Assimilation of Fengyun-4A Atmospheric Motion Vectors and Its Impact on China Meteorological Administration—Beijing System Forecasts
Abstract
1. Introduction
2. Materials and Methods
2.1. CMA-BJ System
2.2. AMVs Derived from FY-4A AGRI
2.3. Error Characterization of AMVs
2.4. Assimilation Experiments
2.5. Verification Strategy
3. Results
3.1. Assimilation Analysis
3.2. Impact on Forecasts
4. Discussion
5. Conclusions
- (1)
- Most of the FY-4A AMVs derived from WV 6.25, WV 7.1, and IR 10.7 concentrated above 600 hPa. The observation errors varied from 1.9 m/s to 4.7 m/s with the pressure in the CMA-BJ system. Using the optimized observation errors, improvements of about 8.3% and 7.3% were obtained in the analysis of U and V winds, respectively.
- (2)
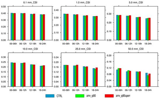
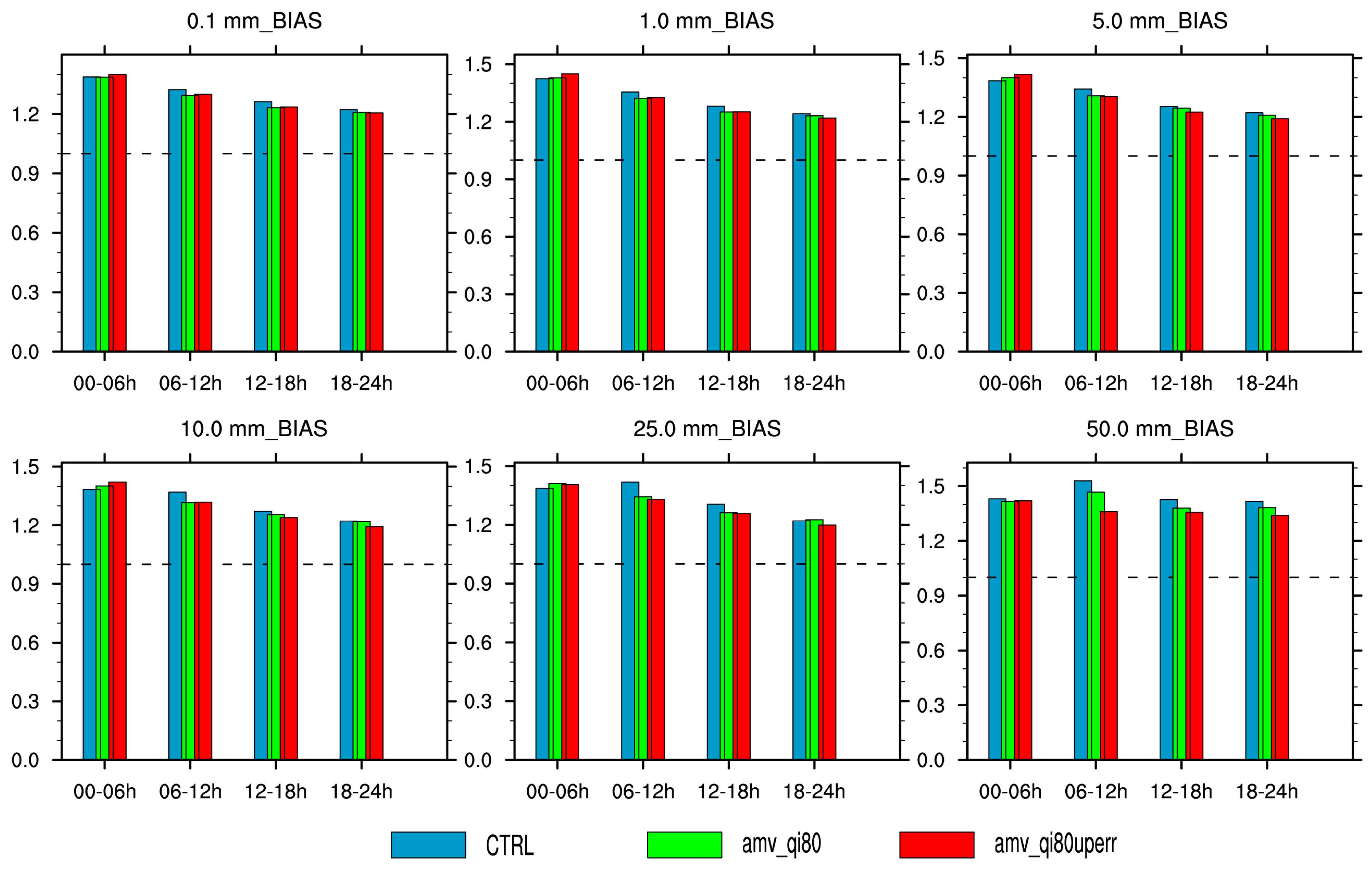
- Assimilating the AMVs with a QI > 80 and the optimized observation errors had a positive impact on the upper wind forecast between 200 hPa and 400 hPa in the CMA-BJ system. It also slightly reduced the RMSE of the surface wind after 6 h of forecasts. An improvement was obtained in the accuracy of rainfall forecasting after 6 h, especially for heavy rainfall. There was also an overall improvement in the overprediction of the 24 h accumulated rainfall forecast. However, further investigation and verification are still required for the application of AMVs in the operational CMA-BJ system in the future.
Author Contributions
Funding
Data Availability Statement
Acknowledgments
Conflicts of Interest
References
- Borde, R.; Carranza, M.; Hautecoeur, O.; Barbieux, K. Winds of change for future operational AMV at EUMETSAT. Remote Sens. 2019, 11, 2111–2128. [Google Scholar] [CrossRef]
- Kelly, G. Numerical experiments using Cloud Motion Winds at ECMWF; ECMWF: Reading, UK, 1993; pp. 331–348. [Google Scholar]
- Holmlund, K. The utilization of statistical properties of satellite-derived atmospheric motion vectors to derive quality indicators. Wea Forecast. 1998, 13, 1093–1104. [Google Scholar] [CrossRef]
- Schmetz, J.; Holmhnd, K.; Hoffman, J.; Strauss, B.; Mason, B.; Van De Berg, L. Operational cloud motion winds from METEOSAT infrared images. J. Appl. Meteorol. 1993, 32, 1206–1225. [Google Scholar] [CrossRef]
- Holmlund, K. The Atmospheric Motion Vector retrieval scheme for Meteosat Second Generation. In Proceedings of the Fifth International Winds Workshop, Lorne, Australia, 28 February–23 March 2000. [Google Scholar]
- Velden, C.S.; Hayden, C.M.; Nieman, S.J.; Menzel, W.P.; Wanzong, S.T.; Goerss, J.S. Upper-tropospheric winds derived from geostationary satellite water vapor observations. Bull. Amer. Meteor. Soc. 1997, 78, 173–195. [Google Scholar] [CrossRef]
- Büche, G.; Karbstein, H.; Kummer, A.; Fischer, H. Water Vapor Structure Displacements from Cloud-Free Meteosat Scenes and Their Interpretation for the Wind Field. J. Appl. Meteorol. 2006, 45, 556–575. [Google Scholar] [CrossRef]
- Menzel, P. Cloud tracking with satellite imagery: From the pioneering work of Ted Fujita to the present. Bull. Amer. Meteor. Soc. 2001, 82, 33–47. [Google Scholar] [CrossRef]
- Velden, C.S.; Daniels, J.; Stettner, D.; Santek, D.; Key, J.; Dunion, J.; Holmlund, K.; Dengel, G.; Bresky, W.; Menzel, P. Recent innovations in deriving tropospheric winds from meteorological satellites. Bull. Amer. Meteor. Soc. 2005, 86, 205–223. [Google Scholar] [CrossRef]
- Leese, J.A.; Novak, C.S.; Clark, B.B. An automated technique for obtaining cloud motion geosynchronous satellite data using cross correlation. J. Appl. Meleor. 1971, 10, 118–132. [Google Scholar] [CrossRef]
- Nieman, S.J.; Menzel, W.P.; Hayden, C.M.; Gray, D.; Wanzong, S.; Velden, C.; Daniels, J. Fully automated cloud-drift winds in NESDIS operations. Bull. Amer. Meteor. Soc. 1997, 78, 1121–1134. [Google Scholar] [CrossRef]
- Marshall, J.L.; Rea, A.; Leslie, L.; Seecamp, R.; Dunn, M. Error characterisation of atmospheric motion vectors. Aust. Meteor. Mag. 2004, 53, 123–131. [Google Scholar]
- Lim, A.H.N.; Jung, J.A.; Nebuda, S.E.; Daniels, J.M.; Tallapragada, V. Tropical cyclone forecasts impact assessment from the assimilation of hourly visible, shortwave and clear air water vapor atmospheric motion vectors in HWRF. Weather. Forecast. 2019, 34, 177–198. [Google Scholar] [CrossRef]
- Marshall, J.L.; Seecamp, R.; Xiao, Y.; Gregory, P.; Jung, J. The operational generation of continuous winds in the australian region and their assimilation with 4DVAR. Weather. Forecast. 2021, 28, 504–514. [Google Scholar] [CrossRef]
- Otsuka, M.; Kunii, M.; Seko, H.; Shimoji, K.; Hayashi, M.; Yamashita, K. Assimilation Experiments of MTSAT Rapid Scan Atmospheric Motion Vectors on a Heavy Rainfall Event. J. Meteorol. Soc. Jpn. 2015, 93, 459–475. [Google Scholar] [CrossRef]
- Tian, W.; Wan, X.; Center, N.M. Application of water-vapor atmospheric motion vectors to grapes. Meteorol. Sci. Technol. 2015, 43, 469–473. [Google Scholar]
- Rao, P.A.; Fuelberg, H.E. Diagnosing convective instability from GOES-8 radiances. J. Appl. Meteor. 1997, 36, 350–364. [Google Scholar] [CrossRef]
- Velden, C.S.; Hyden, C.M.; Menzell, W.P.; Franklin, J.L.; Lynch, J.S. The impact of satellite-derived winds on the hurricane track forecasting. Wea Forecast. 1992, 7, 107–119. [Google Scholar] [CrossRef]
- Berger, H.; Langland, R.; Velden, C.S.; Reynolds, C.A.; Pauley, P.M. Impact of enhanced satellite-derived atmospheric motion vector observations on numerical tropical cyclone track forecasts in the Western North Pacific during TPARC/TCS-08. J. Appl. Meleorol. Climatol. 2011, 50, 2309–2318. [Google Scholar] [CrossRef]
- Tomassini, M.; Kelly, G.; Saunders, R. Use and impact of satellite atmospheric motion winds on ECMWF analyses and forecasts. Mon. Wea. Rev. 1999, 127, 971–986. [Google Scholar] [CrossRef]
- Bedka, K.M.; Velden, C.S.; Petersen, R.A.; Feltz, W.F.; Mecikalski, J.R. Comparisons of satellite-derived atmospheric motion vectors, rawinsondes, and noaa wind profiler observations. J. Appl. Meteorol. Climatol. 2009, 48, 1542–1561. [Google Scholar] [CrossRef]
- Bedka, K.M.; Mecikalski, J.R. Application of satellite-derived atmospheric motion vectors for estimating mesoscale flows. J. Appl. Meleor. 2005, 44, 1761–1772. [Google Scholar] [CrossRef]
- Xiao, Q.N.; Zou, X.; Pondeca, M.; Shapiro, M.A.; Velden, C. Impact of GMS-5 and GOES9 satellite-derived winds on the prediction of a NOR-PEX extratropical cyclone. Mon. Wea. Rev. 2002, 130, 507–528. [Google Scholar] [CrossRef]
- Zhao, J.; Gao, J.; Jones, T.A.; Hu, J. Impact of Assimilating High-Resolution Atmospheric Motion Vectors on Convective Scale Short-Term Forecasts: 2. Assimilation Experiments of GOES-16 Satellite Derived Winds. J. Adv. Model. Earth Syst. 2021, 13, e2021MS002486. [Google Scholar] [CrossRef]
- Honda, T.; Kotsuki, S.; Lien, G.-Y.; Maejima, Y.; Okamoto, K.; Miyoshi, T. Assimilation of Himawari-8 All-Sky Radiances Every 10Minutes: Impact on Precipitation and Flood Risk Prediction. J. Geophys. Res.-Atmos. 2018, 123, 965–976. [Google Scholar] [CrossRef]
- Bouttier, F.; Kelly, G. Observing-system experiments in the ECMWF 4-DVAR assimilation system. Quart. J. Roy. Meteor. Soc. 2001, 127, 1469–1488. [Google Scholar]
- Lean, K.; Bormann, N.; Salonen, K. Assessment of Himawari-8AMVdataintheECMWFsystem. EUMETSAT/ECMWF Fellowsh. Programme Res. Rep. 2016, 42, 25. [Google Scholar]
- Marshall, J.L.; Howard, D.; Xiao, Y.; Daniels, J.; Margetic, D. Himawari-8 atmospheric motion vectors-operational generation and assimilation. J. South. Hemisph. Earth Syst. Sci. 2017, 67, 12–24. [Google Scholar] [CrossRef]
- Kim, D.H.; Kim, H.M. Effect of assimilating himawari-8 atmospheric motion vectors on forecast errors over east asia. J. Atmos. Ocean. Technol. 2018, 35, 1737–1752. [Google Scholar] [CrossRef]
- Wan, X.M.; Gong, J.D.; Han, W.; Tian, W.H. The evaluation of FY-4A AMVs in GRAPES_RAFS. Meteorol. Mon. 2019, 45, 458–468. [Google Scholar]
- Lewis, W.E.; Velden, C.S.; Stettner, D. Strategies for assimilating high-density atmospheric motion vectors into a regional tropical cyclone forecast model (HWRF). Atmosphere 2020, 11, 673–685. [Google Scholar] [CrossRef]
- Rao, P.A.; Velden, C.S.; Braun, S.A. The vertical error characteristics of GOES-derived winds: Description and experiments with Numerical Weather Prediction. J. Appl. Meleor. 2002, 41, 253–270. [Google Scholar] [CrossRef]
- Hernandez-Carrascal, A.; Bormann, N.; Borde, R.; Lutz, H.J.; Wanzong, S. Atmospheric Motion Vectors from model simulations. Part I: Methods and characterisation as single-level estimates of wind. ECMWF Tech. Memo. 2012, 677, 31. [Google Scholar]
- Bormann, N.; Saarinen, S.; Kelly, G.; Thepaut, J.N. The Spatial Structure of Observation Errors in Atmospheric Motion Vectors from Geostationary Satellite Data. Quart. J. Roy. Meteor. Soc. 2003, 131, 706–718. [Google Scholar] [CrossRef]
- Rohn, M.; Kelly, G.; Saunders, R. Impact of a new cloud motion wind product from Meteosat on NWP analyses. Mon. Wea. Rev. 2001, 129, 2392–2403. [Google Scholar] [CrossRef]
- Chen, M.; Zhong, J.; Lu, B.; Tong, W.; Feng, J.; Zhang, S.; Huang, X.; Fan, S. On the CMA-BJ v2.0 hourly rapid update catch-up cycling assimilation and forecast system. Part I: Data assimilation and system attributes. Acta Meteorol. Sin. 2023, 81, 911–925. [Google Scholar]
- Skamarock, W.C.; Klemp, J.B.; Dudhia, J.; Gill, D.O.; Barker, D.M.; Duda, M.G.; Huang, X.Y.; Wang, W.; Powers, J.G. A Description of the Advanced Research WRF Version 3. NCAR Tech. Note; University Corporation for Atmospheric Research: Boulder, CO, USA, 2008. [Google Scholar]
- Barker, D.; Huang, X.Y.; Liu, Z.; Auligné, T.; Zhang, X.; Rugg, S.; Ajjaji, R.; Bourgeois, A.; Bray, J.; Chen, Y.; et al. The weather research and forecasting model’s community variational/ensemble data assimilation system: WRFDA. Bull. Amer. Meteor. Soc. 2012, 93, 831–843. [Google Scholar] [CrossRef]
- Bloom, S.; Takacs, L.; DaSilva, A.; Ledvina, D. Data assimilation using incremental analysis updates. Mon. Wea. Rev. 1996, 124, 1256–1271. [Google Scholar] [CrossRef]
- Yang, J.; Zhang, Z.; Wei, C.; Lu, F.; Guo, Q. Introducing the new generation of Chinese geostationary weather satellites—FengYun 4. Bull. Amer. Meteor. Soc. 2017, 98, 1637–1658. [Google Scholar] [CrossRef]
- Schmetz, J.; Pili, P.; Tjemkes, S.; Just, D.; Kerkmann, J.; Rota, S.; Ratier, A. An introduction toMeteosat Second Generation (MSG). Bull. Am. Meteorol. Soc. 2002, 83, 977–992. [Google Scholar] [CrossRef]
- Zhang, X.; Zhang, Q.; Xu, J. Use of representative pixels of motion for wind vector height assignment of semi-transparent clouds. J. Appl. Meteorol. Sci. 2017, 28, 270–282. [Google Scholar]
- Zhang, X.; Zhang, Q.; Xu, J. Estimation of background radiation underneath clouds for wind vector height assignment of semi-transparent clouds. J. Appl. Meteorol. Sci. 2017, 28, 283–291. [Google Scholar]
- Schaffer, J.T. The critical success index as an indicator of warning skill. Wea. Forecast. 1990, 5, 570–575. [Google Scholar] [CrossRef]
- Casati, B.; Wilson, L.J.; Stephenson, D.B.; Nurmi, P.; Ghelli, A.; Pocernich, M.; Damrath, U.; Ebert, E.E.; Brown, B.G.; Mason, S. Forecast verification: Current status and future directions. Meteorol. Appl. 2008, 15, 3–18. [Google Scholar] [CrossRef]















| Schemes and Configurations | ||
|---|---|---|
| System | Model version | WRF/ARW v4.1.2 |
| Grid points | 424 | |
| Grid distance | D01: 9 km, D02: 3 km | |
| Number of vertical levels | 59 | |
| Pressure top | 10 hPa | |
| Lateral boundary condition | ECMWF | |
| Radiation scheme | RRTMG | |
| Boundary layer scheme | YSU | |
| Cloud microphysics scheme | Thompson | |
| Convective parameterization scheme | New Tiedtke (only for D01) | |
| Land surface | Noah LSM | |
| Data assimilation | Method | 3D-VAR |
| Assimilating data | SYNOP, METAR, GPSZTD, PILOT, AMDAR, SOUND and radar data | |
| Initialization scheme | Incremental analysis update (IAU) | |
| Type | Channel | Central Wavelength (µm) | Spectral Width (µm) | Spatial Sampling Distance (km) |
|---|---|---|---|---|
| VIS and NIR | 1 | 0.47 | 0.45~0.49 | 1 |
| 2 | 0.65 | 0.55~0.75 | 0.5~1 | |
| 3 | 0.825 | 0.75~0.90 | 1 | |
| SWIR | 4 | 1.375 | 1.36~1.39 | 2 |
| 5 | 1.61 | 1.58~1.64 | 2 | |
| 6 | 2.25 | 2.1~2.35 | 2~4 | |
| MWIR | 7 | 3.75 (high) | 3.5~4.0 | 2 |
| 8 | 3.75 (low) | 3.5~4.0 | 4 | |
| WV | 9 | 6.25 | 5.8~6.7 | 4 |
| 10 | 7.1 | 6.9~7.3 | 4 | |
| LWIR | 11 | 8.5 | 8.0~9.0 | 4 |
| 12 | 10.7 | 10.3~11.3 | 4 | |
| 13 | 12.0 | 11.5~12.5 | 4 | |
| 14 | 13.5 | 13.2~13.8 | 4 |
| Default Observation Errors (1,289,222) | Optimized Observation Errors (1,285,659) | ||||
|---|---|---|---|---|---|
| Mean (m/s) | Std (m/s) | Mean (m/s) | Std (m/s) | ||
| U | OMB | −0.2714 | 4.1206 | −0.2610 | 4.0249 |
| OMA | −0.0090 | 2.2376 | 0.0023 | 2.0526 | |
| V | OMB | 0.1329 | 3.8383 | 0.1510 | 3.7543 |
| OMA | 0.0098 | 2.1243 | 0.0171 | 1.9702 | |
Disclaimer/Publisher’s Note: The statements, opinions and data contained in all publications are solely those of the individual author(s) and contributor(s) and not of MDPI and/or the editor(s). MDPI and/or the editor(s) disclaim responsibility for any injury to people or property resulting from any ideas, methods, instructions or products referred to in the content. |
© 2024 by the authors. Licensee MDPI, Basel, Switzerland. This article is an open access article distributed under the terms and conditions of the Creative Commons Attribution (CC BY) license (https://creativecommons.org/licenses/by/4.0/).
Share and Cite
Xie, Y.; Zhang, S.; Sun, X.; Chen, M.; Shi, J.; Xia, Y.; Liu, R. Assimilation of Fengyun-4A Atmospheric Motion Vectors and Its Impact on China Meteorological Administration—Beijing System Forecasts. Remote Sens. 2024, 16, 4561. https://doi.org/10.3390/rs16234561
Xie Y, Zhang S, Sun X, Chen M, Shi J, Xia Y, Liu R. Assimilation of Fengyun-4A Atmospheric Motion Vectors and Its Impact on China Meteorological Administration—Beijing System Forecasts. Remote Sensing. 2024; 16(23):4561. https://doi.org/10.3390/rs16234561
Chicago/Turabian StyleXie, Yanhui, Shuting Zhang, Xin Sun, Min Chen, Jiancheng Shi, Yu Xia, and Ruixia Liu. 2024. "Assimilation of Fengyun-4A Atmospheric Motion Vectors and Its Impact on China Meteorological Administration—Beijing System Forecasts" Remote Sensing 16, no. 23: 4561. https://doi.org/10.3390/rs16234561
APA StyleXie, Y., Zhang, S., Sun, X., Chen, M., Shi, J., Xia, Y., & Liu, R. (2024). Assimilation of Fengyun-4A Atmospheric Motion Vectors and Its Impact on China Meteorological Administration—Beijing System Forecasts. Remote Sensing, 16(23), 4561. https://doi.org/10.3390/rs16234561
