Random Forest Classifier for Cloud Clearing of the Operational TROPOMI XCH4 Product
Abstract
1. Introduction
2. Data
2.1. SUOMI-NPP VIIRS
2.2. TROPOMI CO
2.3. TCCON XCH4
3. Methods
3.1. Random Forest Classifier
3.2. Destriping Approach
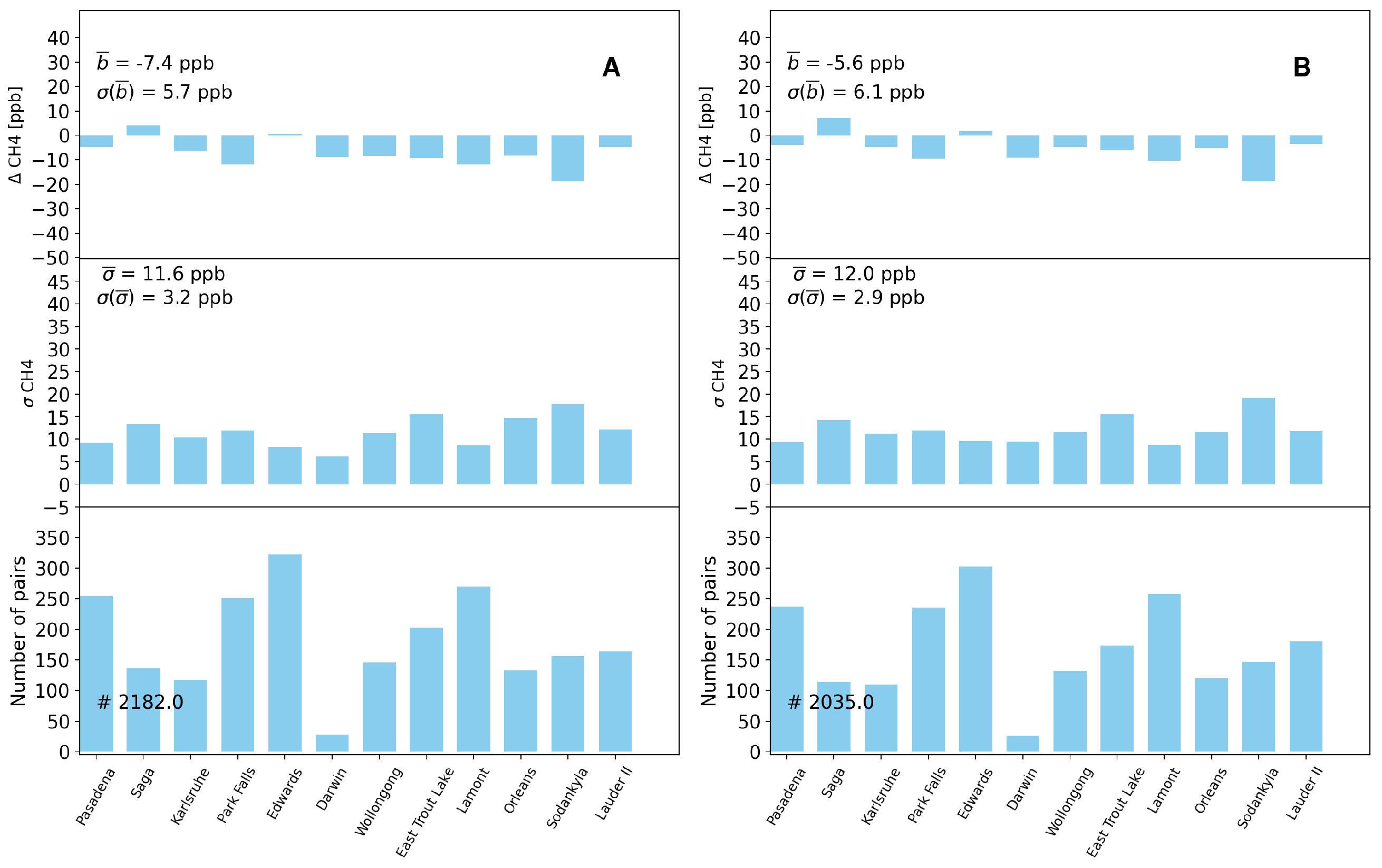
4. Results
5. Discussions
Author Contributions
Funding
Data Availability Statement
Acknowledgments
Conflicts of Interest
Appendix A



References
- Myhre, G.; Samset, B.H.; Schulz, M.; Balkanski, Y.; Bauer, S.; Berntsen, T.K.; Bian, H.; Bellouin, N.; Chin, M.; Diehl, T.; et al. Radiative forcing of the direct aerosol effect from AeroCom Phase II simulations. Atmos. Chem. Phys. 2013, 13, 1853–1877. [Google Scholar] [CrossRef]
- Kirschke, S.; Bousquet, P.; Ciais, P.; Saunois, M.; Canadell, J.G.; Dlugokencky, E.J.; Bergamaschi, P.; Bergmann, D.; Blake, D.R.; Bruhwiler, L.; et al. Three decades of global methane sources and sinks. Nat. Geosci. 2013, 6, 813–823. [Google Scholar] [CrossRef]
- Lunt, M.F.; Palmer, P.I.; Feng, L.; Taylor, C.M.; Boesch, H.; Parker, R.J. An increase in methane emissions from tropical Africa between 2010 and 2016 inferred from satellite data. Atmos. Chem. Phys. 2019, 19, 14721–14740. [Google Scholar] [CrossRef]
- Maasakkers, J.D.; Varon, D.J.; Elfarsdóttir, A.; McKeever, J.; Jervis, D.; Mahapatra, G.; Pandey, S.; Lorente, A.; Borsdorff, T.; Foorthuis, L.R.; et al. Using satellites to uncover large methane emissions from landfills. Sci. Adv. 2022, 8, eabn9683. [Google Scholar] [CrossRef]
- Veefkind, J.; Aben, I.; McMullan, K.; Förster, H.; de Vries, J.; Otter, G.; Claas, J.; Eskes, H.; de Haan, J.; Kleipool, Q.; et al. TROPOMI on the ESA Sentinel-5 Precursor: A GMES mission for global observations of the atmospheric composition for climate, air quality and ozone layer applications. Remote Sens. Environ. 2012, 120, 70–83. [Google Scholar] [CrossRef]
- Haili, H.; Landgraf, J.; Detmers, R.; Borsdorff, T.; de Brugh, J.A.; Aben, I.; Butz, A.; Hasekamp, O. Toward Global Mapping of Methane With TROPOMI: First Results and Intersatellite Comparison to GOSAT. Geophys. Res. Lett. 2018, 45, 3682–3689. [Google Scholar] [CrossRef]
- Lorente, A.; Borsdorff, T.; Butz, A.; Hasekamp, O.; aan de Brugh, J.; Schneider, A.; Wu, L.; Hase, F.; Kivi, R.; Wunch, D.; et al. Methane retrieved from TROPOMI: Improvement of the data product and validation of the first 2 years of measurements. Atmos. Meas. Tech. 2021, 14, 665–684. [Google Scholar] [CrossRef]
- Lorente, A.; Borsdorff, T.; Martinez-Velarte, M.C.; Butz, A.; Hasekamp, O.P.; Wu, L.; Landgraf, J. Evaluation of the methane full-physics retrieval applied to TROPOMI ocean sun glint measurements. Atmos. Meas. Tech. 2022, 15, 6585–6603. [Google Scholar] [CrossRef]
- Lorente, A.; Borsdorff, T.; Martinez-Velarte, M.C.; Landgraf, J. Accounting for surface reflectance spectral features in TROPOMI methane retrievals. Atmos. Meas. Tech. 2023, 16, 1597–1608. [Google Scholar] [CrossRef]
- Pandey, S.; Gautam, R.; Houweling, S.; van der Gon, H.D.; Sadavarte, P.; Borsdorff, T.; Hasekamp, O.; Landgraf, J.; Tol, P.; van Kempen, T.; et al. Satellite observations reveal extreme methane leakage from a natural gas well blowout. Proc. Natl. Acad. Sci. USA 2019, 116, 26376–26381. [Google Scholar] [CrossRef]
- Sha, M.K.; Langerock, B.; Blavier, J.F.L.; Blumenstock, T.; Borsdorff, T.; Buschmann, M.; Dehn, A.; De Mazière, M.; Deutscher, N.M.; Feist, D.G.; et al. Validation of methane and carbon monoxide from Sentinel-5 Precursor using TCCON and NDACC-IRWG stations. Atmos. Meas. Tech. 2021, 14, 6249–6304. [Google Scholar] [CrossRef]
- Hu, H.; Hasekamp, O.; Butz, A.; Galli, A.; Landgraf, J.; Aan de Brugh, J.; Borsdorff, T.; Scheepmaker, R.; Aben, I. The operational methane retrieval algorithm for TROPOMI. Atmos. Meas. Tech. 2016, 9, 5423–5440. [Google Scholar] [CrossRef]
- Taylor, T.E.; O’Dell, C.W.; Frankenberg, C.; Partain, P.T.; Cronk, H.Q.; Savtchenko, A.; Nelson, R.R.; Rosenthal, E.J.; Chang, A.Y.; Fisher, B.; et al. Orbiting Carbon Observatory-2 (OCO-2) cloud screening algorithms: Validation against collocated MODIS and CALIOP data. Atmos. Meas. Tech. 2016, 9, 973–989. [Google Scholar] [CrossRef]
- Cao, C.; Blonski, S.; Wang, W.; Uprety, S.; Shao, X.; Choi, J.; Lynch, E.; Kalluri, S. NOAA-20 VIIRS on-orbit performance, data quality, and operational Cal/Val support. Earth Obs. Mission. Sens. Dev. Implement. Charact. 2018, 10781, 21. [Google Scholar] [CrossRef]
- Inness, A.; Aben, I.; Ades, M.; Borsdorff, T.; Flemming, J.; Landgraf, J.; Langerock, B.; Parrington, M.; Ribas, R. Monitoring and assimilation of S5P/TROPOMI carbon monoxide data with the global CAMS near-real time system. Atmos. Chem. Phys. Discuss. 2022, 2022, 1–39. [Google Scholar] [CrossRef]
- Jackson, J.M.; Liu, H.; Laszlo, I.; Kondragunta, S.; Remer, L.A.; Huang, J.; Huang, H.C. Suomi-NPP VIIRS aerosol algorithms and data products. J. Geophys. Res. Atmos. 2013, 118, 12,673–12,689. [Google Scholar] [CrossRef]
- Siddans, R. S5P-NPP Cloud Processor ATBD; Atbd, RAL, Harwell Campus: Oxfordshire, UK, 2016. [Google Scholar]
- Hasekamp, O.; Lorente, A.; Hu, H.; Butz, A.; de Brugh, J.; Landgraf, J. Algorithm Theoretical Baseline Document for Sentinel-5 Precursor Methane Retrieval; Atbd, SRON: Utrecht, The Netherlands, 2016. [Google Scholar]
- Landgraf, J.; de Brugh, J.a.; Scheepmaker, R.A.; Borsdorff, T.; Houweling, S.; Hasekamp, O.P. Algorithm Theoretical Baseline Document for Sentinel-5 Precursor: Carbon Monoxide Total Column Retrieval; Atbd, SRON: Utrecht, The Netherlands, 2016. [Google Scholar]
- Borsdorff, T.; de Brugh, J.A.; Hu, H.; Aben, I.; Hasekamp, O.; Landgraf, J. Measuring Carbon Monoxide with TROPOMI: First Results and a Comparison With ECMWF-IFS Analysis Data. Geophys. Res. Lett. 2018, 45, 2826–2832. [Google Scholar] [CrossRef]
- Borsdorff, T.; aan de Brugh, J.; Hu, H.; Hasekamp, O.; Sussmann, R.; Rettinger, M.; Hase, F.; Gross, J.; Schneider, M.; Garcia, O.; et al. Mapping carbon monoxide pollution from space down to city scales with daily global coverage. Atmos. Meas. Tech. Discuss. 2018, 2018, 1–19. [Google Scholar] [CrossRef]
- Borsdorff, T.; García Reynoso, A.; Maldonado, G.; Mar-Morales, B.; Stremme, W.; Grutter, M.; Landgraf, J. Monitoring CO emissions of the metropolis Mexico City using TROPOMI CO observations. Atmos. Chem. Phys. 2020, 20, 15761–15774. [Google Scholar] [CrossRef]
- Borsdorff, T.; Hasekamp, O.P.; Wassmann, A.; Landgraf, J. Insights into Tikhonov regularization: Application to trace gas column retrieval and the efficient calculation of total column averaging kernels. Atmos. Meas. Tech. 2014, 7, 523–535. [Google Scholar] [CrossRef]
- Butz, A.; Guerlet, S.; Hasekamp, O.; Schepers, D.; Galli, A.; Aben, I.; Frankenberg, C.; Hartmann, J.M.; Tran, H.; Kuze, A.; et al. Toward accurate CO2 and CH4 observations from GOSAT. Geophys. Res. Lett. 2011, 38. [Google Scholar] [CrossRef]
- Lorente, A.; Boersma, K.F.; Eskes, H.J.; Veefkind, J.P.; van Geffen, J.H.G.M.; de Zeeuw, M.B.; Denier van der Gon, H.A.C.; Beirle, S.; Krol, M.C. Quantification of nitrogen oxides emissions from build-up of pollution over Paris with TROPOMI. Sci. Rep. 2019, 9, 20033. [Google Scholar] [CrossRef] [PubMed]
- Kivi, R.; Heikkinen, P.; Kyrö, E. TCCON Data from Sodankylä (FI), Release GGG2014.R0; Finnish Meteorological Institute: Helsinki, Finland, 2014. [Google Scholar] [CrossRef]
- Kivi, R.; Heikkinen, P. Fourier transform spectrometer measurements of column CO2 at Sodankylä, Finland. Geosci. Instrum. Methods Data Syst. 2016, 5, 271–279. [Google Scholar] [CrossRef]
- Wunch, D.; Mendonca, J.; Colebatch, O.; Allen, N.T.; Blavier, J.F.; Roche, S.; Hedelius, J.; Neufeld, G.; Springett, S.; Worthy, D.; et al. TCCON Data from East Trout Lake, SK (CA), Release GGG2014.R1; Canada Foundation for Innovation: Ottawa, ON, Canada, 2018. [Google Scholar] [CrossRef]
- Hase, F.; Blumenstock, T.; Dohe, S.; Groß, J.; Kiel, M. TCCON Data from Karlsruhe (DE), Release GGG2014.R0; Helmholtz Association of German Research Centres: Bonn, Germany, 2014. [Google Scholar] [CrossRef]
- Warneke, T.; Messerschmidt, J.; Notholt, J.; Weinzierl, C.; Deutscher, N.M.; Petri, C.; Grupe, P. TCCON Data from Orléans (FR), Release GGG2014.R0; European Union: Brussels, Belgium, 2014. [Google Scholar] [CrossRef]
- Wennberg, P.O.; Roehl, C.M.; Wunch, D.; Toon, G.C.; Blavier, J.F.; Washenfelder, R.; Keppel-Aleks, G.; Allen, N.T.; Ayers, J. TCCON Data from Park Falls (US), Release GGG2014.R1; National Aeronautics and Space Administration: Washington, DC, USA, 2017. [Google Scholar] [CrossRef]
- Wennberg, P.O.; Wunch, D.; Roehl, C.M.; Blavier, J.F.; Toon, G.C.; Allen, N.T. TCCON Data from Lamont (US), Release GGG2014.R1; National Aeronautics and Space Administration: Washington, DC, USA, 2016. [Google Scholar] [CrossRef]
- Wennberg, P.O.; Wunch, D.; Roehl, C.M.; Blavier, J.F.; Toon, G.C.; Allen, N.T. TCCON Data from Caltech (US), Release GGG2014.R0; National Aeronautics and Space Administration: Washington, DC, USA, 2016. [Google Scholar] [CrossRef]
- Iraci, L.T.; Podolske, J.R.; Hillyard, P.W.; Roehl, C.; Wennberg, P.O.; Blavier, J.F.; Landeros, J.; Allen, N.; Wunch, D.; Zavaleta, J.; et al. TCCON Data from Edwards (US), Release GGG2014.R1; National Aeronautics and Space Administration: Washington, DC, USA, 2016. [Google Scholar] [CrossRef]
- Kawakami, S.; Ohyama, H.; Arai, K.; Okumura, H.; Taura, C.; Fukamachi, T.; Sakashita, M. TCCON Data from Saga (JP), Release GGG2014.R0. 2014. Available online: https://data.caltech.edu/records/n2823-2yt07 (accessed on 20 March 2024).
- Griffith, D.W.; Deutscher, N.M.; Velazco, V.A.; Wennberg, P.O.; Yavin, Y.; Keppel-Aleks, G.; Washenfelder, R.A.; Toon, G.C.; Blavier, J.F.; Paton-Walsh, C.; et al. TCCON Data from Darwin (AU), Release GGG2014.R0; National Aeronautics and Space Administration: Washington, DC, USA, 2014. [Google Scholar] [CrossRef]
- Griffith, D.W.; Velazco, V.A.; Deutscher, N.M.; Paton-Walsh, C.; Jones, N.B.; Wilson, S.R.; Macatangay, R.C.; Kettlewell, G.C.; Buchholz, R.R.; Riggenbach, M.O. TCCON Data from Wollongong (AU), Release GGG2014.R0; National Aeronautics and Space Administration: Washington, DC, USA, 2014. [Google Scholar] [CrossRef]
- Pollard, D.F.; Robinson, J.; Shiona, H. TCCON Data from Lauder (NZ), Release GGG2014.R0; National Institute of Water and Atmospheric Research: Auckland, New Zealand, 2019. [Google Scholar] [CrossRef]
- Sherlock, V.; Connor, B.; Robinson, J.; Shiona, H.; Smale, D.; Pollard, D.F. TCCON Data from Lauder (NZ), 125HR, Release GGG2014.R0; National Institute of Water and Atmospheric Research: Auckland, New Zealand, 2014. [Google Scholar] [CrossRef]
- Schneising, O.; Buchwitz, M.; Reuter, M.; Bovensmann, H.; Burrows, J.P.; Borsdorff, T.; Deutscher, N.M.; Feist, D.G.; Griffith, D.W.T.; Hase, F.; et al. A scientific algorithm to simultaneously retrieve carbon monoxide and methane from TROPOMI onboard Sentinel-5 Precursor. Atmos. Meas. Tech. 2019, 12, 6771–6802. [Google Scholar] [CrossRef]
- Ho, T.K. The random subspace method for constructing decision forests. IEEE Trans. Pattern Anal. 1998, 20, 832–844. [Google Scholar] [CrossRef]
- Breiman, L. Random Forests. Mach. Learn. 2001, 40, 5–32. [Google Scholar] [CrossRef]
- Pedregosa, F.; Varoquaux, G.; Gramfort, A.; Michel, V.; Thirion, B.; Grisel, O.; Blondel, M.; Prettenhofer, P.; Weiss, R.; Dubourg, V.; et al. Scikit-learn: Machine Learning in Python. J. Mach. Learn. Res. 2011, 12, 2825–2830. [Google Scholar]
- Borsdorff, T.; aan de Brugh, J.; Schneider, A.; Lorente, A.; Birk, M.; Wagner, G.; Kivi, R.; Hase, F.; Feist, D.G.; Sussmann, R.; et al. Improving the TROPOMI CO data product: Update of the spectroscopic database and destriping of single orbits. Atmos. Meas. Tech. 2019, 12, 5443–5455. [Google Scholar] [CrossRef]
- Schneider, A.; Borsdorff, T.; aan de Brugh, J.; Lorente, A.; Aemisegger, F.; Noone, D.; Henze, D.; Kivi, R.; Landgraf, J. Retrieving H2O/HDO columns over cloudy and clear-sky scenes from the Tropospheric Monitoring Instrument (TROPOMI). Atmos. Meas. Tech. 2022, 15, 2251–2275. [Google Scholar] [CrossRef]
- Butz, A.; Galli, A.; Hasekamp, O.; Landgraf, J.; Tol, P.; Aben, I. TROPOMI aboard Sentinel-5 Precursor: Prospective performance of CH4 retrievals for aerosol and cirrus loaded atmospheres. Remote Sens. Environ. 2012, 120, 267–276. [Google Scholar] [CrossRef]







| Site (Country) | Coordinates (lat., lon.; °) | Altitude (m.a.s.l) | Reference |
|---|---|---|---|
| Sodankyla (Finland) | 67.37, 26.63 | 190 | [26,27] |
| East Trout Lake (Canada) | 54.36, | 500 | [28] |
| Karlsruhe (Germany) | 49.1, 8.44 | 110 | [29] |
| Orleans (France) | 47.97, 2.11 | 130 | [30] |
| Park Falls (USA) | 45.94, | 440 | [31] |
| Lamont (USA) | 36.6, | 320 | [32] |
| Pasadena (USA) | 34.14, | 240 | [33] |
| Edwards (USA) | 34.95, | 30 | [34] |
| Saga (Japan) | 33.24, 130.29 | 10 | [35] |
| Darwin (Australia) | , 130.93 | 30 | [36] |
| Wollongong (Australia) | , 150.88 | 30 | [37] |
| Lauder (New Zealand) | , 169.68 | 370 | [38,39] |
Disclaimer/Publisher’s Note: The statements, opinions and data contained in all publications are solely those of the individual author(s) and contributor(s) and not of MDPI and/or the editor(s). MDPI and/or the editor(s) disclaim responsibility for any injury to people or property resulting from any ideas, methods, instructions or products referred to in the content. |
© 2024 by the authors. Licensee MDPI, Basel, Switzerland. This article is an open access article distributed under the terms and conditions of the Creative Commons Attribution (CC BY) license (https://creativecommons.org/licenses/by/4.0/).
Share and Cite
Borsdorff, T.; Martinez-Velarte, M.C.; Sneep, M.; ter Linden, M.; Landgraf, J. Random Forest Classifier for Cloud Clearing of the Operational TROPOMI XCH4 Product. Remote Sens. 2024, 16, 1208. https://doi.org/10.3390/rs16071208
Borsdorff T, Martinez-Velarte MC, Sneep M, ter Linden M, Landgraf J. Random Forest Classifier for Cloud Clearing of the Operational TROPOMI XCH4 Product. Remote Sensing. 2024; 16(7):1208. https://doi.org/10.3390/rs16071208
Chicago/Turabian StyleBorsdorff, Tobias, Mari C. Martinez-Velarte, Maarten Sneep, Mark ter Linden, and Jochen Landgraf. 2024. "Random Forest Classifier for Cloud Clearing of the Operational TROPOMI XCH4 Product" Remote Sensing 16, no. 7: 1208. https://doi.org/10.3390/rs16071208
APA StyleBorsdorff, T., Martinez-Velarte, M. C., Sneep, M., ter Linden, M., & Landgraf, J. (2024). Random Forest Classifier for Cloud Clearing of the Operational TROPOMI XCH4 Product. Remote Sensing, 16(7), 1208. https://doi.org/10.3390/rs16071208

