Inversion of Boreal Forest Height Using the CRITIC Weighted Least Squares Three-Stage Temporal Decorrelation Iterative Algorithm
Abstract
1. Introduction
2. Datasets and Pre-Processing
2.1. Simulated Dataset
2.2. The ALOS-2 PALSAR-2 Dataset
2.2.1. Overview of the Study Area
2.2.2. Forest Inventory Data
2.2.3. SAR Data and Pre-Processing
2.2.4. Weather Condition
3. The CRITIC-ITDRvoG Algorithm
3.1. The RVoG Method
3.2. The CRITIC-WLS Algorithm
3.3. Iterative Process of Temporal Decorrelation
4. Results
4.1. Inversion Results for the Simulated Dataset
4.1.1. Results of Ground Phase Estimation
4.1.2. Results of Forest Height Estimation
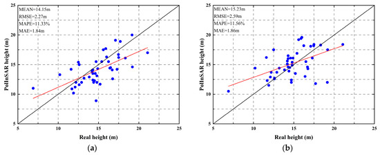
4.2. Inversion Results for the Real Dataset
5. Discussion
5.1. Discussion of the Ground Phase
5.2. Discussion of Errors in Forest Heights
5.3. Limitations of the CRITIC-WLS Ground Phase Improvement Algorithm
5.4. Discussion of the CRITIC-ITDRvoG Algorithm
6. Conclusions
Author Contributions
Funding
Data Availability Statement
Conflicts of Interest
Appendix A





References
- Chopping, M.; Nolin, A.; Moisen, G.G.; Martonchik, J.V.; Bull, M. Forest Canopy Height from the Multiangle Imaging SpectroRadiometer (MISR) Assessed with High Resolution Discrete Return Lidar. Remote Sens. Environ. 2009, 113, 2172–2185. [Google Scholar] [CrossRef]
- Lu, D. The Potential and Challenge of Remote Sensing-Based Biomass Estimation. Int. J. Remote Sens. 2006, 27, 1297–1328. [Google Scholar] [CrossRef]
- Radočaj, D.; Šiljeg, A.; Marinović, R.; Jurišić, M. State of Major Vegetation Indices in Precision Agriculture Studies Indexed in Web of Science: A Review. Agriculture 2023, 13, 707. [Google Scholar] [CrossRef]
- Jung, H.; Won, J.; Kang, S.; Kim, S. Spatiotemporal Variability of Vegetation Response to Meteorological Drought on the Korean Peninsula. Hydrol. Res. 2023, 54, 1625–1640. [Google Scholar] [CrossRef]
- Wang, Q.; Pang, Y.; Chen, D.; Liang, X.; Lu, J. Lidar Biomass Index: A Novel Solution for Tree-Level Biomass Estimation Using 3D Crown Information. For. Ecol. Manag. 2021, 499, 119542. [Google Scholar] [CrossRef]
- Ali, N.; Khati, U. Forest Aboveground Biomass and Forest Height Estimation Over a Sub-Tropical Forest Using Machine Learning Algorithm and Synthetic Aperture Radar Data. J. Indian Soc. Remote Sens. 2024. [Google Scholar] [CrossRef]
- Mitchell, A.L.; Rosenqvist, A.; Mora, B. Current Remote Sensing Approaches to Monitoring Forest Degradation in Support of Countries Measurement, Reporting and Verification (MRV) Systems for REDD+. Carbon Balance Manag. 2017, 12, 9. [Google Scholar] [CrossRef]
- Fomena, R.T.; Cloude, S.R. On the Role of Coherence Optimization in Polarimetric SAR Interferometry. CEOS SAR Cal/Val Work. 2005, 22, 9. [Google Scholar]
- Lavalle, M.; Pottier, E.; Solimini, D.; Desnos, Y.L.; Miranda, N.; Rosich, B.; Santuari, M. A New Approach for Polinsar Forest Parameters Inversion: Results Using the ESA ALOS-PALSAR Prototype Processor. Eur. Sp. Agency Spec. Publ. ESA SP 2009, 668, 3–6. [Google Scholar]
- Mette, T.; Kugler, F.; Papathanassiou, K.; Hajnsek, I. Forest and the Random Volume over Ground—Nature and Effect of 3 Possible Error Types. Eur. Conf. Synth. Aperture Radar 2006, 1–4. [Google Scholar]
- Cloude, S.R.; Papathanassiou, K.P. Three-Stage Inversion Process for Polarimetric SAR Interferometry. IEE Proc. Radar Sonar Navig. 2003, 150, 125–134. [Google Scholar] [CrossRef]
- Tabb, M.; Carande, R. Robust Inversion of Vegetation Structure Parameters from Low-Frequency, Polarimetric Interferometric SAR. Int. Geosci. Remote Sens. Symp. 2001, 7, 3188–3190. [Google Scholar] [CrossRef]
- Zebker, H.A.; Villasenor, J. Decorrelation in Interferometric Radar Echoes. IEEE Trans. Geosci. Remote Sens. 1992, 30, 950–959. [Google Scholar] [CrossRef]
- Lei, Y.; Siqueira, P.; Clewley, D.; Lucas, R. Observation of Vegetation Vertical Structure and Disturbance Using L-Band InSAR over the Injune Region in Australia. In Proceedings of the International Geoscience and Remote Sensing Symposium (IGARSS), Munich, Germany, 22–27 July 2012; pp. 1637–1640. [Google Scholar] [CrossRef]
- Lee, S.K.; Kugler, F.; Papathanassiou, K.P.; Hajnsek, I. Quantifying Temporal Decorrelation over Boreal Forest at L- And P-Band. In Proceedings of the 7th European Conference on Synthetic Aperture Radar, EUSAR, Friedrichshafen, Germany, 2–5 June 2008; pp. 1–4. [Google Scholar]
- Lavalle, M.; Solimini, D.; Pottier, E.; Desnos, Y.L. The Dependence of the Polinsar Degree of Coherence on Forest Parameters. Eur. Sp. Agency Spec. Publ. 2009, SP-668. [Google Scholar]
- Zhang, Y.; Zhao, H.; Ji, Y.; Zhang, T.; Zhang, W. Forest Height Inversion via RVoG Model and Its Uncertainties Analysis via Bayesian Framework—Comparisons of Different Wavelengths and Baselines. Forests 2023, 14, 1408. [Google Scholar] [CrossRef]
- Mao, Y.; Michel, O.O.; Yu, Y.; Fan, W.; Sui, A.; Liu, Z.; Wu, G. Retrieval of Boreal Forest Heights Using an Improved Random Volume over Ground (Rvog) Model Based on Repeat-Pass Spaceborne Polarimetric Sar Interferometry: The Case Study of Saihanba, China. Remote Sens. 2021, 13, 4306. [Google Scholar] [CrossRef]
- Sa, R.; Nei, Y.; Fan, W. Combining Multi-Dimensional SAR Parameters to Improve RVoG Model for Coniferous Forest Height Inversion Using ALOS-2 Data. Remote Sens. 2023, 15, 1272. [Google Scholar] [CrossRef]
- Bai, L.; Hong, W.; Cao, F. Estimation Error of Topographic Phase Based on RVoG Model Using POLinSAR Data. Prog. Electromagn. Res. Symp. 2009, 2, 1437–1441. [Google Scholar] [CrossRef]
- Zhang, Q.; Mercer, B.; Cloude, S.R. Forest Height Estimation from INDREX-II L-Band Polarimetric InSAR Data. In Proceedings of the ISPRS XXIth Congress, Beijing, China, 3–11 July 2008; pp. 3–11. [Google Scholar]
- Cloude, S.R.; Papathanassiou, K.P. Polarimetric SAR Interferometry. IEEE Trans. Geosci. Remote Sens. 1998, 36, 1551–1565. [Google Scholar] [CrossRef]
- Managhebi, T.; Maghsoudi, Y.; Valadan Zoej, M.J. An Improved Three-Stage Inversion Algorithm in Forest Height Estimation Using Single-Baseline Polarimetric SAR Interferometry Data. IEEE Geosci. Remote Sens. Lett. 2018, 15, 887–891. [Google Scholar] [CrossRef]
- Lavalle, M.; Simard, M.; Pottier, E.; Solimini, D. PolInSAR Forestry Applications Improved by Modeling Height-Dependent Temporal Decorrelation. In Proceedings of the 2010 IEEE International Geoscience and Remote Sensing Symposium, Honolulu, HI, USA, 25–30 July 2010; IEEE: Piscataway, NJ, USA, 2010; pp. 4772–4775. [Google Scholar] [CrossRef]
- Pottier, E.; Ferro-Famil, L.; Allain, S.; Cloude, S.R.; Hajnsek, I.; Papathanassiou, K.; Moreira, A.; Williams, M.; Minchella, A.; Lavalle, M. Overview of the PolSARpro v4. 0 Software New Updates of the Educational Toolbox for Polarimetric and Interferometric Polarimetric SAR Data Processing. In Proceedings of the POLinSAR 2009, Frascati, Roma, 26–30 January 2009; p. CD-ROM. [Google Scholar]
- Newell, R.G. Climate Change and Forest Sinks: Factors Affecting the and The Kyoto Protocol to the United Nations Framework Convention on Climate Change w 37 x Establishes the Principle That Carbon Sequestration Can Be Used By. Enviornmental Econ. Manag. 2000, 40, 211–235. [Google Scholar] [CrossRef]
- Rosenqvist, A.; Shimada, M.; Suzuki, S.; Ohgushi, F.; Tadono, T.; Watanabe, M.; Tsuzuku, K.; Watanabe, T.; Kamijo, S.; Aoki, E. Operational Performance of the ALOS Global Systematic Acquisition Strategy and Observation Plans for ALOS-2 PALSAR-2. Remote Sens. Environ. 2014, 155, 3–12. [Google Scholar] [CrossRef]
- Neumann, M. Remote Sensing of Vegetation Using Multi-Baseline Polarimetric SAR Interferometry: Theoretical Modeling and Physical Parameter Retrieval. Ph.D. Thesis, University Rennes, Rennes, France, 2009. [Google Scholar]
- Chowdhury, T.A.; Thiel, C.; Schmullius, C. Growing Stock Volume Estimation from L-Band ALOS PALSAR Polarimetric Coherence in Siberian Forest. Remote Sens. Environ. 2014, 155, 129–144. [Google Scholar] [CrossRef]
- Diakoulaki, D.; Mavrotas, G.; Papayannakis, L. Determining Objective Weights in Multiple Criteria Problems: The Critic Method. Comput. Oper. Res. 1995, 22, 763–770. [Google Scholar] [CrossRef]
- Cloude, S.R. Polarization Coherence Tomography. Radio Sci. 2006, 41, 1–27. [Google Scholar] [CrossRef]
- Lulu, T.; Ruliang, Y. Investigation on Tree Height Retrieval with Polarimetric Sar Interferometry. Int. Geosci. Remote Sens. Symp. 2008, 5, 546–549. [Google Scholar] [CrossRef]
- Krieger, G.; Papathanassiou, K.P.; Cloude, S.R. Spaceborne Polarimetric SAR Interferometry: Performance Analysis and Mission Concepts. EURASIP J. Appl. Signal Process. 2005, 2005, 3272–3292. [Google Scholar] [CrossRef]
- Askne, J.I.H.; Dammert, P.B.G.; Ulander, L.M.H.; Smith, G. C-Band Repeat-Pass Interferometric SAR Observations of the Forest. Doktorsavhandlingar Vid Chalmers Tek. Hogsk. 1999, 35, 25–35. [Google Scholar] [CrossRef]
- Cloude, S. Polarisation: Applications in Remote Sensing; OUP: Oxford, UK, 2009. [Google Scholar]
- Lei, Y.; Siqueira, P.; Torbick, N.; Ducey, M.; Chowdhury, D.; Salas, W. Generation of Large-Scale Moderate-Resolution Forest Height Mosaic with Spaceborne Repeat-Pass SAR Interferometry and Lidar. IEEE Trans. Geosci. Remote Sens. 2019, 57, 770–787. [Google Scholar] [CrossRef]
- Liao, Z.; He, B.; Quan, X.; van Dijk, A.I.J.M.; Qiu, S.; Yin, C. Biomass Estimation in Dense Tropical Forest Using Multiple Information from Single-Baseline P-Band PolInSAR Data. Remote Sens. Environ. 2019, 221, 489–507. [Google Scholar] [CrossRef]



















| Platform Configuration | Parameter | Forest/Ground Surface Configuration | Parameter |
|---|---|---|---|
| Platform Altitude | 3000 m | Tree Species | Pine |
| Horizontal/Vertical Baseline | 10 m, 1 m | Surface Properties/Ground Moisture Content | 0, 0 |
| Incidence Angle | 45° | Azimuth/Range Ground Slope | 0, 0 |
| Centre Frequency | 1.3 GHZ | Tree Height | 10 m\14 m\18 m\22 m |
| Acquisition SAR Dates | Level | Polarization | Incidence Angle | Spatial Resolution (Rg × Az) | Center Range (SLC) |
|---|---|---|---|---|---|
| 11 July 2020 | L1.1 CEOS | Full (Quad.) | 27.8054° | 2.86 m × 2.64 m | 710,741.6730 m |
| 25 July 2020 | L1.1 CEOS | Full (Quad.) | 27.8029° | 2.86 m × 2.64 m | 710,741.6730 m |
| 19 September 2020 | L1.1 CEOS | Full (Quad.) | 27.7975° | 2.86 m × 2.64 m | 710,741.6730 m |
| Master Image | Slave Image | Mean kz (rad/m) | Temporal Baseline (Day) |
|---|---|---|---|
| 11 July 2020 | 25 July 2020 | 0.0144 | 14 |
| 11 July 2020 | 19 September 2020 | 0.0201 | 70 |
| Forest Density (stems/ha) | 100 | 200 | 300 | 400 | 500 | 600 | 700 | 800 | 900 |
|---|---|---|---|---|---|---|---|---|---|
| 10 m forest height MAPE (%) | |||||||||
| LS | 39.17 | 38.67 | 35.89 | 32.70 | 31.97 | 28.36 | 28.32 | 23.67 | 21.84 |
| CRITIC-WLS | 56.48 | 40.12 | 35.66 | 31.56 | 30.52 | 26.57 | 26.77 | 21.56 | 19.76 |
| 14 m forest height MAPE (%) | |||||||||
| LS | 42.54 | 29.03 | 21.33 | 17.24 | 15.70 | 16.90 | 14.93 | 14.18 | 15.34 |
| CRITIC-WLS | 41.07 | 25.99 | 18.19 | 14.31 | 14.30 | 14.99 | 14.06 | 12.96 | 14.40 |
| 18 m forest height MAPE (%) | |||||||||
| LS | 26.05 | 17.59 | 15.64 | 14.56 | 16.13 | 15.25 | 15.98 | 14.29 | 15.03 |
| CRITIC-WLS | 20.33 | 14.39 | 13.45 | 13.56 | 13.90 | 13.79 | 13.72 | 12.66 | 14.62 |
| 22 m forest height MAPE (%) | |||||||||
| LS | 21.20 | 16.47 | 16.54 | 15.74 | 15.26 | 15.89 | 14.83 | 15.66 | 17.22 |
| CRITIC-WLS | 15.75 | 13.99 | 15.26 | 14.78 | 14.43 | 14.33 | 14.44 | 14.33 | 15.49 |
| Datasets | RMSE (m) | MAPE (%) | MAE (m) | ||
|---|---|---|---|---|---|
| 11 July–25 July | 0.43 | 4.43/2.27 | 27.30/11.33 | 3.73/1.84 | |
| 11 July–19 September | 0.70 | 4.56/2.59 | 29.05/11.56 | 3.55/1.86 |
| Datasets | Average of HV Phases | Variance of HV Phase | The Standard Deviation of HV Phase |
|---|---|---|---|
| 11 July–25 July | 0.2004 | 3.6603 | 1.9132 |
| 11 July–19 September | 0.0909 | 3.3908 | 1.8419 |
Disclaimer/Publisher’s Note: The statements, opinions and data contained in all publications are solely those of the individual author(s) and contributor(s) and not of MDPI and/or the editor(s). MDPI and/or the editor(s) disclaim responsibility for any injury to people or property resulting from any ideas, methods, instructions or products referred to in the content. |
© 2024 by the authors. Licensee MDPI, Basel, Switzerland. This article is an open access article distributed under the terms and conditions of the Creative Commons Attribution (CC BY) license (https://creativecommons.org/licenses/by/4.0/).
Share and Cite
Sui, A.; Fan, W. Inversion of Boreal Forest Height Using the CRITIC Weighted Least Squares Three-Stage Temporal Decorrelation Iterative Algorithm. Remote Sens. 2024, 16, 1137. https://doi.org/10.3390/rs16071137
Sui A, Fan W. Inversion of Boreal Forest Height Using the CRITIC Weighted Least Squares Three-Stage Temporal Decorrelation Iterative Algorithm. Remote Sensing. 2024; 16(7):1137. https://doi.org/10.3390/rs16071137
Chicago/Turabian StyleSui, Ao, and Wenyi Fan. 2024. "Inversion of Boreal Forest Height Using the CRITIC Weighted Least Squares Three-Stage Temporal Decorrelation Iterative Algorithm" Remote Sensing 16, no. 7: 1137. https://doi.org/10.3390/rs16071137
APA StyleSui, A., & Fan, W. (2024). Inversion of Boreal Forest Height Using the CRITIC Weighted Least Squares Three-Stage Temporal Decorrelation Iterative Algorithm. Remote Sensing, 16(7), 1137. https://doi.org/10.3390/rs16071137

