Hole-Free Symmetric Complementary Sparse Array Design for High-Precision DOA Estimation
Abstract
1. Introduction
- (a)
- We define the complementary MRA (CMRA) and find that the new array is a hole-free array configuration when the MRA and its corresponding CMRA are placed symmetrically along the central axis. Then, a novel hole-free array, named a symmetric complementary minimum redundancy array (SC_MRA), is introduced and discussed in detail.
- (b)
- Based on SC_MRA and NA, the nested symmetric complementary minimum redundancy array (NSC_MRA) is proposed, inheriting all the advantages of NA and reducing the mutual coupling by redistributing the sensors of the dense ULA part of a classical NA.
- (c)
- An optimal element allocation method is derived to maximize DOFs for the NSC_MRA configuration, offering flexibility and enhanced target resolution in remote sensing applications requiring high spatial coverage.
2. Basic Conceptions
2.1. Difference Covariance Arrays
2.2. Sparse Array Processing
2.3. Signal Model with Mutual Coupling
3. Proposed Array Design with MRA, Complementary MRA, and NA
3.1. Symmetric Complementary Minimum Redundant Array
3.2. Nested Symmetric Complementary Minimum Redundant Array
3.3. Optimal Element Allocation Method
4. Performance Analysis
4.1. Array Aperture and Degrees of Freedom
4.2. Mutual Coupling Effect
4.3. Numerical Simulations
4.3.1. Spatial Spectrum Comparison of Different Arrays
4.3.2. Performance of Distinguishing the Targets with Similar Angles of Incidence
4.3.3. RMSE of NSC_MRA When the Number of Sensors in Different Levels Changes
4.3.4. DOA Estimation Performance of Different Arrays Without Mutual Coupling
4.3.5. DOA Estimation Performance of Different Arrays in the Presence of Mutual Coupling
5. Conclusions and Discussion
- (1)
- Improvement in Degrees of Freedom (DOF): Compared with the nested array (NA), the proposed NSC_MRA achieves more DOFs when the array sensor number is odd and more DOFs when is even. This significant improvement highlights the advantage of the proposed array configuration in scenarios requiring larger DOFs.
- (2)
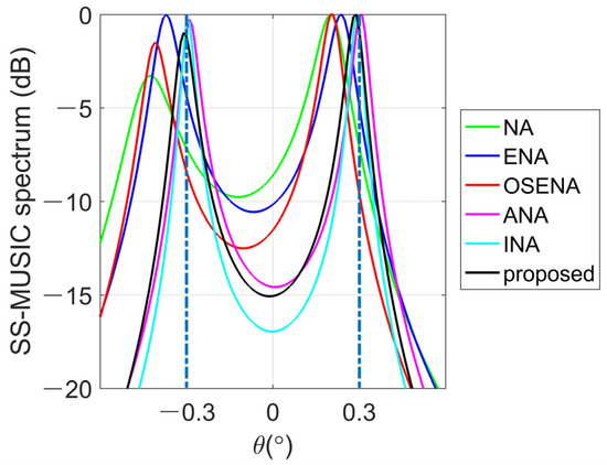
- Simulation Results of DOA Estimation Performance: To validate the effectiveness of the proposed array, the SS-MUSIC algorithm was used for a variety of simulation experiments. Taking a 15-sensor array as an example, the performance of the proposed array was compared with five sparse linear arrays from other studies. The results show that the proposed array achieves a larger target number and higher angular resolution, demonstrating its superior DOA estimation capabilities.
- (3)
- Robustness to Mutual Coupling: While the RMSE of the proposed array is slightly worse than that of the improved nested array (INA) in the absence of mutual coupling, it exhibits the best RMSE performance when mutual coupling effects are considered. This indicates that the proposed array offers significantly stronger robustness to mutual coupling compared to other sparse arrays.
Author Contributions
Funding
Data Availability Statement
Conflicts of Interest
References
- Wang, W. Overview of frequency diverse array in radar and navigation applications. IET Radar Sens. Navig. 2016, 10, 1001–1012. [Google Scholar] [CrossRef]
- Antoniou, M.; Cherniakov, M.; Ma, H. Space-surface bistatic synthetic aperture radar with navigation satellite transmissions: A review. Sci. China-Inf. Sci. 2015, 58, 061301. [Google Scholar] [CrossRef]
- Molebny, V.; McManamon, P.; Steinvall, O.; Kobayashi, T.; Chen, W. Laser radar: Historical prospective—From the east to the west. Opt. Eng. 2017, 56, 031220. [Google Scholar] [CrossRef]
- Feng, Z.; Fang, Z.; Ji, D. Joint radar and communication: A survey. China Commun. 2020, 17, 1–27. [Google Scholar] [CrossRef]
- Sokol, Z.; Szturc, J.; Orellana-Alvear, J.; Popova, J.; Jurczyk, A.; Celleri, R. The role of weather radar in rainfall estimation and its application in meteorological and hydrological modelling-a review. Remote Sens. 2021, 13, 351. [Google Scholar] [CrossRef]
- McCarthy, N.; Guyot, A.; Dowdy, A.; McGowan, H. Wildfire and weather radar: A review. J. Geophys. Res.-Atmos. 2019, 124, 266–286. [Google Scholar] [CrossRef]
- Godara, L. Application of antenna arrays to mobile communications, part ii: Beam-forming and direction-of-arrival considerations. Proc. IEEE 1997, 85, 1195–1245. [Google Scholar] [CrossRef]
- Elbir, A.M. Direction finding in the presence of direction dependent mutual coupling. IEEE Antennas Wirel. Propag. Lett. 2017, 16, 1541–1544. [Google Scholar] [CrossRef]
- Roy, R.; Kailath, T. Esprit-estimation of signal parameters via rotational invariance techniques. IEEE Trans. Acoust. Speech Signal Process. 1989, 37, 984–995. [Google Scholar] [CrossRef]
- Pal, P.; Vaidyanathan, P.P. Nested arrays: A novel approach to array processing with enhanced degrees of freedom. IEEE Trans. Signal Process. 2010, 58, 4167–4181. [Google Scholar] [CrossRef]
- Lang, R.; Xu, H.; Gao, F. Robust Direction Estimation of Terrestrial Signal via Sparse Non-Uniform Array Reconfiguration under Perturbations. Remote Sens. 2024, 16, 3482. [Google Scholar] [CrossRef]
- Chen, S.; Wu, X.; Li, S.; Deng, W.; Zhang, X. Efficient and Robust Adaptive Beamforming Based on Coprime Array Interpolation. Remote Sens. 2024, 16, 2792. [Google Scholar] [CrossRef]
- Yang, Y.; Shan, M.; Jiang, G. 2D DOA and Polarization Estimation Using Parallel Synthetic Coprime Array of Non-Collocated EMVSs. Remote Sens. 2024, 16, 3004. [Google Scholar] [CrossRef]
- Gong, Z.; Su, X.; Hu, P.; Liu, S.; Liu, Z. Deep Unfolding Sparse Bayesian Learning Network for Off-Grid DOA Estimation with Nested Array. Remote Sens. 2023, 15, 5320. [Google Scholar] [CrossRef]
- Beulah, V.; Venkateswaran, N. Sparse linear array in the estimation of aoa and aod with high resolution and low complexity. Trans. Emerg. Telecommun. Technol. 2020, 31, 4. [Google Scholar]
- Ma, T.; Yang, M.; Zhu, H.; Zhang, Y.; Zhou, D. DOA Estimation Based on Virtual Array Aperture Expansion Using Covariance Fitting Criterion. Remote Sens. 2024, 16, 2517. [Google Scholar] [CrossRef]
- He, J.; Li, L.; Shu, T. Sparse nested arrays with spatially spread orthogonal dipoles: High accuracy passive direction finding with less mutual coupling. IEEE Trans. Aerosp. Electron. Syst. 2021, 57, 2337–2345. [Google Scholar] [CrossRef]
- Ahmed, A.; Zhang, Y.D. Generalized non-redundant sparse array designs. IEEE Trans. Signal Process. 2021, 69, 4580–4594. [Google Scholar] [CrossRef]
- Shi, W.; Vorobyov, S.A.; Li, Y. Ula fitting for sparse array design. IEEE Trans. Signal Process. 2021, 69, 6431–6447. [Google Scholar] [CrossRef]
- Zhang, Y.; Hu, G.; Zhang, F.; Zhou, H. Enhanced CACIS configuration for direction of arrival estimation. Electron. Lett. 2022, 58, 737–739. [Google Scholar] [CrossRef]
- Ma, H.; Mao, X.; Wang, X.; Gao, Y. A new array extension configuration method based on nesting and minimum redundancy. IET Radar Sonar Navig. 2023, 17, 748–758. [Google Scholar] [CrossRef]
- Liu, C.L.; Vaidyanathan, P.P. Remarks on the spatial smoothing step in coarray music. IEEE Signal Process. Lett. 2015, 22, 1438–1442. [Google Scholar] [CrossRef]
- Wang, Y.; Cui, W.; Du, Y.; Ba, B.; Mei, F. A Novel Sparse Array for Localization of Mixed Near-Field and Far-Field Sources. Int. J. Antennas Propag. 2021, 2021, 3960361. [Google Scholar] [CrossRef]
- Qin, S.; Zhang, Y.D.; Amin, M.G. Generalized coprime array configurations for direction-of-arrival estimation. IEEE Trans. Signal Process. 2015, 63, 1377–1390. [Google Scholar] [CrossRef]
- Shi, J.; Wen, F.; Liu, Y.; Liu, Z.; Hu, P. Enhanced and generalized coprime array for direction of arrival estimation. IEEE Trans. Aerosp. Electron. Syst. 2023, 59, 1327–1339. [Google Scholar] [CrossRef]
- Liu, C.L.; Vaidyanathan, P.P. Super nested arrays: Linear sparse arrays with reduced mutual coupling–part i: Fundamentals. IEEE Trans. Signal Process. 2016, 64, 3997–4012. [Google Scholar] [CrossRef]
- Liu, C.L.; Vaidyanathan, P.P. Super nested arrays: Linear sparse arrays with reduced mutual coupling–part ii: High-order extensions. IEEE Trans. Signal Process. 2016, 64, 4203–4217. [Google Scholar] [CrossRef]
- Xiang, Z.; Jin, H.; Wang, Y.; Ren, P.; Yang, L.; Xu, B. A Novel Modified Symmetric Nested Array for Mixed Far-Field and Near-Field Source Localization. Remote Sens. 2024, 16, 2732. [Google Scholar] [CrossRef]
- Alawsh, S.A.; Muqaibel, A.H. Sparse doa estimation based on multi-level prime array with compression. IEEE Access 2019, 7, 70828–70841. [Google Scholar] [CrossRef]
- Zhao, P.; Wu, Q.; Wu, N.; Hu, G.; Wang, L. k-level extended sparse array design for direction-of-arrival estimation. IEEE Access 2022, 11, 3911. [Google Scholar] [CrossRef]
- Sharma, U.; Agrawal, M. Third-order nested array: An optimal geometry for third-order cumulants based array processing. IEEE Trans. Signal Process. 2023, 71, 2849–2862. [Google Scholar] [CrossRef]
- Yang, Z.; Shen, Q.; Liu, W.; Cui, W. A sum-difference expansion scheme for sparse array construction based on the fourth-order difference co-array. IEEE Signal Process. Lett. 2022, 29, 2647–2651. [Google Scholar] [CrossRef]
- Zhao, P.; Hu, G.; Qu, Z.; Wang, L. Enhanced nested array configuration with hole-free co-array and increasing degrees of freedom for doa estimation. IEEE Commun. Lett. 2019, 23, 2224–2228. [Google Scholar] [CrossRef]
- Ren, S.; Dong, W.; Li, X.; Wang, W.; Li, X. Extended nested arrays for consecutive virtual aperture enhancement. IEEE Signal Process. Lett. 2020, 27, 575–579. [Google Scholar] [CrossRef]
- Liu, J.; Zhang, Y.; Lu, Y.; Ren, S.; Cao, S. Augmented nested arrays with enhanced dof and reduced mutual coupling. IEEE Trans. Signal Process. 2017, 65, 5549–5563. [Google Scholar] [CrossRef]
- Yang, M.; Sun, L.; Yuan, X.; Chen, B. Improved nested array with hole-free dca and more degrees of freedom. Electron. Lett. 2016, 52, 2068–2069. [Google Scholar] [CrossRef]
- Moffet, A. Minimum-redundancy linear arrays. IEEE Trans. Antennas Propag. 1968, 16, 172–175. [Google Scholar] [CrossRef]
- Zheng, Z.; Wang, W.Q.; Kong, Y.; Zhang, Y.D. Misc array: A new sparse array design achieving increased degrees of freedom and reduced mutual coupling effect. IEEE Trans. Signal Process. 2019, 67, 1728–1741. [Google Scholar] [CrossRef]
- Friedlander, B. Antenna array manifolds for high-resolution direction finding. IEEE Trans. Signal Process. 2018, 66, 923–932. [Google Scholar] [CrossRef]
- Ruf, C.S. Numerical annealing of low-redundancy linear arrays. IEEE Trans. Antennas Propag. 1993, 41, 85–90. [Google Scholar] [CrossRef]


















| 3 | 0 1 3 | 2 | 3 | 2 |
| 4 | 0 1 4 6 | 2 3 5 | 6 | 2 |
| 5 | 0 1 4 7 9 | 2 3 5 6 8 | 9 | 2 |
| 6 | 0 1 2 6 10 13 | 3 4 5 7 8 9 11 12 | 13 | 3 |
| 4(3,1) | 11 | 1 2 4 5 10 15 20 25 30 35 40 45 50 55 57 | 113 |
| 5(3,2) | 10 | 1 2 4 6 12 18 24 30 36 42 48 54 60 61 63 | 125 |
| 6(3,3) | 9 | 1 2 4 7 14 21 28 35 42 49 56 63 64 65 67 | 133 |
| 7(4,3) | 8 | 1 2 5 7 8 16 24 32 40 48 56 64 66 68 69 | 137 |
| 8(4,4) | 7 | 1 2 5 7 9 18 27 36 45 54 63 64 66 68 69 | 137 |
| 9(4,5) | 6 | 1 2 5 7 10 20 30 40 50 60 61 62 64 66 67 | 133 |
| 10(5,5) | 5 | 1 2 5 8 10 11 22 33 44 55 57 59 60 62 63 | 125 |
| 11(5,6) | 4 | 1 2 5 8 10 12 24 36 48 49 51 53 54 56 57 | 113 |
| 12(5,7) | 3 | 1 2 5 8 10 13 26 39 40 41 43 45 46 48 49 | 97 |
| 13(5,8) | 2 | 1 2 5 8 10 14 28 29 30 31 33 35 36 38 39 | 77 |
| NA | ENA | OSENA | ANA | INA | NSC_MRA | |
|---|---|---|---|---|---|---|
| 12 | 83 | 85 | -- | 91 | 93 | 91 |
| 13 | 97 | 97 | 87 | 105 | 107 | 105 |
| 14 | 111 | 113 | 111 | 121 | 123 | 121 |
| 15 | 127 | 127 | 135 | 137 | 139 | 137 |
Disclaimer/Publisher’s Note: The statements, opinions and data contained in all publications are solely those of the individual author(s) and contributor(s) and not of MDPI and/or the editor(s). MDPI and/or the editor(s) disclaim responsibility for any injury to people or property resulting from any ideas, methods, instructions or products referred to in the content. |
© 2024 by the authors. Licensee MDPI, Basel, Switzerland. This article is an open access article distributed under the terms and conditions of the Creative Commons Attribution (CC BY) license (https://creativecommons.org/licenses/by/4.0/).
Share and Cite
Ma, H.; Liu, L.; Gan, Z.; Gao, Y.; Mao, X. Hole-Free Symmetric Complementary Sparse Array Design for High-Precision DOA Estimation. Remote Sens. 2024, 16, 4711. https://doi.org/10.3390/rs16244711
Ma H, Liu L, Gan Z, Gao Y, Mao X. Hole-Free Symmetric Complementary Sparse Array Design for High-Precision DOA Estimation. Remote Sensing. 2024; 16(24):4711. https://doi.org/10.3390/rs16244711
Chicago/Turabian StyleMa, He, Libao Liu, Zhihong Gan, Yang Gao, and Xingpeng Mao. 2024. "Hole-Free Symmetric Complementary Sparse Array Design for High-Precision DOA Estimation" Remote Sensing 16, no. 24: 4711. https://doi.org/10.3390/rs16244711
APA StyleMa, H., Liu, L., Gan, Z., Gao, Y., & Mao, X. (2024). Hole-Free Symmetric Complementary Sparse Array Design for High-Precision DOA Estimation. Remote Sensing, 16(24), 4711. https://doi.org/10.3390/rs16244711

