Asymmetric Gaussian Echo Model for LiDAR Intensity Correction
Abstract
1. Introduction
2. The Proposed Method
2.1. Overall Pipeline
2.2. Asymmetric Gaussian Model and Waveform Recovery
3. Experiment Setup
3.1. General Experiment Setup
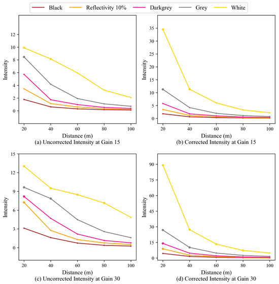
3.2. Accuracy Validation
3.3. Noise Robustness and Reliability Test
4. Conclusions
Author Contributions
Funding
Data Availability Statement
Conflicts of Interest
References
- Rott, R.; Solmaz, S. Assessment of Lidar Point Cloud Simulation Using Phenomenological Range-Reflectivity Limits for Feature Validation. IEEE Open J. Instrum. Meas. 2024, 3, 9500111. [Google Scholar] [CrossRef]
- Lang, M.W.; McCarty, G.W. Lidar Intensity for Improved Detection of Inundation Below the Forest Canopy. Wetlands 2009, 29, 1166–1178. [Google Scholar] [CrossRef]
- Pirotti, F. Analysis of Full-Waveform LiDAR Data for Forestry Applications: A Review of Investigations and Methods. iForest- Biogeosci. For. 2011, 4, 100. [Google Scholar] [CrossRef]
- Donoghue, D.N.M.; Watt, P.J.; Cox, N.J.; Wilson, J. Remote Sensing of Species Mixtures in Conifer Plantations Using LiDAR Height and Intensity Data. Remote Sens. Environ. 2007, 110, 509–522. [Google Scholar] [CrossRef]
- Korpela, I.; Ørka, H.O.; Hyyppä, J.; Heikkinen, V.; Tokola, T. Range and AGC Normalization in Airborne Discrete-Return LiDAR Intensity Data for Forest Canopies. ISPRS J. Photogramm. Remote Sens. 2010, 65, 369–379. [Google Scholar] [CrossRef]
- Yan, W.Y.; Shaker, A. Radiometric Correction and Normalization of Airborne LiDAR Intensity Data for Improving Land-Cover Classification. IEEE Trans. Geosci. Remote Sens. 2014, 52, 7658–7673. [Google Scholar]
- Jones, L.; Hobbs, P. The Application of Terrestrial LiDAR for Geohazard Mapping, Monitoring and Modelling in the British Geological Survey. Remote Sens. 2021, 13, 395. [Google Scholar] [CrossRef]
- Rieg, L.; Wichmann, V.; Rutzinger, M.; Sailer, R.; Geist, T.; Stöetter, J. Data Infrastructure for Multitemporal Airborne LiDAR Point Cloud Analysis—Examples from Physical Geography in High Mountain Environments. Comput. Environ. Urban Syst. 2014, 45, 137–146. [Google Scholar] [CrossRef]
- Huang, J.; Choudhury, P.K.; Yin, S.; Zhu, L. Real-Time Road Curb and Lane Detection for Autonomous Driving Using LiDAR Point Clouds. IEEE Access 2021, 9, 144940–144951. [Google Scholar] [CrossRef]
- Aldoski, Z.N.; Koren, C. Assessment of Traffic Sign Retroreflectivity for Autonomous Vehicles: A Comparison Between Handheld Retroreflectometer and LiDAR Data. Arch. Transp. 2024, 70, 7–26. [Google Scholar] [CrossRef]
- Li, X.; Shang, Y.; Hua, B.; Yu, R.; He, Y. LiDAR Intensity Correction for Road Marking Detection. Opt. Lasers Eng. 2023, 160, 107240. [Google Scholar] [CrossRef]
- Yan, W.; Shaker, A. Radiometric Calibration of Airborne LiDAR Intensity Data for Land Cover Classification. In Proceedings of the Canadian Geomatics Conference and Symposium of Commission I, ISPRS, Calgary, AB, Canada, 15–18 June 2010; pp. 14–18. [Google Scholar]
- Viswanath, K.; Jiang, P.; Saripalli, S. Reflectivity Is All You Need!: Advancing LiDAR Semantic Segmentation. arXiv 2024, arXiv:2403.13188. [Google Scholar]
- Viswanath, K.; Jiang, P.; Sujit, P.B.; Saripalli, S. Off-Road LiDAR Intensity Based Semantic Segmentation. In Proceedings of the International Symposium on Experimental Robotics, Chiang Mai, Thailand, 26–30 November 2023; Springer: Cham, Switzerland, 2023; pp. 608–617. [Google Scholar]
- Monnet, J.M.; Clouet, N.; Bourrier, F.; Berger, F. Using Geomatics and Airborne Laser Scanning for Rockfall Risk Zoning: A Case Study in the French Alps. In Proceedings of the 2010 Canadian Geomatics Conference and Symposium of Commission I (ISPRS), Calgary, AB, Canada, 15–18 June 2010; pp. 1–6. [Google Scholar]
- Aldibaja, M.; Suganuma, N.; Yoneda, K. Robust Intensity-Based Localization Method for Autonomous Driving on Snow–Wet Road Surface. IEEE Trans. Ind. Inform. 2017, 13, 2369–2378. [Google Scholar] [CrossRef]
- Höfle, B.; Pfeifer, N. Correction of Laser Scanning Intensity Data: Data and Model-Driven Approaches. ISPRS J. Photogramm. Remote Sens. 2007, 62, 415–433. [Google Scholar] [CrossRef]
- Mallet, C.; Bretar, F. Full-Waveform Topographic LiDAR: State-of-the-Art. ISPRS J. Photogramm. Remote Sens. 2009, 64, 1–16. [Google Scholar] [CrossRef]
- Ran, Y.; Song, S.; Hou, X.; Chen, Y.; Chen, Z.; Gong, W. Multi-Echo Hyperspectral Reflectance Extraction Method Based on Full Waveform Hyperspectral LiDAR. ISPRS J. Photogramm. Remote Sens. 2024, 207, 43–56. [Google Scholar] [CrossRef]
- Bretagne, E.; Dassonvalle, P.; Caron, G. Spherical Target-Based Calibration of Terrestrial Laser Scanner Intensity: Application to Colour Information Computation. ISPRS J. Photogramm. Remote Sens. 2018, 144, 14–27. [Google Scholar] [CrossRef]
- Vain, A.; Kaasalainen, S.; Pyysalo, U.; Krooks, A.; Litkey, P. Use of Naturally Available Reference Targets to Calibrate Airborne Laser Scanning Intensity Data. Sensors 2009, 9, 2780–2796. [Google Scholar] [CrossRef] [PubMed]
- Chasmer, L.; Hopkinson, C.; Smith, B.; Treitz, P. Examining the Influence of Changing Laser Pulse Repetition Frequencies on Conifer Forest Canopy Returns. Photogramm. Eng. Remote Sens. 2006, 72, 1359–1367. [Google Scholar] [CrossRef]
- Yan, W.Y.; Shaker, A.; Habib, A.; Kersting, A.P. Improving Classification Accuracy of Airborne LiDAR Intensity Data by Geometric Calibration and Radiometric Correction. ISPRS J. Photogramm. Remote Sens. 2012, 67, 35–44. [Google Scholar] [CrossRef]
- Ding, Q.; Chen, W.; King, B.; Liu, Y.; Liu, G. Combination of Overlap-Driven Adjustment and Phong Model for LiDAR Intensity Correction. ISPRS J. Photogramm. Remote Sens. 2013, 75, 40–47. [Google Scholar] [CrossRef]
- Habib, A.F.; Kersting, A.P.; Shaker, A.; Yan, W.-Y. Geometric Calibration and Radiometric Correction of LiDAR Data and Their Impact on the Quality of Derived Products. Sensors 2011, 11, 9069–9097. [Google Scholar] [CrossRef]
- Errington, A.F.C.; Daku, B.L.F. Temperature Compensation for Radiometric Correction of Terrestrial LiDAR Intensity Data. Remote Sens. 2017, 9, 356. [Google Scholar] [CrossRef]
- Dai, W.; Chen, S.; Huang, Z.; Xu, Y.; Kong, D. LiDAR Intensity Completion: Fully Exploiting the Message from LiDAR Sensors. Sensors 2022, 22, 7533. [Google Scholar] [CrossRef]
- Zwally, H.J.; Schutz, B.; Abdalati, W.; Abshire, J.; Bentley, C.; Brenner, A.; Bufton, J.; Dezio, J.; Hancock, D.; Harding, D.; et al. ICESat’s Laser Measurements of Polar Ice, Atmosphere, Ocean, and Land. J. Geodyn. 2002, 34, 405–445. [Google Scholar] [CrossRef]
- Ducić, V.; Hollaus, M.; Ullrich, A.; Wagner, W.; Melzer, T. 3D Vegetation Mapping and Classification Using Full-Waveform Laser Scanning. In Proceedings of the Workshop on 3D Remote Sensing in Forestry, Vienna, Austria, 14–15 February 2006. [Google Scholar]
- Hahner, M.; Sakaridis, C.; Dai, D.; Van Gool, L. Fog Simulation on Real LiDAR Point Clouds for 3D Object Detection in Adverse Weather. In Proceedings of the IEEE/CVF International Conference on Computer Vision, Montreal, QC, Canada, 10–17 October 2021; pp. 15283–15292. [Google Scholar]
- Rasshofer, R.H.; Spies, M.; Spies, H. Influences of Weather Phenomena on Automotive Laser Radar Systems. Adv. Radio Sci. 2011, 9, 49–60. [Google Scholar] [CrossRef]
- Chauve, A.; Mallet, C.; Bretar, F.; Durrieu, S.; Pierrot-Deseilligny, M.; Puech, W. Processing Full-Waveform LiDAR Data: Modelling Raw Signals. Int. Arch. Photogramm. Remote Sens. Spat. Inf. Sci. 2007, 36, W52. [Google Scholar]
- Gu, Z.; Lai, J.; Wang, C.; Yan, W.; Ji, Y.; Li, Z. Generalized Gaussian Decomposition for Full Waveform LiDAR Processing. Meas. Sci. Technol. 2022, 33, 065201. [Google Scholar] [CrossRef]
- Zhou, T.; Popescu, S. Waveformlidar: An R Package for Waveform LiDAR Processing and Analysis. Remote Sens. 2019, 11, 2552. [Google Scholar] [CrossRef]
- Słota, M. Decomposition Techniques for Full-Waveform Airborne Laser Scanning Data. Geomat. Environ. Eng. 2014, 8, 61–74. [Google Scholar] [CrossRef]
- Mallet, C.; Lafarge, F.; Roux, M.; Soergel, U.; Bretar, F.; Heipke, C. A Marked Point Process for Modeling LiDAR Waveforms. IEEE Trans. Image Process. 2010, 19, 3204–3221. [Google Scholar] [CrossRef] [PubMed]
- Demirli, R.; Saniie, J. Asymmetric Gaussian Chirplet Model for Ultrasonic Echo Analysis. In Proceedings of the 2010 IEEE International Ultrasonics Symposium, San Diego, CA, USA, 11–14 October 2010; IEEE: Piscataway, NJ, USA, 2010; pp. 124–128. [Google Scholar]
- Li, D.; Xu, L.; Li, X.; Sun, J. Asymmetrical-Gaussian-Model-Based Laser Echo Detection. IEEE Sens. J. 2019, 19, 3797–3806. [Google Scholar] [CrossRef]




| Gain | Range | Uncorrected | Weibull [35] | Nakagami [35] | Burr [35] |
|---|---|---|---|---|---|
| Gain 15 | 20 m | 0.28:1.00:1.36:1.40:1.44 | 0.28:1.00:2.35:3.15:4.86 | 0.28:1.00:2.26:3.47:3.44 | 0.29:1.00:2.42:2.98:3.48 |
| 40 m | 0.32:1.00:3.12:3.88:4.27 | 0.32:1.00:3.11:4.61:6.17 | 0.31:1.00:3.15:4.68:6.33 | 0.31:1.00:3.10:4.71:6.52 | |
| 60 m | 0.33:1.00:3.55:5.23:7.79 | 0.33:1.00:3.53:5.23:7.94 | 0.33:1.00:3.53:5.23:7.90 | 0.33:1.00:3.54:5.24:7.97 | |
| 80 m | 0.33:1.00:3.12:5.27:6.79 | 0.33:1.00:3.11:5.26:6.80 | 0.33:1.00:3.10:5.25:6.85 | 0.33:1.00:3.08:5.25:6.84 | |
| 100 m | 0.35:1.00:3.28:5.92:9.01 | 0.35:1.00:3.26:5.90:8.99 | 0.35:1.00:3.25:5.89:8.97 | 0.34:1.00:3.24:5.89:8.97 | |
| Mean relative error (%) | 10.00, 1.00, 18.07, 24.56, 31.80 | 10.00, 1.00, 11.07, 14.52, 18.05 | 9.33, 1.00, 11.80, 12.88, 21.13 | 8.00, 1.00, 10.27, 14.76, 20.40 | |
| Reciprocal of reduction ratio | 1.00, /, 1.63, 1.69, 1.76 | 1.07, /, 1.53, 1.91, 1.51 | 1.25, /, 1.76, 1.66, 1.56 | ||
| Gain | Range | Generalized Gaussian [33] | Symmetric Gaussian [33] | Asymmetric Gaussian (Ours) | |
| Gain 15 | 20 m | 0.28:1.00:1.43:1.68:1.41 | 0.28:1.00:2.30:3.55:3.58 | 0.28:1.00:3.43:5.07:8.30 | |
| 40 m | 0.32:1.00:3.11:4.20:4.68 | 0.31:1.00:3.10:4.69:6.39 | 0.30:1.00:3.02:5.13:7.87 | ||
| 60 m | 0.33:1.00:3.54:5.22:7.65 | 0.33:1.00:3.52:5.22:7.90 | 0.31:1.00:3.31:5.13:8.00 | ||
| 80 m | 0.33:1.00:3.11:5.26:6.81 | 0.33:1.00:3.10:5.25:6.82 | 0.32:1.00:3.01:5.14:7.22 | ||
| 100 m | 0.35:1.00:3.27:5.90:8.99 | 0.35:1.00:3.24:5.88:8.95 | 0.33:1.00:3.02:5.57:8.47 | ||
| Mean relative error (%) | 10.00, 1.00, 17.33, 22.00, 31.10 | 9.33, 1.00, 11.07, 12.44, 20.65 | 5.33, 1.00, 5.27, 4.16, 4.20 | ||
| Reciprocal of reduction ratio | 1.00, /, 1.04,1.12,1.02 | 1.07, /, 1.63,1.97,1.54 | 1.88, /, 3.43, 5.90, 7.57 | ||
| Gain | Range | Uncorrected | Weibull | Nakagami | Burr |
| Gain 30 | 20 m | 0.48:1.00:1.10:1.40:1.83 | 0.33:1.00:3.87:7.86:4.07 | 0.31:1.00:1.54:2.18:3.80 | 0.32:1.00:1.40:2.04:2.50 |
| 40 m | 0.26:1.00:1.77:1.88:2.00 | 0.26:1.00:2.52:3.37:3.37 | 0.26:1.00:2.52:3.47:3.55 | 0.26:1.00:2.71:2.88:3.28 | |
| 60 m | 0.28:1.00:3.11:3.82:4.18 | 0.28:1.00:3.14:4.66:6.07 | 0.28:1.00:3.13:4.42:6.48 | 0.28:1.00:3.17:4.70:6.54 | |
| 80 m | 0.29:1.00:3.21:4.91:6.42 | 0.29:1.00:3.18:4.92:7.36 | 0.29:1.00:3.27:4.94:7.47 | 0.29:1.00:3.26:4.98:7.72 | |
| 100 m | 0.31:1.00:3.38:4.80:7.89 | 0.31:1.00:3.37:4.81:7.91 | 0.31:1.00:3.38:4.83:7.93 | 0.31:1.00:3.40:4.85:7.98 | |
| Mean relative error (%) | 17.33, 1.00, 25.53, 32.76, 44.20 | 7.33, 1.00, 13.60, 20.40, 28.05 | 6.00,1.00,18.13,20.64,26.93 | 6.67, 1.00, 18.13, 22.20, 29.95 | |
| Reciprocal of reduction ratio | 2.36, /, 1.88, 1.61, 1.58 | 2.89, /, 1.41, 1.59, 1.64 | 2.60, /, 1.41, 1.48, 1.48 | ||
| Gain | Range | Generalized Gaussian | Symmetric Gaussian | Asymmetric Gaussian (Ours) | |
| Gain 30 | 20 m | 0.43:1.00:0.92:1.24:1.69 | 0.31:1.00:1.60:2.26:3.81 | 0.26:1.00:3.47:5.02:7.57 | |
| 40 m | 0.26:1.00:1.94:1.89:1.92 | 0.26:1.00:2.55:3.51:3.57 | 0.26:1.00:3.04:5.34:7.12 | ||
| 60 m | 0.28:1.00:3.11:4.05:4.92 | 0.28:1.00:3.13:4.65:6.49 | 0.28:1.00:3.24:4.94:7.89 | ||
| 80 m | 0.29:1.00:3.19:4.92:6.77 | 0.29:1.00:3.21:4.94:7.50 | 0.29:1.00:3.04:5.06:7.97 | ||
| 100 m | 0.31:1.00:3.38:4.81:7.90 | 0.31:1.00:3.38:4.83:7.93 | 0.31:1.00:3.40:4.90:8.07 | ||
| Mean relative error (%) | 14.00, 1.00, 25.47, 32.36, 42.00 | 6.00, 1.00, 17.13, 19.24, 26.75 | 8.00, 1.00, 7.93, 2.32, 3.80 | ||
| Reciprocal of reduction ratio | 1.24, /, 1.00, 1.01, 1.05 | 2.89, /, 1.49, 1.70, 1.65 | 2.17, /, 3.22, 14.12, 11.63 | ||
| Gain | Range | Uncorrected | Weibull | Nakagami | Burr |
| Gain 60 | 20 m | 0.85:1.00:1.48:1.95:1.99 | 0.45:1.00:12.89:14.86:9.35 | 0.35:1.00:2.07:12.52:9.43 | 0.49:1.00:2.24:3.93:3.25 |
| 40 m | 0.41:1.00:2.26:1.69:1.36 | 0.27:1.00:2.55:2.57:5.02 | 0.29:1.00:1.97:3.77:5.00 | 0.31:1.00:2.22:2.57:2.41 | |
| 60 m | 0.31:1.00:1.87:2.06:2.46 | 0.31:1.00:2.79:3.84:7.30 | 0.31:1.00:2.38:3.60:4.61 | 0.32:1.00:2.35:3.13:5.61 | |
| 80 m | 0.32:1.00:2.84:2.33:2.50 | 0.32:1.00:3.01:3.62:4.79 | 0.32:1.00:3.03:3.63:5.44 | 0.31:1.00:3.11:3.11:3.88 | |
| 100 m | 0.33:1.00:3.11:3.94:4.50 | 0.33:1.00:3.09:4.97:6.94 | 0.33:1.00:3.09:4.78:7.32 | 0.33:1.00:3.08:4.66:6.10 | |
| Mean relative error(%) | 48.00, 1.00, 24.40, 52.12, 67.98 | 16.00, 1.00, 71.00, 59.44, 23.25 | 8.00, 1.00, 18.00, 46.96, 27.65 | 17.33, 1.00, 15.87, 30.40, 46.88 | |
| Reciprocal of reduction ratio | 3.00, /, 0.34, 0.88, 2.92 | 6.00, /, 1.36, 1.11, 2.46 | 2.77, /, 1.54, 1.71, 1.45 | ||
| Gain | Range | Generalized Gaussian | Symmetric Gaussian | Asymmetric Gaussian (Ours) | |
| Gain 60 | 20 m | 0.55:1.00:0.71:1.17:1.36 | 0.36:1.00:2.17:14.15:10.10 | 0.28:1.00:2.84:5.47:8.12 | |
| 40 m | 0.39:1.00:2.29:1.97:1.10 | 0.29:1.00:1.99:4.20:5.24 | 0.30:1.00:2.96:5.69:7.87 | ||
| 60 m | 0.31:1.00:2.16:2.17:2.36 | 0.31:1.00:2.39:3.66:4.77 | 0.31:1.00:2.80:4.47:7.67 | ||
| 80 m | 0.32:1.00:3.18:2.44:2.93 | 0.32:1.00:3.03:3.67:5.41 | 0.31:1.00:2.95:5.55:7.99 | ||
| 100 m | 0.33:1.00:3.10:4.09:5.04 | 0.33:1.00:3.09:4.77:7.33 | 0.32:1.00:3.00:5.17:8.06 | ||
| Mean relative error(%) | 26.67, 1.00, 27.47, 52.64, 68.03 | 8.67, 1.00, 17.13, 51.40, 28.38 | 4.00, 1.00, 3.00, 9.64, 1.63 | ||
| Reciprocal of reduction ratio | 1.80, /, 0.89, 0.99, 1.00 | 5.54, /, 1.42, 1.01, 2.40 | 12.00, /, 8.13, 5.41, 41.83 |
| Gain | Range | Ratio of Uncorrected Intensity | Ratio of Corrected Intensity |
|---|---|---|---|
| Gain 15 | 20 m | 0.52:1.00:1.65:2.45:2.86 | 0.52:1.00:1.67:3.26:9.97 |
| 40 m | 0.54:1.00:1.53:3.67:7.16 | 0.53:1.00:1.52:3.59:9.68 | |
| 60 m | 0.51:1.00:1.63:3.21:9.90 | 0.51:1.00:1.61:3.30:9.89 | |
| 80 m | 0.52:1.00:1.61:3.27:9.74 | 0.53:1.00:1.61:3.30:9.89 | |
| 100 m | 0.54:1.00:1.58:3.02:8.82 | 0.55:1.00:1.57:3.03:9.26 | |
| Coefficient of variation (%) | 2.28, /, 2.62 , 12.7 , 33.9 | 2.51, /, 3.11 , 5.40 , 2.65 | |
| Reciprocal of reduction ratio | 0.91, /, 0.84 , 2.35 , 12.8 | ||
| Gain 30 | 20 m | 0.43:1.00:1.05:1.33:1.80 | 0.50:1.00:1.58:3.01:9.98 |
| 40 m | 0.58:1.00:1.71:2.86:3.46 | 0.57:1.00:1.68:3.63:9.68 | |
| 60 m | 0.57:1.00:1.68:3.46:6.55 | 0.53:1.00:1.57:3.44:9.57 | |
| 80 m | 0.50:1.00:1.54:3.42:9.51 | 0.50:1.00:1.55:3.48:9.80 | |
| 100 m | 0.50:1.00:1.55:3.20:9.74 | 0.50:1.00:1.56:3.25:9.83 | |
| Coefficient of variation (%) | 10.6, /, 15.8 , 27.7 , 51.1 | 5.30, /, 2.96 , 6.36 , 1.42 | |
| Reciprocal of reduction ratio | 2.00, /, 5.34 , 4.36 , 36.0 | ||
Disclaimer/Publisher’s Note: The statements, opinions and data contained in all publications are solely those of the individual author(s) and contributor(s) and not of MDPI and/or the editor(s). MDPI and/or the editor(s) disclaim responsibility for any injury to people or property resulting from any ideas, methods, instructions or products referred to in the content. |
© 2024 by the authors. Licensee MDPI, Basel, Switzerland. This article is an open access article distributed under the terms and conditions of the Creative Commons Attribution (CC BY) license (https://creativecommons.org/licenses/by/4.0/).
Share and Cite
Ma, X.; Jiang, H.; Jin, X. Asymmetric Gaussian Echo Model for LiDAR Intensity Correction. Remote Sens. 2024, 16, 4625. https://doi.org/10.3390/rs16244625
Ma X, Jiang H, Jin X. Asymmetric Gaussian Echo Model for LiDAR Intensity Correction. Remote Sensing. 2024; 16(24):4625. https://doi.org/10.3390/rs16244625
Chicago/Turabian StyleMa, Xinyue, Haitian Jiang, and Xin Jin. 2024. "Asymmetric Gaussian Echo Model for LiDAR Intensity Correction" Remote Sensing 16, no. 24: 4625. https://doi.org/10.3390/rs16244625
APA StyleMa, X., Jiang, H., & Jin, X. (2024). Asymmetric Gaussian Echo Model for LiDAR Intensity Correction. Remote Sensing, 16(24), 4625. https://doi.org/10.3390/rs16244625

