A No-Reference Quality Assessment Method for Hyperspectral Sharpened Images via Benford’s Law
Abstract
1. Introduction
- Three statistical features following the standard Benford’s law are discovered from HS images. The features are the FDDs of (1) the singular values of low-frequency coefficients from discrete wavelet transform (DWT), (2) the complementary values of the high-frequency correlation between HS bands and MS bands, and (3) the information preservation coefficients between HS bands and MS bands at different resolution scales.
- An effective NR evaluation method for HS sharpened images via Benford’s law is proposed. The proposed method extracts the three FDD features from the HS sharpened images, then computes the distance between the extracted FDD features and the standard FDD feature, and finally obtains the evaluation results.
- Comprehensive experiments are conducted to verify the proposed method. The band assignment algorithm is applied to the four NR evaluation metrics of multispectral sharpening, and these adapted metrics are used to evaluate the HS sharpened images. Furthermore, the experiments adopt four commonly used FR evaluation metrics, three HS datasets, and 10 fusion methods to verify the accuracy and robustness of the proposed method.
2. Related Works
2.1. Wald’s Protocol
2.2. FR Quality Assessment
2.3. NR Quality Assessment
2.4. Image Quality Assessment Based on Benford’s Law
3. Proposed Method
3.1. Standard Benford’s Law
3.2. Quality Perception Features
3.2.1. Low-Frequency FDD Feature
3.2.2. High-Frequency FDD Feature
- (1)
- The band assignment on the fused HS image and the HR-MS image is performed according to [59]. Suppose the original HS image of N bands and the HR-MS image of M bands are fused, the HS sharpened image will have N bands. After band assignment, M groups can be obtained so that each group contains one MS band and several corresponding HS bands. Then, the quality assessment of HS sharpened image can be treated as a combination of multiple pansharpening quality assessment cases.
- (2)
- For each group, the high-frequency components are extracted from the HS bands and the MS band, respectively. The extraction process of the high-frequency component of HS/MS band is as follows:
- (3)
- The high-frequency FDD feature, denoted as FDDhf is obtained by counting the number of the first digit of .
3.2.3. Q-Based FDD Feature
- (1)
- Similar to Section 3.2.2, the band assignment is performed to the HS sharpened image and the HR-MS image and M groups are obtained. In each group, there are one MS band and several HS bands.
- (2)
- For each group, the Q values between the MS and HS bands at different resolution scales are calculated. For a certain resolution scale, the Q values are calculated as [74]
- (3)
- The Q-based FDD feature, denoted as FDDQ, is obtained by counting the number of the first digit on the matrix.
3.3. Distance Measurement
4. Experiments
4.1. Datasets
- The Pavia University dataset was collected using German Reflective Optics Spectrographic Imaging System (ROSIS-03) sensors and recorded partial scenes of Pavia city, Italy. The dataset contains 103 available bands, covering a spectral range of 0.43–0.86 μm. The dimension is 610 × 340 pixels with a spatial resolution of 1.3 m.
- The Salinas dataset was captured using the AVIRIS sensor of NASA and recorded parts of the Salinas Valley in California. The dataset has 204 available bands and covers a spectral range of 0.4–2.5 μm. The spatial resolution of the HS images is 3.7 m with the dimension of 512 × 217 pixels.
- The Cuprite dataset was also collected using the AVIRIS sensor and recorded parts of the Cuprite area in Nevada. The original dataset contains 224 bands and the spectral range covers from 0.37–2.48 μm. The bad bands with low signal-to-noise are removed and 185 bands are retained for the experiment. The dimension of the HS images is 512 × 612 pixels with a spatial resolution of 20 m.
4.2. HS Sharpening Methods
- Classical pansharpening-based methods. Four methods, including PCA [17], GSA [18], GLP [19], and SFIM [20] have been selected. PCA and GSA are typical CS-based fusion methods, which are built on principal component transformation and Gram-Schmidt orthogonal transformation, respectively. They have been widely used in many practical applications. GLP and SFIM are representative MRA-based fusion methods, which improve the spatial resolution of LR images by injecting the spatial details obtained through spatial filtering. After the band assignment, these methods can be applied to fuse HS images, since HS sharpening can be seen as a multi pansharpening cases.
- MF-based methods. Two methods, MAP-SMM [24] and HySure [25], have been selected. MAP-SMM utilizes a stochastic mixing model to estimate the underlying spectral scene content and develops a cost function to optimize the estimated HS data relative to the input HS/MS images. HySure formulates the HS sharpening as the minimization of a convex objective function with respect to subspace coefficients.
- TR-based methods. Three methods, including LTMR [29], UTV [31], and IR-TenSR [32] have been selected. LTMR learns the spectral subspace from the LR-HS image via singular value decomposition, and then estimates the coefficients via the low tensor multi-rank prior. UTV utilizes the classical Tucker decomposition to decompose the target HR-HS image as a sparse core tensor multiplied by the dictionary matrices along with the three modes. Then it conducts proximal alternating optimization scheme and the alternating direction method of multipliers to iteratively solve the proposed model. IR-TenSR integrates the global spectral–spatial low-rank and the nonlocal self-similarity priors of HR-HS image. Then it uses an iterative regularization procedure and develops an algorithm based on the proximal alternating minimization method to solve the proposed model.
- Deep CNN-based method. CNN-Fus method [33] is selected for experiment. CNN-Fus learns the subspace from LR-HS image via singular value decomposition. Then it approximates the desired HR-HS image with the low-dimensional subspace multiplied by the coefficients. It uses the well-trained CNN designed for gray image denoising to regularize the estimation of coefficients.
4.3. Quality Assessment Metrics
4.4. Experiment Environment
4.5. Experimental Results and Analysis
4.5.1. Subjective Evaluation
4.5.2. FR and NR Evaluations
4.5.3. The Consistency between FR and NR Metrics
4.5.4. Analysis of the Sub-Index in NR Metrics
5. Discussion
5.1. The Distortions in HS Sharpening
5.2. The Accuracy of NR Quality Assessment
5.3. The Limitations
6. Conclusions
Author Contributions
Funding
Data Availability Statement
Conflicts of Interest
References
- Bai, L.; Dai, J.; Song, Y.; Liu, Z.; Chen, W.; Wang, N.; Wu, C. Predictive prospecting using remote sensing in a mountainous terrestrial volcanic area, in Western Bangongco–Nujiang Mineralization Belt, Tibet. Remote Sens. 2023, 15, 4851. [Google Scholar] [CrossRef]
- Zhou, Q.; Wang, S.; Guan, K. Advancing airborne hyperspectral data processing and applications for sustainable agriculture using RTM-based machine learning. In Proceedings of the IGARSS 2023–2023 IEEE International Geoscience and Remote Sensing Symposium, Pasadena, CA, USA, 16–21 July 2023. [Google Scholar]
- Li, H.; Zhou, B.; Xu, F. Variation analysis of spectral characteristics of reclamation vegetation in a rare earth mining area under environmental stress. IEEE Trans. Geosci. Remote Sens. 2022, 60, 4408412. [Google Scholar] [CrossRef]
- Zhang, Y.; Li, X.; Wei, B.; Li, L.; Yue, S. A Fast Hyperspectral Tracking Method via Channel Selection. Remote Sens. 2023, 15, 1557. [Google Scholar] [CrossRef]
- Xie, M.; Gu, M.; Zhang, C.; Hu, Y.; Yang, T.; Huang, P.; Li, H. Comparative study of the atmospheric gas composition detection capabilities of FY-3D/HIRAS-I and FY-3E/HIRAS-II based on information capacity. Remote Sens. 2023, 15, 4096. [Google Scholar] [CrossRef]
- Acito, N. Improved learning-based approach for atmospheric compensation of VNIR-SWIR hyperspectral data. IEEE Trans. Geosci. Remote Sens. 2022, 60, 5512715. [Google Scholar] [CrossRef]
- Wright, L.A.; Kindel, B.C.; Pilewskie, P.; Leisso, N.P.; Kampe, T.U.; Schmidt, K.S. Below-cloud atmospheric correction of airborne hyperspectral imagery using simultaneous solar spectral irradiance observations. IEEE Trans. Geosci. Remote Sens. 2021, 59, 1392–1409. [Google Scholar] [CrossRef]
- Li, Z.; Zhang, Y. Hyperspectral anomaly detection via image super-resolution processing and spatial correlation. IEEE Trans. Geosci. Remote Sens. 2021, 59, 2307–2320. [Google Scholar] [CrossRef]
- Liu, J.; Guan, R.; Li, Z.; Zhang, J.; Hu, Y.; Wang, X. Adaptive multi-feature fusion graph convolutional network for hyperspectral image classification. Remote Sens. 2023, 15, 5438. [Google Scholar] [CrossRef]
- Huang, Y.; Zhang, L.; Qi, W.; Huang, C.; Song, R. Contrastive self-supervised two-domain residual attention network with random augmentation pool for hyperspectral change detection. Remote Sens. 2023, 15, 3739. [Google Scholar] [CrossRef]
- Middleton, E.M.; Ungar, S.G.; Mandl, D.J.; Ong, L.; Frye, S.W.; Campbell, P.E.; Landis, D.R.; Young, J.P.; Pollack, N.H. The earth observing one (EO-1) satellite mission: Over a decade in space. IEEE J. Sel. Top. Appl. Earth Obs. Remote Sens. 2013, 6, 243–256. [Google Scholar] [CrossRef]
- Green, R.O.; Schaepman, M.E.; Mouroulis, P.; Geier, S.; Shaw, L.; Hueini, A.; Bernas, M.; McKinley, I.; Smith, C.; Wehbe, R.; et al. Airborne visible/infrared imaging spectrometer 3 (AVIRIS-3). In Proceedings of the 2022 IEEE Aerospace Conference (AERO), Big Sky, MT, USA, 5–12 March 2022. [Google Scholar]
- Yamamoto, S.; Tsuchida, S.; Urai, M.; Mizuochi, H.; Iwao, K.; Iwasaki, A. Initial analysis of spectral smile calibration of hyperspectral imager suite (HISUI) using atmospheric absorption bands. IEEE Trans. Geosci. Remote Sens. 2022, 60, 5534215. [Google Scholar] [CrossRef]
- Loizzo, R.; Guarini, R.; Longo, F.; Scopa, T.; Formaro, R.; Facchinetti, C.; Varacalli, G. Prisma: The italian hyperspectral mission. In Proceedings of the IGARSS 2018–2018 IEEE International Geoscience and Remote Sensing Symposium, Valencia, Spain, 22–27 July 2018. [Google Scholar]
- Restaino, R.; Vivone, G.; Addesso, P.; Chanussot, J. Hyperspectral sharpening approaches using satellite multiplatform data. IEEE Trans. Geosci. Remote Sens. 2021, 59, 578–596. [Google Scholar] [CrossRef]
- Haydn, R.; Dalke, G.W.; Henkel, J.; Bare, J.E. Application of the IHS color transform to the processing of multisensor data and image enhancement. In Proceedings of the International Symposium on Remote Sensing of Environment, First Thematic Conference: Remote Sensing of Arid and Semi-Arid Lands, Cairo, Egypt, 19–25 January 1982. [Google Scholar]
- Chavez, P.S.; Sides, S.C., Jr.; Anderson, J.A. Comparison of three different methods to merge multiresolution and multispectral data: Landsat TM and SPOT panchromatic. Photogramm. Eng. Remote Sens. 1991, 57, 295–303. [Google Scholar]
- Aiazzi, B.; Baronti, S.; Selva, M. Improving component substitution pansharpening through multivariate regression of MS + Pan data. IEEE Trans. Geosci. Remote Sens. 2007, 45, 3230–3239. [Google Scholar] [CrossRef]
- Aiazzi, B.; Alparone, L.; Baronti, S.; Garzelli, A.; Selva, M. MTF-tailored multiscale fusion of high-resolution MS and Pan imagery. Photogramm. Eng. Remote Sens. 2006, 72, 591–596. [Google Scholar] [CrossRef]
- Liu, J.G. Smoothing filter-based intensity modulation: A spectral preserve image fusion technique for improving spatial details. Int. J. Remote Sens. 2000, 21, 3461–3472. [Google Scholar] [CrossRef]
- Kawakami, R.; Matsushita, Y.; Wright, J.; Ben-Ezra, M.; Tai, Y.-W.; Ikeuchi, K. High-resolution hyperspectral imaging via matrix factorization. In Proceedings of the CVPR 2011, Colorado Springs, CO, USA, 20–25 June 2011. [Google Scholar]
- Wei, Q.; Dobigeon, N.; Tourneret, J.-Y. Fast fusion of multiband images based on solving a sylvester equation. IEEE Trans. Image Process. 2015, 24, 4109–4121. [Google Scholar] [CrossRef]
- Dong, W.; Fu, F.; Shi, G.; Cao, X.; Wu, J.; Li, G.; Li, X. Hyperspectral image superresolution via non-negative structured sparse representation. IEEE Trans. Image Process. 2016, 25, 2337–2352. [Google Scholar] [CrossRef]
- Eismann, M.T. Resolution Enhancement of Hyperspectral Imagery Using Maximum a Posteriori Estimation with a Stochastic Mixing Model. Ph.D. Dissertation, Department of Electrical and Computer Engineering, University of Dayton, Dayton, OH, USA, May 2004. [Google Scholar]
- Simões, M.; Dias, J.B.; Almeida, L.; Chanussot, J. A Convex formulation for hyperspectral image superresolution via subspace-based regularization. IEEE Trans. Geosci. Remote Sens. 2015, 53, 3373–3388. [Google Scholar] [CrossRef]
- Yokoya, N.; Yairi, T.; Iwasaki, A. Coupled non-negative matrix factorization unmixing for hyperspectral and multispectral data fusion. IEEE Trans. Geosci. Remote Sens. 2012, 50, 528–537. [Google Scholar] [CrossRef]
- Li, S.; Dian, R.; Fang, L.; Bioucas-Dias, J.M. Fusing hyperspectral and multispectral images via coupled sparse tensor factorization. IEEE Trans. Image Process. 2018, 27, 4118–4130. [Google Scholar] [CrossRef]
- Xu, Y.; Wu, Z.; Chanussot, J.; Comon, P.; Wei, Z. Nonlocal coupled tensor CP decomposition for hyperspectral and multispectral image fusion. IEEE Trans. Geosci. Remote Sens. 2020, 58, 348–362. [Google Scholar] [CrossRef]
- Dian, R.; Li, S. Hyperspectral image super-resolution via subspace-based low tensor multi-rank regularization. IEEE Trans. Image Process. 2019, 28, 5135–5146. [Google Scholar] [CrossRef]
- Dian, R.; Li, S.; Fang, L. Learning a low tensor-train rank representation for hyperspectral image super-resolution. IEEE Trans. Neural Netw. Learn. Syst. 2019, 30, 2672–2683. [Google Scholar] [CrossRef]
- Xu, T.; Huang, T.; Deng, L.; Zhao, X.; Huang, J. Hyperspectral image superresolution using unidirectional total variation with Tucker decomposition. IEEE J. Sel. Top. Appl. Earth Obs. Remote Sens. 2020, 13, 4381–4398. [Google Scholar] [CrossRef]
- Xu, T.; Huang, T.; Deng, L.; Yokoya, N. An iterative regularization method based on tensor subspace representation for hyperspectral image super-resolution. IEEE Trans. Geosci. Remote Sens. 2022, 60, 5529316. [Google Scholar] [CrossRef]
- Dian, R.; Li, S.; Kang, X. Regularizing hyperspectral and multispectral image fusion by CNN denoiser. IEEE Trans. Neural Netw. Learn. Syst. 2021, 32, 1124–1135. [Google Scholar] [CrossRef]
- Liu, X.; Liu, Q.; Wang, Y. Remote sensing image fusion based on two-stream fusion network. Inf. Fusion 2020, 55, 1–15. [Google Scholar] [CrossRef]
- Hu, J.-F.; Huang, T.-Z.; Deng, L.-J.; Jiang, T.-X.; Vivone, G.; Chanussot, J. Hyperspectral image super-resolution via deep spatiospectral attention convolutional neural networks. IEEE Trans. Neural Netw. Learn. Syst. 2021, 33, 7251–7265. [Google Scholar] [CrossRef]
- Zhang, X.; Huang, W.; Wang, Q.; Li, X. SSR-NET: Spatial–spectral reconstruction network for hyperspectral and multispectral image fusion. IEEE Trans. Geosci. Remote Sens. 2021, 59, 5953–5965. [Google Scholar] [CrossRef]
- Vivone, G. Multispectral and hyperspectral image fusion in remote sensing: A survey. Inf. Fusion 2023, 89, 405–417. [Google Scholar] [CrossRef]
- Yokoya, N.; Grohnfeldt, C.; Chanussot, J. Hyperspectral and multispectral data fusion: A comparative review of the recent literature. IEEE Geosci. Remote Sens. Mag. 2017, 5, 29–56. [Google Scholar] [CrossRef]
- Kruse, F.A.; Lefkoff, A.B.; Boardman, J.W.; Heidebrecht, K.B.; Shapiro, A.T.; Barloon, J.P.; Goetz, A.F.H. The spectral image processing system (SIPS): Interactive visualization and analysis of imaging spectrometer data. Remote Sens. Environ. 1993, 44, 145–163. [Google Scholar] [CrossRef]
- Wald, L. Quality of high resolution synthesised images: Is there a simple criterion? In Proceedings of the Third Conference “Fusion Earth Data: Merging Point Measurements, Raster Maps and Remotely Sensed Images”, Sophia Antipolis, France, 26–28 January 2000. [Google Scholar]
- Wang, Z.; Bovik, A.C.; Sheikh, H.R.; Simoncelli, E.P. Image quality assessment: From error visibility to structural similarity. IEEE Trans. Image Process. 2004, 13, 600–612. [Google Scholar] [CrossRef]
- Garzelli, A.; Nencini, F. Hypercomplex quality assessment of multi/hyperspectral images. IEEE Geosci. Remote Sens. Lett. 2009, 6, 662–665. [Google Scholar] [CrossRef]
- Alparone, L.; Aiazzi, B.; Baronti, S.; Garzella, A.; Nencini, F.; Selva, M. Multispectral and panchromatic data fusion assessment without reference. Photogramm. Eng. Remote Sens. 2008, 74, 193–200. [Google Scholar] [CrossRef]
- Khan, M.M.; Alparone, L.; Chanussot, J. Pansharpening quality assessment using the modulation transfer functions of instruments. IEEE Trans. Geosci. Remote Sens. 2009, 47, 3880–3891. [Google Scholar] [CrossRef]
- Alparone, L.; Garzelli, A.; Vivone, G. Spatial consistency for full-scale assessment of pansharpening. In Proceedings of the IGARSS 2018–2018 IEEE International Geoscience and Remote Sensing Symposium, Valencia, Spain, 22–27 July 2018. [Google Scholar]
- Aiazzi, B.; Alparone, L.; Baronti, S.; Carlà, R.; Garzelli, A.; Santurri, L. Full scale assessment of pansharpening methods and data products. In Proceedings of the Image and Signal Processing for Remote Sensing XX, Amsterdam, The Netherlands, 22–25 September 2014. [Google Scholar]
- Kwan, C.; Budavari, B.; Bovik, A.C.; Marchisio, G. Blind quality assessment of pansharpened Worldview-3 images by using the combinations of pansharpening and hypersharpening paradigms. IEEE Geosci. Remote Sens. Lett. 2017, 14, 1835–1839. [Google Scholar] [CrossRef]
- Meng, X.; Bao, K.; Shu, J.; Zhou, B.; Shao, F.; Sun, W.; Li, S. A blind full-resolution quality evaluation method for pansharpening. IEEE Trans. Geosci. Remote Sens. 2022, 60, 5401916. [Google Scholar] [CrossRef]
- Bao, K.; Meng, X.; Chai, X.; Shao, F. A blind full resolution assessment method for pansharpened images based on multistream collaborative learning. IEEE Trans. Geosci. Remote Sens. 2022, 60, 5410311. [Google Scholar] [CrossRef]
- Wu, J.; Li, X.; Wei, B.; Li, L. A no-reference spectral quality assessment method for multispectral pansharpening. In Proceedings of the IGARSS 2023–2023 IEEE International Geoscience and Remote Sensing Symposium, Pasadena, CA, USA, 16–21 July 2023. [Google Scholar]
- Wald, L.; Ranchin, T.; Mangolini, M. Fusion of satellite images of different spatial resolutions: Assessing the quality of resulting images. Photogramm. Eng. Remote Sens. 1997, 63, 691–699. [Google Scholar]
- Ranchin, T.; Aiazzi, B.; Alparone, L.; Baronti, S.; Wald, L. Image fusion—The ARSIS concept and some successful implementation schemes. Isprs J. Photogramm. Remote Sens. 2003, 58, 4–18. [Google Scholar] [CrossRef]
- Thomas, C.; Ranchin, T.; Wald, L.; Chanussot, J. Synthesis of multispectral images to high spatial resolution: A critical review of fusion methods based on remote sensing physics. IEEE Trans. Geosci. Remote Sens. 2008, 46, 1301–1312. [Google Scholar] [CrossRef]
- Palsson, F.; Sveinsson, J.R.; Ulfarsson, M.O.; Benediktsson, J.A. Quantitative quality evaluation of pansharpened imagery: Consistency versus synthesis. IEEE Trans. Geosci. Remote Sens. 2016, 54, 1247–1259. [Google Scholar] [CrossRef]
- Dian, R.; Li, S.; Sun, B.; Guo, A. Recent advances and new guidelines on hyperspectral and multispectral image fusion. Inf. Fusion 2021, 69, 40–51. [Google Scholar] [CrossRef]
- Carlà, R.; Santurri, L.; Aiazzi, B.; Baronti, S. Full-scale assessment of pansharpening through polynomial fitting of multiscale measurements. IEEE Trans. Geosci. Remote Sens. 2015, 53, 6344–6355. [Google Scholar] [CrossRef]
- Vivone, G.; Restaino, R.; Chanussot, J. A bayesian procedure for full resolution quality assessment of pansharpened products. IEEE Trans. Geosci. Remote Sens. 2018, 56, 4820–4834. [Google Scholar] [CrossRef]
- Marcello, J.; Ibarrola-Ulzurrun, E.; Gonzalo-Martín, C.; Chanussot, J.; Vivone, G. Assessment of hyperspectral sharpening methods for the monitoring of natural areas using multiplatform remote sensing imagery. IEEE Trans. Geosci. Remote Sens. 2019, 57, 8208–8222. [Google Scholar] [CrossRef]
- Picone, D.; Restaino, R.; Vivone, G.; Addesso, P.; Dalla Mura, M.; Chanussot, J. Band assignment approaches for hyperspectral sharpening. IEEE Geosci. Remote Sens. Lett. 2017, 14, 739–743. [Google Scholar] [CrossRef]
- Kawulok, M.; Kowaleczko, P.; Ziaja, M.; Nalepa, J.; Kostrzewa, D.; Latini, D.; Santis, D.; Salvucci, G.; Petracca, I.; Pegna, V.; et al. Understanding the Value of Hyperspectral Image Super-Resolution from Prisma Data. In Proceedings of the IGARSS 2023–2023 IEEE International Geoscience and Remote Sensing Symposium, Pasadena, CA, USA, 16–21 July 2023. [Google Scholar]
- Newcomb, S. Note on the frequency of use of the different digits in natural numbers. Am. J. Math. 1881, 4, 39–40. [Google Scholar] [CrossRef]
- Benford, F. The law of anomalous numbers. Proc. Am. Philos. Soc. 1938, 78, 551–572. [Google Scholar]
- Luque, B.; Lacasa, L. The first-digit frequencies of prime numbers and Riemann zeta zeros. Proc. R. Soc. 2009, 465, 2197–2216. [Google Scholar] [CrossRef]
- Burke, J.; Kincanon, E. Benford’s law and physical constants: The distribution of initial digits. Am. J. Phys. 1991, 59, 952. [Google Scholar] [CrossRef]
- Leemis, L.M.; Schmeiser, B.W.; Evans, D.L. Survival distributions satisfying Benford’s law. Am. Stat. 2000, 54, 236–241. [Google Scholar] [CrossRef]
- Brown, R.J.C. Benford’s law and the screening of analytical data: The case of pollutant concentrations in ambient air. Analyst 2005, 130, 1280–1285. [Google Scholar] [CrossRef] [PubMed]
- Wang, L.; Ma, B.-Q. A concise proof of Benford’s law. Fundam. Res. 2023; in press. [Google Scholar] [CrossRef]
- Ou, F.-Z.; Wang, Y.-G.; Zhu, G. A novel blind image quality assessment method based on refined natural scene statistics. In Proceedings of the 2019 IEEE International Conference on Image Processing (ICIP), Taipei, Taiwan, 22–25 September 2019. [Google Scholar]
- Al-Bandawi, H.; Deng, G. Classification of image distortion based on the generalized Benford’s law. Multimed. Tools Appl. 2019, 78, 25611–25628. [Google Scholar] [CrossRef]
- Varga, D. No-Reference Image quality assessment based on the fusion of statistical and perceptual features. J. Imaging 2020, 6, 75. [Google Scholar] [CrossRef] [PubMed]
- Varga, D. Analysis of Benford’s law for no-reference quality assessment of natural, screen-content, and synthetic images. Electronics 2021, 10, 2378. [Google Scholar] [CrossRef]
- Fu, D.; Su, W. A generalized Benford’s law for JPEG coefficients and its applications in image forensics. In Proceedings of the Security, Steganography, and Watermarking of Multimedia Contents IX, San Jose, CA, USA, 28 January–1 February 2007; Volume 6505, pp. 1–11. [Google Scholar]
- Zhang, X.; Deng, C.; Han, Y. The image space of Meyer wavelet transform. In Proceedings of the 2013 2nd International Conference on Measurement, Information and Control, Harbin, China, 16–18 August 2013. [Google Scholar]
- Wang, Z.; Bovik, A.C. A universal image quality index. IEEE Signal Process. Lett. 2002, 9, 81–84. [Google Scholar] [CrossRef]




















| P(1) | P(2) | P(3) | P(4) | P(5) | P(6) | P(7) | P(8) | P(9) | sKL | |
|---|---|---|---|---|---|---|---|---|---|---|
| Pavia University | 0.2969 | 0.1784 | 0.1262 | 0.0968 | 0.0791 | 0.0708 | 0.0569 | 0.0490 | 0.0460 | 3.1 × 10−4 |
| Salinas | 0.3021 | 0.1699 | 0.1218 | 0.0975 | 0.0829 | 0.0681 | 0.0600 | 0.0517 | 0.0460 | 4.2 × 10−4 |
| Cuprite | 0.3004 | 0.1687 | 0.1294 | 0.0980 | 0.0800 | 0.0686 | 0.0578 | 0.0525 | 0.0446 | 4.4 × 10−4 |
| 0.3010 | 0.1761 | 0.1249 | 0.0969 | 0.0792 | 0.0669 | 0.0580 | 0.0512 | 0.0459 | 0 |
| P(1) | P(2) | P(3) | P(4) | P(5) | P(6) | P(7) | P(8) | P(9) | sKL | |
|---|---|---|---|---|---|---|---|---|---|---|
| Reference | 0.2969 | 0.1784 | 0.1262 | 0.0968 | 0.0791 | 0.0708 | 0.0569 | 0.0490 | 0.0460 | 3.1 × 10−4 |
| IR-TenSR [32] | 0.3025 | 0.1809 | 0.1270 | 0.0932 | 0.0788 | 0.0650 | 0.0568 | 0.0504 | 0.0453 | 3.0 × 10−4 |
| UTV [31] | 0.2911 | 0.1841 | 0.1318 | 0.0965 | 0.0818 | 0.0675 | 0.0522 | 0.0507 | 0.0444 | 1.3 × 10−3 |
| SFIM [20] | 0.2893 | 0.1661 | 0.1284 | 0.1005 | 0.0822 | 0.0730 | 0.0632 | 0.0508 | 0.0466 | 1.7 × 10−3 |
| MAP-SMM [24] | 0.2817 | 0.1641 | 0.1286 | 0.1066 | 0.0809 | 0.0744 | 0.0631 | 0.0534 | 0.0472 | 3.3 × 10−3 |
| EXP | 0.3336 | 0.2179 | 0.1234 | 0.0822 | 0.0624 | 0.0469 | 0.0460 | 0.0447 | 0.0428 | 2.1 × 10−2 |
| 0.3010 | 0.1761 | 0.1249 | 0.0969 | 0.0792 | 0.0669 | 0.0580 | 0.0512 | 0.0459 | 0 |
| P(1) | P(2) | P(3) | P(4) | P(5) | P(6) | P(7) | P(8) | P(9) | sKL | |
|---|---|---|---|---|---|---|---|---|---|---|
| Pavia University | 0.3004 | 0.1824 | 0.1264 | 0.0945 | 0.0761 | 0.0677 | 0.0582 | 0.0506 | 0.0438 | 3.7 × 10−4 |
| Salinas | 0.2944 | 0.1710 | 0.1217 | 0.0971 | 0.0802 | 0.0709 | 0.0621 | 0.0550 | 0.0476 | 9.0 × 10−4 |
| Cuprite | 0.3004 | 0.1879 | 0.1314 | 0.0969 | 0.0764 | 0.0632 | 0.0538 | 0.0475 | 0.0426 | 1.6 × 10−3 |
| 0.3010 | 0.1761 | 0.1249 | 0.0969 | 0.0792 | 0.0669 | 0.0580 | 0.0512 | 0.0459 | 0 |
| P(1) | P(2) | P(3) | P(4) | P(5) | P(6) | P(7) | P(8) | P(9) | sKL | |
|---|---|---|---|---|---|---|---|---|---|---|
| Reference | 0.3004 | 0.1824 | 0.1264 | 0.0945 | 0.0761 | 0.0677 | 0.0582 | 0.0506 | 0.0438 | 3.7 × 10−4 |
| IR-TenSR [32] | 0.3062 | 0.1705 | 0.1274 | 0.0993 | 0.0817 | 0.0659 | 0.0572 | 0.0488 | 0.0430 | 5.6 × 10−4 |
| UTV [31] | 0.2864 | 0.2149 | 0.1439 | 0.1035 | 0.0778 | 0.0561 | 0.0457 | 0.0379 | 0.0339 | 1.7 × 10−2 |
| SFIM [20] | 0.3806 | 0.1754 | 0.0885 | 0.0649 | 0.0606 | 0.0575 | 0.0591 | 0.0588 | 0.0547 | 3.8 × 10−2 |
| MAP-SMM [24] | 0.3905 | 0.2671 | 0.1279 | 0.0517 | 0.0315 | 0.0313 | 0.0314 | 0.0335 | 0.0351 | 1.3 × 10−1 |
| EXP | 0.1457 | 0.0041 | 0.0099 | 0.0357 | 0.0660 | 0.1236 | 0.2201 | 0.2334 | 0.1614 | 1.28 |
| 0.3010 | 0.1761 | 0.1249 | 0.0969 | 0.0792 | 0.0669 | 0.0580 | 0.0512 | 0.0459 | 0 |
| P(1) | P(2) | P(3) | P(4) | P(5) | P(6) | P(7) | P(8) | P(9) | sKL | |
|---|---|---|---|---|---|---|---|---|---|---|
| Ratio of 2 | 0.2954 | 0.1834 | 0.1307 | 0.1010 | 0.0774 | 0.0626 | 0.0573 | 0.0477 | 0.0445 | 1.0 × 10−3 |
| Ratio of 4 | 0.2902 | 0.1863 | 0.1369 | 0.0980 | 0.0800 | 0.0634 | 0.0558 | 0.0465 | 0.0428 | 2.2 × 10−3 |
| Ratio of 6 | 0.2921 | 0.1855 | 0.1255 | 0.1033 | 0.0804 | 0.0649 | 0.0553 | 0.0499 | 0.0431 | 1.1 × 10−3 |
| Ratio of 8 | 0.2924 | 0.1907 | 0.1401 | 0.0998 | 0.0751 | 0.0627 | 0.0526 | 0.0453 | 0.0413 | 3.9 × 10−3 |
| Ratio of 10 | 0.2933 | 0.1856 | 0.1276 | 0.0989 | 0.0830 | 0.0628 | 0.0577 | 0.0483 | 0.0428 | 1.2 × 10−3 |
| 0.3010 | 0.1761 | 0.1249 | 0.0969 | 0.0792 | 0.0669 | 0.0580 | 0.0512 | 0.0459 | 0 |
| P(1) | P(2) | P(3) | P(4) | P(5) | P(6) | P(7) | P(8) | P(9) | sKL | |
|---|---|---|---|---|---|---|---|---|---|---|
| Reference | 0.2902 | 0.1863 | 0.1369 | 0.0980 | 0.0800 | 0.0634 | 0.0558 | 0.0465 | 0.0428 | 2.2 × 10−3 |
| IR-TenSR [32] | 0.3056 | 0.1891 | 0.1294 | 0.0975 | 0.0737 | 0.0633 | 0.0516 | 0.0456 | 0.0442 | 2.3 × 10−3 |
| UTV [31] | 0.2987 | 0.1573 | 0.1111 | 0.0989 | 0.0900 | 0.0756 | 0.0643 | 0.0552 | 0.0490 | 5.4 × 10−3 |
| SFIM [20] | 0.3286 | 0.0640 | 0.0693 | 0.0778 | 0.0888 | 0.0992 | 0.1009 | 0.0959 | 0.0755 | 1.7 × 10−1 |
| MAP-SMM [24] | 0.5293 | 0.1012 | 0.0340 | 0.0353 | 0.0429 | 0.0490 | 0.0570 | 0.0701 | 0.0813 | 2.9 × 10−1 |
| EXP | 0.1105 | 0.2286 | 0.2546 | 0.1802 | 0.1061 | 0.0629 | 0.0342 | 0.0160 | 0.0069 | 3.5 × 10−1 |
| 0.3010 | 0.1761 | 0.1249 | 0.0969 | 0.0792 | 0.0669 | 0.0580 | 0.0512 | 0.0459 | 0 |
| FR | NR | ||||||||
|---|---|---|---|---|---|---|---|---|---|
| PSNR | SAM | ERGAS | Q2n | Proposed | QNR | FQNR | RQNR | MQNR | |
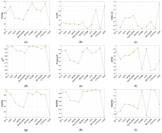
| PCA [17] | 32.7516 | 4.8990 | 3.6755 | 0.9384 | 0.9052 | 0.9539 | 0.8868 | 0.9402 | 11.2499 |
| GSA [18] | 36.6391 | 3.8547 | 2.5563 | 0.9644 | 0.9761 | 0.9514 | 0.8852 | 0.9654 | 12.4637 |
| GLP [19] | 30.1203 | 4.8156 | 5.0499 | 0.9122 | 0.8026 | 0.9152 | 0.6900 | 0.8384 | 10.7750 |
| SFIM [20] | 29.6753 | 4.5224 | 5.3376 | 0.9057 | 0.7962 | 0.9094 | 0.5469 | 0.8228 | 9.6054 |
| MAP-SMM [24] | 28.4848 | 5.4159 | 6.0371 | 0.8685 | 0.6682 | 0.8739 | 0.4478 | 0.7805 | 11.5903 |
| HySure [25] | 34.5272 | 4.9741 | 3.1551 | 0.9609 | 0.9609 | 0.9543 | 0.8813 | 0.9652 | 13.6281 |
| LTMR [29] | 41.5977 | 3.3518 | 1.9020 | 0.9794 | 0.9756 | 0.9590 | 0.9527 | 0.9980 | 14.6542 |
| UTV [31] | 37.1334 | 4.7330 | 2.8079 | 0.9553 | 0.9213 | 0.9007 | 0.8468 | 0.9908 | 16.5310 |
| IR-TenSR [32] | 40.4947 | 3.4947 | 2.0962 | 0.9764 | 0.9708 | 0.9335 | 0.9293 | 0.9981 | 17.2970 |
| CNN-Fus [33] | 38.2684 | 5.3699 | 2.9606 | 0.9392 | 0.9346 | 0.8615 | 0.9014 | 0.9980 | 29.7144 |
| EXP | 24.5021 | 7.4930 | 9.5317 | 0.6217 | 0.4117 | 0.6290 | 0.1470 | 0.4851 | 8.9306 |
| FR | NR | ||||||||
|---|---|---|---|---|---|---|---|---|---|
| PSNR | SAM | ERGAS | Q2n | Proposed | QNR | FQNR | RQNR | MQNR | |
| PCA [17] | 41.0053 | 1.1651 | 1.4423 | 0.9561 | 0.9704 | 0.7855 | 0.8986 | 0.9359 | 5.6958 |
| GSA [18] | 42.0334 | 0.9958 | 1.4939 | 0.9513 | 0.9724 | 0.7284 | 0.8831 | 0.9457 | 6.0773 |
| GLP [19] | 33.8706 | 1.6669 | 2.2878 | 0.8407 | 0.8921 | 0.7577 | 0.6338 | 0.8855 | 4.4391 |
| SFIM [20] | 33.5175 | 1.5912 | 2.3925 | 0.8478 | 0.8725 | 0.7456 | 0.5518 | 0.8856 | 4.0835 |
| MAP-SMM [24] | 32.2169 | 1.9270 | 2.7237 | 0.7988 | 0.8030 | 0.7662 | 0.4740 | 0.8559 | 5.0511 |
| HySure [25] | 39.8855 | 0.9986 | 1.6597 | 0.9301 | 0.9726 | 0.7885 | 0.8687 | 0.9310 | 5.1651 |
| LTMR [29] | 50.3966 | 0.4058 | 1.3581 | 0.9738 | 0.9817 | 0.7889 | 0.9406 | 0.9685 | 5.7486 |
| UTV [31] | 45.7645 | 0.5914 | 1.3272 | 0.9570 | 0.9487 | 0.8037 | 0.9279 | 0.9660 | 4.9139 |
| IR-TenSR [32] | 42.5068 | 1.1308 | 1.7279 | 0.9030 | 0.9160 | 0.4030 | 0.8712 | 0.9745 | 5.4985 |
| CNN-Fus [33] | 50.4034 | 0.4055 | 1.3569 | 0.9739 | 0.9820 | 0.7888 | 0.9402 | 0.9683 | 5.7423 |
| EXP | 29.5208 | 2.2622 | 3.5258 | 0.6552 | 0.6636 | 0.7062 | 0.2314 | 0.7413 | 4.3056 |
| FR | NR | ||||||||
|---|---|---|---|---|---|---|---|---|---|
| PSNR | SAM | ERGAS | Q2n | Proposed | QNR | FQNR | RQNR | MQNR | |
| PCA [17] | 39.5539 | 0.6362 | 0.4708 | 0.9752 | 0.8605 | 0.8484 | 0.9409 | 0.9643 | 3.5417 |
| GSA [18] | 45.2870 | 0.6361 | 0.3104 | 0.9867 | 0.8759 | 0.6106 | 0.8305 | 0.9714 | 4.0883 |
| GLP [19] | 35.0414 | 0.6187 | 0.7746 | 0.9255 | 0.6276 | 0.7136 | 0.5303 | 0.8599 | 5.1500 |
| SFIM [20] | 34.8900 | 0.6224 | 0.7880 | 0.9244 | 0.6071 | 0.7172 | 0.4070 | 0.8604 | 5.0715 |
| MAP-SMM [24] | 33.6162 | 0.6049 | 0.9124 | 0.8910 | 0.5451 | 0.8188 | 0.3665 | 0.8395 | 4.8478 |
| HySure [25] | 42.2074 | 0.6558 | 0.3708 | 0.9833 | 0.8428 | 0.9299 | 0.8761 | 0.9745 | 4.4016 |
| LTMR [29] | 48.5105 | 0.5219 | 0.2667 | 0.9898 | 0.9401 | 0.3162 | 0.8196 | 0.9794 | 7.4048 |
| UTV [31] | 42.6072 | 0.6022 | 0.3548 | 0.9794 | 0.807 | 0.9167 | 0.9207 | 0.9876 | 3.3382 |
| IR-TenSR [32] | 41.3697 | 0.9291 | 0.5971 | 0.9496 | 0.8385 | 0.2819 | 0.8205 | 0.9985 | 7.4925 |
| CNN-Fus [33] | 48.5053 | 0.5220 | 0.2668 | 0.9897 | 0.9400 | 0.3150 | 0.8199 | 0.9796 | 7.4009 |
| EXP | 29.2470 | 1.0039 | 1.5053 | 0.6427 | 0.3065 | 0.5774 | 0.0893 | 0.6508 | 5.0503 |
| Pavia University | Salinas | Cuprite | |||||||
|---|---|---|---|---|---|---|---|---|---|
| PLCC | SROCC | KROCC | PLCC | SROCC | KROCC | PLCC | SROCC | KROCC | |
| Proposed | 0.9622 | 0.9515 | 0.8909 | 0.9846 | 0.8667 | 0.7455 | 0.9031 | 0.9394 | 0.8909 |
| QNR | 0.9569 | 0.6121 | 0.5636 | 0.1506 | 0.6000 | 0.4545 | 0.0054 | −0.5273 | −0.0545 |
| FQNR | 0.9204 | 0.8182 | 0.7818 | 0.9787 | 0.9636 | 0.8909 | 0.8671 | 0.4424 | 0.3818 |
| RQNR | 0.9685 | 0.8363 | 0.7707 | 0.9618 | 0.7212 | 0.7091 | 0.9467 | 0.5879 | 0.5273 |
| MQNR | 0.3784 | −0.1303 | 0.5273 | 0.7211 | −1.2121 | 0.4909 | 0.0604 | −0.4061 | 0.0909 |
| Pavia University | Salinas | Cuprite | |||||||
|---|---|---|---|---|---|---|---|---|---|
| PLCC | SROCC | KROCC | PLCC | SROCC | KROCC | PLCC | SROCC | KROCC | |
| Proposed | 0.8466 | 0.5879 | 0.4909 | 0.8760 | 0.8788 | 0.7818 | 0.5489 | 0.1879 | 0.3455 |
| QNR | 0.8761 | 0.5030 | 0.4545 | 0.1570 | 0.4910 | 0.4180 | 0.1748 | −0.3939 | −0.0182 |
| FQNR | 0.7908 | 0.4788 | 0.4545 | 0.9292 | 0.8909 | 0.7818 | 0.4474 | −0.3697 | −0.0182 |
| RQNR | 0.8165 | 0.4606 | 0.4404 | 0.8948 | 0.7818 | 0.7455 | 0.5197 | −0.0060 | 0.0545 |
| MQNR | 0.1430 | −0.7576 | −0.2000 | 0.6778 | −1.2485 | −0.4771 | 0.0662 | −0.5030 | −0.1273 |
| Pavia University | Salinas | Cuprite | |||||||
|---|---|---|---|---|---|---|---|---|---|
| PLCC | SROCC | KROCC | PLCC | SROCC | KROCC | PLCC | SROCC | KROCC | |
| Proposed | 0.8745 | 0.8182 | 0.7818 | 0.8071 | 0.7818 | 0.7091 | 0.9435 | 0.8909 | 0.8182 |
| QNR | 0.6336 | 0.2970 | 0.3818 | 0.0701 | 0.0382 | 0.0346 | −0.4017 | −0.6364 | −0.1273 |
| FQNR | 0.8972 | 0.8909 | 0.8182 | 0.8949 | 0.9394 | 0.8545 | 0.8399 | 0.4061 | 0.3818 |
| RQNR | 0.8833 | 0.9818 | 0.9542 | 0.8581 | 0.9030 | 0.8182 | 0.8591 | 0.6970 | 0.6000 |
| MQNR | 0.6192 | −1.4970 | −0.7091 | 0.7419 | −1.2485 | −0.5505 | 0.3517 | −0.4788 | −0.0909 |
| Sub-Index | PSNR | SAM | ERGAS | Q2n | |
|---|---|---|---|---|---|
| spatial | 0.8909 | 0.6727 | 0.9636 | 1.0000 | |
| 0.9515 | 0.4545 | 0.9030 | 0.8788 | ||
| 0.7212 | 0.5273 | 0.7697 | 0.8061 | ||
| 0.4909 | 0.1273 | 0.5152 | 0.6364 | ||
| spectral | −1.5758 | −0.8970 | −1.4788 | −1.3697 | |
| 0.9576 | 0.4242 | 0.8606 | 0.8121 | ||
| −1.4424 | −0.8364 | −1.3212 | −1.1394 | ||
| FDDlf | 0.7333 | 0.0909 | 0.6121 | 0.6606 | |
| FDDhf | 0.5394 | 0.6970 | 0.6606 | 0.7939 | |
| FDDQ | 0.8061 | 0.6364 | 0.9273 | 0.9636 | |
| FDDlf + FDDhf | 0.7758 | 0.5333 | 0.8242 | 0.9091 | |
| FDDlf + FDDQ | 0.8061 | 0.6364 | 0.9273 | 0.9636 | |
| FDDhf + FDDQ | 0.8061 | 0.6364 | 0.9273 | 0.9636 | |
| Proposed | 0.8182 | 0.5879 | 0.9515 | 0.9515 |
| Sub-Index | PSNR | SAM | ERGAS | Q2n | |
|---|---|---|---|---|---|
| spatial | 0.6788 | 0.6061 | 0.7758 | 0.7152 | |
| 0.8727 | 0.7273 | 0.6061 | 0.6909 | ||
| 0.8727 | 0.8606 | 0.9455 | 0.9697 | ||
| 0.6485 | 0.6485 | 0.7697 | 0.7939 | ||
| spectral | −1.0424 | −1.0546 | −0.8606 | −0.9455 | |
| 0.9212 | 0.8000 | 0.6788 | 0.7394 | ||
| −1.2121 | −1.1152 | −1.1394 | −1.0909 | ||
| FDDlf | 0.4545 | 0.6121 | 0.5152 | 0.6485 | |
| FDDhf | 0.7455 | 0.7818 | 0.7939 | 0.8788 | |
| FDDQ | 0.6485 | 0.7939 | 0.6849 | 0.7576 | |
| FDDlf + FDDhf | 0.7455 | 0.7818 | 0.7939 | 0.8788 | |
| FDDlf + FDDQ | 0.7212 | 0.8424 | 0.7333 | 0.8182 | |
| FDDhf + FDDQ | 0.7818 | 0.8788 | 0.7697 | 0.8667 | |
| Proposed | 0.7818 | 0.8788 | 0.7818 | 0.8667 |
| Sub-Index | PSNR | SAM | ERGAS | Q2n | |
|---|---|---|---|---|---|
| spatial | 0.4364 | −0.3394 | 0.4727 | 0.4606 | |
| 0.4364 | −0.3394 | 0.4242 | 0.4121 | ||
| 0.5273 | −0.1515 | 0.6000 | 0.5879 | ||
| 0.3455 | −0.4909 | 0.3818 | 0.3930 | ||
| spectral | −0.9818 | −0.6182 | −0.8970 | −0.8727 | |
| 0.7273 | 0.0606 | 0.6546 | 0.6061 | ||
| −0.8909 | −0.6121 | −0.7818 | −0.8546 | ||
| FDDlf | 0.4304 | −0.5880 | 0.4182 | 0.4545 | |
| FDDhf | 0.7333 | 0.1030 | 0.8061 | 0.8182 | |
| FDDQ | 0.9152 | 0.2242 | 0.8667 | 0.8546 | |
| FDDlf + FDDhf | 0.7333 | 0.1030 | 0.8061 | 0.8182 | |
| FDDlf + FDDQ | 0.9030 | 0.2121 | 0.8546 | 0.8424 | |
| FDDhf + FDDQ | 0.9515 | 0.2000 | 0.9273 | 0.9515 | |
| Proposed | 0.8909 | 0.1879 | 0.9152 | 0.9394 |
Disclaimer/Publisher’s Note: The statements, opinions and data contained in all publications are solely those of the individual author(s) and contributor(s) and not of MDPI and/or the editor(s). MDPI and/or the editor(s) disclaim responsibility for any injury to people or property resulting from any ideas, methods, instructions or products referred to in the content. |
© 2024 by the authors. Licensee MDPI, Basel, Switzerland. This article is an open access article distributed under the terms and conditions of the Creative Commons Attribution (CC BY) license (https://creativecommons.org/licenses/by/4.0/).
Share and Cite
Hao, X.; Li, X.; Wu, J.; Wei, B.; Song, Y.; Li, B. A No-Reference Quality Assessment Method for Hyperspectral Sharpened Images via Benford’s Law. Remote Sens. 2024, 16, 1167. https://doi.org/10.3390/rs16071167
Hao X, Li X, Wu J, Wei B, Song Y, Li B. A No-Reference Quality Assessment Method for Hyperspectral Sharpened Images via Benford’s Law. Remote Sensing. 2024; 16(7):1167. https://doi.org/10.3390/rs16071167
Chicago/Turabian StyleHao, Xiankun, Xu Li, Jingying Wu, Baoguo Wei, Yujuan Song, and Bo Li. 2024. "A No-Reference Quality Assessment Method for Hyperspectral Sharpened Images via Benford’s Law" Remote Sensing 16, no. 7: 1167. https://doi.org/10.3390/rs16071167
APA StyleHao, X., Li, X., Wu, J., Wei, B., Song, Y., & Li, B. (2024). A No-Reference Quality Assessment Method for Hyperspectral Sharpened Images via Benford’s Law. Remote Sensing, 16(7), 1167. https://doi.org/10.3390/rs16071167

