A Multispectral Feature Selection Method Based on a Dual-Attention Network for the Accurate Estimation of Fractional Vegetation Cover in Winter Wheat
Abstract
1. Introduction
2. Materials and Methods
2.1. Study Area and Real Data
2.2. The Importance of Hyperspectral Band Reflectances
2.2.1. Simulated Data Generation
- 1.
- Generation of Hyperspectral Simulated Data with the PROSAIL Model
- 2.
- Latin Hypercube Sampling
2.2.2. DAM-CNN Model
- Dual-Attention Mechanism
- 2.
- Convolutional Neural Network
- 3.
- DAM-CNN
2.3. Multispectral Feature Selection
2.4. Multispectral Feature Assessment
2.4.1. Real Data Augmentation
2.4.2. Assessment of Selected Feature Bands
2.5. Evaluation Metrics
3. Results
3.1. The Importance Analysis of Hyperspectral Band Reflectances
3.1.1. Sample Size for Latin Hypercube Sampling
3.1.2. Solution for the Importance of Hyperspectral Band Reflectances
3.2. Multispectral Feature Selection
3.2.1. Solution for the Importance of Multispectral Band Reflectances
3.2.2. Outcomes of the Multispectral Feature Selection
3.2.3. Other Multispectral Feature Selection Methods
- 1.
- Random Forest Regression
- 2.
- Manual Feature Combination Selection
3.3. Outcomes of the Multispectral Feature Assessment
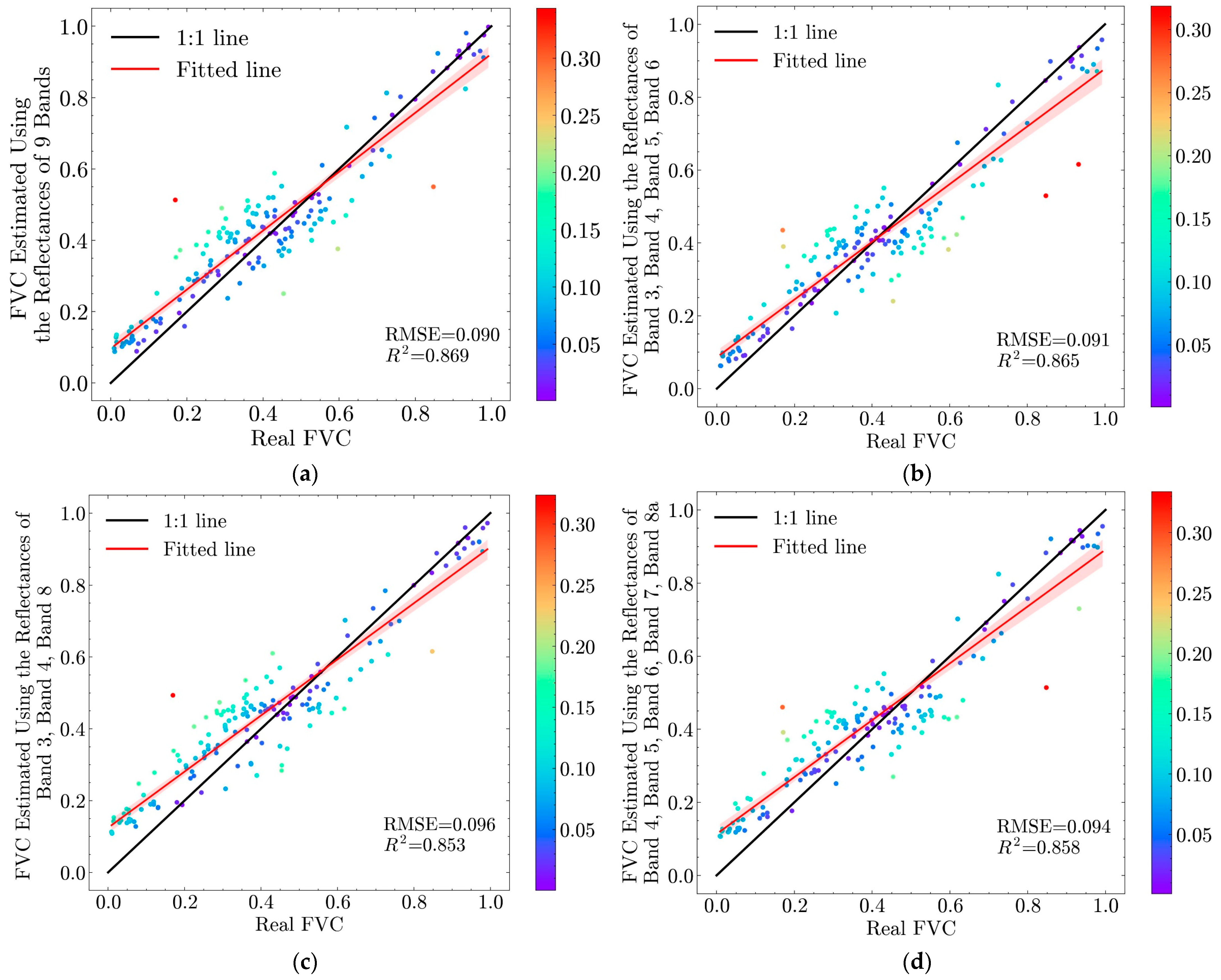
3.3.1. FVC Estimation Accuracy Assessment
3.3.2. FVC Estimation Efficiency Assessment
4. Discussion
5. Conclusions
Author Contributions
Funding
Data Availability Statement
Acknowledgments
Conflicts of Interest
References
- Ding, X.; Wang, Q.; Tong, X. Integrating 250 m MODIS Data in Spectral Unmixing for 500 m Fractional Vegetation Cover Estimation. Int. J. Appl. Earth Obs. Geoinf. 2022, 111, 102860. [Google Scholar] [CrossRef]
- Lambin, E.F.; Strahler, A.H. Indicators of Land-Cover Change for Change-Vector Analysis in Multitemporal Space at Coarse Spatial Scales. Int. J. Remote Sens. 1994, 15, 2099–2119. [Google Scholar] [CrossRef]
- Liu, D.; Yang, F.; Liu, S. Estimating Wheat Fractional Vegetation Cover Using a Density Peak K-Means Algorithm Based on Hyperspectral Image Data. J. Integr. Agric. 2021, 20, 2880–2891. [Google Scholar] [CrossRef]
- Wu, D.; Wu, H.; Zhao, X.; Zhou, T.; Tang, B.; Zhao, W.; Jia, K. Evaluation of Spatiotemporal Variations of Global Fractional Vegetation Cover Based on GIMMS NDVI Data from 1982 to 2011. Remote Sens. 2014, 6, 4217–4239. [Google Scholar] [CrossRef]
- Qin, W.; Zhu, Q.; Zhang, X.; Li, W.; Fang, B. Review of vegetation covering and its measuring and calculating method. J. Northwest A&F Univ. (Nat. Sci. Ed.) 2006, 34, 163–170. (In Chinese) [Google Scholar]
- Weiss, M.; Jacob, F.; Duveiller, G. Remote Sensing for Agricultural Applications: A Meta-Review. Remote Sens. Environ. 2020, 236, 111402. [Google Scholar] [CrossRef]
- Andreatta, D.; Gianelle, D.; Scotton, M.; Dalponte, M. Estimating Grassland Vegetation Cover with Remote Sensing: A Comparison Between Landsat-8, Sentinel-2, and PlanetScope Imagery. Ecol. Indic. 2022, 141, 109102. [Google Scholar] [CrossRef]
- Leprieur, C.; Kerr, Y.H.; Mastorchio, S.; Meunier, J.C. Monitoring vegetation cover across semi-arid regions: Comparison of remote observations from various scales. Int. J. Remote Sens. 2000, 21, 281–300. [Google Scholar] [CrossRef]
- Yan, K.; Gao, S.; Chi, H.; Qi, J.; Song, W.; Tong, Y.; Mu, X.; Yan, G. Evaluation of the Vegetation-Index-Based Dimidiate Pixel Model for Fractional Vegetation Cover Estimation. IEEE Trans. Geosci. Remote Sens. 2022, 60, 1–14. [Google Scholar] [CrossRef]
- Dymond, J.R.; Stephens, P.R.; Newsome, P.F.; Wilde, R.H. Percentage Vegetation Cover of a Degrading Rangeland from SPOT. Int. J. Remote Sens. 1992, 13, 1999–2007. [Google Scholar] [CrossRef]
- North, P.R.J. Estimation of fAPAR, LAI, and Vegetation Fractional Cover from ATSR-2 Imagery. Remote Sens. Environ. 2002, 80, 114–121. [Google Scholar] [CrossRef]
- Hill, M.J.; Zhou, Q.; Sun, Q.; Schaaf, C.B.; Palace, M. Relationships Between Vegetation Indices, Fractional Cover Retrievals, and the Structure and Composition of Brazilian Cerrado Natural Vegetation. Int. J. Remote Sens. 2017, 38, 874–905. [Google Scholar] [CrossRef]
- Jing, X.; Yao, W.; Wang, J.; Song, X. A Study on the Relationship Between Dynamic Change of Vegetation Coverage and Precipitation in Beijing’s Mountainous Areas During the Last 20 Years. Math. Comput. Model. 2011, 54, 1079–1085. [Google Scholar] [CrossRef]
- Zhang, X.; Liao, C.; Li, J.; Sun, Q. Fractional Vegetation Cover Estimation in Arid and Semi-Arid Environments Using HJ-1 Satellite Hyperspectral Data. Int. J. Appl. Earth Obs. Geoinf. 2013, 21, 506–512. [Google Scholar] [CrossRef]
- Zhan, Y.; Meng, Q.; Wang, C.; Li, J.; Zhou, K.; Li, D. Fractional Vegetation Cover Estimation Over Large Regions Using GF-1 Satellite Data. In Proceedings of the Land Surface Remote Sensing II, Beijing, China, 8 November 2014; p. 92604B. [Google Scholar]
- Jia, K.; Liang, S.; Gu, X.; Baret, F.; Wei, X.; Wang, X.; Yao, Y.; Yang, L.; Li, Y. Fractional Vegetation Cover Estimation Algorithm for Chinese GF-1 Wide Field View Data. Remote Sens. Environ. 2016, 177, 184–191. [Google Scholar] [CrossRef]
- Wang, B.; Jia, K.; Liang, S.; Xie, X.; Wei, X.; Zhao, X.; Yao, Y.; Zhang, X. Assessment of Sentinel-2 MSI Spectral Band Reflectances for Estimating Fractional Vegetation Cover. Remote Sens. 2018, 10, 1927. [Google Scholar] [CrossRef]
- Li, W.; Buitenwerf, R.; Munk, M.; Bøcher, P.K.; Svenning, J.-C. Deep-Learning Based High-Resolution Mapping Shows Woody Vegetation Densification in Greater Maasai Mara Ecosystem. Remote Sens. Environ. 2020, 247, 111953. [Google Scholar] [CrossRef]
- Yu, R.; Li, S.; Zhang, B.; Zhang, H. A Deep Transfer Learning Method for Estimating Fractional Vegetation Cover of Sentinel-2 Multispectral Images. IEEE Geosci. Remote Sens. Lett. 2022, 19, 1–5. [Google Scholar] [CrossRef]
- Huang, Y.; Zhou, X.; Lv, T.; Tao, Z.; Zhang, H.; Li, R.; Zhai, M.; Liang, H. The Retrieval of Forest and Grass Fractional Vegetation Coverage in Mountain Regions Based on Spatio-Temporal Transfer Learning. Remote Sens. 2023, 15, 4857. [Google Scholar] [CrossRef]
- Wang, Z.; Song, D.; He, T.; Lu, J.; Wang, C.; Zhong, D. Developing Spatial and Temporal Continuous Fractional Vegetation Cover Based on Landsat and Sentinel-2 Data with a Deep Learning Approach. Remote Sens. 2023, 15, 2948. [Google Scholar] [CrossRef]
- Wang, Z.; Chen, W.; Xing, J.; Zhang, X.; Tian, H.; Tang, H.; Bi, P.; Li, G.; Zhang, F. Extracting Vegetation Information from High Dynamic Range Images with Shadows: A Comparison Between Deep Learning and Threshold Methods. Comput. Electron. Agric. 2023, 208, 107805. [Google Scholar] [CrossRef]
- He, J.; Lyu, D.; He, L.; Zhang, Y.; Xu, X.; Yi, H.; Tian, Q.; Liu, B.; Zhang, X. Combining Object-Oriented and Deep Learning Methods to Estimate Photosynthetic and Non-Photosynthetic Vegetation Cover in the Desert from Unmanned Aerial Vehicle Images with Consideration of Shadows. Remote Sens. 2023, 15, 105. [Google Scholar] [CrossRef]
- Broge, N.H.; Leblanc, E. Comparing Prediction Power and Stability of Broadband and Hyperspectral Vegetation Indices for Estimation of Green Leaf Area Index and Canopy Chlorophyll Density. Remote Sens. Environ. 2001, 76, 156–172. [Google Scholar] [CrossRef]
- Sun, J.; Shi, S.; Yang, J.; Chen, B.; Gong, W.; Du, L.; Mao, F.; Song, S. Estimating Leaf Chlorophyll Status Using Hyperspectral Lidar Measurements by PROSPECT Model Inversion. Remote Sens. Environ. 2018, 212, 1–7. [Google Scholar] [CrossRef]
- Yue, J.; Guo, W.; Yang, G.; Zhou, C.; Feng, H.; Qiao, H. Method for Accurate Multi-Growth-Stage Estimation of Fractional Vegetation Cover Using Unmanned Aerial Vehicle Remote Sensing. Plant Methods 2021, 17, 51. [Google Scholar] [CrossRef]
- Gaffney, R.; Augustine, D.J.; Kearney, S.P.; Porensky, L.M. Using hyperspectral imagery to characterize rangeland vegetation composition at process-relevant scales. Remote Sens. 2021, 13, 4603. [Google Scholar] [CrossRef]
- Rigge, M.; Bunde, B.; Postma, K.; Oliver, S.; Mueller, N. Application of Normalized Radar Backscatter and Hyperspectral Data to Augment Rangeland Vegetation Fractional Classification. Remote Sens. 2024, 16, 2315. [Google Scholar] [CrossRef]
- Robichaud, P.R.; Lewis, S.A.; Laes, D.Y.M.; Hudak, A.T.; Kokaly, R.F.; Zamudio, J.A. Postfire soil burn severity mapping with hyperspectral image unmixing. Remote Sens. Environ. 2007, 108, 467–480. [Google Scholar] [CrossRef]
- Yue, Y.; Wang, K.; Zhang, B.; Jiao, Q.; Liu, B.; Zhang, M.Y. Remote sensing of fractional cover of vegetation and exposed bedrock for karst rocky desertification assessment. Procedia Environ. Sci. 2012, 13, 847–853. [Google Scholar] [CrossRef]
- Guerschman, J.P.; Hill, M.J.; Renzullo, L.J.; Barrett, D.J.; Marks, A.S.; Botha, E.J. Estimating fractional cover of photosynthetic vegetation, non-photosynthetic vegetation and bare soil in the Australian tropical savanna region upscaling the EO-1 Hyperion and MODIS sensors. Remote Sens. Environ. 2009, 113, 928–945. [Google Scholar] [CrossRef]
- Mutanga, O.; Adam, E.; Cho, M.A. High-Density Biomass Estimation for Wetland Vegetation Using WorldView-2 Imagery and Random Forest Regression Algorithm. Int. J. Appl. Earth Obs. Geoinf. 2012, 18, 399–406. [Google Scholar] [CrossRef]
- Fernández-Guisuraga, J.M.; Verrelst, J.; Calvo, L.; Suárez-Seoane, S. Hybrid Inversion of Radiative Transfer Models Based on High Spatial Resolution Satellite Reflectance Data Improves Fractional Vegetation Cover Retrieval in Heterogeneous Ecological Systems After Fire. Remote Sens. Environ. 2021, 255, 112304. [Google Scholar] [CrossRef]
- Graetz, R.D.; Pech, R.P.; Davis, A.W. The Assessment and Monitoring of Sparsely Vegetated Rangelands Using Calibrated Landsat Data. Int. J. Remote Sens. 1988, 9, 1201–1222. [Google Scholar] [CrossRef]
- Jiang, Y.; Li, Y.; Zou, S.; Zhang, H.; Bai, Y. Hyperspectral Image Classification with Spatial Consistence Using Fully Convolutional Spatial Propagation Network. IEEE Trans. Geosci. Remote Sens. 2021, 59, 10425–10437. [Google Scholar] [CrossRef]
- Pan, H.; Zhao, X.; Ge, H.; Liu, M.; Shi, C. Hyperspectral Image Classification Based on Multiscale Hybrid Networks and Attention Mechanisms. Remote Sens. 2023, 15, 2720. [Google Scholar] [CrossRef]
- Choi, H.; Cho, K.; Bengio, Y. Fine-grained attention mechanism for neural machine translation. Neurocomputing 2018, 284, 171–176. [Google Scholar] [CrossRef]
- Wang, D.; Xiang, S.; Zhou, Y.; Mu, J.; Zhou, H.; Irampaye, R. Multiple-Attention Mechanism Network for Semantic Segmentation. Sensors 2022, 22, 4477. [Google Scholar] [CrossRef]
- Liu, J.; Chen, L.; Shi, R.; Xu, J.; Liu, A. Distant Supervised Relation Extraction with Hierarchical Attention Mechanism. In Proceedings of the 7th International Conference on Communication and Information Processing, Beijing, China, 7 March 2022; pp. 44–50. [Google Scholar]
- Liu, J.; Yang, J.; Liu, K.; Xu, L. Ocean Current Prediction Using the Weighted Pure Attention Mechanism. J. Mar. Sci. Eng. 2022, 10, 592. [Google Scholar] [CrossRef]
- Chen, C.; Wu, X.; Chen, A. A Semantic Segmentation Algorithm Based on Improved Attention Mechanism. In Proceedings of the 2020 International Symposium on Autonomous Systems (ISAS), Guangzhou, China, 6–8 December 2020; pp. 244–248. [Google Scholar]
- Vaswani, A.; Shazeer, N.; Parmar, N.; Uszkoreit, J.; Jones, L.; Gomez, A.N.; Kaiser, Ł.; Polosukhin, I. Attention is all you need. In Proceedings of the 31st International Conference on Neural Information Processing Systems, Long Beach, CA, USA, 4–9 December 2017; pp. 6000–6010. [Google Scholar]
- Hu, J.; Shen, L.; Sun, G. Squeeze-and-Excitation Networks. In Proceedings of the 2018 IEEE/CVF Conference on Computer Vision and Pattern Recognition, Salt Lake City, UT, USA, 18–23 June 2018; pp. 7132–7141. [Google Scholar]
- Zhou, Q.; Robson, M. Automated Rangeland Vegetation Cover and Density Estimation Using Ground Digital Images and a Spectral-Contextual Classifier. Int. J. Remote Sens. 2001, 22, 3457–3470. [Google Scholar] [CrossRef]
- Liu, Y.; Mu, X.; Wang, H.; Yan, G. A Novel Method for Extracting Green Fractional Vegetation Cover from Digital Images. J. Veg. Sci. 2012, 23, 406–418. [Google Scholar] [CrossRef]
- Drusch, M.; Del Bello, U.; Carlier, S.; Colin, O.; Fernandez, V.; Gascon, F.; Hoersch, B.; Isola, C.; Laberinti, P.; Martimort, P.; et al. Sentinel-2: ESA’s Optical High-Resolution Mission for GMES Operational Services. Remote Sens. Environ. 2012, 120, 25–36. [Google Scholar] [CrossRef]
- Jiang, Z.; Huete, A.R.; Didan, K.; Miura, T. Development of a Two-Band Enhanced Vegetation Index Without a Blue Band. Remote Sens. Environ. 2008, 112, 3833–3845. [Google Scholar] [CrossRef]
- Yu, Q.; Yang, G.; Wang, C. Chlorophyll inversion of winter wheat based on ground hyperspectral data and PROSAIL model. Sci. Surv. Mapp. 2019, 44, 96–102+136. (In Chinese) [Google Scholar]
- Sun, Q.; Jiao, Q.; Chen, X.; Xing, H.; Huang, W.; Zhang, B. Machine Learning Algorithms for the Retrieval of Canopy Chlorophyll Content and Leaf Area Index of Crops Using the PROSAIL-D Model with the Adjusted Average Leaf Angle. Remote Sens. 2023, 15, 2264. [Google Scholar] [CrossRef]
- Qu, Y.; Zhang, Y.; Wang, J. A Dynamic Bayesian Network Data Fusion Algorithm for Estimating Leaf Area Index Using Time-Series Data from In Situ Measurement to Remote Sensing Observations. Int. J. Remote Sens. 2012, 33, 1106–1125. [Google Scholar] [CrossRef]
- Li, Z.; Jin, X.; Yang, G.; Drummond, J.; Yang, H.; Clark, B.; Li, Z.; Zhao, C. Remote Sensing of Leaf and Canopy Nitrogen Status in Winter Wheat (Triticum aestivum L.) Based on N-PROSAIL Model. Remote Sens. 2018, 10, 1463. [Google Scholar] [CrossRef]
- Kruse, F.A.; Lefkoff, A.; Boardman, J.W.; Heidebrecht, K.; Shapiro, A.; Barloon, P.; Goetz, A. The Spectral Image Processing System (SIPS)—Interactive Visualization and Analysis of Imaging Spectrometer Data. Remote Sens. Environ. 1993, 44, 145–163. [Google Scholar] [CrossRef]
- Nilson, T. A Theoretical Analysis of the Frequency of Gaps in Plant Stands. Agric. Meteorol. 1971, 8, 25–38. [Google Scholar] [CrossRef]
- McKay, M.D.; Beckman, R.J.; Conover, W.J. A Comparison of Three Methods for Selecting Values of Input Variables in the Analysis of Output from a Computer Code. Technometrics 2000, 42, 55–61. [Google Scholar] [CrossRef]
- Yin, J.; Lu, W.; Xin, X.; Zhang, L. Application of Monte Carlo sampling and Latin Hypercube sampling methods in pumping schedule design during establishing surrogate model. In Proceedings of the 2011 International Symposium on Water Resource and Environmental Protection, Xi’an, China, 20–22 May 2011; pp. 212–215. [Google Scholar]
- Bang, B.j.; Kwon, H.j.; Kim, Y.H. Effective Sampling Method for Statistical Leakage Analysis: Hybrid Sampling Method. In Proceedings of the 2017 International SoC Design Conference (ISOCC), Seoul, Republic of Korea, 5–8 November 2017; pp. 302–303. [Google Scholar]
- Iordanis, I.; Koukouvinos, C.; Silou, I. Classification accuracy improvement using conditioned Latin Hypercube Sampling in Supervised Machine Learning. In Proceedings of the 2022 12th International Conference on Dependable Systems, Services and Technologies (DESSERT), Athens, Greece, 9–11 December 2022; pp. 1–5. [Google Scholar]
- Yang, L.; Jia, K.; Liang, S.; Wei, X.; Yao, Y.; Zhang, X. A Robust Algorithm for Estimating Surface Fractional Vegetation Cover from Landsat Data. Remote Sens. 2017, 9, 857. [Google Scholar] [CrossRef]
- Zhao, M.; Hu, X.; Zhang, L.; Meng, Q.; Chen, Y.; Bruzzone, L. Beyond Pixel-Level Annotation: Exploring Self-Supervised Learning for Change Detection with Image-Level Supervision. IEEE Trans. Geosci. Remote Sens. 2024, 62, 1–16. [Google Scholar] [CrossRef]
- Davydzenka, T.; Tahmasebi, P.; Carroll, M. Improving remote sensing classification: A deep-learning-assisted model. Comput. Geosci. 2022, 164, 105123. [Google Scholar] [CrossRef]
- Xiao, Q.; Liu, B.; Li, Z.; Ni, W.; Yang, Z.; Li, L. Progressive Data Augmentation Method for Remote Sensing Ship Image Classification Based on Imaging Simulation System and Neural Style Transfer. IEEE J. Sel. Top. Appl. Earth Observ. Remote Sens. 2021, 14, 9176–9186. [Google Scholar] [CrossRef]
- Li, S.; Yang, R.; Chen, B.; Xu, S.; Chen, J.; Wu, Y.; Feng, X. Method, Device, and Equipment for Determining Sample Size for Vegetation Coverage Estimation. CN Patent 202310822103.5, 19 September 2023. (In Chinese). [Google Scholar]














| Study Area | Vegetation Type | Sampling Date | Sampling Size |
|---|---|---|---|
| Xiong’an | Winter Wheat | 7 November 2020 8 November 2020 | 121 |
| Xiaotangshan | Winter Wheat | 1 April 2021 | 89 |
| 2 April 2021 | 12 | ||
| 14 April 2021 | 35 | ||
| 28 April 2021 | 44 | ||
| 4 March 2022 | 62 | ||
| 8 April 2022 | 278 | ||
| 29 April 2022 | 73 | ||
| Sanhe | Winter Wheat | 21 March 2023 | 11 |
| 7 April 2023 | 32 | ||
| 8 April 2023 | 66 |
| Bands No. | Central Wavelength (nm) | Band Width (nm) | Spatial Resolution (m) |
|---|---|---|---|
| 1 | 443 | 20 | 60 |
| 2 | 490 | 65 | 10 |
| 3 | 560 | 35 | 10 |
| 4 | 665 | 30 | 10 |
| 5 | 705 | 15 | 20 |
| 6 | 740 | 15 | 20 |
| 7 | 783 | 20 | 20 |
| 8 | 842 | 115 | 10 |
| 8a | 865 | 20 | 20 |
| 9 | 945 | 20 | 60 |
| 10 | 1380 | 30 | 60 |
| 11 | 1610 | 90 | 20 |
| 12 | 2190 | 180 | 20 |
| Model | Parameter | Unit | Value Range | Step Size |
|---|---|---|---|---|
| PROSPECT | N | - | 1–2 | 0.5 |
| Cab | 10–80 | 5 | ||
| Car | 25% Cab | - | ||
| Cbrown | - | 0 | - | |
| Cw | 0.005–0.015 | 0.005 | ||
| Cm | 0.003–0.006 | 0.001 | ||
| Cant | 2 | - | ||
| SAIL | LAI | 0.15–6.15 | 0.5 | |
| ALA | 30–55 | 5 | ||
| SZA | 25–45 | 5 | ||
| Hot | - | 0.1 | - | |
| VZA | 0 | - | ||
| RAZ | 0 | - |
| Training Stage | Learning Rate | Optimizer | Batch Size | Epoch | Loss Function |
|---|---|---|---|---|---|
| Stage 1 | 0.0001 | Adam | 128 | 2 | MSE |
| Stage 2 | 0.0001 | Adam | 32 | 5 | MSE |
| Sample Size | Time Spent on Stage 1 (s) | Time Spent on Stage 2 (s) |
|---|---|---|
| 3,159,000 | 67,075.519 | 261,861.873 |
| 800,000 | 17,284.960 | 65,592.623 |
| Input Bands (B Denotes Band) | Training Time (s) | Testing Time (s) |
|---|---|---|
| B3, B4, B5, B6, B7, B8, B8a, B11, B12 | 94.542 | 0.058 |
| B3, B4, B5, B6 | 76.461 | 0.054 |
| B3, B4, B8 | 71.789 | 0.053 |
| B4, B5, B6, B7, B8a | 76.473 | 0.055 |
Disclaimer/Publisher’s Note: The statements, opinions and data contained in all publications are solely those of the individual author(s) and contributor(s) and not of MDPI and/or the editor(s). MDPI and/or the editor(s) disclaim responsibility for any injury to people or property resulting from any ideas, methods, instructions or products referred to in the content. |
© 2024 by the authors. Licensee MDPI, Basel, Switzerland. This article is an open access article distributed under the terms and conditions of the Creative Commons Attribution (CC BY) license (https://creativecommons.org/licenses/by/4.0/).
Share and Cite
Yang, R.; Li, S.; Zhang, B.; Jiao, Q.; Peng, D.; Yang, S.; Yu, R. A Multispectral Feature Selection Method Based on a Dual-Attention Network for the Accurate Estimation of Fractional Vegetation Cover in Winter Wheat. Remote Sens. 2024, 16, 4441. https://doi.org/10.3390/rs16234441
Yang R, Li S, Zhang B, Jiao Q, Peng D, Yang S, Yu R. A Multispectral Feature Selection Method Based on a Dual-Attention Network for the Accurate Estimation of Fractional Vegetation Cover in Winter Wheat. Remote Sensing. 2024; 16(23):4441. https://doi.org/10.3390/rs16234441
Chicago/Turabian StyleYang, Runzhi, Shanshan Li, Bing Zhang, Quanjun Jiao, Dailiang Peng, Songlin Yang, and Ruyi Yu. 2024. "A Multispectral Feature Selection Method Based on a Dual-Attention Network for the Accurate Estimation of Fractional Vegetation Cover in Winter Wheat" Remote Sensing 16, no. 23: 4441. https://doi.org/10.3390/rs16234441
APA StyleYang, R., Li, S., Zhang, B., Jiao, Q., Peng, D., Yang, S., & Yu, R. (2024). A Multispectral Feature Selection Method Based on a Dual-Attention Network for the Accurate Estimation of Fractional Vegetation Cover in Winter Wheat. Remote Sensing, 16(23), 4441. https://doi.org/10.3390/rs16234441

