Abstract
Recently, there has been a surge in the adoption of deep learning (DL) techniques, especially convolutional neural networks (CNNs), to perform hyperspectral image (HSI) classification. Although deep learners have been shown to achieve impressive performance in HSI classification, they are known to be extremely sensitive to even slight perturbations to their inputs and models. When applied in safety-critical applications, it is crucial to know how robust they really are against perturbations. However, there is still limited tool support for DL testing in terms of their robustness, nor are the existing RGB testing approaches able to address the HSI-specific challenges. In this paper, we propose a mutation analysis framework specialized for DL models trained to classify HSIs, which facilitates a critical evaluation of the robustness of DL-based HSI classifiers. First, we introduce a set of mutation operators to inject faults into the inputs and models to simulate distortions of remote sensing HSI classifiers. By utilizing the mutation testing technique, we implement a novel framework which supports the multidimensional evaluation of individual DL-based classifiers. Finally, a comparative study of the robustness of seven popular CNN-based HSI classifiers (i.e., 3D-CNN, FDSSC, HybridSN, MCNN, FC3DCNN, DWTDENSE, and Tri-CNN) on six HSI datasets is provided. Results show that FDSSC and Tri-CNN achieve higher robustness in the presence of distortions, and FDSSC maintains a relatively stable level of robustness even with few training samples. These empirical findings can be partly explained by the characteristics of the classifiers’ architectures. The results substantiate the efficacy of our evaluation framework in assessing the robustness of HSI classifiers and thus confirm its contribution to the field of remote sensing image classification.
1. Introduction
Hyperspectral images (HSIs), one of the remote sensing data, contain both spectral and spatial information. They are beneficial for identifying individual materials more accurately than traditional remote sensing images [1]. HSIs have been widely used in many fields, such as land use mapping [2,3], forest inventory [4], and environmental monitoring [5]. Classification of each hyperspectral pixel using meaningful information plays an important role in these applications. To date, a large number of HSI classification methods with different mechanisms have achieved great success in recent decades.
Deep learning (DL), of accelerative importance in various fields, is also widely utilized to tackle difficulties in HSI classification [6]. DL-based methods are able to extract deeper abstract features from HSIs in a finer way. For example, graph convolutional networks (GCNs), popular for their ability to handle unstructured data, were used to extract both short- and long-range contextual relationships between pixels or superpixels in HSIs [7,8]. Moreover, Transformers, relying on a self-attention mechanism to capture long-range dependencies, were often combined with convolutions to effectively integrate spatial–spectral information [9]. In particular, convolutional neural networks (CNNs) have been reported to perform excellently in classifying HSIs [10]. CNN-based HSI classifiers, such as 3D-CNN, combine the rich spectral information and essential spatial information of HSIs to perform classification tasks [11]. Furthermore, in addition to simple deep network architectures, researchers have also explored hybrid deep network models with multiple convolutional structures. For example, the HybridSN model [12] combines 2D and 3D convolutional architectures, and FDSSC [13] uses dense networks [14] to build a fast dense spatial–spectral convolutional network model. Recently, the MCNN model [15] introduced a novel approach by integrating mixed convolutions with covariance pooling to enhance the extraction of discriminative features, particularly effective when dealing with limited training samples. The FC3DCNN model [16] is recognized for its compact architecture and computational efficiency, making it suitable for real-time HSI classification applications. Lastly, the DWTDENSE model [17] stands out by incorporating a 3D discrete wavelet transform with dense CNN, which not only reduces the input data volume but also ensures a lightweight model with fewer layers and parameters, contributing to faster convergence and reduced computational complexity. Tri-CNN [18] fully leverages the correlation between the HSI bands, as well as spectral and spatial information, by using different scales of 3D-CNN to extract and fuse HSI features.
However, these DL-based techniques are often prone to confounding factors or other peculiarities. For example, by crafting synthetic RGB images through minimal and random perturbations, the behaviors of well-established DL-based classifiers can be disrupted [19,20]. In addition, HSIs are vulnerable to various distortions caused by external factors such as atmospheric effects, which affect the spatial and spectral information offered by HSIs. Therefore, HSI classifier testers should expose the weakness of the model as well as the distortions in the HSI data. Ideally, the classification models are necessary to maintain an acceptable level of accuracy in the presence of distortions brought on by a variety of external factors or even attacks.
In recent years, several studies analyzed the robustness of HSI classifiers against regular adversarial attacks such as Fast Gradient Sign Attack (FGSM) [19], Basic Iterative Method (BIM) [21], and Projected Gradient Descent (PGD) [20], which reveals unexpected and incorrect ways the classifiers react to adversarial examples (AXs). However, such evaluation approaches are highly dependent on the coverage of AX patterns, as they cannot access the robustness against previously unrevealed AXs [22]. To this end, new evaluation criteria on the robustness of DL-based HSI classifiers are highly desirable. Furthermore, DL testing strategies particular for HSI classifiers are expected to assist with the evaluation of model robustness. Although existing studies have focused on measuring the efficiency of DL testing based on neuron coverage [23] or the surprise of a test input [24], these techniques cannot evaluate HSI classifiers where acquired HSIs are highly exposed to distortions.
In response to this, we leverage mutation analysis [25] to enable a critical evaluation of individual DL-based HSI classifiers. Mutation testing is a well-established technique in traditional software to analyze the quality of test data. Its key idea is to generate a set of mutants by introducing potential faults into the software. The quality of the tests is measured by examining its ability to differentiate the behaviors of the mutants and the corresponding original software. Following a similar spirit of mutation testing for traditional software, in this paper, we propose MuDL (Mutation Analysis for DL-based HSI Classifier), a mutation testing framework for evaluating DL systems used for HSI classification. MuDL incorporates 11 types of mutation operators, in which 7 of them are data-level operators that directly manipulate training input, and 4 of them are network-level operators that inject faults into networks. MuDL enables direct feedback on the robustness of a DL-based HSI classifier. Intuitively, if we mutate a DL-based system slightly, the mutant is more difficult to label on the HSI data correctly than the normal system. Therefore, analysis of the different behaviors between a DL-based HSI classifier with the generated mutants enables evaluating the robustness of the classifier. We then propose three metrics of model robustness, including Mutation Robustness, Noise Robustness, and Adversarial Robutsness, which measure different aspects of model sensitivity to mutations.
Based on the MuDL framework, we evaluated and compared the robustness of seven popular CNN-based HSI classifiers, the most fundamental methods for HSI classification, on six well-known HSI datasets. The classifiers analyzed include 3D-CNN [11], FDSSC [13], HybridSN [12], MCNN [15], FC3DCNN [16], DWTDENSE [17], and Tri-CNN [18]. The results show that FDSSC and Tri-CNN achieve greater robustness than other models in the presence of distortions. FDSSC maintains a relatively stable level of performance even in the case of few training samples. Experiments on different mutation operators show that the evaluation results are almost consistent between data-level mutation operators and network-level mutation operators. In addition, experiments on different sample patch sizes of HSI classifiers show that the robustness of the model is influenced by the setting of the sample patch size.
To the best of our knowledge, our work is the first attempt to design a specialized mutation analysis for DL-based systems used for HSI classification. The main contributions of this article are summarized as follows.
- We design and implement MuDL, a novel framework that enables a critical evaluation of DL-based HSI classifiers via mutation testing.
- We introduce seven data-level mutation operators and four network-level mutation operators which inject faults into DL models to simulate distortions of remote sensing HSI classifiers.
- We propose novel definitions for three robustness metrics to allow multidimensional quantitative measurement of HSI classifier robustness from the perspective of mutation analysis.
- We conduct a comparative study on seven popular CNN-based HSI classifiers to evaluate their robustness on six widely-used HSI datasets in different dimensions from a mutation analysis point of view.
This article is intended for hyperspectral remote sensing experts who are eager to choose a robust DL-based technique to process their own datasets. Our methodology could also influence future remote sensing-specific DL testing methods. The rest of this article is organized as follows. Section 2 introduces the related work of our study. Section 3 proposes our MuDL testing framework. Section 4 describes the experimental results. Finally, Section 5 discusses the experimental findings, and Section 6 draws the conclusions of this article.
2. Preliminaries and Related Works
2.1. Deep Learning for Hyperspectral Data
Unlike traditional machine learning algorithms, deep neural networks have the ability to extract high-dimensional adaptive features from annotated samples without the need for manual feature engineering. As a result, DL-based methods for hyperspectral classification have garnered increasing attention. By replacing traditional manually designed feature extraction methods with the powerful feature representation capabilities of deep models, various challenges arising from the diverse structures of hyperspectral data can be effectively addressed [26,27]. For example, recent studies used GCNs to extract both short- and long-range contextual relationships between pixels in HSIs, which are crucial for classification tasks [7]. To mitigate the substantial computational resource costs of constructing graphs at the pixel level, superpixel segmentation was proposed to partition an HSI into multiple regions, treating each region as a node within a graph to perform classification tasks [8]. Meanwhile, Transformers have been renowned for their ability to capture long-range dependencies, primarily attributed to the self-attention mechanism which excels in processing sequential information. Ma et al. [28] proposed a spatial pooling Transformer for HSI classification under noisy conditions. Zhao et al. [9] designed a lightweight network named GSC-ViT that combines lightweight convolutions with self-attention mechanisms to capture global and local spatial–spectral information in HSIs.
Among DL-bassed models, CNNs have gained significant popularity as a fundamental algorithm for HSI classification due to their excellent capability in extracting spatial and spectral features. Their network architectures evolved from 1D (spectral features) [29] and 2D (spatial–spectral features) [30] to 3D deep networks [11]. To alleviate the mismatch between 2D-CNN and the “cube” data structure of HSIs, 3D convolution preserves the spatial feature extraction capability of 2D convolution while significantly reducing the parameter size of the convolutional kernels. Furthermore, the parameter size of the convolutional kernels is independent of the number of input feature map channels. Consequently, the 3D convolutional architecture has the inherent ability to directly process high-dimensional data, eliminating the need for pre-processing steps, including dimensionality reduction.
Furthermore, to refine the feature extraction and tackle the issue of limited training samples, novel network architectures have been proposed. These include models that utilize mixed convolutions and covariance pooling to enhance the extraction of discriminative features [15,31], models that utilize a multiscale 3D CNN to extract features from three branches and fuse them into a model [18], compact architectures designed for computational efficiency [16], and models that integrate advanced signal processing techniques, including discrete wavelet transform with dense convolutional networks [17]. These innovations reflect ongoing efforts to improve the performance and applicability of CNN-based models in the domain of HSI classification. In this paper, we propose an evaluation technique that is general for DL-based models trained to classify HSIs, and our experiments focused on several popular CNN-based classifiers which are the most fundamental methods for HSI classification.
2.2. Adversarial Robustness in HSI Classification
Compared to RGB images that have only three channels, richer images with hundreds of spectral channels can be handled by DL-based HSI classifiers. To accomplish this, these classifiers often use a mixture of 2D and 3D convolutional layers to capture both the spectral and spatial features necessary for accurate classification. However, due to the unique differences from traditional image recognition systems, HSI classification models are prone to erroneous behavior even on slightly distorted inputs, as the occurrence of adversarial attacks or unconscious mistakes is almost inevitable in complex and high-dimensional models [32].
In a recent study by Lee et al. [33], preliminary evidence suggests that HSI classifiers lack robustness against regular adversarial attacks such as FGSM [19], BIM [21], and PGD [20]. This is a concerning issue as it would limit their efficacy in real-world applications where HSIs are highly susceptible to distortions caused by system flaws or natural effects. Our proposed framework, MuDL, seeks to address this issue by first simulating distortions in the HSI classification and then performing robustness analysis in the presence of mutations.
2.3. Mutation Testing and Its Application to DL Systems
Figure 1 illustrates the typical process of mutation testing [25,34] in traditional software systems. For the original software S, a group of faulty software , called mutants, is generated according to a set of predefined mutation operators which alter S slightly. As an illustration, a mutation operator syntactically changes the “+” operator to the “−” operator in the program [35,36,37]. In particular, mutation testing is limited to the passed tests , which is a subset of the complete test set T for S, in order to filter out irrelevant tests. After that, each mutant s in is executed in all tests in . We say that mutant s is killed if the test result for s differs from that of the original software S. Finally, Mutation Score, which indicates the quality of the test set, is calculated as the ratio of mutants killed to all mutants generated after all mutants in have been tested against . Basically, a test set with a higher mutation score is more likely to expose real bugs in the software [38].
Figure 1.
Generic process of mutation testing.
In contrast to traditional software systems, the behavior of a DL system is determined not only by its source code but also by the training dataset, the structure of its network, and the hyperparameter settings. Therefore, syntactic code changes for traditional software systems are insufficient to implement realistic fault injection for DL systems, and thus a new set of mutation operators should be used to mutate DL systems [39]. DeepMutation [40] and DeepMutation++ [41] are the first works to propose two distinct categories of mutation operators, source-level and model-level operators, tailored specifically to DL systems. MuNN [42] used only five types of model-level mutation operators for neural networks. Subsequently, DeepCrime [43] selected eight groups of mutation operators based on real faults in DL systems. Based on these mutation operators designed for DL systems, some researchers utilized mutation testing to perform further analysis for DL systems. DeepMetis [44] automatically generated new test inputs to augment an inadequate DL test set. Kim et al. [45] used mutation models to provide an investigation and assessment of existing technologies that can be used to repair model performance. Wang et al. [46] found that adversarial samples are more sensitive than normal samples when performing mutations to a deep neural network, so they can model mutation testing to detect adversarial samples.
The extensive application of DL in HSI classification has allowed researchers to adapt mutation testing to evaluate DL-based HSI classifiers as well. Instead of using mutation testing to measure test adequacy in most existing studies, this paper proposes an advanced mutation analysis framework that can measure the robustness of HSI classifiers. Moreover, the existing mutation operators proposed for DL systems have not taken into account the characteristics of HSIs. In this paper, we put forward a set of mutation operators that can simulate faults or distortions in the construction of HSI classifiers to a certain extent. To the best of our knowledge, this is the first study to simulate HSI distortions to evaluate the robustness of remote sensing DL classifiers by deploying mutation analysis.
3. Proposed Approach
Various formats of spatial and spectral data, including hyperspectral and multispectral images, are used in remote sensing applications. However, HSIs contain the most complex information due to their high dimensionality and the level of information they provide [47]. Due to the advantage of high-capacity DL models, several DL architectures have been proposed for HSI classification problems [48]. Typically, the performance of individual DL models is mainly measured by their accuracy on a prepared set of test data. However, for HSI classification, the lack of sufficient labeled data is a major problem for evaluating different DL models [49,50]. Furthermore, it is also difficult to evaluate the robustness of these models. In order to evaluate the DL-based HSI classifiers, we propose a mutation analysis-based framework named MuDL. Figure 2 illustrates the workflow of this framework.
Figure 2.
The workflow overview of MuDL framework.
As shown in Figure 2, the framework consists mainly of two stages. The first stage is to generate mutant models. For the classification model F under assessment and the analyzed HSI scene, the model partitions the HSI scene into 3D patches with fixed size [10,12], and a ground label is assigned to the central pixel of each patch based on the synthesis of its neighboring environment. Assume that we have a labeled train set and test set of 3D patches in HSIs, and let Y be the set of label classes of all input data. Each sample in or is denoted by , where is the ground label. On the one hand, all samples that fail the tests (that is, ) would be filtered out in our subsequent mutation analysis. On the other hand, we utilize the mutation testing approach to generate different kinds of mutants for the model F by using two sets of mutation operators. The set of mutants generated is denoted by , where is the function of the mutation operators.
The second stage of the framework is to evaluate the robustness of the model according to the results of the mutant models generated. For a sample and a mutant , is called to kill if . We then measure the performance of the HSI classification on these mutants instead of a limited number of test samples. The goal of mutation analysis is to measure to what extent the output of the DL model is affected by minor faults in the mutants. Furthermore, it allows a critical evaluation of the robustness of the model for DL-based HSI classifiers, in which three robustness metrics are computed.
As the key techniques, the details of the mutation operators used in the first stage and the robustness metrics computed in the second stage are presented in the following subsections.
3.1. Mutation Operators
Our mutation analysis focuses on the characteristics of the neural network rather than on the syntax rules. The assumption is that mutation can qualitatively change the output of the model and alter the way the model works. For a DL system used for HSI classification, the final result is obtained according to the operation of combining inputs and parameters. A softmax function is applied to the initial continuous output, and then the final discrete output is produced. Hence, even slight mutations can lead to a small change in the continuous output, but they may not necessarily result in a qualitative change in the final discrete output. Therefore, only the changes in the final discrete output can be considered as a qualitative change.
The final output of a neural network model is influenced by several characteristics, including the input dimension, the activation function, the bias, the connection weight, and the network structure. These characteristics of DL systems are similar to the syntax rules in traditional software systems. Mutating any of these characteristics can potentially change the output of the DL model. We consider two groups of mutation operators in this paper, namely data-level operators and network-level operators, which perform minor modification on inputs and networks, respectively, to introduce potential faults in DL-based HSI classifiers. Table 1 presents the list of mutation operators we used in DL-based models for HSI classification. In particular, we adopt the following mutation operators that are general to the DL models [40,43]:
Table 1.
Mutation operators.
- Data Repetition (DR): The DR operator duplicates a small portion of training data. This is because training data are often collected from multiple sources, some of which are quite similar, and the same data point can be collected more than once.
- Data Missing (DM): The DM operator removes a small part of the training data. This could occur due to inadvertent or mistaken deletion of some data points.
- Noise Perturbation (NP): The NP operator adds random noise to the training data. This is because a data point could carry noise from various external sources, and this operator simulates this issue by adding random perturbations to some pixels of an image.
- Label Error (LE): The LE operator injects faults into the training dataset by changing the label for a data point. This is because some data points are mislabeled, especially when the size of the training dataset is large.
- Layer Removal (LR): This operator removes a layer from the network, with the condition that the input and output structures of the deleted layer remain the same. It focuses on the layers for which the deletion would not significantly impact the model, e.g., the dense layer.
- Batch Size (BS): The BS operator alters the batch size used for updating a network’s weights during training. This operator changes the batch_size to be batch_size/4, batch_size/2, batch_size*2, and batch_size*4. It simulates the effect of improper batch sizes on model training.
- Learning Rate (LRa): The LRa operator decreases the learning rate to be used to train the classification system. It investigates the consequences of using a learning rate that is too small to train a DL model.
- Number of Epochs (NE): The NE operator modifies the number of epochs to be used to train the classification system. This operator simulates the impact of setting improper epochs on the training of a DL model.
In the above general DL mutation operators, DR, DM, NP, and LE are data-level mutation operators. Since training data preparation for HSIs is sometimes error prone, these data-level mutation operators are selected based on potential problems that occur during the HSI data collection process. As training data play a vital role in the building of DL models, their slight modifications probably affect the performance of HSI classifiers.
Meanwhile, LR, BS, LRa, and NE are network-level mutation operators. Owing to the sensitivity of DL training programs to code changes, minor modifications of model structures or training settings can cause the training process to produce noticeable anomalies, e.g., an obvious decline in prediction accuracy during the initial iterations or epochs of the training. Considering the characteristics of the construction of HSI classifiers, we select the four operators to inject potential faults into the construction of the models.
In addition to the above general operators, we design another three data-level mutation operators specially for HSI data, including CR, CS, and CD. In the following, we describe these HSI-specific mutation operators.
- (1)
- Channel Removal (CR)
The imaging failure of HSIs in a certain spectral band can be attributed to various factors, including the following:
- Sensor malfunction: The sensor within an HSI experiences malfunctions, causing it to fail to capture spectral information in a specific band.
- Equipment calibration issues: Proper calibration is necessary for the normal functioning of an HSI. Significant calibration errors can lead to imaging failure in a particular band.
- Environmental factors: HSIs have stringent environmental requirements. Variations in factors such as temperature, humidity, and atmospheric pressure can also cause image failure in a specific band.
To address this, we propose the CR operator, which deletes one channel of the training data. This operator simulates the scenario where spectral information in a specific spectral band is unavailable in an HSI. Specifically, when using this operator, one or more channels of training data are randomly selected and the corresponding value is set to 0.
- (2)
- Channel Shuffle (CS)
Data misordering across different bands can occur in the following circumstances:
- Data acquisition and processing errors: HSIs require the collection and storage of data from each band in a predefined sequence and timing. Errors in data acquisition and processing, such as incorrect sequencing during data collection and storage, can lead to misordering of data across different bands.
- Data transmission errors: Errors in data transmission by the HSI, such as missing or incorrectly transmitted data from a particular band, can also result in misordering of data across different bands.
- Program or algorithm errors: During data processing, program or algorithm errors, such as incorrect sorting or processing of data, also lead to data misordering across different bands.
To address this, we propose the CS operator, which shuffles the different bands of the training data. This operator simulates the mixing of data order across different bands during data collection and storage. Specifically, when this operator is used, a random exchange of values is performed between two or more channels of the training data.
- (3)
- Channel Decrease (CD)
The attenuation of data in different bands during data acquisition by HSIs can occur due to various factors, typically caused by the absorption and scattering effects of the medium. The following are some situations that may lead to data attenuation across different bands:
- Scattering: When electromagnetic waves pass through a medium, certain bands of electromagnetic waves scatter due to interactions with particles in the medium, such as aerosols and fog. This results in the attenuation of electromagnetic waves in different bands during propagation.
- Gas absorption: Gases in the atmosphere, such as water vapor, carbon dioxide, and ozone, have scattering and absorption effects on electromagnetic waves in specific bands. The presence of these gases leads to the attenuation of electromagnetic waves in different bands during their propagation through the atmosphere.
- Distance attenuation: Due to the scattering and absorption effects of the medium on electromagnetic waves in different bands, the electromagnetic waves gradually weaken during propagation. After traversing a certain distance, electromagnetic waves in different bands experience varying degrees of attenuation.
To address this, we propose the CD operator, which slightly reduces the values of different channels of the training data. This operator simulates the attenuation of data in different bands due to external influences. Specifically, when this operator is used, the values of one or more randomly selected channels of the training data are slightly reduced.
We provide MuDL users with high flexibility in configuring these mutation operators while minimizing the effort of manual work expected for a fundamental utilization. Since most mutation operators come with a set of parameters that can be configured, we allow users to set specific values for these parameters. Taking the DR operator as an example, the users can supply an explicit specification of the percentage of training data to be duplicated. By default, MuDL sets the parameters of the mutation operators according to DeepMutation [40] and DeepCrime [43].
3.2. Sensitivity Evaluation
Based on these mutation operators, a set of mutant DL models can be obtained after the training data and the network have been mutated from the original model for the HSI classification. The basic idea is that if the DL model for the HSI classification is robust enough, its output would not be affected by the presence of distortions; i.e., the outputs of the mutants are consistent with the output of the original model. In the following, we define three sensitivity metrics to measure the robustness of a DL model for HSI classification. Noting that although some of these metrics have also been defined or used in other studies [51,52], we propose new definitions from the perspective of mutation analysis.
- (1)
- Mutation Robustness
Mutation operators are used to simulate different types of distortion during training of DL-based models for HSI classification. There is an assumption that the model is relatively robust if its output is less affected by our mutation. Therefore, we define a new metric, Mutation Robustness, to measure the sensitivity of a DL system to the model mutation.
Each test data point that is handled correctly by the original DL model F is evaluated on all the mutant models’ generated . In traditional mutation testing, we say that the test set kills a mutant if there exists a sample that is not correctly handled by , and the ratio of mutants killed to all mutants generated is used to calculate the mutation score. However, it is inappropriate to utilize the same metric to measure DL systems. When mutation testing is performed on DL systems, it is quite common for to kill a mutant (evidenced by the experiments shown in Section 4), making the value of the traditional mutation score metric very high in general. Therefore, we modify the traditional calculation of the mutation score metric and compute it specifically for DL systems by counting the mutants killed by individual test data points instead of the whole test set:
where represents the mutants killed by :
Basically, a lower value of shows that the test dataset kills fewer mutants (i.e., the classification model is less vulnerable to various types of distortions), which means that the model is a more robust HSI classification system. When comparing different DL systems, the computed values of are generally limited to a small range. Therefore, based on the calculation of , we use to scale the scores and compute as follows:
which enables the metric values to range from 0 to 1, and a higher value means a more robust HSI classification system.
- (2)
- Noise Robustness
We can observe that some HSI samples are misclassified by the mutant models. Dang et al. [53,54] also identified this issue in their studies on test input prioritization for classifiers. A basic explanation is that these samples are close to the decision boundary of the DL models. We found that if the model was trained using these samples, the accuracy of HSI classification would be reduced compared to the uniform sampling strategy (as shown in the example in the following paragraph). We call such samples noise samples. Intuitively, the lower the classification accuracy drops when training with noise samples, the stronger the robustness of the model, because the performance of this model is less sensitive to noise samples. Therefore, we propose a new definition of the Noise Robustness metric to measure the sensitivity of a model to noise samples through mutation analysis.
In order to compute noise robustness, we measure the impact of noise samples on model training by observing the performance fluctuation compared to the traditional uniform sampling in model training. Firstly, all samples in are ranked in descending order according to the number of mutants killed by each sample, where the top ranked samples are treated as noise samples. Secondly, to provide a basic classification performance with different HSI labels, we built a basic model that is trained with 10 samples randomly selected from each label. Based on the basic model, we use two strategies to iteratively retrain the model with new data. The first training strategy is to use uniform samples. During each training, 50 samples of the uniform distribution are added to the training set for model retraining. For the second training strategy, noise samples are added to the training set in order of their mutation ranking in the first step. Finally, we can obtain two change curves of classification accuracy for each training strategy. Figure 3 shows an example of 3D-CNN performed on the IN dataset. By comparing the two curves in the figure, we can find that the classification accuracy of 3D-CNN is reduced when training with noise samples instead of the complete uniform samples. The classification accuracy even drops after adding some top-ranked noise samples for model retraining, shown in the green curve from the point of 50 samples to the point of 100 samples.
Figure 3.
Accuracy of 3D-CNN with two training strategies on Indian Pines.
We use the differences in model accuracy between two training strategies as an indicator to compute the value of noise robustness as follows:
where and are the areas under the classification accuracy change curves corresponding to the uniform training strategy and the noise training strategy, respectively. Take Figure 3, for example; the value of is the ratio of the area under the green curve to that under the red curve. The metric value varies between 0 and 1 in all of our experiments (see Section 4). A higher value of indicates a more robust HSI classification model, since the model’s training is less influenced by noise samples.
- (3)
- Adversarial Robustness
Wang et al. [46] found that adversarial samples are more sensitive than normal samples when performing mutations on deep neural networks. Following this characteristic, we can model mutation testing to select the most dangerous adversarial samples and then measure the ability of the origin model to defend against the critical adversarial attacks. Intuitively, the stronger the model’s ability to resist the most dangerous adversarial samples chosen by the mutants, the better the robustness of the model. Therefore, we compute an Adversarial Robustness metric to assess the sensitivity of the DL-based model to the most dangerous adversarial samples. Originally, the adversarial robustness of a model refers to its ability to resist being fooled [55]. However, in this paper, we use a more critical definition of adversarial robustness, in which the most dangerous adversarial samples are selected according to their attack results on the mutant models.
The metric value of adversarial robustness is calculated as follows. Firstly, we generate a set of adversarial samples from the original test set by using typical adversarial attack techniques on HSI data. Secondly, the samples in are used as inputs of each mutant in , and then we count the number of mutants killed by each adversarial sample in , which is represented as . We assume that the adversarial sample that kills abnormally many mutants is more dangerous. Therefore, we choose a threshold and the most dangerous adversarial samples can be identified by checking whether they kill more mutants than :
Then, we compute the value of with respect to a certain adversarial attack technique as the accuracy of the origin model F performed on .
where denotes the set of samples in that are correctly classified by the model F. Similarly, the value of this metric ranges from 0 to 1. A higher value of adversarial robustness indicates a stronger ability to resist the most dangerous adversarial samples and thus a better robustness level of the model.
We have implemented the three most widely used adversarial attack techniques, FGSM [19], BIM [21], and PGD [20], to generate adversarial samples. MuDL computes the average value of when adopting three adversarial attack techniques as the final adversarial robustness score. By default, is set to allow us to pick the top 20% of adversarial samples that kill the most mutants.
Three sensitivity metrics, i.e., , , and Adversarial_Robustness, measure different aspects of model sensitivity to mutations, and they all have been normalized so that the metric values range from 0 to 1. It allows us to compute an overall score about the level of model robustness for a given HSI classifier by setting weights to combine three sensitivity metrics based on user preferences.
4. Experiments and Analysis
In this section, we evaluate and compare seven typical models for HSI classification using the MuDL framework. We also analyze the robustness of different HSI classifiers with few labeled samples. Finally, we investigate how the selection of mutation operators and the hyperparameter setting of DL models can influence the evaluation results.
4.1. Experimental Datasets
Our experiments were performed on six popular HSI datasets as follows:
- Indian Pines (IN): The original size of the IN dataset is 145 × 145 × 224, covering a wavelength range of 400–2500 nm. The available ground classes are divided into 16 categories that cover a total of 10,366 labeled samples. After removing the spectral bands affected by atmospheric water vapor absorption, the remaining 200 bands were utilized for research purposes.
- Salinas (SA): The original size of the SA dataset is 512 × 217 × 224. Similar to the IN image, 20 bands affected by atmospheric water vapor were removed, leaving 204 bands remaining for analysis. This dataset covers a total of 16 categories (e.g., vegetables, bare soil, and vineyards) with 54,129 labeled samples.
- Pavia University (PU): The original size of the PU dataset is 610 × 340 × 103, spanning a wavelength range of 430–860 nm. After removing noisy bands, a selection of 103 bands was chosen as the focus of the study, comprising a total of 42,776 labeled samples in nine different classes.
- WHU-Hi-LongKou (LK): The original size of the LK dataset is 550 × 400 × 270, spanning a wavelength range of 400–1000 nm. This dataset comprises nine distinct categories (e.g., corn, cotton, and sesame), totaling 204,542 samples.
- WHU-Hi-HanChuan (HC): The original size of the HC dataset is 1217 × 303 × 274, covering a wavelength range of 400–1000 nm. It consists of 16 different categories, with a total of 257,530 samples. This dataset was acquired during a low solar elevation angle in the afternoon, resulting in numerous areas covered by shadows in the images.
- WHU-Hi-HongHu (HH): The original size of the HH dataset is 940 × 475 × 270, encompassing a wavelength range of 400–1000 nm. This dataset includes 22 distinct categories, totaling 386,693 samples. In particular, the region contains different varieties of the same crop type; e.g., Chinese cabbage/cabbage and brassica chinensis/small brassica chinensis.
4.2. Experimental Setup
We use MuDL to perform a mutation analysis of popular HSI classifiers with different structures and compare their robustness. The models we analyzed and compared are listed below:
- 3D-CNN [11]: a typical HSI classification method based on spectral–spatial fusion.
- FDSSC [13]: a typical spectral–spatial classification method based on dense networks.
- HybridSN [12]: a typical HSI classification method combining 2D-CNN and 3D-CNN.
- MCNN [15]: a typical HSI classification method utilizing mixed convolutions and covariance pooling.
- FC3DCNN [16]: a typical HSI classification method based on fast and compact 3D-CNN.
- DWTDENSE [17]: a typical HSI classification method based on the 3D discrete wavelet transform (3D DWT) and dense CNN.
- Tri-CNN [18]: a typical HSI classification method based on multiscale 3D-CNN and three-branch feature fusion.
These models are selected for their representativeness of the advances in DL for HSI classification. In particular, they utilize CNN techniques to address the challenges associated with the high dimensionality and complexity of the HSI data. They were re-implemented as close as possible to their original papers, using Keras and TensorFlow. To ensure input consistency, we set the size of the input data cube to 9 × 9 × L, where L represents the number of channels in the spectral dimension. Figure 4, Figure 5, Figure 6, Figure 7, Figure 8 and Figure 9 show the misclassification areas of individual HSI classifiers in six HSIs. These figures present misclassification areas (colorful points on the diagrams) according to the true labels to highlight visual quality differences. We can observe that FDSSC and HybridSN have slightly better performance on the three smaller HSIs (i.e., IN, SA, and PU), and all analyzed HSI classifiers have similar accuracy on the three larger HSIs (i.e., LK, HC, and HH).
Figure 4.
Misclassification areas (colorful points on the diagrams) of different methods in the IN dataset. (a) 3D-CNN; (b) FDSSC; (c) HybridSN; (d) MCNN; (e) FC3DCNN; (f) DWTDENSE; (g) Tri-CNN.
Figure 5.
Misclassification areas (colorful points on the diagrams) of different methods in the SA dataset. (a) 3D-CNN; (b) FDSSC; (c) HybridSN; (d) MCNN; (e) FC3DCNN; (f) DWTDENSE; (g) Tri-CNN.
Figure 6.
Misclassification areas (colorful points on the diagrams) of different methods in the PU dataset. (a) 3D-CNN; (b) FDSSC; (c) HybridSN; (d) MCNN; (e) FC3DCNN; (f) DWTDENSE; (g) Tri-CNN.
Figure 7.
Misclassification areas (colorful points on the diagrams) of different methods in the LK dataset. (a) 3D-CNN; (b) FDSSC; (c) HybridSN; (d) MCNN; (e) FC3DCNN; (f) DWTDENSE; (g) Tri-CNN.
Figure 8.
Misclassification areas (colorful points on the diagrams) of different methods in the HC dataset. (a) 3D-CNN; (b) FDSSC; (c) HybridSN; (d) MCNN; (e) FC3DCNN; (f) DWTDENSE; (g) Tri-CNN.
Figure 9.
Misclassification areas (colorful points on the diagrams) of different methods in the HH dataset. (a) 3D-CNN; (b) FDSSC; (c) HybridSN; (d) MCNN; (e) FC3DCNN; (f) DWTDENSE; (g) Tri-CNN.
During our mutation analysis, for each model, we generated 20 mutants using each mutation operator, where the mutation rate was set to 0.01. To ensure the stability of the experimental results, we employed a rigorous approach when assessing noise robustness. Specifically, for each instance of incorporating new training data, the experiment was repeated five times. Subsequently, the mean value derived from repeated experiments was used as the metric to evaluate the noise robustness. During the evaluation of adversarial robustness, we employed three attack strategies on the test dataset. Specifically, for the FGSM, we set the attack step size to 0.01. For the BIM, the attack step size was set to 0.03, and the attack was iterated five times. Lastly, for PGD, the attack step size was set to 0.04, and it was also iterated five times. By subjecting the model to these three adversarial attacks, we evaluated its average performance in the presence of such perturbations.
All experiments were performed on the same platform equipped with 64 GB of CPU memory and two RTX TITAN 24GB GPUs.
4.3. Comparison Results
We leverage mutation analysis to evaluate the robustness of seven well-established HSI classifiers on six well-known HSI datasets. To better display the evaluation results visually, Figure 10 shows the 3D coordinates of each classifier performed on six HSI datasets using the metric values of mutation robustness, noise robustness, and adversarial robustness. In the figure, the ball size of each model denotes the level of its overall robustness (i.e., a larger ball shows higher robustness with regard to its robustness metrics on average). The point (0,0,0) represents the worst robustness of the model with the lowest value, 0%, of each robustness metric, while the point (1,1,1) represents the best model robustness with the highest value, 100%, of each robustness metric. Meanwhile, Table 2 reports the full results of the robustness metrics for each model performed on each dataset. In this table, the bold and underlined numbers indicate the best and worst robustness, respectively. In the following, we describe the evaluation results of individual HSI classifiers with regard to each robustness metric.
Figure 10.
Evaluation results of three robustness metrics in 3D coordinates.
Table 2.
Robustness metric values of different models on six datasets.
4.3.1. Mutation Robustness
The mutation robustness metric is calculated based on the classification accuracy of mutant models on the test set. Taking LK as an example, Figure 11 presents misclassification maps on the LK image by some mutant models for the analyzed classifiers. They show more misclassification areas compared to their origin results shown in Figure 7. Based on the values of the mutation robustness metric shown in Table 2, we observed that FDSSC obtains the best mutation robustness scores on five HSI datasets and performs remarkably well on the PU dataset, ranking just below Tri-CNN. In contrast, 3D-CNN, HybridSN, and DWTDENSE have the lowest metric values on some HSI datasets. This result suggests that FDSSC is less sensitive to the model mutation than the other classifiers, which means that the performance of FDSSC is more stable in the presence of distortions during HSI classification. The FDSSC network draws inspiration from DenseNet [14] during its network construction, leveraging its ability to efficiently utilize features and enhance feature propagation between convolution layers. Additionally, distinguished by obtaining the spectral and spatial features together, FDSSC uses a CNN to learn the spectral and spatial features separately to extract more discriminative features. This structural design of the FDSSC network effectively mitigates the data distortion caused by the data-level mutation operators and improves the accuracy and robustness of the model.
Figure 11.
Examples of misclassification areas (colorful points on the diagrams) in the LK dataset by mutant models. (a) 3D-CNN; (b) FDSSC; (c) HybridSN; (d) MCNN; (e) FC3DCNN; (f) DWTDENSE; (g) Tri-CNN.
4.3.2. Noise Robustness
Taking HC as an example, Figure 12 presents misclassification maps on the HC image by some of the models trained with noise samples. They show more misclassification areas compared to their origin results shown in Figure 8. Based on the accuracy of these models, we can compute the noise robustness for each HSI classifier, which is also shown in Table 2. Similarly, with the findings in mutation robustness, FDSSC achieves the best scores of noise robustness on almost all of the HSI datasets, while 3D-CNN and DWTDENSE perform worst in our experiments. This implies that if the HSI classification model is trained with noise samples, the performance of the FDSSC will only be slightly reduced compared to uniform sampling. In contrast, the training of 3D-CNN and DWTDENSE is more sensitive to noise than the other models. The 3D-CNN network architecture comprises seven layers, utilizing only two 3D convolution layers to simultaneously extract spatial and spectral features. These two convolution layers have two and four convolution kernels, respectively. In the presence of a significant amount of noisy data, the feature extraction ability of a simple network structure is comparatively limited, impeding its capacity to capture the deep relationship and semantic information embedded within the dataset. DWTDENSE, which aims to reduce network parameters and alleviate the complexity of network training, employs 3D DWT and PCA to decrease the dimensionality of data input into the network. However, noisy samples may distort or obscure the authentic characteristics within the imagery, thereby disrupting the 3D DWT’s ability to extract spatial and spectral information, which in turn affects the quality and representativeness of the features. Moreover, the dimensionality reduction via PCA also leads to the loss of useful information contained within the noisy samples.
Figure 12.
Examples of misclassification areas (colorful points on the diagrams) in the HC dataset by the models trained with noise samples. (a) 3D-CNN; (b) FDSSC; (c) HybridSN; (d) MCNN; (e) FC3DCNN; (f) DWTDENSE; (g) Tri-CNN.
4.3.3. Adversarial Robustness
As an example, Figure 13 shows misclassification maps by some of the models performed on the most dangerous adversarial samples of the HH image. They also show more misclassification areas compared with their origin results shown in Figure 9. Table 2 also presents the values of the adversarial robustness metric for each model on all HSI datasets. Unlike the other two robustness metrics, HybridSN and Tri-CNN achieve the best adversarial robustness scores, while 3D-CNN and FDSSC have the lowest metric values on our datasets, which shows an obvious gap in the metric values between them. It indicates that HybridSN and Tri-CNN have more effective defenses against adversarial attacks when considering the influence of model mutation. HybridSN integrates the complementary information from the spectral–spatial and spectral domains through the utilization of 3D-CNN and 2D-CNN layers, respectively. To enhance the spectral–spatial feature representation, three consecutive 3D convolutions are employed, thereby preserving the spectral information of the input HSI data within the output volume. Furthermore, a single 2D convolution is applied before the layer, enabling effective discrimination of spatial information across different spectral bands while retaining crucial spectral information, which holds significant importance in the analysis of HSI data. By leveraging such a structure, HybridSN maximizes the utilization of spatial and spectral feature maps; therefore, HybridSN can better defend against the same strength of adversarial attacks among the five models. For Tri-CNN, it integrates a spatial feature extractor, a spectral–spatial feature extractor, and a spectral-only feature extractor to form a three-branch feature fusion network, which improves the extraction of spectral features. By introducing multiple 1 × 1 × 3 3D convolutional filters, the model focuses on the spectral information of specific pixels, effectively avoiding the inclusion of irrelevant information and thereby improving classification performance.
Figure 13.
Examples of misclassification areas (colorful points on the diagrams) by the models on the most dangerous adversarial samples of the HH dataset. (a) 3D-CNN; (b) FDSSC; (c) HybridSN; (d) MCNN; (e) FC3DCNN; (f) DWTDENSE; (g) Tri-CNN.
It is interesting to see that although FDSSC has the best performance in mutation robustness and noise robustness, it performs worst on the PU and HH datasets with regard to the adversarial robustness metric. One possible reason is that the densely connected method employed in FDSSC promotes feature reuse, which leads to perturbations introduced by the adversarial attack algorithm being potentially treated as features and continuously reused. Consequently, it leads to misclassification of the input data.
4.3.4. Summary
Generally, the results for the three larger-scale datasets are similar to those for the three smaller-scale datasets. But, we can find that many classifiers have the lowest metric values on the HC dataset which has more than 257k samples. Especially, 3D-CNN and FDSSC obtain only 2.93% and 10.85%, respectively, for scores on HC.
Tri-CNN wins in adversarial robustness and also achieves optimal or near-optimal performance in mutation robustness and noise robustness. It demonstrates superior robustness when handling various distortions. Meanwhile, FDSSC achieves excellent performance in terms of mutation robustness and noise robustness. Therefore, we suggest that Tri-CNN or FDSSC is a good choice for the HSI classification task, since they maintain a relatively stable level of performance in the presence of external distortions or manual attacks. In contrast, the overall robustness of 3D-CNN and DWTDENSE obtains lower robustness scores. For 3D-CNN, the limited number of layers and convolution kernels in the model can result in restricted representation and feature extraction capabilities of the network. A smaller quantity of convolution kernels implies that the network cannot capture the richer and more complex features present in the input data. For DWTDENSE, it employs two approaches to reduce the volume of input data while also featuring a lightweight model architecture with a minimal number of layers and parameters. Consequently, this can negatively impact these networks’ performance.
4.4. Analysis of Model Robustness Under Few Labeled Samples
It is time-consuming and expensive to annotate HSIs due to field knowledge requirements, which leads to the limited size of the labeled samples for the HSI classification task. The purpose of this experiment is to evaluate the robustness of different DL-based HSI classifiers based on their mutation scores in the case of only a few annotations.
Unlike our original experiment which used 10% of the labeled samples as the training set, in this experiment, very few labeled samples (e.g., one, two, or three) were selected from each category as the training set to generate the classification models and their mutants. Then, we calculated the mutation scores (using Equation (1)) of different HSI classifiers to measure robustness with small sample sizes. This experiment was repeated three times, and finally the average value was used.
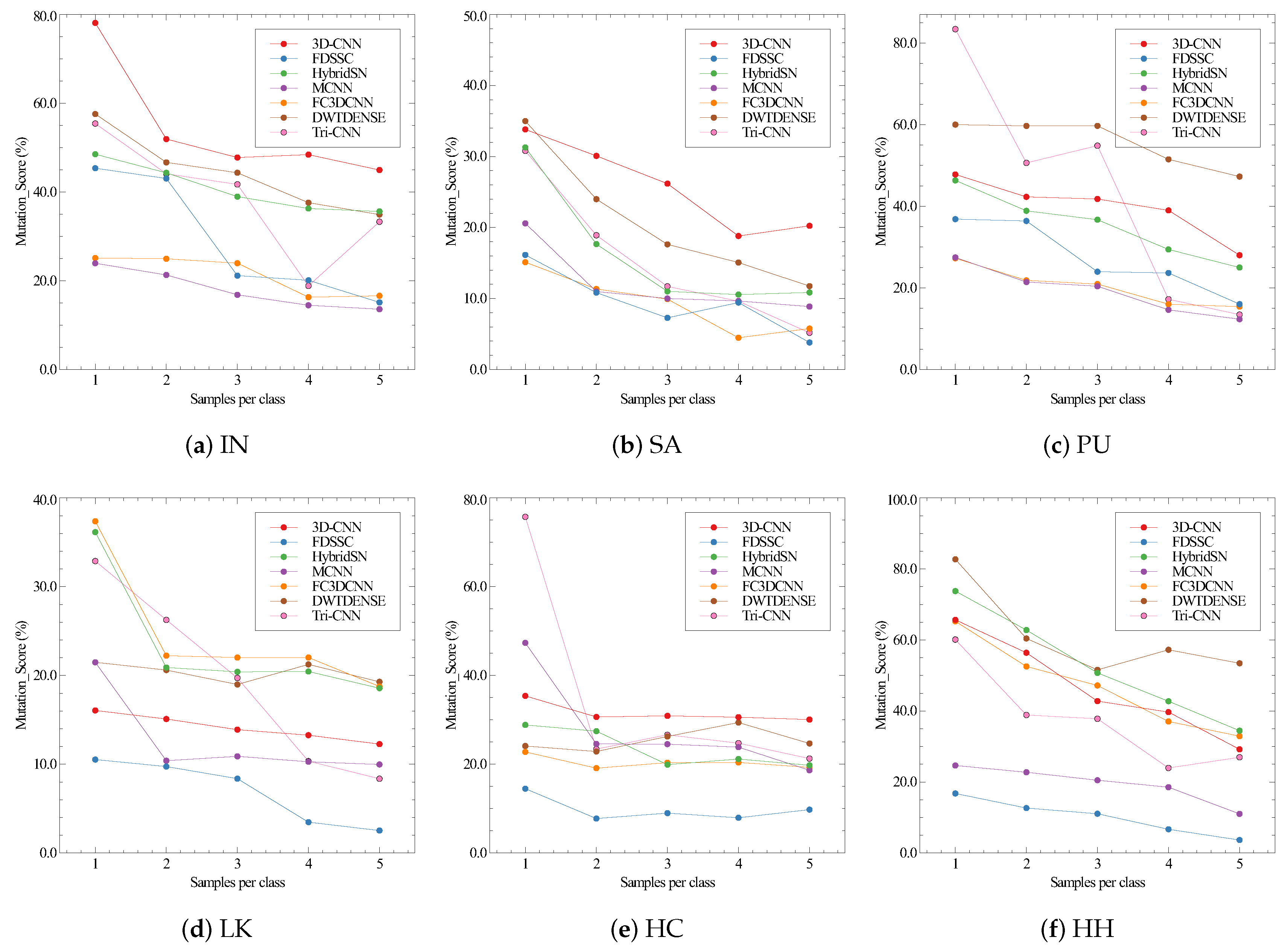
Figure 14 reports the mutation scores of seven models in the case of few labeled training samples (i.e., from one to five samples per class). Generally, as the number of samples increases, the models show a decrease in mutation score for all HSI datasets, indicating that fewer mutants are killed by the test dataset, and therefore the model is less vulnerable to distortions when the training size increases. As the training samples increase, the model’s classification boundaries become clearer, resulting in stronger robustness of these classification models.
Figure 14.
Mutation scores of different HSI classifiers in the case of few labeled samples.
Among the seven models, MCNN, FDSSC, and FC3DCNN maintain good mutation robustness on the three smaller datasets with small sample sizes, but MCNN and FC3DCNN do not perform well on the three larger datasets. An interesting thing is that some models show a slight increase in the mutation score once the number of samples in each category reaches three or four, indicating an unstable performance of model robustness in the case of few labeled training samples.
4.5. Influence of Mutation Operators
Our third experiment aims to analyze how different groups of mutation operators, i.e., data level and network level, can influence the evaluation results of MuDL. Table 3 presents the results of robustness metrics when adopting data-level mutation operators and when adopting network-level mutation operators. In this table, the bold and underlined numbers indicate the best and worst robustness for each HSI dataset, respectively.
Table 3.
Comparison between data-level mutation and network-level mutation.
The table shows that the robustness level is almost consistent between two groups of mutation operators; i.e., the metric values obtained from the data-level mutation operators are similar to the metric values obtained from network-level operators. For example, for Noise_Robustness, FDSSC wins the first place in all HSI datasets except SA and LK when using data-level mutation operators (with scores ranging from 93.35% to 98.10%) and network-level mutation operators (with scores ranging from 93.85% to 98.05%).
4.6. Influence of DL Model Settings
The HSI classification accuracy would be highly influenced by the patch size (i.e., spatial size) of the HSI samples to be classified. To find the influence of this important setting on the results of robustness evaluation, we also tested the models by extracting the spectral–spatial features with different sample patch sizes: 9 × 9 × L, 13 × 13 × L, 17 × 17 × L, 21 × 21 × L, and 25 × 25 × L, where L is the number of channels in the spectral dimension. Since it is time-consuming to run all HSI classifiers on large-scale datasets with different settings, we use IN and LK as examples to analyze the influence of sample patch size on the robustness level in this experiment. For each analyzed HSI dataset, Figure 15 presents the changes in classification accuracy and the changes in three robustness metric values when setting different patch sizes.
Figure 15.
Influence of sample patch size on classification accuracy and robustness metrics in IN and LK.
The figure shows that the results of the robustness evaluation are affected by the setting of sample patch size. With an increase in the sample patch size, most models demonstrate commendable robustness, including HybridSN, MCNN, FC3DCNN, and Tri-CNN. However, 3D-CNN and FDSSC exhibit varying degrees of fluctuation across the three robustness metrics. As discussed in the preceding section, the FDSSC network facilitates feature reuse. With an increase in the sample patch size, there is a corresponding increase in the proportion of noise information within the input samples. Consequently, FDSSC captures more noise-related information. For 3D-CNN, its network architecture, compared to other models, cannot adequately capture additional information as the sample patch size increases.
Another interesting observation is the impact of patch size on the performance of each model. From the mutation robustness and noise robustness curves in Figure 15, we can observe several lines that initially rise and then decline, particularly in Figure 15b,g. Some models, including MCNN and DWTDENSE, reach their peak performance at a certain patch size, after which performance either decreases or levels off. This suggests that selecting an appropriate patch size can enhance model robustness, while excessively large patch sizes may degrade performance due to increased information and noise.
For adversarial robustness, it should be noted that 3D-CNN also exhibits a particularly anomalous variation on the IN dataset. When the sample patch size transitions from 17 to 21, the adversarial robustness of 3D-CNN undergoes a significant improvement, shifting from a very poor level to a moderate level across the seven models. As can be seen in Figure 15a, when the sample patch size of 3D-CNN reaches 21, the classification accuracy of its original model has dropped to a remarkably low level. However, we found that the change in its classification accuracy under adversarial attacks is not obvious when setting large patch sizes. This discrepancy helps explain the sudden and rapid enhancement observed in the robustness of 3D-CNN. In terms of FDSSC, although it shows good performance in mutation robustness and noise robustness in both HSI datasets, its adversarial robustness exhibits poor performance, especially when setting large patch sizes.
5. Discussion
Our experiments reveal several key insights into improving the robustness of DL-based models for HSI classification. A critical factor influencing model robustness is the quality and quantity of training data. Models trained on larger and higher-quality datasets consistently demonstrated greater resistance to perturbations, underscoring the importance of datasets with representative samples and applying rigorous pre-processing techniques. By integrating advanced data augmentation techniques, including random transformations and noise reduction strategies, models can enhance their ability to generalize under various conditions and withstand real-world distortions.
Another promising approach to improve robustness is boundary sample retraining, a technique similar to adversarial training. Our research revealed that models can achieve substantial improvements in decision boundary clarity, thereby enhancing their overall robustness. It is achieved by retraining on samples that are close to the decision boundaries, which are particularly vulnerable to disturbances. This method forces the model to learn more resilient patterns, making it less vulnerable to small input variations.
In addition to data-level techniques, model architecture plays a crucial role in robustness. FDSSC exhibited superior performance under various perturbations, probably due to its dense connectivity which promotes effective feature reuse and enhances the capacity to resist noise. But the models, including 3D-CNN and DWTDENSE, showed vulnerabilities, particularly when confronted with network-level mutations. These findings suggest that HSI classification models should prioritize hybrid or more complex architectures that incorporate regularization techniques or additional convolutional layers, thus capturing richer features to improve generalization.
Moreover, the fusion of multiple models can further enhance robustness. Individual models may struggle with specific types of perturbations, but by combining models with complementary strengths, a more resilient model can be constructed. Techniques such as ensemble learning, bagging, or boosting can take advantage of the strengths of different models to better mitigate the effects of data and network mutations, creating a more balanced and robust model.
The evaluation results of Tri-CNN and FDSSC also highlight the importance of multiscale feature fusion. By integrating spatial and spectral information at different scales, these models achieve superior classification robustness. Future model designs should consider incorporating additional multiscale feature extraction modules, leveraging both 2D and 3D convolutional layers to fully capture the complexity of hyperspectral data. Meanwhile, our findings also show the limitations of lightweight models such as DWTDENSE, which, despite reducing computational complexity, tend to exhibit reduced robustness in the face of significant perturbations. This presents a challenge: how to balance the benefits of lightweight architectures with the need for robustness. Future research could explore the integration of efficient attention mechanisms or hybrid convolutional structures, with the aim of maintaining computational efficiency while enhancing resistance to disturbances.
6. Conclusions
Deep learning, especially the CNN, has been proven to be efficient for the classification of hyperspectral data. However, DL-based techniques for HSI classification are often prone to various distortions, and it is difficult to evaluate their robustness levels. In this paper, we propose a mutation-based evaluation framework specialized for DL-based HSI classifiers. The framework uses two groups of mutation operators to simulate distortions and then computes a set of robustness metrics based on the classification results of the generated mutants. Based on the framework, our experiments compare the robustness of seven popular CNN-based HSI classifiers, which shows that Tri-CNN or FDSSC is a good choice for the HSI classification task because they achieve higher robustness in the presence of distortions. Furthermore, we find that MCNN, FDSSC, FC3DCNN, and Tri-CNN can maintain good mutation robustness in smaller-scale datasets in the case of few training samples, but MCNN and FC3DCNN do not perform well in larger-scale datasets. Experiments on different mutation operators show that the evaluation result is almost consistent between data-level operators and network-level operators. In addition, experiments on different sample patch sizes show that the robustness of individual HSI classifiers is influenced by the setting of sample patch size.
In the future, we will incorporate more metrics into the evaluation framework to obtain a more comprehensive assessment of DL-based models for HSI classification. Especially, we will evaluate more advanced DL-based HSI classifiers in recent years with this framework. Additionally, a variety of factors can affect the evaluation result of different classification methods in practical HSI classification, such as the sensitivity of the GPU and the time involved in the training phase for the DL-based models. This motivates us to explore further the impacts of these factors on the robustness of DL-based HSI classifiers in future works in order to provide a more reliable evaluation result.
Author Contributions
Conceptualization, Z.C., L.X. and Y.H.; methodology, Z.C., Y.H. and Q.L.; software, Y.H., Y.L. and M.Z.; validation, Y.H.; investigation, Z.C. and Y.H.; writing—original draft preparation, Z.C., Y.L. and Y.H.; writing—review and editing, Z.C., Y.H., Q.L. and L.X.; visualization, Y.H. and Y.L.; supervision, L.X. All authors have read and agreed to the published version of the manuscript.
Funding
This work was supported by National Natural Science Foundation of China (62302222) and Natural Science Foundation of Jiangsu Province, China (BK20220937).
Data Availability Statement
The IN, PU, and SA datasets can be obtained from www.ehu.eus/ccwintco/index.php?title=Hyperspectral_Remote_Sensing_Scenes (accessed on 29 August 2024). The LK, HC, and HH datasets can be obtained from http://rsidea.whu.edu.cn/resource_WHUHi_sharing.htm (accessed on 29 August 2024).
Conflicts of Interest
The authors declare no conflicts of interest.
References
- Zhang, M.; Li, W.; Du, Q. Diverse region-based CNN for hyperspectral image classification. IEEE Trans. Image Process. 2018, 27, 2623–2634. [Google Scholar] [CrossRef] [PubMed]
- Mancini, A.; Frontoni, E.; Zingaretti, P. A multi/hyper-spectral imaging system for land use/land cover using unmanned aerial systems. In Proceedings of the 2016 International Conference on Unmanned Aircraft Systems, Arlington, VA, USA, 7–10 June 2016; pp. 1148–1155. [Google Scholar]
- Wu, H.; Zhou, H.; Wang, A.; Iwahori, Y. Precise crop classification of hyperspectral images using multi-branch feature fusion and dilation-based MLP. Remote Sens. 2022, 14, 2713. [Google Scholar] [CrossRef]
- Townsend, P.A.; Walsh, S.J. Remote sensing of forested wetlands: Application of multitemporal and multispectral satellite imagery to determine plant community composition and structure in southeastern USA. Plant Ecol. 2001, 157, 129–149. [Google Scholar] [CrossRef]
- Ellis, R.J.; Scott, P.W. Evaluation of hyperspectral remote sensing as a means of environmental monitoring in the St. Austell China clay (kaolin) region, Cornwall, UK. Remote Sens. Environ. 2004, 93, 118–130. [Google Scholar] [CrossRef]
- Ullah, F.; Ullah, I.; Khan, R.U.; Khan, S.; Khan, K.; Pau, G. Conventional to Deep Ensemble Methods for Hyperspectral Image Classification: A Comprehensive Survey. IEEE J. Sel. Top. Appl. Earth Obs. Remote Sens. 2024, 17, 3878–3916. [Google Scholar] [CrossRef]
- Qin, A.; Shang, Z.; Tian, J.; Wang, Y.; Zhang, T. Spectral–Spatial graph convolutional networks for semisupervised hyperspectral image classification. IEEE Geosci. Remote Sens. Lett. 2019, 16, 241–245. [Google Scholar] [CrossRef]
- Sellars, P.; Aviles-Rivero, A.I.; Schonlieb, C.B. Superpixel contracted graph-based learning for hyperspectral image classification. IEEE Trans. Geosci. Remote Sens. 2020, 58, 4180–4193. [Google Scholar] [CrossRef]
- Zhao, Z.; Xu, X.; Li, S.; Plaza, A. Hyperspectral image classification using groupwise separable convolutional vision transformer network. IEEE Trans. Geosci. Remote Sens. 2024, 62, 1–17. [Google Scholar] [CrossRef]
- Zhong, Z.; Li, J.; Luo, Z.; Chapman, M. Spectral–spatial residual network for hyperspectral image classification: A 3-D deep learning framework. IEEE Trans. Geosci. Remote Sens. 2017, 56, 847–858. [Google Scholar] [CrossRef]
- Li, Y.; Zhang, H.; Shen, Q. Spectral–spatial classification of hyperspectral imagery with 3D convolutional neural network. Remote Sens. 2017, 9, 67. [Google Scholar] [CrossRef]
- Roy, S.K.; Krishna, G.; Dubey, S.R.; Chaudhuri, B.B. HybridSN: Exploring 3-D–2-D CNN feature hierarchy for hyperspectral image classification. IEEE Geosci. Remote Sens. Lett. 2019, 17, 277–281. [Google Scholar] [CrossRef]
- Wang, W.; Dou, S.; Jiang, Z.; Sun, L. A fast dense spectral–spatial convolution network framework for hyperspectral images classification. Remote Sens. 2018, 10, 1068. [Google Scholar] [CrossRef]
- Huang, G.; Liu, Z.; Van Der Maaten, L.; Weinberger, K.Q. Densely connected convolutional networks. In Proceedings of the IEEE Conference on Computer Vision and Pattern Recognition, Honolulu, HI, USA, 21–26 July 2017; pp. 4700–4708. [Google Scholar]
- Zheng, J.; Feng, Y.; Bai, C.; Zhang, J. Hyperspectral image classification using mixed convolutions and covariance pooling. IEEE Trans. Geosci. Remote. Sens. 2020, 59, 522–534. [Google Scholar] [CrossRef]
- Ahmad, M.; Khan, A.M.; Mazzara, M.; Distefano, S.; Ali, M.; Sarfraz, M.S. A fast and compact 3-D CNN for hyperspectral image classification. IEEE Geosci. Remote Sens. Lett. 2020, 19, 1–5. [Google Scholar] [CrossRef]
- Xu, J.; Zhao, J.; Liu, C. An effective hyperspectral image classification approach based on discrete wavelet transform and dense CNN. IEEE Geosci. Remote Sens. Lett. 2022, 19, 1–5. [Google Scholar] [CrossRef]
- Alkhatib, M.Q.; Al-Saad, M.; Aburaed, N.; Almansoori, S.; Zabalza, J.; Marshall, S.; Al-Ahmad, H. Tri-CNN: A three branch model for hyperspectral image classification. Remote Sens. 2023, 15, 316. [Google Scholar] [CrossRef]
- Goodfellow, I.J.; Shlens, J.; Szegedy, C. Explaining and harnessing adversarial examples. arXiv 2014, arXiv:1412.6572. [Google Scholar]
- Mądry, A.; Makelov, A.; Schmidt, L.; Tsipras, D.; Vladu, A. Towards deep learning models resistant to adversarial attacks. arXiv 2017, arXiv:1706.06083. [Google Scholar]
- Kurakin, A.; Goodfellow, I.; Bengio, S. Adversarial machine learning at scale. arXiv 2016, arXiv:1611.01236. [Google Scholar]
- Ford, N.; Gilmer, J.; Carlini, N.; Cubuk, D. Adversarial examples are a natural consequence of test error in noise. In Proceedings of the International Conference on Machine Learning, Long Beach, CA, USA, 9–15 June 2019; pp. 2280–2289. [Google Scholar]
- Ma, L.; Liu, Y.; Zhao, J.; Wang, Y.; Juefei-Xu, F.; Zhang, F.; Sun, J.; Xue, M.; Li, B.; Chen, C. DeepGauge: Multi-granularity testing criteria for deep learning systems. In Proceedings of the ACM/IEEE International Conference on Automated Software Engineering, Montpellier, France, 3–7 September 2018; pp. 120–131. [Google Scholar]
- Kim, J.; Feldt, R.; Yoo, S. Guiding deep learning system testing using surprise adequacy. In Proceedings of the International Conference on Software Engineering, Montreal, QC, Canada, 25–31 May 2019; pp. 1039–1049. [Google Scholar]
- Jia, Y.; Harman, M. An analysis and survey of the development of mutation testing. IEEE Trans. Softw. Eng. 2010, 37, 649–678. [Google Scholar] [CrossRef]
- Liu, C.; Zhao, L.; Wu, H. Hyperspectral images weakly supervised classification with noisy labels. Remote Sens. 2023, 15, 4994. [Google Scholar] [CrossRef]
- Liu, J.; Zhang, K.; Wu, S.; Shi, H.; Zhao, Y.; Sun, Y.; Zhuang, H.; Fu, E. An investigation of a multidimensional CNN combined with an attention mechanism model to resolve small-sample problems in hyperspectral image classification. Remote Sens. 2022, 14, 785. [Google Scholar] [CrossRef]
- Ma, J.; Zou, Y.; Tang, X.; Zhang, X.; Liu, F.; Jiao, L. Spatial pooling Transformer network and noise-tolerant learning for noisy hyperspectral image classification. IEEE Trans. Geosci. Remote Sens. 2024, 62, 1–19. [Google Scholar] [CrossRef]
- Li, W.; Wu, G.; Zhang, F.; Du, Q. Hyperspectral image classification using deep pixel-pair features. IEEE Trans. Geosci. Remote Sens. 2016, 55, 844–853. [Google Scholar] [CrossRef]
- Makantasis, K.; Karantzalos, K.; Doulamis, A.; Doulamis, N. Deep supervised learning for hyperspectral data classification through convolutional neural networks. In Proceedings of the IEEE International Geoscience and Remote Sensing Symposium, Milan, Italy, 26–31 July 2015; pp. 4959–4962. [Google Scholar]
- Gong, H.; Li, Q.; Li, C.; Dai, H.; He, Z.; Wang, W.; Li, H.; Han, F.; Tuniyazi, A.; Mu, T. Multiscale information fusion for hyperspectral image classification based on hybrid 2D-3D CNN. Remote Sens. 2021, 13, 2268. [Google Scholar] [CrossRef]
- Shafahi, A.; Huang, W.R.; Studer, C.; Feizi, S.; Goldstein, T. Are adversarial examples inevitable? arXiv 2018, arXiv:1809.02104. [Google Scholar]
- Park, S.; Lee, H.J.; Ro, Y.M. Adversarially robust hyperspectral image classification via random spectral sampling and spectral shape encoding. IEEE Access 2021, 9, 66791–66804. [Google Scholar] [CrossRef]
- Offutt, A.J.; Untch, R.H. Mutation 2000: Uniting the orthogonal. In Mutation Testing for the New Century; Springer: Berlin/Heidelberg, Germany, 2001; pp. 34–44. [Google Scholar]
- King, K.N.; Offutt, A.J. A fortran language system for mutation-based software testing. Softw. Pract. Exp. 1991, 21, 685–718. [Google Scholar] [CrossRef]
- Ma, Y.S.; Offutt, J.; Kwon, Y.R. MuJava: An automated class mutation system. Softw. Test. Verif. Reliab. 2005, 15, 97–133. [Google Scholar] [CrossRef]
- Offutt, J.; Ammann, P.; Liu, L. Mutation testing implements grammar-based testing. In Proceedings of the Second Workshop on Mutation Analysis, Raleigh, NC, USA, 7–10 November 2006; p. 12. [Google Scholar]
- Just, R.; Jalali, D.; Ernst, M.D. Defects4J: A database of existing faults to enable controlled testing studies for Java programs. In Proceedings of the 2014 International Symposium on Software Testing and Analysis, San Jose, CA, USA, 21–26 July 2014; pp. 437–440. [Google Scholar]
- Jahangirova, G.; Tonella, P. An empirical evaluation of mutation operators for deep learning systems. In Proceedings of the 13th International Conference on Software Testing, Validation and Verification, Porto, Portugal, 24–28 October 2020; pp. 74–84. [Google Scholar]
- Ma, L.; Zhang, F.; Sun, J.; Xue, M.; Li, B.; Juefei-Xu, F.; Xie, C.; Li, L.; Liu, Y.; Zhao, J.; et al. Deepmutation: Mutation testing of deep learning systems. In Proceedings of the 29th International Symposium on Software Reliability Engineering, Memphis, TN, USA, 15–18 October 2018; pp. 100–111. [Google Scholar]
- Hu, Q.; Ma, L.; Xie, X.; Yu, B.; Liu, Y.; Zhao, J. Deepmutation++: A mutation testing framework for deep learning systems. In Proceedings of the 34th IEEE/ACM International Conference on Automated Software Engineering, San Diego, CA, USA, 11–15 November 2019; pp. 1158–1161. [Google Scholar]
- Shen, W.; Wan, J.; Chen, Z. Munn: Mutation analysis of neural networks. In Proceedings of the 2018 IEEE International Conference on Software Quality, Reliability and Security Companion, Lisbon, Portugal, 16–20 July 2018; pp. 108–115. [Google Scholar]
- Humbatova, N.; Jahangirova, G.; Tonella, P. DeepCrime: Mutation testing of deep learning systems based on real faults. In Proceedings of the 30th ACM SIGSOFT International Symposium on Software Testing and Analysis, Virtual Event, Denmark, 11–17 July 2021; pp. 67–78. [Google Scholar]
- Riccio, V.; Humbatova, N.; Jahangirova, G.; Tonella, P. Deepmetis: Augmenting a deep learning test set to increase its mutation score. In Proceedings of the 36th IEEE/ACM International Conference on Automated Software Engineering, Melbourne, Australia, 15–19 November 2021; pp. 355–367. [Google Scholar]
- Kim, J.; Humbatova, N.; Jahangirova, G.; Tonella, P.; Yoo, S. Repairing DNN Architecture: Are We There Yet? In Proceedings of the IEEE Conference on Software Testing, Verification and Validation, Dublin, Ireland, 16–20 April 2023; pp. 234–245. [Google Scholar]
- Wang, J.; Dong, G.; Sun, J.; Wang, X.; Zhang, P. Adversarial sample detection for deep neural network through model mutation testing. In Proceedings of the 41st International Conference on Software Engineering, Montreal, QC, Canada, 25–31 May 2019; pp. 1245–1256. [Google Scholar]
- Govender, M.; Chetty, K.; Bulcock, H. A review of hyperspectral remote sensing and its application in vegetation and water resource studies. Water SA 2007, 33, 145–151. [Google Scholar] [CrossRef]
- Audebert, N.; Le Saux, B.; Lefèvre, S. Deep learning for classification of hyperspectral data: A comparative review. IEEE Geosci. Remote Sens. Mag. 2019, 7, 159–173. [Google Scholar] [CrossRef]
- Jia, S.; Jiang, S.; Lin, Z.; Li, N.; Xu, M.; Yu, S. A survey: Deep learning for hyperspectral image classification with few labeled samples. Neurocomputing 2021, 448, 179–204. [Google Scholar] [CrossRef]
- Wang, W.; Liu, F.; Liu, J.; Xiao, L. Cross-Domain Few-Shot Hyperspectral Image Classification with Class-Wise Attention. IEEE Trans. Geosci. Remote Sens. 2023, 61, 1–18. [Google Scholar] [CrossRef]
- Cao, K.; Liu, M.; Su, H.; Wu, J.; Zhu, J.; Liu, S. Analyzing the noise robustness of deep neural networks. IEEE Trans. Vis. Comput. Graph. 2020, 27, 3289–3304. [Google Scholar] [CrossRef] [PubMed]
- Bai, T.; Luo, J.; Zhao, J.; Wen, B.; Wang, Q. Recent advances in adversarial training for adversarial robustness. In Proceedings of the 30th International Joint Conference on Artificial Intelligence, Montreal, QC, Canada, 19–27 August 2021; pp. 4312–4321. [Google Scholar]
- Dang, X.; Li, Y.; Papadakis, M.; Klein, J.; Bissyandé, T.F.; Traon, Y.L. Test Input Prioritization for Machine Learning Classifiers. IEEE Trans. Softw. Eng. 2024, 50, 413–442. [Google Scholar] [CrossRef]
- Dang, X.; Li, Y.; Papadakis, M.; Klein, J.; Bissyandé, T.F.; Le Traon, Y. Graphprior: Mutation-based test input prioritization for graph neural networks. ACM Trans. Softw. Eng. Methodol. 2023, 33, 1–40. [Google Scholar] [CrossRef]
- Kuang, H.; Liu, H.; Wu, Y.; Satoh, S.i.; Ji, R. Improving Adversarial Robustness via Information Bottleneck Distillation. Adv. Neural Inf. Process. Syst. 2023, 36, 10796–10813. [Google Scholar]
Disclaimer/Publisher’s Note: The statements, opinions and data contained in all publications are solely those of the individual author(s) and contributor(s) and not of MDPI and/or the editor(s). MDPI and/or the editor(s) disclaim responsibility for any injury to people or property resulting from any ideas, methods, instructions or products referred to in the content. |
© 2024 by the authors. Licensee MDPI, Basel, Switzerland. This article is an open access article distributed under the terms and conditions of the Creative Commons Attribution (CC BY) license (https://creativecommons.org/licenses/by/4.0/).














