Monitoring Grassland Variation in a Typical Area of the Qinghai Lake Basin Using 30 m Annual Maximum NDVI Data
Abstract
1. Introduction
2. Study Area and Materials
2.1. Study Area
2.2. Materials
3. Methods
3.1. Data Preprocessing
3.2. Landsat NDVI Time Series Reconstruction
3.2.1. Denoising of MODIS Daily NDVI
3.2.2. Generating Simulated Landsat NDVI
- At most, each Landsat image in the time series should participate in the fusion once.
- The Landsat images used in the fusion should meet the conditions that the proportion of clear pixels in the image after Fmask 3.2 detection is more than 85%.
- The predicted image time should be between the left and right reference image dates.
- Combined with the MOD09GQ NDVI data, the spatiotemporal correlation parameter showed p > 0.1.
3.2.3. S-Logistic Model Fitting
3.3. Evaluation of Reconstruction Method Accuracy
3.4. Trend Analysis
4. Results
4.1. Validation of the Reconstructed Landsat NDVI
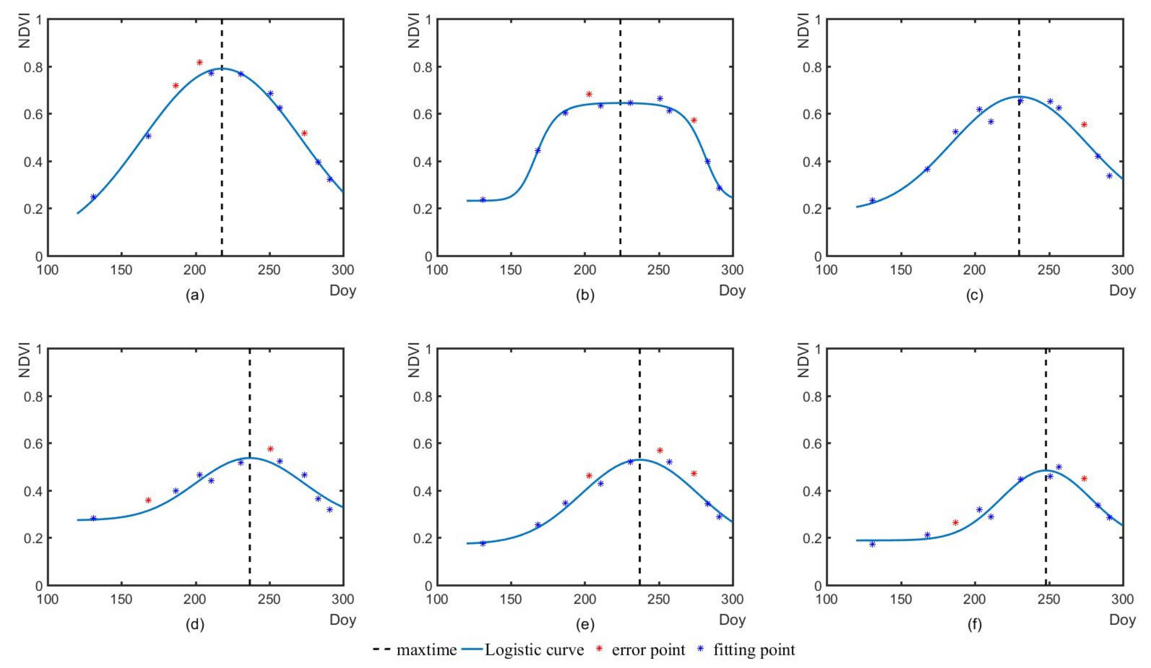
4.2. Vegetation Growth Fitting under Different Coverage Types
4.3. Spatial and Temporal Patterns of Landsat NDVI Annual Maxima
5. Discussion
5.1. Advantages and Limits of Reconstructed Landsat NDVI
5.2. Reasons for Spatial Characteristics and Variations in Vegetation NDVI
6. Conclusions
- By leveraging the unique spatiotemporal advantages of MODIS NDVI and Landsat NDVI data, we successfully derived the maximum NDVI for the whole year independent of the season at high resolution. The reconstruction results showed higher accuracy than those of the existing dataset. Our study provides more refined reconstruction results for the spatial characterization and variability of the NDVI at a fragmented landscape scale.
- Similarly, the annual maximum NDVI from 2001 to 2022 exhibited spatial vertical distribution differences, with higher values ranging from 0.6 to 0.8 in the northern and the southern regions, and lower values from 0.4 to 0.6 in the middle region. The maximum NDVI in Alpine kobresia spp., Forb Meadow was much higher than the average, and that in Temperate needlegrass arid steppe was significantly lower than the average. Furthermore, the earlier vegetation growth maximum dates were accompanied by greater NDVI maxima.
- From 2001 to 2022, the annual NDVI maximum value increased slightly, with a growth rate of 0.0028 per year. The annual maximum NDVI showed a decreasing trend mainly for Alpine kobresia spp., Forb Meadow and Temperate deciduous scrub. Nearly 40% of the area was distributed as patches in fluctuating or sharply fluctuating states. In particular, the areas in a sharp fluctuation state are also concentrated in Alpine kobresia spp., Forb Meadow in the southwest and northeast, and Temperate deciduous scrub on both sides of the river valley.
Author Contributions
Funding
Data Availability Statement
Acknowledgments
Conflicts of Interest
References
- Zhang, H.; Zhao, Y.; Zhu, J.K. Thriving under Stress: How Plants Balance Growth and the Stress Response. Dev. Cell 2020, 55, 529–543. [Google Scholar] [CrossRef] [PubMed]
- Camacho-De Coca, F.; García-Haro, F.; Gilabert, M.; Meliá, J. Vegetation cover seasonal changes assessment from TM imagery in a semi-arid landscape. Int. J. Remote Sens. 2004, 25, 3451–3476. [Google Scholar] [CrossRef]
- Zeng, L.; Wardlow, B.D.; Xiang, D.; Hu, S.; Li, D. A review of vegetation phenological metrics extraction using time-series, multispectral satellite data. Remote Sens. Environ. 2020, 237, 111511. [Google Scholar] [CrossRef]
- Busetto, L.; Meroni, M.; Colombo, R. Combining medium and coarse spatial resolution satellite data to improve the estimation of sub-pixel NDVI time series. Remote Sens. Environ. 2008, 112, 118–131. [Google Scholar] [CrossRef]
- Jin, X.; Liu, J.; Wang, S.; Xia, W. Vegetation dynamics and their response to groundwater and climate variables in Qaidam Basin, China. Int. J. Remote Sens. 2016, 37, 710–728. [Google Scholar] [CrossRef]
- Liu, E.; Xiao, X.; Shao, H.; Yang, X.; Zhang, Y.; Yang, Y. Climate Change and Livestock Management Drove Extensive Vegetation Recovery in the Qinghai-Tibet Plateau. Remote Sens. 2021, 13, 4808. [Google Scholar] [CrossRef]
- Chen, J.; Yan, F.; Lu, Q. Spatiotemporal Variation of Vegetation on the Qinghai–Tibet Plateau and the Influence of Climatic Factors and Human Activities on Vegetation Trend (2000–2019). Remote Sens. 2020, 12, 3150. [Google Scholar] [CrossRef]
- Wang, X.; Yi, S.; Wu, Q.; Yang, K.; Ding, Y. The role of permafrost and soil water in distribution of alpine grassland and its NDVI dynamics on the Qinghai-Tibetan Plateau. Glob. Planet. Chang. 2016, 147, 40–53. [Google Scholar] [CrossRef]
- Li, L.; Fassnacht, F.E.; Storch, I.; Bürgi, M. Land-use regime shift triggered the recent degradation of alpine pastures in Nyanpo Yutse of the eastern Qinghai-Tibetan Plateau. Landsc. Ecol. 2017, 32, 2187–2203. [Google Scholar] [CrossRef]
- Fassnacht, F.E.; Schiller, C.; Kattenborn, T.; Zhao, X.; Qu, J. A Landsat-based vegetation trend product of the Tibetan Plateau for the time-period 1990–2018. Sci. Data 2019, 6, 78. [Google Scholar] [CrossRef]
- Lhermitte, S.; Verbesselt, J.; Verstraeten, W.W.; Veraverbeke, S.; Coppin, P. Assessing intra-annual vegetation regrowth after fire using the pixel based regeneration index. ISPRS J. Photogramm. Remote Sens. 2011, 66, 17–27. [Google Scholar] [CrossRef]
- Wang, Z.; Cao, S.; Cao, G.; Lan, Y. Effects of vegetation phenology on vegetation productivity in the Qinghai Lake Basin of the Northeastern Qinghai–Tibet Plateau. Arab. J. Geosci. 2021, 14, 1030. [Google Scholar] [CrossRef]
- Wulder, M.A.; Loveland, T.R.; Roy, D.P.; Crawford, C.J.; Masek, J.G.; Woodcock, C.E.; Allen, R.G.; Anderson, M.C.; Belward, A.S.; Cohen, W.B.; et al. Current status of Landsat program, science, and applications. Remote Sens. Environ. 2019, 225, 127–147. [Google Scholar] [CrossRef]
- Cuomo, V.; Lanfredi, M.; Lasaponara, R.; Macchiato, M.F.; Simoniello, T. Detection of interannual variation of vegetation in middle and southern Italy during 1985-1999 with 1 km NOAA AVHRR NDVI data. J. Geophys. Res. Atmos. 2001, 106, 17863–17876. [Google Scholar] [CrossRef]
- Zhang, X.; Friedl, M.A.; Schaaf, C.B.; Strahler, A.H.; Hodges, J.C.F.; Gao, F.; Reed, B.C.; Huete, A. Monitoring vegetation phenology using MODIS. Remote Sens. Environ. 2003, 84, 471–475. [Google Scholar] [CrossRef]
- Jonsson, P.; Eklundh, L. Seasonality extraction by function fitting to time-series of satellite sensor data. IEEE Trans. Geosci. Remote Sens. 2002, 40, 1824–1832. [Google Scholar] [CrossRef]
- Chen, J.; Jönsson, P.; Tamura, M.; Gu, Z.; Matsushita, B.; Eklundh, L. A simple method for reconstructing a high-quality NDVI time-series data set based on the Savitzky–Golay filter. Remote Sens. Environ. 2004, 91, 332–344. [Google Scholar] [CrossRef]
- Viovy, N.; Arino, O.; Belward, A.S. The Best Index Slope Extraction (BISE): A method for reducing noise in NDVI time-series. Int. J. Remote Sens. 1992, 13, 1585–1590. [Google Scholar] [CrossRef]
- Menenti, M.; Azzali, S.; Verhoef, W.; Van Swol, R. Mapping agroecological zones and time lag in vegetation growth by means of Fourier analysis of time series of NDVI images. Adv. Space Res. 1993, 13, 233–237. [Google Scholar] [CrossRef]
- Cao, R.; Chen, Y.; Shen, M.; Chen, J.; Zhou, J.; Wang, C.; Yang, W. A simple method to improve the quality of NDVI time-series data by integrating spatiotemporal information with the Savitzky-Golay filter. Remote Sens. Environ. 2018, 217, 244–257. [Google Scholar] [CrossRef]
- Chen, Y.; Cao, R.; Chen, J.; Liu, L.; Matsushita, B. A practical approach to reconstruct high-quality Landsat NDVI time-series data by gap filling and the Savitzky–Golay filter. ISPRS J. Photogramm. Remote Sens. 2021, 180, 174–190. [Google Scholar] [CrossRef]
- Yan, L.; Roy, D.P. Spatially and temporally complete Landsat reflectance time series modelling: The fill-and-fit approach. Remote Sens. Environ. 2020, 241, 111718. [Google Scholar] [CrossRef]
- Chen, Q.; Liu, W.; Huang, C. Long-Term 10 m Resolution Water Dynamics of Qinghai Lake and the Driving Factors. Water 2022, 14, 671. [Google Scholar] [CrossRef]
- Li, X.Y.; Ma, Y.J.; Xu, H.Y.; Wang, J.H.; Zhang, D.S. Impact of land use and land cover change on environmental degradation in lake Qinghai watershed, northeast Qinghai-Tibet Plateau. Land. Degrad. Dev. 2009, 20, 69–83. [Google Scholar] [CrossRef]
- Gui-chen, C.; Min, P. Types and Distribution of Vegetation in Qinghai Lake Region. Chin. J. Plant Ecol. 1993, 17, 71–81. [Google Scholar]
- Cooley, T.; Anderson, G.P.; Felde, G.W.; Hoke, M.L.; Ratkowski, A.J.; Chetwynd, J.H.; Gardner, J.A.; Adler-Golden, S.M.; Matthew, M.W.; Berk, A.; et al. FLAASH, a MODTRAN4-based atmospheric correction algorithm, its application and validation. In Proceedings of the IEEE International Geoscience and Remote Sensing Symposium, IEEE International Geoscience and Remote Sensing Symposium, Toronto, ON, Canada, 24–28 June 2002; Volume 1413, pp. 1414–1418. [Google Scholar]
- Zhu, Z.; Woodcock, C.E. Object-based cloud and cloud shadow detection in Landsat imagery. Remote Sens. Environ. 2012, 118, 83–94. [Google Scholar] [CrossRef]
- Zhu, Z.; Wang, S.; Woodcock, C.E. Improvement and expansion of the Fmask algorithm: Cloud, cloud shadow, and snow detection for Landsats 4-7, 8, and Sentinel 2 images. Remote Sens. Environ. Interdiscip. J. 2015, 159, 269–277. [Google Scholar] [CrossRef]
- Motohka, T.; Nasahara, K.N.; Murakami, K.; Nagai, S. Evaluation of Sub-Pixel Cloud Noises on MODIS Daily Spectral Indices Based on in situ Measurements. Remote Sens. 2011, 3, 1644–1662. [Google Scholar] [CrossRef]
- Justice, C.O.; Townshend, J.R.G.; Vermote, E.F.; Masuoka, E.; Wolfe, R.E.; Saleous, N.; Roy, D.P.; Morisette, J.T. An overview of MODIS Land data processing and product status. Remote Sens. Environ. 2002, 83, 3–15. [Google Scholar] [CrossRef]
- Guindin-Garcia, N.; Gitelson, A.A.; Arkebauer, T.J.; Shanahan, J.; Weiss, A. An evaluation of MODIS 8- and 16-day composite products for monitoring maize green leaf area index. Agric. For. Meteorol. 2012, 161, 15–25. [Google Scholar] [CrossRef]
- Wessels, K.J.; Bachoo, A.; Archibald, S. Influence of composite period and date of observation on phenological metrics extracted from MODIS data. In Proceedings of the 33rd International Symposium on Remote Sensing of Environment: Sustaining the Millennium Development Goals, Stresa, Lago Magglore, Italy, 4–8 May 2009. [Google Scholar]
- Narasimhan, R.; Stow, D. Daily MODIS products for analyzing early season vegetation dynamics across the North Slope of Alaska. Remote Sens. Environ. 2010, 114, 1251–1262. [Google Scholar] [CrossRef]
- McKellip, R.; Ryan, R.E.; Blonski, S.; Prados, D. Crop surveillance demonstration using a near-daily MODIS derived vegetation index time series. In Proceedings of the Third International Workshop on the Analysis of Multitemporal Remote Sensing Images (MultiTemp 2005), Biloxi, MS, USA, 16–18 May 2005. [Google Scholar]
- Jin, S.; Sader, S.A. MODIS time-series imagery for forest disturbance detection and quantification of patch size effects. Remote Sens. Environ. 2005, 99, 462–470. [Google Scholar] [CrossRef]
- Zeng, L.; Wardlow, B.D.; Hu, S.; Zhang, X.; Wu, W. A Novel Strategy to Reconstruct NDVI Time-Series with High Temporal Resolution from MODIS Multi-Temporal Composite Products. Remote Sens. 2021, 13, 1397. [Google Scholar] [CrossRef]
- Keys, R. Cubic convolution interpolation for digital image processing. IEEE Trans. Acoust. Speech Signal Process. 1981, 29, 1153–1160. [Google Scholar] [CrossRef]
- Zhu, X.; Cai, F.; Tian, J.; Williams, T. Spatiotemporal Fusion of Multisource Remote Sensing Data: Literature Survey, Taxonomy, Principles, Applications, and Future Directions. Remote Sens. 2018, 10, 527. [Google Scholar] [CrossRef]
- Dong, S. Analysis and Improvenment of Spatial-Temporal Fusion Method of Remote Sensing Image Based on Weight Filtering. Master’s Thesis, Shandong University of Science and Technology, Qingdao, China, 2019. [Google Scholar]
- Zhang, X.; Friedl, M.A.; Schaaf, C.B. Global vegetation phenology from Moderate Resolution Imaging Spectroradiometer (MODIS): Evaluation of global patterns and comparison with in situ measurements. J. Geophys. Res. Biogeosci. 2006, 111, G4. [Google Scholar] [CrossRef]
- Shen, M.; Tang, Y.; Chen, J.; Yang, W. Specification of thermal growing season in temperate China from 1960 to 2009. Clim. Chang. 2012, 114, 783–798. [Google Scholar] [CrossRef]
- Zhu, W.; Tian, H.; Xu, X.; Pan, Y.; Chen, G.; Lin, W. Extension of the growing season due to delayed autumn over mid and high latitudes in North America during 1982–2006. Glob. Ecol. Biogeogr. 2012, 21, 260–271. [Google Scholar] [CrossRef]
- Cao, R.; Chen, J.; Shen, M.; Tang, Y. An improved logistic method for detecting spring vegetation phenology in grasslands from MODIS EVI time-series data. Agric. For. Meteorol. 2015, 200, 9–20. [Google Scholar] [CrossRef]
- Jiang, L.; Shang, S. Comparison of Fitting Curves on the Dynamic of Vegetation Index. J. Irrig. Drain. 2014, 33, 382–384, 403. [Google Scholar]
- Madsen, K.; Nielsen, H.B.; Tingleff, O. Methods for Non-Linear Least Squares Problems; Technical University of Denmark: Kongens Lyngby, Denmark, 2004. [Google Scholar]
- Bashir, B.; Cao, C.; Naeem, S.; Joharestani, M.Z.; Bo, X.; Afzal, H.; Jamal, K.; Mumtaz, F. Spatio-Temporal Vegetation Dynamic and Persistence under Climatic and Anthropogenic Factors. Remote Sens. 2020, 12, 2612. [Google Scholar] [CrossRef]
- Zhao, S.; Zhao, X.; Zhao, J.; Liu, N.; Sun, M.; Mu, B.; Sun, N.; Guo, Y. Grassland Conservation Effectiveness of National Nature Reserves in Northern China. Remote Sens. 2022, 14, 1760. [Google Scholar] [CrossRef]
- Liu, R.; Shang, R.; Liu, Y.; Lu, X. Global evaluation of gap-filling approaches for seasonal NDVI with considering vegetation growth trajectory, protection of key point, noise resistance and curve stability. Remote Sens. Environ. 2017, 189, 164–179. [Google Scholar] [CrossRef]
- Yang, J.; Dong, J.; Xiao, X.; Dai, J.; Wu, C.; Xia, J.; Zhao, G.; Zhao, M.; Li, Z.; Zhang, Y.; et al. Divergent shifts in peak photosynthesis timing of temperate and alpine grasslands in China. Remote Sens. Environ. 2019, 233, 111395. [Google Scholar] [CrossRef]
- Michel, U.; Jiang, J.; Song, J.; Wang, J.; Xiao, Z.; Civco, D.L.; Ehlers, M.; Schulz, K.; Nikolakopoulos, K.G.; Habib, S.; et al. Combine MODIS and HJ-1 CCD NDVI with logistic model to generate high spatial and temporal resolution NDVI data. In Proceedings of the Earth Resources and Environmental Remote Sensing/GIS Applications III, Edinburgh, UK, 24–27 September 2012; pp. 242–250. [Google Scholar]
- Gonsamo, A.; Chen, J.M.; Ooi, Y.W. Peak season plant activity shift towards spring is reflected by increasing carbon uptake by extratropical ecosystems. Glob. Chang. Biol. 2018, 24, 2117–2128. [Google Scholar] [CrossRef] [PubMed]
- Miehe, G.; Schleuss, P.M.; Seeber, E.; Babel, W.; Biermann, T.; Braendle, M.; Chen, F.; Coners, H.; Foken, T.; Gerken, T.; et al. The Kobresia pygmaea ecosystem of the Tibetan highlands—Origin, functioning and degradation of the world’s largest pastoral alpine ecosystem: Kobresia pastures of Tibet. Sci. Total Environ. 2019, 648, 754–771. [Google Scholar] [CrossRef] [PubMed]
- Miehe, G.; Bach, K.; Miehe, S.; Kluge, J.; Yongping, Y.; Duo, L.; Co, S.; Wesche, K. Alpine steppe plant communities of the Tibetan highlands. Appl. Veg. Sci. 2011, 14, 547–560. [Google Scholar] [CrossRef]
- Li, X. Grassland type and distribution in Qinghai lake drainage area. Qinghai Prataculture 2009, 18, 20–23+19. [Google Scholar]
- Schaaf, C.B.; Gao, F.; Strahler, A.H.; Lucht, W.; Li, X.; Tsang, T.; Strugnell, N.C.; Zhang, X.; Jin, Y.; Muller, J.-P. First operational BRDF, albedo nadir reflectance products from MODIS. Remote Sens. Environ. 2002, 83, 135–148. [Google Scholar] [CrossRef]
- Huete, A.; Didan, K.; Miura, T.; Rodriguez, E.P.; Gao, X.; Ferreira, L.G. Overview of the radiometric and biophysical performance of the MODIS vegetation indices. Remote Sens. Environ. 2002, 83, 195–213. [Google Scholar] [CrossRef]
- Dong, J.; Zhou, Y.; You, N. 30-Meter Annual Maximum NDVI Dataset in China, 2000–2020; [DS/OL]; National Ecosystem Science Data Center: Beijing, China, 2021; Available online: https://cstr.cn/15732.11.nesdc.ecodb.rs.2021.012 (accessed on 30 March 2023). [CrossRef]
- Zhu, X.; Gao, F.; Liu, D.; Chen, J. A Modified Neighborhood Similar Pixel Interpolator Approach for Removing Thick Clouds in Landsat Images. IEEE Geosci. Remote Sens. Lett. 2012, 9, 521–525. [Google Scholar] [CrossRef]
- Cao, R.; Chen, Y.; Chen, J.; Zhu, X.; Shen, M. Thick cloud removal in Landsat images based on autoregression of Landsat time-series data. Remote Sens. Environ. 2020, 249, 112001. [Google Scholar] [CrossRef]
- Chu, D.; Shen, H.F.; Guan, X.B.; Chen, J.M.; Li, X.H.; Li, J.; Zhang, L.P. Long time-series NDVI reconstruction in cloud-prone regions via spatio-temporal tensor completion. Remote Sens. Environ. 2021, 264, 112632. [Google Scholar] [CrossRef]
- Zhang, Q.; Yuan, Q.; Li, J.; Li, Z.; Shen, H.; Zhang, L. Thick cloud and cloud shadow removal in multitemporal imagery using progressively spatio-temporal patch group deep learning. ISPRS J. Photogramm. Remote Sens. 2020, 162, 148–160. [Google Scholar] [CrossRef]
- Duan, H.; Xue, X.; Wang, T.; Kang, W.; Liao, J.; Liu, S. Spatial and Temporal Differences in Alpine Meadow, Alpine Steppe and All Vegetation of the Qinghai-Tibetan Plateau and Their Responses to Climate Change. Remote Sens. 2021, 13, 669. [Google Scholar] [CrossRef]
- Wang, C.; Guo, H.; Zhang, L.; Liu, S.; Qiu, Y.; Sun, Z. Assessing phenological change and climatic control of alpine grasslands in the Tibetan Plateau with MODIS time series. Int. J. Biometeorol. 2015, 59, 11–23. [Google Scholar] [CrossRef] [PubMed]
- Li, L.; Zhang, Y.; Wu, J.; Li, S.; Zhang, B.; Zu, J.; Zhang, H.; Ding, M.; Paudel, B. Increasing sensitivity of alpine grasslands to climate variability along an elevational gradient on the Qinghai-Tibet Plateau. Sci. Total Environ. 2019, 678, 21–29. [Google Scholar] [CrossRef] [PubMed]
- Lehnert, L.W.; Wesche, K.; Trachte, K.; Reudenbach, C.; Bendix, J. Climate variability rather than overstocking causes recent large scale cover changes of Tibetan pastures. Sci. Rep. 2016, 6, 24367. [Google Scholar] [CrossRef]
- Gao, X.; Huang, X.; Lo, K.; Dang, Q.; Wen, R. Vegetation responses to climate change in the Qilian Mountain Nature Reserve, Northwest China. Glob. Ecol. Conserv. 2021, 28, e01698. [Google Scholar] [CrossRef]
- Yang, X.; Ma, L.; Zhang, Z.; Zhang, Q.; Guo, J.; Zhou, B.; Deng, Y.; Wang, X.; Wang, F.; She, Y.; et al. Relationship between the characteristics of plant community growth and climate factors in alpine meadow. Acta Ecol. Sin. 2021, 41, 3689–3700. [Google Scholar]
- Xue, X.; Guo, J.; Han, B.; Sun, Q.; Liu, L. The effect of climate warming and permafrost thaw on desertification in the Qinghai–Tibetan Plateau. Geomorphology 2009, 108, 182–190. [Google Scholar] [CrossRef]
- Zhang, Z.; Li, M.; Wen, Z.; Yin, Z.; Tang, Y.; Gao, S.; Wu, Q. Degraded frozen soil and reduced frost heave in China due to climate warming. Sci. Total Environ. 2023, 893, 164914. [Google Scholar] [CrossRef] [PubMed]
- Jin, H.; He, R.; Cheng, G.; Wu, Q.; Wang, S.; Lü, L.; Chang, X. Changes in frozen ground in the Source Area of the Yellow River on the Qinghai–Tibet Plateau, China, and their eco-environmental impacts. Environ. Res. Lett. 2009, 4, 045206. [Google Scholar] [CrossRef]
- Wang, X.; Gao, B. Frozen soil change and its impact on hydrological processes in the Qinghai Lake Basin, the Qinghai-Tibetan Plateau, China. J. Hydrol. Reg. Stud. 2022, 39, 100993. [Google Scholar] [CrossRef]
- Li, X.; Yuan, Q.; Song, X. Anthropogenic Changes and Impacts in the Qilian Mountains; Science Press: Beijing, China, 2022; p. 159. [Google Scholar]
- Man, Z.; Xie, C.; Jiang, R.; Che, S. Freeze-thaw cycle frequency affects root growth of alpine meadow through changing soil moisture and nutrients. Sci. Rep. 2022, 12, 4436. [Google Scholar] [CrossRef]
- Zhou, H.; Yang, X.; Zhou, C.; Shao, X.; Shi, Z.; Li, H.; Su, H.; Qin, R.; Chang, T.; Hu, X.; et al. Alpine Grassland Degradation and Its Restoration in the Qinghai–Tibet Plateau. Grasses 2023, 2, 31–46. [Google Scholar] [CrossRef]










| Year | Reference Date: Landsat Month/Day (MODIS DOY) | Target Date: Landsat Month/Day |
|---|---|---|
| 2001 | 06/02 (152) + 06/18 (169) 07/04 (185) + 08/21 (233) 08/28 (240) + 10/08 (281) | 06/10 08/02 09/04 |
| 2005 | 06/13 (164) + 06/29 (180) 07/15 (196) + 08/23 (235) 09/08 (251) + 09/17 (260) | 06/25 07/21 09/13 |
| 2009 | 06/24 (175) + 07/17 (198) 07/26 (207) + 08/11 (223) 08/27 (239) + 09/28 (271) | 06/28 08/05 09/22 |
| 2011 | 06/14 (165) + 07/07 (188) 07/16 (197) + 08/01 (213) 08/08 (220) + 08/24 (236) 09/09 (252) + 10/04 (277) | 06/30 07/24 08/16 09/25 |
| 2014 | 06/06 (157) + 07/15 (196) 07/24 (205) + 09/17 (260) | 07/04 07/31 |
| 2016 | 07/04 (186) + 07/20 (202) 07/29 (211) + 09/06 (250) 09/15 (259) + 10/01 (275) | 07/15 08/07 09/20 |
| 2019 | 06/11 (162) + 07/22 (203) 08/14 (226) + 09/15 (258) 10/01 (274) + 10/17 (290) | 07/05 08/30 10/09 |
| 2020 | 06/29 (181) + 08/09 (222) 08/25 (238) + 09/10 (254) 09/17 (261) + 10/03 (277) | 07/25 09/04 09/23 |
| 2022 | 05/11 (131) + 07/22 (211) 07/30 (211) + 10/01 (274) 07/30 (211) + 10/10 (283) | 06/17 08/19 09/14 |
| Vegetation Types | DOY (MM/DD) |
|---|---|
| Alpine kobresia spp., Forb Meadow | 213.8 (08/01) |
| Subalpine broadleaf deciduous scrub | 212.1 (07/31) |
| Alpine grass, Carex Steppe | 231.2 (08/19) |
| Cultivated vegetation | 241.2 (08/29) |
| Temperate deciduous scrub | 238.0 (08/26) |
| Temperate needlegrass arid steppe | 246.7 (09/03) |
Disclaimer/Publisher’s Note: The statements, opinions and data contained in all publications are solely those of the individual author(s) and contributor(s) and not of MDPI and/or the editor(s). MDPI and/or the editor(s) disclaim responsibility for any injury to people or property resulting from any ideas, methods, instructions or products referred to in the content. |
© 2024 by the authors. Licensee MDPI, Basel, Switzerland. This article is an open access article distributed under the terms and conditions of the Creative Commons Attribution (CC BY) license (https://creativecommons.org/licenses/by/4.0/).
Share and Cite
Li, M.; Wang, G.; Sun, A.; Wang, Y.; Li, F.; Liang, S. Monitoring Grassland Variation in a Typical Area of the Qinghai Lake Basin Using 30 m Annual Maximum NDVI Data. Remote Sens. 2024, 16, 1222. https://doi.org/10.3390/rs16071222
Li M, Wang G, Sun A, Wang Y, Li F, Liang S. Monitoring Grassland Variation in a Typical Area of the Qinghai Lake Basin Using 30 m Annual Maximum NDVI Data. Remote Sensing. 2024; 16(7):1222. https://doi.org/10.3390/rs16071222
Chicago/Turabian StyleLi, Meng, Guangjun Wang, Aohan Sun, Youkun Wang, Fang Li, and Sihai Liang. 2024. "Monitoring Grassland Variation in a Typical Area of the Qinghai Lake Basin Using 30 m Annual Maximum NDVI Data" Remote Sensing 16, no. 7: 1222. https://doi.org/10.3390/rs16071222
APA StyleLi, M., Wang, G., Sun, A., Wang, Y., Li, F., & Liang, S. (2024). Monitoring Grassland Variation in a Typical Area of the Qinghai Lake Basin Using 30 m Annual Maximum NDVI Data. Remote Sensing, 16(7), 1222. https://doi.org/10.3390/rs16071222

