Glacial Lake Changes and Risk Assessment in Rongxer Watershed of China–Nepal Economic Corridor
Abstract
1. Introduction
2. Materials and Methods
2.1. Study Area
2.2. Data
2.3. Methods
2.3.1. Glacial Lake Mapping
2.3.2. Identification of PDGLs
- (1)
- (2)
- Lakes are either in contact with glaciers or within a distance of less than 500 m from an upstream glacier and are nourished by glacier meltwater [38]. Rockfall, ice or snow avalanches, or landslides are the most common causes of Himalayan GLOFs [39]. These lakes are prone to being triggered by slope movement.
- (3)
2.3.3. GLOF Risk Assessment
3. Results
3.1. Accuracy of Glacial Lake Mapping
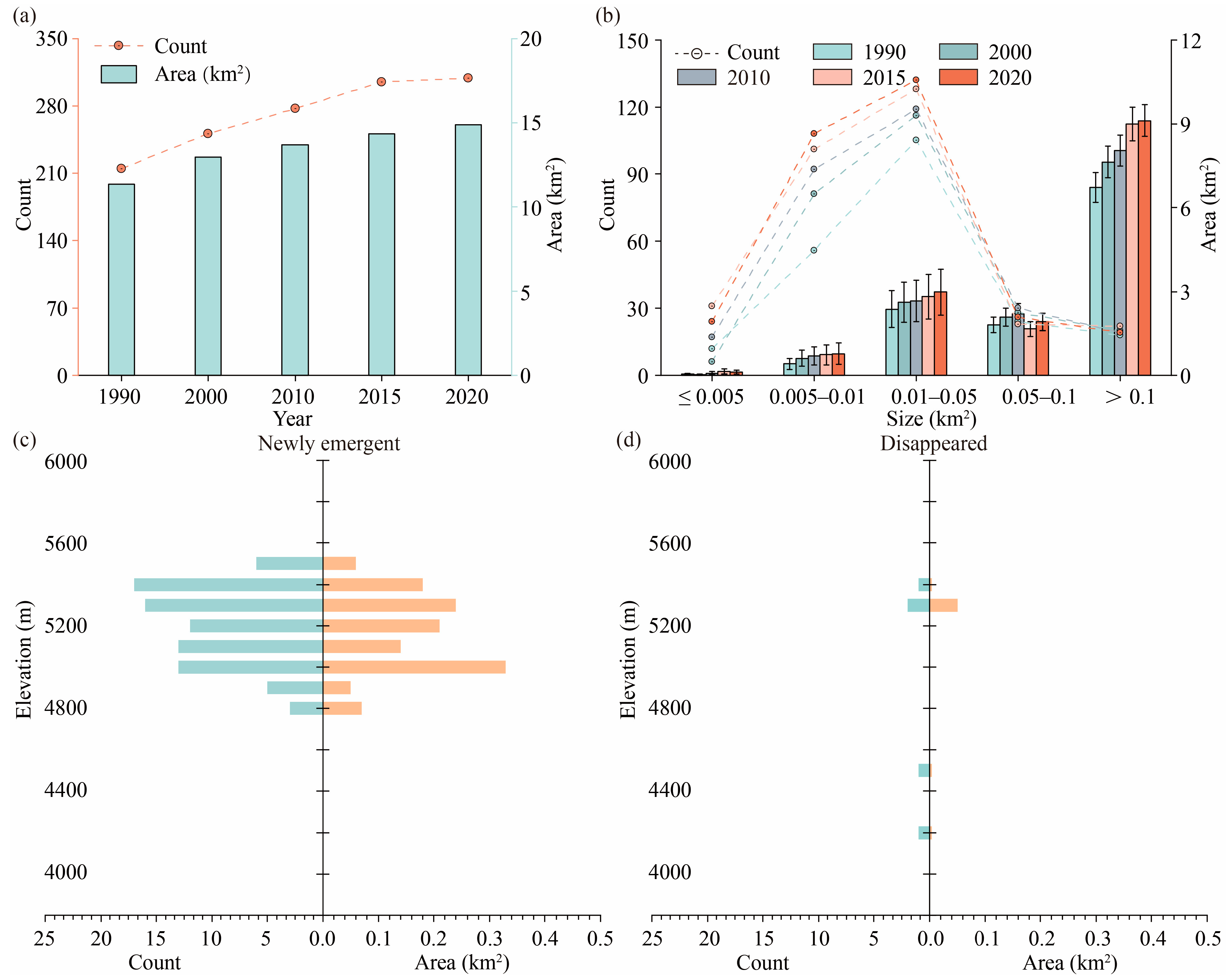
3.2. Distribution and Dynamics of Glacial Lakes in the Rongxer Watershed
3.2.1. Distribution of Glacial Lakes
3.2.2. Dynamics of Glacial Lakes
3.3. GLOF Risk Assessment and Validation
4. Discussion
5. Conclusions
Author Contributions
Funding
Data Availability Statement
Acknowledgments
Conflicts of Interest
References
- Yao, X.; Liu, S.; Han, L.; Sun, M.; Zhao, L. Definition and classification system of glacial lake for inventory and hazards study. J. Geogr. Sci. 2018, 28, 193–205. [Google Scholar] [CrossRef]
- Allen, S.K.; Linsbauer, A.; Randhawa, S.S.; Huggel, C.; Rana, P.; Kumari, A. Glacial lake outburst flood risk in Himachal Pradesh, India: An integrative and anticipatory approach considering current and future threats. Nat. Hazards 2016, 84, 1741–1763. [Google Scholar] [CrossRef]
- Haritashya, U.; Kargel, J.; Shugar, D.; Leonard, G.; Strattman, K.; Watson, C.; Shean, D.; Harrison, S.; Mandli, K.; Regmi, D. Evolution and Controls of Large Glacial Lakes in the Nepal Himalaya. Remote Sens. 2018, 10, 798. [Google Scholar] [CrossRef]
- Nie, Y.; Pritchard, H.D.; Liu, Q.; Hennig, T.; Wang, W.; Wang, X.; Liu, S.; Nepal, S.; Samyn, D.; Hewitt, K.; et al. Glacial change and hydrological implications in the Himalaya and Karakoram. Nat. Rev. Earth Environ. 2021, 2, 91–106. [Google Scholar] [CrossRef]
- Anacona, P.I.; Mackintosh, A.; Norton, K. Reconstruction of a glacial lake outburst flood (GLOF) in the Engaño Valley, Chilean Patagonia: Lessons for GLOF risk management. Sci. Total Environ. 2015, 527–528, 1–11. [Google Scholar] [CrossRef]
- Carrivick, J.L.; Tweed, F.S. A global assessment of the societal impacts of glacier outburst floods. Glob. Planet. Chang. 2016, 144, 1–16. [Google Scholar] [CrossRef]
- Majeed, U.; Rashid, I.; Sattar, A.; Allen, S.; Stoffel, M.; Nüsser, M.; Schmidt, S. Recession of Gya Glacier and the 2014 glacial lake outburst flood in the Trans-Himalayan region of Ladakh, India. Sci. Total Environ. 2021, 756, 144008. [Google Scholar] [CrossRef] [PubMed]
- Wang, W.; Nie, Y.; Zhang, H.; Wang, J.; Deng, Q.; Liu, L.; Liu, F.; Zhang, S.; Lyu, Q.; Zhang, L. A generic framework for glacial lake outburst flood investigation: A case study of Zalai Tsho, Southeast Tibet. Catena 2024, 234, 107614. [Google Scholar] [CrossRef]
- Schmidt, S.; Nüsser, M.; Baghel, R.; Dame, J. Cryosphere hazards in Ladakh: The 2014 Gya glacial lake outburst flood and its implications for risk assessment. Nat. Hazards 2020, 104, 2071–2095. [Google Scholar] [CrossRef]
- Kattelmann, R. Glacial Lake Outburst Floods in the Nepal Himalaya: A Manageable Hazard. Nat. Hazards 2003, 28, 145–154. [Google Scholar] [CrossRef]
- Bajracharya, B.; Shrestha, A.B.; Rajbhandari, L. Glacial Lake Outburst Floods in the Sagarmatha Region. Mt. Res. Dev. 2007, 27, 336–344. [Google Scholar] [CrossRef]
- Gurung, D.R.; Khanal, N.R.; Bajracharya, S.R.; Tsering, K.; Joshi, S.; Tshering, P.; Chhetri, L.K.; Lotay, Y.; Penjor, T. Lemthang Tsho glacial Lake outburst flood (GLOF) in Bhutan: Cause and impact. Geoenviron. Disasters 2017, 4, 17. [Google Scholar] [CrossRef]
- Taylor, C.; Robinson, T.R.; Dunning, S.; Rachel Carr, J.; Westoby, M. Glacial lake outburst floods threaten millions globally. Nat. Commun. 2023, 14, 487. [Google Scholar] [CrossRef] [PubMed]
- Liu, M.; Chen, N.; Zhang, Y.; Deng, M. Glacial Lake Inventory and Lake Outburst Flood/Debris Flow Hazard Assessment after the Gorkha Earthquake in the Bhote Koshi Basin. Water 2020, 12, 464. [Google Scholar] [CrossRef]
- Nie, Y.; Liu, Q.; Wang, J.; Zhang, Y.; Sheng, Y.; Liu, S. An inventory of historical glacial lake outburst floods in the Himalayas based on remote sensing observations and geomorphological analysis. Geomorphology 2018, 308, 91–106. [Google Scholar] [CrossRef]
- Reynolds, J.M. Glacial hazard assessment at Tsho Rolpa, Rolwaling, central Nepal. Q. J. Eng. Geol. Hydrogeol. 1999, 32, 209–214. [Google Scholar] [CrossRef]
- Veh, G.; Korup, O.; von Specht, S.; Roessner, S.; Walz, A. Unchanged frequency of moraine-dammed glacial lake outburst floods in the Himalaya. Nat. Clim. Chang. 2019, 9, 379–383. [Google Scholar] [CrossRef]
- Zhong, Y.; Liu, Q.; Sapkota, L.; Luo, Y.; Wang, H.; Liao, H.; Wu, Y. Rapid glacier Shrinkage and Glacial Lake Expansion of a China-Nepal Transboundary Catchment in the Central Himalayas, between 1964 and 2020. Remote Sens. 2021, 13, 3614. [Google Scholar] [CrossRef]
- Wang, W.; Yao, T.; Gao, Y.; Yang, X.; Kattel, D.B. A First-order Method to Identify Potentially Dangerous Glacial Lakes in a Region of the Southeastern Tibetan Plateau. Mt. Res. Dev. 2011, 2, 122–130. [Google Scholar] [CrossRef]
- Nie, Y.; Sheng, Y.; Liu, Q.; Liu, L.; Liu, S.; Zhang, Y.; Song, C. A regional-scale assessment of Himalayan glacial lake changes using satellite observations from 1990 to 2015. Remote Sens. Environ. 2017, 189, 1–13. [Google Scholar] [CrossRef]
- Zhang, G.; Yao, T.; Xie, H.; Wang, W.; Yang, W. An inventory of glacial lakes in the Third Pole region and their changes in response to global warming. Glob. Planet. Chang. 2015, 131, 148–157. [Google Scholar] [CrossRef]
- Lesi, M.; Nie, Y.; Shugar, D.H.; Wang, J.; Deng, Q.; Chen, H.; Fan, J. Landsat- and Sentinel-derived glacial lake dataset in the China–Pakistan Economic Corridor from 1990 to 2020. Earth Syst. Sci. Data 2022, 14, 5489–5512. [Google Scholar] [CrossRef]
- ICIMOD. Glacial Lakes and Glacial Lake Outburst Floods in Nepal; ICIMOD: Kathmandu, Nepal, 2011. [Google Scholar]
- Rounce, D.; Watson, C.; Mckinney, D. Identification of Hazard and Risk for Glacial Lakes in the Nepal Himalaya Using Satellite Imagery from 2000–2015. Remote Sens. 2017, 9, 654. [Google Scholar] [CrossRef]
- Allen, S.K.; Zhang, G.; Wang, W.; Yao, T.; Bolch, T. Potentially dangerous glacial lakes across the Tibetan Plateau revealed using a large-scale automated assessment approach. Sci. Bull. 2019, 64, 435–445. [Google Scholar] [CrossRef]
- Wu, S.; Yan, J.; Zhang, Y.; Peng, T.; Su, K. Evolutionary process and development implications of traditional trade routes in the Himalayan region. J. Geogr. Sci. 2022, 32, 1847–1865. [Google Scholar] [CrossRef]
- Khadka, N.; Chen, X.; Sharma, S.; Shrestha, B. Climate change and its impacts on glaciers and glacial lakes in Nepal Himalayas. Reg. Environ. Chang. 2023, 23, 143. [Google Scholar] [CrossRef]
- Shrestha, S.; Bajracharya, A.R.; Babel, M.S. Assessment of risks due to climate change for the Upper Tamakoshi Hydropower Project in Nepal. Clim. Risk Manag. 2016, 14, 27–41. [Google Scholar] [CrossRef]
- Khadka, D.; Babel, M.S.; Shrestha, S.; Tripathi, N.K. Climate change impact on glacier and snow melt and runoff in Tamakoshi basin in the Hindu Kush Himalayan (HKH) region. J. Hydrol. 2014, 511, 49–60. [Google Scholar] [CrossRef]
- Wu, S.; Yao, Z.; Huang, H.; Liu, Z.; Liu, G. Responses of glaciers and glacial lakes to climate variation between 1975 and 2005 in the Rongxer basin of Tibet, China and Nepal. Reg. Environ. Chang. 2012, 12, 887–898. [Google Scholar] [CrossRef]
- Khadka, M.; Kayastha, R.B.; Kayastha, R. Future projection of cryospheric and hydrologic regimes in Koshi River basin, Central Himalaya, using coupled glacier dynamics and glacio-hydrological models. J. Glaciol. 2020, 66, 831–845. [Google Scholar] [CrossRef]
- Pfeffer, W.T.; Arendt, A.A.; Bliss, A.; Bolch, T.; Cogley, J.G.; Gardner, A.S.; Hagen, J.; Hock, R.; Kaser, G.; Kienholz, C.; et al. The Randolph Glacier Inventory: A globally complete inventory of glaciers. J. Glaciol. 2014, 60, 537–552. [Google Scholar] [CrossRef]
- Zarfl, C.; Lumsdon, A.E.; Berlekamp, J.; Tydecks, L.; Tockner, K. A global boom in hydropower dam construction. Aquat. Sci. 2015, 77, 161–170. [Google Scholar] [CrossRef]
- Mcfeeters, S.K. The use of the Normalized Difference Water Index (NDWI) in the delineation of open water features. Int. J. Remote Sens. 1996, 17, 1425–1432. [Google Scholar] [CrossRef]
- RGI Consortium. Randolph Glacier Inventory—A Dataset of Global Glacier Outlines, 6th ed.; National Snow and Ice Data Center: Boulder, CO, USA, 2017. [Google Scholar]
- Wang, X.; Guo, X.; Yang, C.; Liu, Q.; Wei, J.; Zhang, Y.; Liu, S.; Zhang, Y.; Jiang, Z.; Tang, Z. Glacial lake inventory of high-mountain Asia in 1990 and 2018 derived from Landsat images. Earth Syst. Sci. Data 2020, 12, 2169–2182. [Google Scholar] [CrossRef]
- Zheng, G.; Allen, S.; Bao, A.; Antonio Ballesteros-Cánovas, J.; Huss, M.; Zhang, G.; Li, J.; Ye, Y.; Jiang, L.; Yu, T.; et al. Increasing risk of glacial lake outburst floods from future Third Pole deglaciation. Nat. Clim. Chang. 2021, 5, 411–417. [Google Scholar] [CrossRef]
- Wang, X.; Liu, S.; Ding, Y.; Guo, W.; Jiang, Z.; Lin, J.; Han, Y. An approach for estimating the breach probabilities of moraine-dammed lakes in the Chinese Himalayas using remote-sensing data. Nat. Hazards Earth Syst. Sci. 2012, 12, 3109–3122. [Google Scholar] [CrossRef]
- Zheng, G.; Bao, A.; Allen, S.; Antonio Ballesteros-Cánovas, J.; Yuan, Y.; Jiapaer, G.; Stoffel, M. Numerous unreported glacial lake outburst floods in the Third Pole revealed by high-resolution satellite data and geomorphological evidence. Sci. Bull. 2021, 66, 1270–1273. [Google Scholar] [CrossRef] [PubMed]
- Cui, P.; Ma, D.; Chen, N.; Jiang, Z. The initiation, motion and mitigation of debris flow caused by glacial lake outburst. Quat. Sci. 2003, 6, 621–628. [Google Scholar]
- Fan, J.; An, C.; Zhang, X.; Li, X.; Tan, J. Hazard assessment of glacial lake outburst floods in Southeast Tibet based on RS and GIS technologies. Int. J. Remote Sens. 2019, 40, 4955–4979. [Google Scholar] [CrossRef]
- Saaty, T. Decision Making with the Analytic Hierarchy Process; Springer: Amsterdam, The Netherlands, 1990. [Google Scholar]
- Emmer, A.; Allen, S.K.; Carey, M.; Frey, H.; Huggel, C.; Korup, O.; Mergili, M.; Sattar, A.; Veh, G.; Chen, T.Y.; et al. Progress and challenges in glacial lake outburst flood research (2017–2021): A research community perspective. Nat. Hazards Earth Syst. Sci. 2022, 22, 3041–3061. [Google Scholar] [CrossRef]
- Francisci, D. A Python Script for Geometric Interval Classification in QGIS: A Useful Tool for Archaeologists. Environ. Sci. Proc. 2021, 511, 49–60. [Google Scholar]
- Khadka, N.; Chen, X.; Nie, Y.; Thakuri, S.; Zheng, G.; Zhang, G. Evaluation of Glacial Lake Outburst Flood Susceptibility Using Multi-Criteria Assessment Framework in Mahalangur Himalaya. Front. Earth Sci. 2021, 8, 601288. [Google Scholar] [CrossRef]
- Rawat, M.; Jain, S.K.; Ahmed, R.; Lohani, A.K. Glacial lake outburst flood risk assessment using remote sensing and hydrodynamic modeling: A case study of Satluj basin, Western Himalayas, India. Environ. Sci. Pollut. Res. 2023, 30, 41591–41608. [Google Scholar] [CrossRef] [PubMed]
- Rounce, D.R.; Mckinney, D.C.; Lala, J.M.; Byers, A.C.; Watson, C.S. A new remote hazard and risk assessment framework for glacial lakes in the Nepal Himalaya. Hydrol. Earth Syst. Sci. 2016, 20, 3455–3475. [Google Scholar] [CrossRef]
- Zhang, T.; Wang, W.; Gao, T.; An, B.; Yao, T. An integrative method for identifying potentially dangerous glacial lakes in the Himalayas. Sci. Total Environ. 2022, 806, 150442. [Google Scholar] [CrossRef]
- Huggel, C.; Kääb, A.; Haeberli, W.; Krummenacher, B. Regional-scale GIS-models for assessment of hazards from glacier lake outbursts; evaluation and application in the Swiss Alps. Nat. Hazards Earth Syst. Sci. 2003, 3, 647–662. [Google Scholar] [CrossRef]
- Dubey, S.; Goyal, M.K. Glacial Lake Outburst Flood Hazard, Downstream Impact, and Risk Over the Indian Himalayas. Water Resour. Res. 2020, 56, e2019WR026533. [Google Scholar] [CrossRef]
- Qi, M.; Liu, S.; Wu, K.; Zhu, Y.; Xie, F.; Jin, H.; Gao, Y.; Yao, X. Improving the accuracy of glacial lake volume estimation: A case study in the Poiqu basin, central Himalayas. J. Hydrol. 2022, 610, 127973. [Google Scholar] [CrossRef]
- Fischer, M.; Korup, O.; Veh, G.; Walz, A. Controls of outbursts of moraine-dammed lakes in the greater Himalayan region. Cryosphere 2021, 15, 4145–4163. [Google Scholar] [CrossRef]
- Allen, S.K.; Sattar, A.; King, O.; Zhang, G.; Bhattacharya, A.; Yao, T.; Bolch, T. Glacial lake outburst flood hazard under current and future conditions: Worst-case scenarios in a transboundary Himalayan basin. Nat. Hazards Earth Syst. Sci. 2022, 22, 3765–3785. [Google Scholar] [CrossRef]
- Fujita, K.; Sakai, A.; Takenaka, S.; Nuimura, T.; Surazakov, A.B.; Sawagaki, T.; Yamanokuchi, T. Potential flood volume of Himalayan glacial lakes. Nat. Hazards Earth Syst. Sci. 2013, 13, 1827–1839. [Google Scholar] [CrossRef]
- Koike, T.; Takenaka, S. Scenario Analysis on Risks of Glacial Lake Outburst Floods on the Mangde Chhu River, Bhutan. Glob. Environ. Res. 2012, 1, 41–49. [Google Scholar]
- Watson, C.S.; Carrivick, J.; Quincey, D. An improved method to represent DEM uncertainty in glacial lake outburst flood propagation using stochastic simulations. J. Hydrol. 2015, 529, 1373–1389. [Google Scholar] [CrossRef]
- O’Brien, J.S.; Julien, P.Y.; Fullerton, W.T. Two-Dimensional Water Flood and Mudflow Simulation. J. Hydraul. Eng. 1993, 119, 244–261. [Google Scholar] [CrossRef]
- Mohanty, L.; Maiti, S.; Dixit, A. Spatio-temporal assessment of regional scale evolution and distribution of glacial lakes in Himalaya. Front. Earth Sci. 2023, 10, 1038777. [Google Scholar] [CrossRef]
- Khadka, N.; Zhang, G.; Thakuri, S. Glacial Lakes in the Nepal Himalaya: Inventory and Decadal Dynamics (1977–2017). Remote Sens. 2018, 10, 1913. [Google Scholar] [CrossRef]
- Prakash, C.; Nagarajan, R. Outburst susceptibility assessment of moraine-dammed lakes in Western Himalaya using an analytic hierarchy process. Earth Surf. Process. Landf. 2017, 42, 2306–2321. [Google Scholar] [CrossRef]
- King, O.; Dehecq, A.; Quincey, D.; Carrivick, J. Contrasting geometric and dynamic evolution of lake and land-terminating glaciers in the central Himalaya. Glob. Planet. Chang. 2018, 167, 46–60. [Google Scholar] [CrossRef]
- Zhang, G.; Bolch, T.; Allen, S.; Linsbauer, A.; Chen, W.; Wang, W. Glacial lake evolution and glacier–lake interactions in the Poiqu River basin, central Himalaya, 1964–2017. J. Glaciol. 2019, 65, 347–365. [Google Scholar] [CrossRef]
- Nie, Y.; Deng, Q.; Pritchard, H.D.; Carrivick, J.L.; Ahmed, F.; Huggel, C.; Liu, L.; Wang, W.; Lesi, M.; Wang, J.; et al. Glacial lake outburst floods threaten Asia’s infrastructure. Sci. Bull. 2023, 68, 1361–1365. [Google Scholar] [CrossRef] [PubMed]
- Wang, S.; Qin, D.; Xiao, C. Moraine-dammed lake distribution and outburst flood risk in the Chinese Himalaya. J. Glaciol. 2015, 61, 115–126. [Google Scholar]








| Path | Row | Acquired Date | Cloud Cover Rate | Path | Row | Acquired Date | Cloud Cover Rate |
|---|---|---|---|---|---|---|---|
| 140 | 40 | 1994-10-22 | 1.00% | 140 | 41 | 1999-04-27 | 17.00% |
| 140 | 40 | 2000-09-12 | 6.00% | 140 | 41 | 2000-10-06 * | 22.00% |
| 140 | 40 | 2000-10-30 | 0.00% | 140 | 41 | 2000-10-30 | 1.00% |
| 140 | 40 | 2009-10-31 | 17.00% | 140 | 41 | 2008-10-28 | 36.00% |
| 140 | 40 | 2010-10-02 | 23.00% | 140 | 41 | 2009-10-15 | 18.00% |
| 140 | 40 | 2015-09-30 * | 0.58% | 140 | 41 | 2009-10-31 * | 28.00% |
| 140 | 40 | 2018-10-24 | 1.83% | 140 | 41 | 2010-04-09 | 23.00% |
| 140 | 40 | 2020-10-13 | 3.46% | 140 | 41 | 2010-12-21 | 16.00% |
| 140 | 41 | 1992-09-22 * | 0.00% | 140 | 41 | 2013-10-10 | 29.25% |
| 140 | 41 | 1993-10-03 | 45.00% | 140 | 41 | 2015-09-30 | 6.84% |
| 140 | 41 | 1994-10-22 | 9.00% | 140 | 41 | 2016-10-18 | 15.97% |
| 140 | 41 | 1995-10-09 | 6.00% | 140 | 41 | 2017-10-21 | 36.54% |
| 140 | 41 | 1995-10-25 | 1.00% | 140 | 41 | 2020-10-13 | 28.65% |
| 140 | 41 | 1999-01-05 | 11.00% | 140 | 41 | 2020-10-29 * | 3.62% |
| 140 | 41 | 1999-03-10 | 6.00% | 140 | 41 | 2021-10-16 | 14.30% |
| GLCS1 | Characteristics | Example from Landsat Images | Example from Google Earth Images |
|---|---|---|---|
| Supraglacial | Lakes formed on the surface of glaciers, generally dammed by ice and thin moraine. | ![]() | ![]() |
| Ice-contact | Lakes dammed by moraine, ice, or bedrock, supplied by glacial meltwater, and contacted with glaciers. | ![]() | ![]() |
| Unconnected-glacier-fed lakes | Lakes currently supplied by upstream glacial meltwater but disconnected from glaciers. | ![]() | ![]() |
| Non-glacier-fed lakes | Lakes formed by glaciation, dammed by moraine or bedrock, and currently not supplied by glacial meltwater. | ![]() | ![]() |
| GLCS2 | Characteristics | Example from Landsat Images | Example from Google Earth Images |
|---|---|---|---|
| Supraglacial | Lakes formed on the surface of glaciers, generally dammed by ice and thin moraine. | ![]() | ![]() |
| End-moraine-dammed | Lakes were formed behind moraines due to glacial retreat and downwasting. | ![]() | ![]() |
| Lateral-moraine-dammed | Lakes formed behind lateral moraine ridges and are dammed by the moraine. | ![]() | ![]() |
| Glacial-erosion lakes | The glacial over-deepening caused depressions to form lakes. Bedrock dams are dominant, with some top moraines superimposed in rugged terrain. In the satellite images, dams are not as clear as moraine dams. | ![]() | ![]() |
| Class | Factor/Parameter | Threshold | Level | Index Value (Ci) | Factor Weight (Wi) |
|---|---|---|---|---|---|
| Glacial lake hazard | Ice and/or snow avalanches | Lake susceptible to avalanche | High | 1 | 0.47 |
| Lake not susceptible to avalanche | Low | 0.25 | |||
| Lake volume (*106m3) | 26.90–124.07 | High | 1 | 0.26 | |
| 7.65–26.90 | Medium | 0.5 | |||
| 3.83–7.65 | Low | 0.25 | |||
| Upper catchment area (km2) | 12.65–24.99 | High | 1 | 0.16 | |
| 5.46–12.65 | Medium | 0.5 | |||
| 1.27–5.46 | Low | 0.25 | |||
| Dam front slope gradient (°) | >10° | High | 1 | 0.11 | |
| ≤10° | Low | 0.25 | |||
| Downstream impact | Building area (km2) | 0.07–0.13 | High | 1 | 0.47 |
| 0.04–0.07 | Medium | 0.5 | |||
| 0.01–0.04 | Low | 0.25 | |||
| Hydropower plant (count) | 3 | High | 1 | 0.26 | |
| 2 | Medium | 0.5 | |||
| 1 | Low | 0.25 | |||
| Road length (km) | 25.84–45.87 | High | 1 | 0.16 | |
| 20.30–25.84 | Medium | 0.5 | |||
| 11.85–20.30 | Low | 0.25 | |||
| Farmland area (km2) | 0.009–0.04 | High | 1 | 0.11 | |
| 0.004–0.009 | Medium | 0.5 | |||
| 0.003–0.004 | Low | 0.25 |
| Change Patterns | 1990 | 2000 | 2010 | 2015 | 2020 | 1990−2020 |
|---|---|---|---|---|---|---|
| 1990–2000–2010–2015–2020 | 8 (3.77) | 8 (4.19) | 8 (4.51) | 8 (4.58) | 8 (4.92) | 0 (+1.15) |
| 2000 | N/A | 2 (0.08) | N/A | N/A | N/A | N/A |
| 2000–2010–2015–2020 | N/A | 2 (0.03) | 2 (0.05) | 2 (0.06) | 2 (0.06) | +2 (+0.06) |
| 2010–2015–2020 | N/A | N/A | 2 (0.04) | 2 (0.05) | 2 (0.06) | +2 (+0.06) |
| 2015–2020 | N/A | N/A | N/A | 5 (0.08) | 5 (0.10) | +5 (+0.10) |
| 2020 | N/A | N/A | N/A | N/A | 1 (0.004) | +1 (+0.004) |
| Sum | 8 (3.77) | 12 (4.34) | 12 (4.60) | 17 (4.81) | 18 (5.18) | +10 (+1.37) |
| Lake ID | Latitude (°) | Longitude (°) | 1990 Volume (*106 m3) | 2020 Volume (*106 m3) | 1990 Avalanches | 2020 Avalanches | 1990 Hazard Level | 2020 Hazard Level | 1990 Risk Level | 2020 Risk Level |
|---|---|---|---|---|---|---|---|---|---|---|
| 1 | 27.86 | 86.48 | 94.50 | 124.07 | Yes | Yes | VH | VH | VH | VH |
| 2 | 27.92 | 86.48 | 4.10 | 3.83 | Yes | Yes | M | M | M | M |
| 3 | 27.93 | 86.42 | N/A | 11.98 | N/A | Yes | N/A | H | N/A | L |
| 4 | 28.04 | 86.51 | 37.85 | 34.26 | Yes | Yes | VH | VH | M | M |
| 5 | 28.03 | 86.50 | 8.34 | 40.77 | No | Yes | L | VH | VL | M |
| 6 | 28.07 | 86.52 | 12.25 | 11.91 | Yes | Yes | H | H | L | L |
| 7 | 28.15 | 86.54 | 8.26 | 7.90 | Yes | Yes | H | H | M | M |
| 8 | 28.13 | 86.53 | 34.89 | 60.67 | Yes | Yes | VH | VH | H | H |
| 9 | 28.19 | 86.53 | 28.79 | 54.49 | Yes | Yes | VH | VH | VH | VH |
| 10 | 28.24 | 86.37 | 8.64 | 11.80 | No | Yes | L | H | VL | M |
| 11 | 28.24 | 86.32 | 11.69 | 7.35 | No | No | VL | VL | VL | VL |
| 12 | 28.27 | 86.19 | 3.89 | 4.72 | Yes | Yes | M | M | L | L |
| 13 | 28.25 | 86.15 | 5.24 | 4.04 | Yes | Yes | M | M | L | L |
| 14 | 28.24 | 86.20 | 6.74 | 7.37 | No | No | VL | VL | VL | VL |
| 15 | 28.19 | 86.31 | 16.35 | 16.26 | Yes | Yes | H | H | M | M |
| 16 | 28.19 | 86.35 | 8.82 | 7.57 | Yes | Yes | H | H | M | M |
| 17 | 27.93 | 86.43 | 19.01 | 17.20 | Yes | Yes | H | H | L | L |
| 18 | 27.95 | 86.45 | N/A | 111.78 | N/A | Yes | N/A | VH | N/A | M |
| Lake Name | GLOF Date | Volume | SLA | Upper Catchment | Ice Avalanches | Hazard Score | Hazard Class |
|---|---|---|---|---|---|---|---|
| Chongbaxia Tsho | 2001-08-06 | 1 | 0.25 | 0.5 | Yes | 0.85 | H |
| Rongpu Tsho | 2002-10-24 | 0.5 | 1 | 0.5 | Yes | 0.825 | H |
| Yetong Tsho | 2003-10-11 | 0.25 | 1 | 0.25 | Yes | 0.738 | H |
| Tsho Ga/Cuoga | 2009-07-29 | 1 | 1 | 0.5 | Yes | 0.955 | VH |
| Dagonglongba Tsho | 2006-07-09 | 0.5 | 1 | 0.25 | Yes | 0.803 | H |
| Zeng Tsho | 2007-11-21 | 1 | 0.25 | 1 | Yes | 0.895 | VH |
| Unknown | 2011-08-31 | 0.5 | 1 | 0.5 | Yes | 0.825 | H |
| Ranzeria Co | 2013-07-05 | 1 | 1 | 0.5 | Yes | 0.955 | VH |
| Gongbashatong Tsho | 2016-07-05 | 0.25 | 1 | 0.25 | Yes | 0.738 | H |
| Upper Rebujie Tsho | 2015-10-05 | 0.5 | 1 | 0.5 | Yes | 0.825 | H |
| Upper Yindapuco | 2015-10-09 | 0.25 | 1 | 0.5 | Yes | 0.76 | H |
| Zetongcuo | 2017-07-14 | 0.25 | 1 | 0.25 | Yes | 0.738 | H |
| Rongxia basin | 2018-07-06 | 0.5 | 0.25 | 0.5 | Yes | 0.72 | H |
| Jinwucuo | 2020-06-26 | 1 | 0.25 | 0.5 | Yes | 0.85 | H |
Disclaimer/Publisher’s Note: The statements, opinions and data contained in all publications are solely those of the individual author(s) and contributor(s) and not of MDPI and/or the editor(s). MDPI and/or the editor(s) disclaim responsibility for any injury to people or property resulting from any ideas, methods, instructions or products referred to in the content. |
© 2024 by the authors. Licensee MDPI, Basel, Switzerland. This article is an open access article distributed under the terms and conditions of the Creative Commons Attribution (CC BY) license (https://creativecommons.org/licenses/by/4.0/).
Share and Cite
Zhang, S.; Nie, Y.; Zhang, H. Glacial Lake Changes and Risk Assessment in Rongxer Watershed of China–Nepal Economic Corridor. Remote Sens. 2024, 16, 725. https://doi.org/10.3390/rs16040725
Zhang S, Nie Y, Zhang H. Glacial Lake Changes and Risk Assessment in Rongxer Watershed of China–Nepal Economic Corridor. Remote Sensing. 2024; 16(4):725. https://doi.org/10.3390/rs16040725
Chicago/Turabian StyleZhang, Sihui, Yong Nie, and Huayu Zhang. 2024. "Glacial Lake Changes and Risk Assessment in Rongxer Watershed of China–Nepal Economic Corridor" Remote Sensing 16, no. 4: 725. https://doi.org/10.3390/rs16040725
APA StyleZhang, S., Nie, Y., & Zhang, H. (2024). Glacial Lake Changes and Risk Assessment in Rongxer Watershed of China–Nepal Economic Corridor. Remote Sensing, 16(4), 725. https://doi.org/10.3390/rs16040725

















