seasons is more controlled by medium and large raindrops. In the postmonsoon season, the contributions of raindrops to Nt are greater than those in the premonsoon and monsoon seasons but less than those in winter. The contributions to R gradually decrease with decreasing height below 500 m and are ultimately equal to the contributions of D2 category raindrops. The contributions of small raindrops to Nt and R increase gradually below a height of 500 m in all seasons. However, the large drops exhibit a positive gradient with decreasing height, indicating the significant breakup mechanism.
Author Contributions
Funding
Data Availability Statement
Acknowledgments
Conflicts of Interest
References
- Milbrandt, J.A.; Yau, M.K. A Multimoment Bulk Microphysics Parameterization. Part I: Analysis of the Role of the Spectral Shape Parameter. J. Atmos. Sci. 2005, 62, 3051–3064. [Google Scholar] [CrossRef]
- Zhang, G.; Sun, J.; Brandes, E.A. Improving Parameterization of Rain Microphysics with Disdrometer and Radar Observations. J. Atmos. Sci. 2006, 63, 1273–1290. [Google Scholar] [CrossRef]
- Wen, L.; Zhao, K.; Wang, M.; Zhang, G. Seasonal Variations of Observed Raindrop Size Distribution in East China. Adv. Atmos. Sci. 2019, 36, 346–362. [Google Scholar] [CrossRef]
- Zeng, Q.; Zhang, Y.; Lei, H.; Xie, Y.; Gao, T.; Zhang, L.; Wang, C.; Huang, Y. Microphysical Characteristics of Precipitation during Pre-monsoon, Monsoon, and Post-monsoon Periods over the South China Sea. Adv. Atmos. Sci. 2019, 36, 1103–1120. [Google Scholar] [CrossRef]
- Kozu, T.; Reddy, K.K.; Mori, S.; Thurai, M.; Ong, J.T.; Rao, D.N.; Shimomai, T. Seasonal and Diurnal Variations of Raindrop Size Distribution in Asian Monsoon Region. J. Meteorol. Soc. Jpn. Ser. II 2006, 84A, 195–209. [Google Scholar] [CrossRef]
- Feng, Q.; Lei, P.; Ding, J.; Shen, D.; Jin, L. Observation and analysis of microphysical characteristics of stratiform cloud precipitation in Shanxi Province. Trans. Atmos. Sci. 2012, 36, 537–545. [Google Scholar] [CrossRef]
- Peters, G.; Fischer, B.; Andersson, T. Rain observations with a vertically looking Micro Rain Radar (MRR). Boreal Environ. Res. 2002, 7, 353–362. [Google Scholar]
- Das, S.; Maitra, A. Vertical profile of rain: Ka band radar observations at tropical locations. J. Hydrol. 2016, 534, 31–41. [Google Scholar] [CrossRef]
- Ramadhan, R.; Marzuki; Vonnisa, M.; Harmadi; Hashiguchi, H.; Shimomai, T. Diurnal Variation in the Vertical Profile of the Raindrop Size Distribution for Stratiform Rain as Inferred from Micro Rain Radar Observations in Sumatra. Adv. Atmos. Sci. 2020, 37, 832–846. [Google Scholar] [CrossRef]
- Duan, A.; Wu, G.; Liang, X. Influence of the Tibetan Plateau on the summer climate patterns over Asia in the IAP/LASG SAMIL model. Adv. Atmos. Sci. 2008, 25, 518–528. [Google Scholar] [CrossRef]
- Gao, Y.; Zhou, X.; Wang, Q.; Wang, C.; Zhan, Z.; Chen, L.; Yan, J.; Qu, R. Vegetation net primary productivity and its response to climate change during 2001–2008 in the Tibetan Plateau. Sci. Total Environ. 2013, 444, 356–362. [Google Scholar] [CrossRef] [PubMed]
- Fujinami, H.; Yasunari, T. The Seasonal and Intraseasonal Variability of Diurnal Cloud Activity over the Tibetan Plateau. J. Meteorol. Soc. Jpn. Ser. II 2001, 79, 1207–1227. [Google Scholar] [CrossRef]
- Gao, B.C.; Yang, P.; Guo, G.; Park, S.K.; Wiscombe, W.J.; Chen, B. Measurements of water vapor and high clouds over the Tibetan plateau with the terra modis instrument. IEEE Trans. Geosci. Remote Sens. 2003, 41, 895–900. [Google Scholar] [CrossRef]
- Fu, Y.; Liu, G.; Wu, G.; Yu, R.; Xu, Y.; Wang, Y.; Li, R.; Liu, Q. Tower mast of precipitation over the central Tibetan Plateau summer. Geophys. Res. Lett. 2006, 33, L05802. [Google Scholar] [CrossRef]
- Li, Y.; Liu, X.; Chen, B. Cloud type climatology over the Tibetan Plateau: A comparison of ISCCP and MODIS/TERRA measurements with surface observations. Geophys. Res. Lett. 2006, 33, L17716. [Google Scholar] [CrossRef]
- Zhao, Y.; Wang, D.; Yin, J. A study on cloud microphysicalcharacteristics over the tibetan plateau using cloudsat data. J. Trop. Meteorol. 2014, 30, 239–248. [Google Scholar] [CrossRef]
- Wu, Y.; Liu, L. Statistical characteristics of raindrop size distribution in the Tibetan Plateau and southern China. Adv. Atmos. Sci. 2017, 34, 727–736. [Google Scholar] [CrossRef]
- Zhang, S.; Wang, D.; Qin, Z.; Zheng, Y.; Guo, J. Assessment of the GPM and TRMM Precipitation Products Using the Rain Gauge Network over the Tibetan Plateau. J. Meteorol. Res. 2018, 32, 324–336. [Google Scholar] [CrossRef]
- Fu, Y.; Pan, X.; Liu, G. Characteristics of precipitation based on cloud brightness temperatures and storm tops in summer over the Tibetan Plateau. Chin. J. Atmos. Sci. 2016, 40, 102–120. (In Chinese) [Google Scholar] [CrossRef]
- Yan, Y.; Liu, Y.; Lu, J. Cloud vertical structure, precipitation, and cloud radiative effects over Tibetan Plateau and its neighboring regions. J. Geophys. Res. Atmos. 2016, 121, 5864–5877. [Google Scholar] [CrossRef]
- Liu, L.; Zheng, J.; Ruan, Z.; Cui, Z.; Hu, Z.; Wu, S.; Dai, G.; Wu, Y. The preliminary analyses of the cloud properties over the Tibetan Plateau from the field experiments in clouds precipitation with the vavious radars. Acta Meteorol. Sin. 2015, 73, 635–647. [Google Scholar] [CrossRef]
- Chang, Y.; Guo, X. Characteristics of convective cloud and precipitation during summer time at Naqu over Tibetan Plateau. Chin. Sci. Bull. 2016, 61, 1706–1720. [Google Scholar] [CrossRef]
- Zhou, R.; Wang, G.; Zhaxi, S. Cloud vertical structure measurements from a ground-based cloud radar over the southeastern Tibetan Plateau. Atmos. Res. 2021, 258, 105629. [Google Scholar] [CrossRef]
- Wang, G.; Zhou, R.; Zhaxi, S.; Liu, L. Comprehensive observations and preliminary statistical analysis of clouds and precipitation characteristics in Motuo of Tibet Plateau. Acta Meteorol. Sin. 2021, 79, 841–852. [Google Scholar] [CrossRef]
- Li, R.; Wang, G.; Zhou, R.; Zhang, J.; Liu, L. Seasonal Variation in Microphysical Characteristics of Precipitation at the Entrance of Water Vapor Channel in Yarlung Zangbo Grand Canyon. Remote Sens. 2022, 14, 3149. [Google Scholar] [CrossRef]
- Zhang, J.; Wang, G.; Zheng, J. Study of the Microphysical Characteristics of Weak Precipitation in Mêdog, Southeastern Tibetan Plateau Using Ka-Band Cloud Radar. Chin. J. Atmos. Sci. 2022, 46, 1239–1252. (In Chinese) [Google Scholar]
- Wagner, A.; Clemens, M.; Münster, H.; Fischer, B.; Peters, G. Profiles of Raindrop Size Distributions as Retrieved by Microrain Radars. J. Appl. Meteorol. 2005, 44, 1930–1949. [Google Scholar] [CrossRef]
- Gunn, R.; Kinzer, G.D. The Terminal Velocity of Fall for Water Droplets in Stagnant Air. J. Meteorol. 1949, 6, 243–248. [Google Scholar] [CrossRef]
- Foote, G.B.; Du Toit, P.S. Terminal Velocity of Raindrops Aloft. J. Appl. Meteorol. 1969, 8, 249–253. [Google Scholar] [CrossRef]
- Clemens, M.; Fischer, B.; Peters, G. Rain Attenuation of Radar Echoes Considering Finite-Range Resolution and Using Drop Size Distributions. J. Atmos. Ocean. Technol. 2010, 27, 829–842. [Google Scholar] [CrossRef]
- Wang, G.; Zhou, R.; Zhaxi, S.; Liu, S. Raindrop size distribution measurements on the Southeast Tibetan Plateau during the STEP project. Atmos. Res. 2021, 249, 105311. [Google Scholar] [CrossRef]
- Wang, H.; Lei, H.; Yang, J. Microphysical processes of a stratiform precipitation event over eastern China: Analysis using micro rain radar data. Adv. Atmos. Sci. 2017, 34, 1472–1482. [Google Scholar] [CrossRef]
- White, A.B.; Gottas, D.J.; Strem, E.T.; Ralph, F.M.; Neiman, P.J. An Automated Brightband Height Detection Algorithm for Use with Doppler Radar Spectral Moments. J. Atmos. Ocean. Technol. 2002, 19, 687–697. [Google Scholar] [CrossRef]
- White, A.B.; Neiman, P.J.; Ralph, F.M.; Kingsmill, D.E.; Persson, P.O.G. Coastal Orographic Rainfall Processes Observed by Radar during the California Land-Falling Jets Experiment. J. Hydrometeorol. 2003, 4, 264–282. [Google Scholar] [CrossRef]
- Huo, Z.; Ruan, Z.; Wei, M.; Ge, R.; Li, F.; Ruan, Y. Statistical characteristics of raindrop size distribution in south China summer based on the vertical structure derived from VPR-CFMCW. Atmos. Res. 2019, 222, 47–61. [Google Scholar] [CrossRef]
- Wang, G.; Li, R.; Sun, J.; Xu, X.; Zhou, R.; Liu, L. Comparative Analysis of the Characteristics of Rainy Season Raindrop Size Distributions in Two Typical Regions of the Tibetan Plateau. Adv. Atmos. Sci. 2022, 39, 1062–1078. [Google Scholar] [CrossRef]
- Seifert, A. On the Shape–Slope Relation of Drop Size Distributions in Convective Rain. J. Appl. Meteorol. 2005, 44, 1146–1151. [Google Scholar] [CrossRef]
- Radhakrishna, B.; Rao, T.N.; Rao, D.N.; Rao, N.P.; Nakamura, K.; Sharma, A.K. Spatial and seasonal variability of raindrop size distributions in southeast India. J. Geophys. Res. Atmos. 2009, 114, D04203. [Google Scholar] [CrossRef]













| Specifications | |
|---|---|
| Operating frequency | 24.23 GHZ |
| Operating mode | FMCW |
| Output power | 50 mW (+17 dBm) |
| Beam width | 1.5° |
| Temporal resolution | 60 s (minimum 1 s) |
| Height resolution | 50 m |
| Range gates | 32–256 |
| R Categories () | Samples (min) | |||
|---|---|---|---|---|
| Winter | Premonsoon | Monsoon | Postmonsoon | |
| R1 () | 7450 | 9950 | 10,152 | 6357 |
| R2 () | 1564 | 4228 | 5265 | 2188 |
| R3 () | 734 | 3934 | 4710 | 1703 |
| R4 () | 74 | 741 | 894 | 401 |
| Total | 9822 | 18,853 | 21,021 | 10,649 |
Disclaimer/Publisher’s Note: The statements, opinions and data contained in all publications are solely those of the individual author(s) and contributor(s) and not of MDPI and/or the editor(s). MDPI and/or the editor(s) disclaim responsibility for any injury to people or property resulting from any ideas, methods, instructions or products referred to in the content. |
© 2024 by the authors. Licensee MDPI, Basel, Switzerland. This article is an open access article distributed under the terms and conditions of the Creative Commons Attribution (CC BY) license (https://creativecommons.org/licenses/by/4.0/).
Share and Cite
Wen, J.; Wang, G.; Zhou, R.; Li, R.; Zhaxi, S.; Bai, M. Seasonal Variation in Vertical Structure for Stratiform Rain at Mêdog Site in Southeastern Tibetan Plateau. Remote Sens. 2024, 16, 1230. https://doi.org/10.3390/rs16071230
Wen J, Wang G, Zhou R, Li R, Zhaxi S, Bai M. Seasonal Variation in Vertical Structure for Stratiform Rain at Mêdog Site in Southeastern Tibetan Plateau. Remote Sensing. 2024; 16(7):1230. https://doi.org/10.3390/rs16071230
Chicago/Turabian StyleWen, Jiaqi, Gaili Wang, Renran Zhou, Ran Li, Suolang Zhaxi, and Maqiao Bai. 2024. "Seasonal Variation in Vertical Structure for Stratiform Rain at Mêdog Site in Southeastern Tibetan Plateau" Remote Sensing 16, no. 7: 1230. https://doi.org/10.3390/rs16071230
APA StyleWen, J., Wang, G., Zhou, R., Li, R., Zhaxi, S., & Bai, M. (2024). Seasonal Variation in Vertical Structure for Stratiform Rain at Mêdog Site in Southeastern Tibetan Plateau. Remote Sensing, 16(7), 1230. https://doi.org/10.3390/rs16071230

