Abstract
The semantic segmentation of high-resolution remote sensing images (HRRSIs) faces persistent challenges in handling complex architectural structures and shadow occlusions, limiting the effectiveness of existing deep learning approaches. To address these limitations, we propose an attention-focused feature enhancement network (AFENet) with a novel encoder–decoder architecture. The encoder architecture combines ResNet50 with a parallel multistage feature enhancement group (PMFEG), enabling robust feature extraction through optimized channel reduction, scale expansion, and channel reassignment operations. Building upon this foundation, we develop a global multi-scale attention mechanism (GMAM) in the decoder that effectively synthesizes spatial information across multiple scales by learning comprehensive global–local relationships. The architecture is further enhanced by an efficient feature-weighted fusion module (FWFM) that systematically integrates remote spatial features with local semantic information to improve segmentation accuracy. Experimental results across diverse scenarios demonstrate that AFENet achieves superior performance in building structure detection, exhibiting enhanced segmentation connectivity and completeness compared to state-of-the-art methods.
1. Introduction
The semantic segmentation of high-resolution remote sensing images (HRRSIs) is a key step in the intelligent interpretation of high-resolution remote sensing data and an important research topic in the field of remote sensing image processing. Its main goal is to assign each pixel in the image to a specific category in order to accurately recognize various types of features within the image content. With the rapid development of remote sensing satellite technology, the acquisition of HRRSIs has become increasingly convenient, further promoting research progress in this field. Currently, semantic segmentation has a wide range of application areas in remote sensing, including urban planning [1], land change detection [2], ecological monitoring [3], and disaster management [4], which underscores its importance in practical applications. To enhance the analysis of remote sensing image content, the segmentation task is receiving increasing attention and research, becoming an important factor in improving intelligent interpretation capabilities, with far-reaching significance for promoting remote sensing technology applications and development.
As shown in Figure 1, the feature composition of HRRSIs is more complex than that of natural images [5]. First, in HRRSIs, the same type of features may differ in shape, layout, and scale, increasing the difficulty of the segmentation task. Second, some objects (e.g., buildings) have complex internal structures and rich texture variations, which can easily lead to mis-segmentation or hole artifacts in semantic segmentation. In addition, different categories of objects may overlap in terms of appearance and features. For example, in urban landscapes, the boundaries between buildings, parking lots, and roads are not always obvious. In areas that require dense labeling, such as parking lots and bushes, the shadows produced by lighting further increase the difficulty of distinguishing between categories, exacerbating classification confusion.
Figure 1.
Challenges in the semantic segmentation of HRRSIs. (a) displays windows inside a building and a house extending outward, reflecting the rich texture variations within the building. (b) illustrates cars and buildings affected by shadows, which have indistinguishable segmentation edges. Furthermore, (a,b) show windows inside cars and buildings, respectively, which have very similar shapes, leading the model to easily confuse the two during segmentation.
To address the aforementioned issues, researchers have undertaken a novel study of HRRSIs. Early traditional image segmentation algorithms typically required human-designed features that varied significantly within the image scenes, making these methods difficult to adapt to the complexities of HRRSIs [6]. CNN-based techniques are now widely used in many image processing areas due to the rapid growth of deep learning [7,8,9]. Influenced by research in the semantic segmentation of natural imagery, the encoding–decoding architecture has gradually emerged as an accepted framework for the semantic segmentation of remote sensing images. This architecture involves successive downsampling of the image in the phase of encoding to gather thorough information, followed by successive upsampling in the prediction stage to reconstruct the image. Numerous works, such as UNet [10] and DeepLabv3 [11], have achieved impressive results based on this architecture, making the encoder–decoder networks an accepted paradigm for the semantic segmentation of remote sensing images.
However, the limitations of CNNs hinder their ability to learn remote spatial dependencies. To solve this issue, researchers have explored both improving the encoder–decoder architecture and utilizing larger receptive fields. For optimizing the connections between the encoder and decoder, MAResU-Net [12] introduces a linear attention mechanism in the skip connections, effectively capturing the long-distance dependencies between feature maps at different scales. In contrast, to achieve a larger receptive field, PSPNet [13] extracts global semantic information through a pyramid pooling approach, while DDCM-Net [14] utilizes multiple expansion rates to encode multi-scale contextual information. CNN-based approaches still primarily rely on local feature extraction, which is inadequate for identifying complex targets, despite their encouraging results in the semantic segmentation of HRRSIs. Therefore, improving models’ capacity to incorporate global information is urgently needed.
Incorporating the global semantic information of pictures into the semantic segmentation of HRRSIs will improve the model’s ability to comprehend feature variations within and across categories, shown in the right portion of Figure 1. The transformer has demonstrated significant promise in natural language processing recently, especially in the area of representing long-distance relationships. In the computer vision area, the transformer provides an effective solution for semantic segmentation, gradually replacing traditional CNNs and demonstrating significant advantages in classification, segmentation, and object recognition [15,16,17]. TransUNet, proposed by Chen et al. [18], combines CNN and transformer modules, extracting local features through numerous convolutions and then passing the feature maps to multiple transformer modules to build a global context model. In contrast, ST-UNet, which was first presented by He et al. [19], uses a relational aggregation module to incorporate features and employs an identical dual-encoder structure with a CNN and swin transformer. Furthermore, UNetFormer [20] extracts both global semantic and local detailed data by combining a CNN and transformer at each step.
Global and local information are crucial for accurately understanding the semantic structure of images. Although the transformer-based methods [21,22,23,24] have achieved good results, they are relatively slow in expanding the field of reception and require stacking a large number of blocks to achieve global self-attention, resulting in high computational overhead. Additionally, these methods have limitations in modeling local visual structures and characterizing scales, particularly in maintaining the integrity of object boundaries and accurately recognizing small objects.
To address the limitations prevalent in traditional approaches, we propose several key innovations in AFENet with ResNet50 [25] as the backbone. In the encoder, we introduce the parallel multistage feature enhancement group (PMFEG), which improves multi-scale feature extraction through channel reduction, scale expansion, and channel reallocation. This design enables the segmentation of objects with varying shapes, layouts, and scales, overcoming the difficulties faced by conventional methods in handling such diversity. In the decoder, the global multi-scale attention mechanism (GMAM) extracts key feature information by learning global–local relationships at multiple scales, facilitating the fusion of global and local information. This attention mechanism is particularly effective for segmenting objects with complex internal structures and rich texture variations, which are often challenging for traditional segmentation methods. Additionally, we integrate the feature-weighted fusion module (FWFM), which significantly improves segmentation accuracy by merging spatial-information-aware branches with semantic-information-aware branches. This is especially useful for dense or overlapping regions, where traditional approaches struggle to distinguish between objects.
We have also included additional experimental results that demonstrate how these innovations enhance the performance of AFENet. Our extensive evaluations show that AFENet achieves superior segmentation accuracy compared to traditional methods, particularly in the context of objects with complex geometries and regions with significant overlap. These results validate the effectiveness of our proposed solution in addressing the limitations identified in the current literature.
Our main contributions are as follows:
- We propose a new semantic segmentation network, AFENet, that encodes global contextual information through parallel multistage feature enhancement groups and decodes features step by step using global multi-scale attention mechanisms. The network effectively captures salient features of intra-class consistency and inter-class variability, better utilizing and balancing local and global semantic information to form a more complete structure and clearer segmentation boundaries.
- We propose a novel module, the PMFEG, to fully use the benefits of the codec network. The PMFEG expands the sensory domain of the network by operating concurrently with the foundational network, facilitating enhanced feature extraction and complementation, hence assisting the network’s backbone in comprehending the distinctions and interconnections among various categories.
- We propose a new mechanism, the GMAM, for feature decoding by efficiently pooling self-attention and multi-scale extraction. The GMAM decodes the semantic information of features from a global perspective, further establishes the relationship between object positions and the background, and effectively mitigates the issue of small objects being easily missed or confused.
- We qualitatively and quantitatively evaluate the segmentation performance of the proposed AFENet on two challenging HRRSI datasets (Vaihingen, Potsdam). The experimental results demonstrate that our AFENet has significant advantages over other methods based on CNN or transformer or hybrid architectures.
The rest of this paper is organized as follows. Section 2 reviews deep-learning-based semantic segmentation methods. Section 3 describes the proposed AFENet in detail. Section 4 describes the dataset and experimental setup used in the experiments and provides quantitative and qualitative experimental results, as well as experimental results on appropriate ablation compared to state-of-the-art methods. The conclusions of this paper are drawn in Section 5.
2. Related Works
2.1. Semantic Segmentation of Remote Sensing Images
In recently years, advancements in computer vision technologies have made deep learning methods increasingly important for the semantic segmentation of remote sensing imagery. The earliest deep semantic segmentation network, FCN [26], is a well-known coding network that generates skip connections to incorporate feature maps in different dimensions. However, the decoder does not consider the spatial relationships between pixels, leading to blurred object boundaries and unrefined segmentation results. PSPNet [13] addresses this by using pooled pyramids to integrate contextual information extracted hierarchically from different regions, effectively capturing features of objects of varying sizes. DeepLabv3+ [27] achieved notable success on public datasets by extracting multi-scale feature information in parallel using convolutional manipulations with different dilation rates. ESPNet [28] employs the idea of depth-separable convolution and combines it with a dialted convolution pyramid to sum up different sense fields to achieve the capture of multi-scale information while maintaining computational efficiency, and shows excellent performance in speech processing tasks. The HDC framework [29] combines both dilated and standard convolution, and, by designing different expansion rates, it ensures that convolution kernels cover the entire feature map without generating discontinuities in the information. Nie et al. [30] introduced a cross-scale interaction module to extract semantic features, employing convolutions with varying dilation rates for multi-scale boundary formation. While these methods have shown commendable results, they primarily aggregate local features extracted by CNNs to obtain global information, which may not be comprehensive due to the limited receptive fields of CNNs.
Given the presence of complex man-made structures, high feature similarity, and varying ground object scales in HRRSIs, many methods have incorporated multi-scale concepts and attention modules into CNNs. To enhance model effectiveness, these advancements are designed to capture detailed spatial features and broad contextual information. ResUNet-A [31] used multiple parallel residual convolutions and spatial pyramid components to extract contextual and multi-scale information using the UNet. Li et al. [32] proposed an attention-based feature pyramid network, which leverages a feature pyramid structure to interpret multi-scale features while employing an attention aggregation module to improve feature extraction. Furthermore, they developed a multi-level attention reconfiguration network (MAResU-Net) [12] that establishes long-range dependencies by integrating a linear attention mechanism into the original UNet’s skip connections, forming a long-range feature network.
Furthermore, Li et al. [33] also proposed MANet, which employed a kernel attention mechanism to manage the computational load of the attention module by hierarchically aggregating key contextual features using a multi-scale approach. MsanlfNet [34] integrates multi-scale attention with fast Fourier transform to capture detailed multi-scale spatial features and global contextual information, achieving a balance between performance and computational efficiency. ABCNet [35] introduces a dual-path design based on spatial and contextual routes, featuring an attention enhancement module to explore long-range dependencies and a feature aggregation module to effectively fuse attention operations. These advanced attention strategies and multi-scale architectures mitigate CNNs’ limitations in handling global dependencies, significantly boosting semantic segmentation precision.
2.2. Transformer in Semantic Segmentation
The transformer design has generated significant attention in the field of natural language processing. Its robust sequence-to-sequence modeling capabilities allow for more efficient global context extraction compared to models relying solely on attention mechanisms. Additionally, it has achieved impressive results in basic visual tasks such as object detection, image classification, and semantic segmentation [36,37]. Dosovitskiy et al. [38] introduced the visual transformer (ViT) model, which segments images into a sequence of 2D patches and processes them sequentially, marking substantial advancements in image classification. Transformer-based models now serve as the foundation for many semantic segmentation algorithms, with new variants emerging, including the swin transformer [39]. CG-Swin [21] further extended this concept by incorporating a transformer block into the decoder while employing the swin transformer as the encoder. These innovations have expanded the potential of transformers across diverse visual tasks.
In addition to pure transformer models, several semantic segmentation algorithms for remote sensing pictures use a hybrid architecture that takes use of the benefits of both CNNs and transformers, often combining a CNN-based decoder with a transformer-based encoder. Xu et al. created Efficient-T [22], a lightweight transformer network that balances computational efficiency and accuracy with an MLP segmentation head and hierarchical swin transformer. Wang et al. [23] developed BANet, a bilateral perceptual network with distinct texture and dependency pathways. The texture pathway uses a CNN to extract local features, while the dependency pathway relies on a transformer to capture long-range dependencies. Zhang et al. [24] proposed a hybrid framework where the encoder employs a swin transformer for capturing global dependencies and the decoder uses a CNN to preserve local information. He et al. [19] introduced ST-UNet, which uses a dual-encoder configuration, parallelizing the CNN and swin transformer to extract features and aggregate them using a relational aggregation module.
Furthermore, due to the wide range of object sizes inside HRRSIs, the computational cost of applying softmax attention—which is often utilized in ViT models to assess the similarity between each query–key pair—is quadratic in relation to the number of tokens. As interest in global modeling has grown, several research studies have been conducted to develop effective attention patterns in order to lower computing complexity. Using an asymptotic decreasing pyramid structure, PVT [40] lowers K and V spatial resolution by using global sparse attention and spatial reduction attention, hence reducing processing costs. The swin transformer [39] uses the window-shifting method to imitate the whole picture and limits self-attention calculations to a local window, therefore narrowing the receptive field. Hassani et al. [41] developed K-nearest-neighbor-based attention by calculating the relationships between each pixel’s k surrounding pixels. DAT [42] introduced a deformable attention module that maintains data-related attention information. BiFormer [43] dynamically determines the area of interest for each query by using two-level routing attention. The subject of the semantic segmentation of remote sensing imagery has advanced significantly as a result of these efforts.
2.3. Attention Module in Semantic Segmentation
It has been shown that attention processes improve deep neural networks’ capacity to extract more discriminative features. In order to improve the network’s capacity to represent key characteristics by establishing matching weights, the channel attention module first introduced the idea of attention by establishing global dependencies between channels. However, geographical context was not taken into account by this method. In order to improve the channel attention network, dependencies among local channels were created to learn key weights when the ECA module [44] was implemented. Additionally, the CBAM framework [45] integrates a spatial attention module to better collect spatial information and provide spatially informed outcomes across wider convolutional fields. Channel pooling and dimensionality reduction on feature maps are carried out using this module. By incorporating attention modules, semantic segmentation networks enhance their ability to represent features, reduce noise, and provide more comprehensive contextual information, thereby boosting the overall segmentation accuracy of the network.
Additionally, the self-attention mechanism has become widely acknowledged and extensively applied in the field of computer vision, establishing itself as the new state of the art. In DANet [46], the feature map is processed through three convolutions to generate query, key, and value matrices. These matrices are then used to compute the weights of both local and global locations, facilitating the capture of contextual information. OCRNet [47] creates global contextual information by calculating the similarity between each pixel and the pre-defined description areas for relevant categories, constructing these regions in advance. RSANet [48] employs a self-attention-based area attention module, which first identifies soft object regions for each category across the image and then produces region descriptors. The module evaluates the similarity between feature pixels and the region descriptors to enhance contextual understanding.
While these advancements leverage self-attention to enhance performance, challenges such as computational cost remain prevalent. Linear attention [49] addresses this issue by reducing complexity. The pioneering work eliminates the softmax function, replacing it with a mapping function applied to Q and K, thereby reducing computational complexity. However, this approximation can lead to significant performance degradation. To alleviate this problem, softmax operations can be further approximated using matrix factorization. The agent attention also demonstrates impressive performance across various tasks.
3. Method
3.1. Overall Structure
As illustrated in Figure 2, the AFENet is meticulously designed in an encoding–decoding structure, leveraging ResNet50 [25] as the foundational backbone for effective feature extraction. The architecture employs an innovative parallel multilevel feature enhancement group (PMFEG) to augment the encoder’s capabilities, along with residual fusion with ResNet50 to optimize multi-scale feature extraction. The jump connections of the features along the longitudinal direction at each level are processed through the feature-weighted fusion module (FWFM), which bridges the feature fusion between the encoder and the decoder. In the decoder phase, we introduce the global multi-scale attention mechanism (GMAM), which not only excels at computing features on a global scale but also effectively learns relationship from different scales, facilitating contextual information fusion. Ultimately, the processed features traverse the feature refinement segmentation head (FRSH), which generates the final segmentation result. The entire network is governed by feature auxiliary output heads (FAOHs) at each stage, while the loss function is meticulously constructed as a weighted sum of four auxiliary losses in conjunction with the main loss, ensuring robust performance throughout the training process. This thoughtful design enables AFENet to achieve precise feature representation and efficient encoding–decoding, delivering outstanding performance while maintaining low computational overhead.
Figure 2.
Overall architecture for attention-focused feature enhancement network.
3.2. Parallel Multistage Feature Enhancement Group
As shown in Figure 2, we integrate the PMFEG at three stages of the encoder, in parallel with the second, third, and fourth stages of the backbone network ResNet50. This approach gradually expands the receptive field by performing feature extraction in parallel at each stage. The PMFEG performs dimensionality reduction, feature extraction, and channel reallocation in parallel with the corresponding encoding backbone. These operations correspond to three sub-modules, as depicted in Figure 3: the channel reduction (CRDN), self-residual scale expansion (SRSE), and channel reassignment (CRSN) modules.
Figure 3.
Illustration of parallel multistage feature enhancement group.
The CRDN and CRSN modules, positioned on either side of the PMFEG, manage the processes of channel reduction and redistribution. The SRSE module comprises two sets of consecutive dilated convolutional groups, which, together with normalization and activation functions, form two sequential feature extraction layers to enhance feature extraction at the corresponding stages. The CRSN module has two branch stubs: one branch feeds the output directly to the next stage of the encoder for further feature extraction while the other branch undergoes a 1 × 1 convolution for channel dimension transformation to align with the channel dimension of the decoder. Specifically, we set the channel dimension of each stage of the decoder to a consistent value, i.e., a multiple of the semantic category, which helps to maintain the coherence of the message. The values of the channel dimension in one of the decoders are shown below:
where denotes the channel dimension of the i-th decoder, denotes the channel coefficients, and is set to 6 according to the number of semantic classes in the dataset used in this paper. The value affects the number of channels in the decoder, with larger values indicating that the CRDN reserves more channels for the decoding side to capture rich feature information. Accordingly, to ensure that the number of channels inside the module is in the same proportion as the size of the next stage of the decoder , we have the configuration as follows:
where represents the channel-transformed value, denotes the channel dimension of the i-th decoder, and is the channel-transformed coefficient, set to 1.5. The CRDN and CRSN modules provide the PMFEG with an hourglass structure, where the number of internal channels is proportional to the decoder dimensions, both of which are influenced by the value. The selection of the value will be further discussed in the ablation experiments in Section 4.5.2.
From the location of this module, the non-serial relationship between this module and the backbone network can fully utilize the residual connections of the backbone network so that the whole backbone network can obtain functionality by cascading the PMFEG. The enhanced encoded features are fused with the feature-weighted fusion module (FWFM) longitudinally, alongside the decoder features through skip connections, to form the final network structure. The fused feature-assisted output header reduces the outputs of each stage to match the input image size and computes the auxiliary loss for the corresponding stage. The network employs the feature-weighted fusion header alongside the four segmentation features generated in the feature-assisted output header, working together to supervise the segmentation results, thereby enhancing and deepening the feature extraction process. Experiments performed to verify whether the PMFEG incrementally improves feature ablation, along with extended applications of the module and feature visualization, will be discussed in Section 4.5.1.
3.3. Feature Weighted Fusion Module
The feature-weighted fusion module (FWFM) acts as a crucial linking component between the encoder and decoder within the network architecture. Its primary function is to combine features derived from the encoder with those from the previous stage’s decoder, achieving this integration in a specific ratio. This ratio is not fixed but instead learned and controlled by a parameter that can adapt during training, ensuring optimal feature fusion. As illustrated in Figure 2, the FWFM processes two distinct inputs: one set comprises the output features generated by the PMFEG while the other consists of the features from the GMAM of the previous stage. The outputs from the FWFM are then directed to two destinations: the first set of features is forwarded to the subsequent GMAM while the second set is routed to the current stage’s feature-assisted header for the purposes of decoding and calculating auxiliary loss. This dual-output design facilitates a more nuanced processing of features across different stages of the network.
The operational mechanism of the FWFM begins with the input of feature maps from the PMFEG and the GMAM. To ensure compatibility in dimensions, the original GMAM features are first upsampled to match the size of the PMFEG features. Following upsampling, a 1 × 1 convolution is applied to the upsampled GMAM features for further refinement. Next, a set of learnable parameters, processed through the ReLU activation function, is used to compute the fusion weights. These weights are essential for blending the GMAM and PMFEG feature maps, ensuring a balanced combination of both sources. The weights are normalized to sum to one, ensuring that the contributions from both feature maps are proportionate. The GMAM and PMFEG features are then fused using the calculated weights. The features from the PMFEG are combined with the refined GMAM features based on the normalized fusion weights:
where is the feature map from the PMFEG, is the refined GMAM feature map, and and are the normalized fusion weights for the PMFEG and GMAM features, respectively. Finally, the fused feature map undergoes a separable convolution, followed by batch normalization and ReLU activation. This operation enhances the representation capabilities and helps to establish better feature dependencies. The final output feature map is
where is the fused feature map and SeparableConvBNReLU denotes the combination of separable convolution, batch normalization, and ReLU activation, which refines the output features. This sequence of operations results in a more refined and integrated output feature map, improving the overall representation and effectively combining features from both the GMAM and PMFEG to enhance the performance of the network.
3.4. Global Multi-Scale Attention Mechanism
The global multi-scale attention mechanism (GMAM) performs global attention computation at the decoder stage, where the number of decoding channels is kept constant. However, the feature scales vary across stages. To account for this, we set different pooling parameters as inputs to the module, allowing the original and pooled scales to create stage-appropriate scale differences. The encoded features flowing to the decoder at each stage, along with the decoded features from the previous stage, are fused through the FWFM and then uniformly sent to the GMAM for scale difference computation. This ensures that the network fully utilizes the enhanced feature information and the global attention from the previous stage during decoding. The GMAM contains two key components: the scale-variation relationship computation (SVRC) and the channel decoupling through the shuttle structure (CDSS) modules. These modules perform global–local relationship computation and feature reinforcement, respectively, enhancing the model’s understanding of the region to be segmented and its background context, thereby improving its ability to distinguish confusing objects and blurred edges.
Since the input to the SVRC module is based on the fusion result of the corresponding stage’s coding backbone and the decoding features from the previous stage, it contains rich scale-related feature information. Similar to traditional multi-head attention, the four-dimensional features flowing into this module need to be transformed into three-dimensional features . Multi-head processing is applied to the final dimension, and, in our experiment, we set the number of heads to , with each head containing feature dimensions where . After unifying the batch and head dimensions, K, V, and the pooled feature Q can be viewed as two-dimensional matrices: , and , where . The pooling parameters and represent the number of multiplications of the width and height of the features after pooling. The pooling parameter specifically refers to the number of features obtained after multiplying the pooled width and height.
As shown in Figure 4, we perform matrix multiplication of Q with P and P with K, completing the overall feature multiplication in the specified priority order. By combining softmax attention with linear attention, the network efficiently performs feature decoding and computes different scale difference relations at various stages. Figure 4a illustrates that the SVRC module is a key component of the GMAM and serves as its core algorithm. The main idea is to obtain both the original input features and the pooled features to compute the relationships between these scale variations.
Figure 4.
The details of each component in GMAM. (a) Scale-variation relationship calculation: this module contains several matrices, and to clarify their product relationships, three priority levels are used in the diagram. The first priority represents the highest level. (b) Illustration of global multi-scale attention mechanism.
As indicated in Equation (5), feature P is derived from feature Q after applying the pooling operation with the pooling parameter psize. The softmax attention operation incorporates the softmax activation function, which has the highest computational priority, denoted as first priority; its formula is presented in Equation (6). The final output of our module is , as calculated from Equation (7). Here, is computed first according to the priority order shown in Figure 4a, after which. the feature is input into the formula for further calculation. Overall, the Q, K, V, and P features used by the SVRC module are derived from the input features or the pooled features. This allows the module to effectively manage scale changes. Our method for calculating scale relations ensures the consistency of feature semantics, while the pooling operation significantly reduces computational resource requirements. We invoke the module with different pooling parameters, ensuring that each stage has a corresponding pooling size, which adapts to that stage’s feature scale for accurate scale change calculations. The specific formula governing the entire process is outlined as follows:
where PoolTo denotes the pooling operation, represents the pooling coefficients, denotes the intermediate variables, and denotes the final features of the SVRC module. The features will flow into the channel decoupling through the shuttle structure (CDSS) module for re-transformation after passing through the SVRC module, as shown in Figure 4b. We have used convolution kernels of sizes 1, 3, and 7, respectively, allowing the input features to be partitioned into channels for parallel feature computation, with the number of channels for fc1, fc2, and fc3 being , , and , respectively. After that, the features are concatenated along the channel dimension to reduce the number of channels to dimension C. The features are then fed into the linear transformation of the shuttle structure for final feature processing, where the feature channels are scaled up to .
Overall, the CDSS module mainly contains channel-separated parallel convolutional groups and a shuttle structure, which facilitates the further processing of features extracted from the convolutional approach of the SVRC module, enabling feature extraction and fusion operations at various scales. The GMAM builds on this by establishing a strong relationship between object positions and the background, mitigating the issue of small objects being missed or confused. Together, these modules significantly improve segmentation accuracy.
3.5. Loss Function
In our proposed AFENet, we supervise each stage by applying a loss function to both the final segmentation results from the feature refinement segmentation head (FRSH) and the four coarse segmentation results generated by the four feature auxiliary output heads (FAOHs). This ensures that the entire network is trained effectively. To combine the advantages of different metrics, we use an equally weighted summation of the cross-entropy loss () and the dice loss (), balancing pixel-wise classification accuracy with spatial overlap attention. This approach significantly enhances the overall performance of the model in semantic segmentation tasks while also effectively addressing and mitigating the persistent challenge of category imbalance within the dataset, leading to more accurate and balanced predictions across various classes. Specifically, the formulations for and are as follows:
where represents the predicted segmentation result from the network while y denotes the ground truth labels. The number of categories in the segmentation task is denoted by N, and the subscripts i, j, and n represent the pixel located at the ith row and jth column in the nth segmentation result. To effectively combine the main loss function with the auxiliary loss function , the auxiliary loss is scaled by a coefficient . Thus, the total loss can be expressed as
where the hyperparameter is used to balance the two loss functions, and, through ablation experiments, it was determined that a value of 1.0 yielded optimal results. Both and are combinations of the and losses, while , , , and represent the coarse segmentation outputs from the four FAOHs.
4. Experiment
4.1. Datasets
To evaluate the effectiveness of our proposed method, as in previous studies, we performed experiments using two publicly available datasets: ISPRS Potsdam and Vaihingen. These datasets belong to the ISPRS 2D semantic segmentation benchmark and consist of ortho-rectified images alongside corresponding digital surface models. Figure 5 presents examples from the Vaihingen and Potsdam datasets, as well as the distribution of each class. Notably, our model does not incorporate digital surface models or normalized digital surface model data in its processing.
Figure 5.
Distribution of example images in datasets and the percentage of each category. (a,b) show example images and labels from the two datasets. (c) shows the proportion of pixels in each category relative to the total pixels in the dataset in response to the category imbalance in the dataset.
- ISPRS Potsdam: The dataset contains 38 ortho-rectified images of the city of Potsdam, each with a spatial resolution of 5 cm and a size of 6000 × 6000 pixels. Each image includes four multispectral bands: red, green, blue, and near-infrared, as well as digital surface model and normalized digital surface model data. Note that we used only RGB images. Each pixel in the image has six categories: permeable surfaces, buildings, low shrubs, trees, cars, and clutter/background. Based on previous work, we selected 14 images for testing, specifically 2_13, 2_14, 3_13, 3_14, 4_13, 4_14, 4_15, 5_13, 5_14, 5_15, 6_13, 6_14, 6_15, and 7_13, while the remaining 23 images were used for training. Each image was cropped to 1024 × 1024 pixels and was randomly flipped both horizontally and vertically.
- ISPRS Vaihingen: The dataset contains 33 ortho-corrected images of varying sizes, each with a spatial resolution of 9 cm. Each image includes the near-infrared, red, and green channels, as well as a digital surface model and a normalized digital surface model. The image sizes range from 2336 × 1281 pixels to 3816 × 2550 pixels, with an average size of 2496 × 2064 pixels. Sixteen of the images are labeled with feature classes, while the remaining seventeen are unlabeled. Consistent with the Potsdam dataset, the Vaihingen dataset consists of five target semantic categories and one background category. Based on previous work, we selected a total of 17 images coded as 2, 4, 6, 8, 10, 12, 14, 16, 20, 22, 24, 27, 29, 31, 33, 35, and 38 for testing, and the remaining 16 images coded as 1, 3, 5, 7, 11, 13, 15, 17, 21, 23, 26, 28, 30, 32, 34, and 37 for training. During training, we cropped the images to 1024 × 1024 pixels and performed random horizontal and vertical flipping.
As with previous studies [20,50,51], all datasets will undergo preprocessing before training, which includes data augmentation methods such as horizontal and vertical flipping to present different image states. The images will then be resized through operations like cropping and padding. Additionally, chunking will be performed on each image according to a defined step, and chunks will be generated when the car category pixel ratio exceeds 0.1. This process results in four additional images with different states. The data augmentation for chunked images is only applied under specific conditions, helping to alleviate the category imbalance problem. Note that multiple data augmentation operations are not used during the validation process.
4.2. Implementation Details
All experiments were implemented using the deep learning framework PyTorch and were conducted on a single NVIDIA GTX 3090 Ti GPU, utilizing ResNet50 as the backbone network. We employed a combination of soft cross-entropy and Dice loss as the primary loss function, along with auxiliary losses at the four stages of the decoder to aid network training. Since the dataset images were too large, we cropped them to a size of 1024 × 1024 pixels. During training, we augmented the Potsdam and Vaihingen datasets using random scaling (with scaling ratios of [0.5, 0.75, 1.0, 1.25, 1.5, 1.75, 2.0]), random cropping, and random horizontal flipping. The optimizer was set to AdamW with a batch size of 8 and a learning rate of 1 × , and a cosine strategy was employed to optimize the learning rate.
4.3. Evaluation Metrics
To comprehensively measure the performance of AFENet, we used the mean intersection over union (mIoU), overall accuracy (OA), and F1 score (F1) as evaluation metrics, following the same computational methods as in previous studies [20,50,51]. These metrics are calculated as follows, as shown in Equation (11):
where , , , and represent the true positives, false positives, true negatives, and false negatives, respectively, for a particular object indexed as class k. The OA is the ratio of correctly predicted pixels to the total number of pixels in the category, computed for all categories, including the background class. The mIoU denotes the ratio of the intersection to the union of true and predicted values, while the F1 score serves as the harmonic mean between precision and recall.
4.4. Comparative Experiments and Results
In our study, we compare and analyze AFENet with several typical and state-of-the-art semantic segmentation methods, including those originally designed for natural images, such as UNet [10] and DDCM-Net [14]; multi-scale feature integration models developed for remote sensing images, including the attention aggregation feature pyramid network (A2-FPN) [32], multistage attention network (MAResU-Net) [12], and multi-attention network (MANet) [33]; transformer-based methods such as UNetFormer [20] and CMTFNet [50]; edge information embedding methods like the edge-aware neural network (EaNet) [52]; and hybrid network architectures that combine transformers and CNNs, such as BANet [23] and CGGLNet [51].
4.4.1. Comparison with State-of-the-Art Methods on ISPRS Vaihingen
The quantitative results of m-F1 and mIoU for all methods with different backbones are shown in Table 1. The lowest m-F1 and mIoU achieved by UNet are 85.09% and 74.58%, respectively, indicating that it is not suitable for remote sensing benchmark datasets due to its large size, multiple semantic categories, and low-level functionality. The second and third lowest scores belong to MANet and EaNet, which use ResNet18 and ResNet50 as backbones, respectively; however, neither achieves better performance.
Table 1.
Quantitative comparison with state-of-the-art methods on the ISPRS Vaihingen dataset.
In contrast, UNetFormer and A2-FPN elevate the performance of remote sensing semantic segmentation by using a ResNet18 backbone with a very low number of parameters, achieving mIoU scores of 83.34% and 81.90%, respectively. Following that, CMTFNet, CGGLNet, and MIFNet all adopt ResNet50 as their backbone network. Thanks to its structural design and the introduction of self-attention, CGGLNet reaches an mIoU score of 84.41%, showing a notable improvement over the other two networks. The m-F1 and mIoU scores of AFENet are 91.63% and 84.72%, respectively, making AFENet the top performer in terms of segmentation accuracy compared to other state-of-the-art methods.
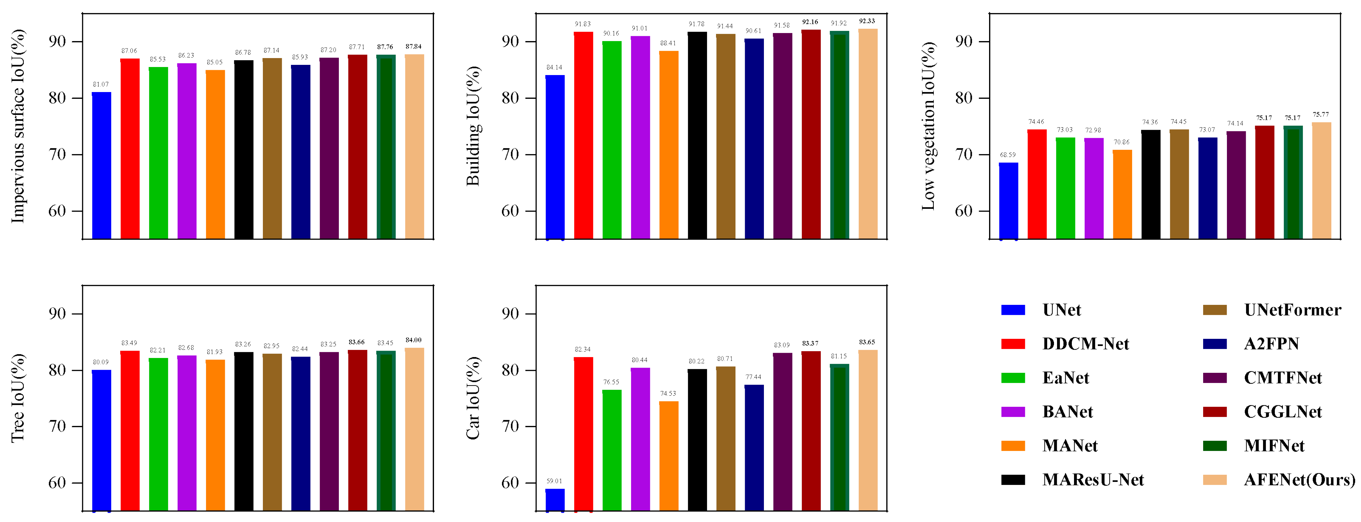
For each category, the performance metrics presented in Figure 6 indicate that DDCM-Net has shown a significant improvement over the UNet across all categories, particularly in the mIoU metric. In the larger-scale impervious surface category, most existing methods have successfully identified these features and implemented pixel-level classification. Both UNetformer and CMTFNet achieve better performance in this category, while our method, along with CGGLNet and MIFNet, demonstrates slight improvements as well.
Figure 6.
Performance of each category in the Vaihingen dataset on the IoU metric.
In the buildings category, MAResU-Net and CMTFNet both achieve segmentation accuracies (mIoU) exceeding 91.50%, while our method and CGGLNet surpass 91.90%, reaching 92.33% and 92.16%, respectively. This indicates the enhanced performance of AFENet in this category. Since buildings, low shrubs, and trees in HRRSIs are often distributed closely together, there can be a small inter-class gap in segmentation, which leads to mutual influences on the accuracy of these categories. Our network effectively addresses this issue, showing improvements over the latest methods in all three categories, specifically by 0.17%, 0.60%, and 0.34%, respectively.
Finally, the segmentation accuracy of many methods is constrained by the small size of the car category and its susceptibility to occlusion from trees and shadows. AFENet enhances the segmentation of small targets through its suitable receptive field construction and multi-scale feature extraction, achieving an improvement of 0.28% compared to the previous best method. Overall, we observe significant improvements in the Vaihingen dataset for both the low shrubs and trees categories, with enhancements of 0.60% and 0.34%, respectively, as well as modest improvements for cars and buildings, with increases of 0.28% and 0.17%, respectively. Other categories also show slight improvements in the mIoU metric.
As illustrated in Figure 7, AFENet demonstrates strong performance on the Vaihingen dataset during the comparison experiments. In the first row, it is evident that AFENet effectively captures the areas of small objects such as cars, clutter, and other aggregates, accurately recognizing the corresponding classes and providing clear and complete categorization. In the second row of the original image, a building is surrounded by low shrubs and trees, presenting very little distinction between classes; however, AFENet excels at identifying the building in this context. Furthermore, for the edges of larger buildings affected by shadows, AFENet produces clear edge segmentation results. In contrast, for smaller buildings, AFENet successfully delineates the complete edges of the region, avoiding issues with broken segmentation edges and missed segmentation. In the third row, we examine cases where buildings and parking areas are affected by shadows, and it is evident that AFENet still achieves high-precision segmentation results under these conditions. This indicates that the AFENet can mitigate the influence of shadows on remote sensing image segmentation to some extent.
Figure 7.
Qualitative comparison with state-of-the-art methods on the ISPRS Vaihingen dataset.
4.4.2. Comparison with State-of-the-Art Methods on ISPRS Potsdam
On the Potsdam dataset, we present the experimental results of the state-of-the-art approaches, as shown in Table 2. The quantitative metrics demonstrate the effectiveness of the proposed segmentation scheme. Specifically, our AFENet achieves an average F1 score of 92.87%, an overall accuracy of 91.45%, and an mIoU of 86.88% on the Potsdam dataset, outperforming most methods with competitive accuracy. Driven by the global–local interaction modeling of the GMAM and the feature refinement enabled by the PMFEG, our approach outperforms both the contextual information integration techniques developed for natural images, like UNet, as well as the latest multi-scale feature aggregation frameworks for remote sensing images, including EaNet and DDCM-Net. AFENet demonstrates improvements across a range of metrics compared to recent networks incorporating ordinary attention and self-attention, such as CMTFNet, CGGLNet, and MIFNet.
Table 2.
Quantitative comparison with state-of-the-art models on the ISPRS Potsdam dataset.
As shown in Figure 8, AFENet performs effectively in the comparison experiments on the Potsdam dataset. The first and second rows illustrate AFENet’s capability to segment clutter that occupies a relatively small area. As seen in the zoomed-in detail image, AFENet reduces the likelihood of mis-segmentation between clutter and cars, alleviating the issue of small inter-class differences, and provides better segmentation results when the segmented objects are arranged in a thin stripe. The third row focuses on two phenomena related to buildings: the first is the complexity of the internal structure of the roof, which may lead to misjudgment by the model and result in hollow areas within the class; the second involves the presence of artificial structures at the roof’s edge, which complicates the judgment of the segmentation boundary and can cause mis-segmentation. AFENet effectively addresses these two issues, alleviating the problem of large intra-class differences in buildings.
Figure 8.
Qualitative comparison with state-of-the-art methods on the ISPRS Potsdam dataset.
4.5. Ablation Study
4.5.1. Ablation Experiments Within Overall Architecture
We propose AFENet and conduct a full ablation study on the Vaihingen dataset. The network uses ResNet50 as the backbone, and auxiliary losses are added to address training challenges caused by data imbalance. This serves as the baseline, to which we sequentially add the PMFEG and the GMAM. The addition of the PMFEG positively enhances all categories in the baseline, improving the overall metrics by 0.21%, 0.34%, and 0.15% for m-F1, mIoU, and OA, respectively. As shown in Table 3, the overall metrics are further improved after adding the GMAM, with increases of 0.38%, 0.62%, and 0.22%, respectively. Finally, incorporating both modules results in improvements of 0.60%, 0.98%, and 0.45% over the baseline, indicating that the two modules reinforce each other, allowing the network to maintain more efficient performance.
Table 3.
Ablation results on the Vaihingen dataset (an asterisk “*” indicates that the model was trained with auxiliary loss).
As shown in Figure 9a, we add four auxiliary loss functions on the basis of the ResNet50 backbone to obtain the baseline, and then add PMFEG and GMAM modules separately, and finally give the performance of the complete network. It can be seen that all categories in the ablation experiment, such as trees and cars, show a clear upward trend, and their values are optimized in the complete network performance.
Figure 9.
The ablation studies of AFENet: (a) details its assembly from backbone to module integration and shows how each component affects mIoU performance, culminating in the complete AFENet. (b) demonstrates the portability of the modules within this network on different ResNet family backbones, showing that the performance remains stable across other backbones.
To verify the effectiveness and generalizability of each module, we performed ablation experiments with different ResNet backbones (ResNet18, ResNet34, and ResNet50), including baseline, baseline + PMFEG, and baseline + PMFEG + GMAM models. As shown in Table 4 after the addition of the two modules, the m-F1 metrics of ResNet18 and ResNet34 improved by 6.66% and 0.61%, respectively, compared to the baseline. As shown in Figure 9b, PMFEG and GMAM significantly improve the baseline (blue) performance, which indicates the generalizability of our proposed two modules to the other two backbone networks. In particular, it can be observed that the ResNet18 backbone, with the sequential addition of the PMFEG and GMAM modules, improves the backbone performance dramatically, almost equaling the optimal result of ResNet34 on the right side.
Table 4.
Extended ablation results on the Vaihingen dataset (“*” indicates that the model was trained with auxiliary loss). Note that we have bold the best model in each baseline.
The AFENet with ResNet50 as the baseline improves the m-F1 metrics by 0.72% and 0.65% and the mIoU metrics by 1.21% and 1.07% over ResNet18 and ResNet34, respectively, with the addition of the two modules. It outperforms the other two models in the horizontal direction of Figure 9b, which provides an experimental basis for choosing it as an encoder.
4.5.2. Effectiveness of Parallel Multistage Feature Enhancement Group
We present AFENet, an attention-focused sparse network with ResNet50 as its backbone. We employ separable convolution to transform features from the encoding channel to the corresponding decoding channel , thereby constructing the model’s structure while minimizing the required parameters.
Number of PMFEG output channels: We performed ablation experiments to verify the selection of the channel size in the decoder branch, which is related to . Therefore, we need to conduct an ablation study on the size of to determine the number of channels leading to the decoder for the PMFEG.
As shown in Table 5, when is set to 34, the performance in our environment reaches its optimal level. Our subsequent ablation experiments will be conducted under this decoder channel setting. Some settings are less demanding in terms of parameters and computation but exhibit performance degradation, which could be further explored in mobile scenarios in the future.
Table 5.
Performance results with different settings of .
Visualization of PMFEG effects: Figure 10 shows the visualization after incrementally adding PMFEGs. The first row illustrates the performance of AFENet without PMFEGs, while the second, third, and fourth rows show the results after adding PMFEGs in stage 2, stages 2 and 3, and stages 2, 3, and 4, respectively, in parallel to the backbone network.
Figure 10.
Visualization of the effects of the progressive addition of PMFEG.
The addition of the PMFEG at stage 2 (row b) enables the model to expand its attention scope. The visualization shows enhanced focus on road interiors and class boundaries, particularly at the intersections of streets and buildings. When incorporating the PMFEG at both stages 2 and 3 (row c), the model demonstrates improved feature extraction capability, leading to better class distinction and internal consistency. The full implementation (row d) exhibits superior category differentiation from a global perspective, with even attention distribution in challenging cases such as parking lots and complex building textures. Progressive PMFEG integration enables the model to comprehend inter-class relationships globally, identify class boundaries more precisely, and effectively handle intra-class variations caused by shadows and textures. These results demonstrate the PMFEG’s effectiveness in addressing both inter-class distinction and intra-class homogeneity challenges.
4.5.3. Effectiveness of Global Multi-Scale Attention Mechanism:
The global multi-scale attention mechanism (GMAM) consists of the scale-variation relationship calculation (SVRC) and the channel decoupling of the shuttle structure (CDSS), which performs global attention combination at the decoder stage. In the SVRC, we set different pooling parameters as input and use the original scale and the pooled scale to generate scale differences and enhance the network’s understanding of the region to be segmented and its background. Therefore, the choice of pooling group parameters affects the network’s ability to perceive and capture the scale.
Our parameter selection follows the principle of proportionality and gradual increase corresponding to the feature scale. It can be seen from Table 6 that when the parameter set is (64, 81, 81, 100), the feature scaling relationship embedded in the SVRC module is the most suitable for this network.
Table 6.
SVRC pooling parameter set selection.
As shown in Table 7, combining SVRC and CDSS modules yields the best performance improvement. While the CDSS alone shows limited enhancement, it effectively complements the SVRC when used together, suggesting a synergistic relationship between these two modules in feature extraction and representation. Note that in this ablation experiment, we did not add the PMFEG module to the network.
Table 7.
GMAM internal ablation.
5. Conclusions
In this paper, we present AFENet for the semantic segmentation of remotely sensed images, integrating CNN and transformer architectures in an encoder–decoder framework. The network contains three key components: the PMFEG module for enhancing local feature learning via channel decoupling transforms, a GMAM for modeling global–local dependencies with scale-varying relationships, and an FWFM for integrated feature fusion via weighted hopping connections. We also introduce auxiliary loss to handle the number of inconsistent categories across scales. Experimental results show that AFENet outperforms existing CNN-based models, transformer-based models, and hybrid models. Despite these achievements, this paper has its limitations. Future research could also explore more novel attention mechanisms and more effective adaptive feature fusion strategies, including integration for multimodal remote sensing data processing, the creation of lightweight variants to cope with resource-constrained situations, and so on. These improvements will enhance AFENet’s capabilities in remote sensing analysis and broader computer vision.
Author Contributions
Conceptualization, S.C.; methodology, J.L.; validation, S.C.; resources, S.C.; data curation, J.L.; writing, J.L.; visualization, J.L.; funding acquisition, S.C. All authors have read and agreed to the published version of the manuscript.
Funding
This research was funded by the National Science and Technology Major Project of China, grant number 2022ZD0115800; the Project of Science and Technology Department of Xinjiang Uygur Autonomous of China, grant number 2022D01C82; and the Graduate Research and Innovation Project of Xinjiang Uygur Autonomous Region of China, grant number XJ2024G087.
Data Availability Statement
The Potsdam and Vaihingen datasets in this study are openly and freely available at https://www.isprs.org/education/benchmarks/UrbanSemLab/default.aspx (accessed on 12 August 2024).
Conflicts of Interest
The authors declare no conflicts of interest.
References
- Li, X.; Yong, X.; Li, T.; Tong, Y.; Gao, H.; Wang, X.; Xu, Z.; Fang, Y.; You, Q.; Lyu, X. A Spectral–Spatial Context-Boosted Network for Semantic Segmentation of Remote Sensing Images. Remote Sens. 2024, 16, 1214. [Google Scholar] [CrossRef]
- Tang, K.; Xu, F.; Chen, X.; Dong, Q.; Yuan, Y.; Chen, J. The ClearSCD model: Comprehensively leveraging semantics and change relationships for semantic change detection in high spatial resolution remote sensing imagery. ISPRS J. Photogramm. Remote Sens. 2024, 211, 299–317. [Google Scholar] [CrossRef]
- Ding, H.; Xia, B.; Liu, W.; Zhang, Z.; Zhang, J.; Wang, X.; Xu, S. A Novel Mamba Architecture with a Semantic Transformer for Efficient Real-Time Remote Sensing Semantic Segmentation. Remote Sens. 2024, 16, 2620. [Google Scholar] [CrossRef]
- He, Y.; Wang, J.; Zhang, Y.; Liao, C. An efficient urban flood mapping framework towards disaster response driven by weakly supervised semantic segmentation with decoupled training samples. ISPRS J. Photogramm. Remote Sens. 2024, 207, 338–358. [Google Scholar] [CrossRef]
- Liu, Y.; Zhang, Y.; Wang, Y.; Mei, S. Rethinking Transformers for Semantic Segmentation of Remote Sensing Images. IEEE Trans. Geosci. Remote Sens. 2023, 61, 5617515. [Google Scholar] [CrossRef]
- Shi, H.; Fan, J.; Wang, Y.; Chen, L. Dual Attention Feature Fusion and Adaptive Context for Accurate Segmentation of Very High-Resolution Remote Sensing Images. Remote Sens. 2021, 13, 3715. [Google Scholar] [CrossRef]
- Yang, L.; Zheng, Z.; Wang, J.; Song, S.; Huang, G.; Li, F. Adadet: An adaptive object detection system based on early-exit neural networks. IEEE Trans. Cogn. Dev. Syst. 2023, 16, 332–345. [Google Scholar] [CrossRef]
- Wang, H.; Cheng, S.; Li, Y.; Du, A. Lightweight Remote-Sensing Image Super-Resolution via Attention-Based Multilevel Feature Fusion Network. IEEE Trans. Geosci. Remote Sens. 2023, 61, 2005715. [Google Scholar] [CrossRef]
- Li, X.; Xu, F.; Liu, F.; Tong, Y.; Lyu, X.; Zhou, J. Semantic Segmentation of Remote Sensing Images by Interactive Representation Refinement and Geometric Prior-Guided Inference. IEEE Trans. Geosci. Remote Sens. 2024, 62, 5400318. [Google Scholar] [CrossRef]
- Ronneberger, O.; Fischer, P.; Brox, T. U-Net: Convolutional Networks for Biomedical Image Segmentation. In Proceedings of the Medical Image Computing and Computer Assisted Intervention, Munich, Germany, 5–9 October 2015; pp. 234–241. [Google Scholar]
- Chen, L.C. Rethinking atrous convolution for semantic image segmentation. arXiv 2017, arXiv:1706.05587. [Google Scholar]
- Li, R.; Zheng, S.; Duan, C.; Su, J.; Zhang, C. Multistage Attention ResU-Net for Semantic Segmentation of Fine-Resolution Remote Sensing Images. IEEE Geosci. Remote Sens. Lett. 2022, 19, 8009205. [Google Scholar] [CrossRef]
- Zhao, H.; Shi, J.; Qi, X.; Wang, X.; Jia, J. Pyramid scene parsing network. In Proceedings of the IEEE Conference on Computer Vision and Pattern Recognition, Honolulu, HI, USA, 21–26 July 2017; pp. 2881–2890. [Google Scholar]
- Liu, Q.; Kampffmeyer, M.; Jenssen, R.; Salberg, A.B. Dense Dilated Convolutions’ Merging Network for Land Cover Classification. IEEE Trans. Geosci. Remote Sens. 2020, 58, 6309–6320. [Google Scholar] [CrossRef]
- Yang, L.; Zheng, Z.; Han, Y.; Cheng, H.; Song, S.; Huang, G.; Li, F. Dyfadet: Dynamic feature aggregation for temporal action detection. In Proceedings of the European Conference on Computer Vision, Milan, Italy, 29 September–4 October 2024; Springer: Cham, Switzerland, 2025; pp. 305–322. [Google Scholar]
- Li, X.; Xu, F.; Yong, X.; Chen, D.; Xia, R.; Ye, B.; Gao, H.; Chen, Z.; Lyu, X. SSCNet: A Spectrum-Space Collaborative Network for Semantic Segmentation of Remote Sensing Images. Remote Sens. 2023, 15, 5610. [Google Scholar] [CrossRef]
- Cheng, S.; Chan, R.; Du, A. CACFTNet: A Hybrid Cov-Attention and Cross-Layer Fusion Transformer Network for Hyperspectral Image Classification. IEEE Trans. Geosci. Remote Sens. 2024, 62, 1–17. [Google Scholar] [CrossRef]
- Chen, J.; Mei, J.; Li, X.; Lu, Y.; Yu, Q.; Wei, Q.; Luo, X.; Xie, Y.; Adeli, E.; Wang, Y.; et al. TransUNet: Rethinking the U-Net architecture design for medical image segmentation through the lens of transformers. Med. Image Anal. 2024, 97, 103280. [Google Scholar] [CrossRef] [PubMed]
- He, X.; Zhou, Y.; Zhao, J.; Zhang, D.; Yao, R.; Xue, Y. Swin Transformer Embedding UNet for Remote Sensing Image Semantic Segmentation. IEEE Trans. Geosci. Remote Sens. 2022, 60, 4408715. [Google Scholar] [CrossRef]
- Wang, L.; Li, R.; Zhang, C.; Fang, S.; Duan, C.; Meng, X.; Atkinson, P.M. UNetFormer: A UNet-like transformer for efficient semantic segmentation of remote sensing urban scene imagery. ISPRS J. Photogramm. Remote Sens. 2022, 190, 196–214. [Google Scholar] [CrossRef]
- Meng, X.; Yang, Y.; Wang, L.; Wang, T.; Li, R.; Zhang, C. Class-Guided Swin Transformer for Semantic Segmentation of Remote Sensing Imagery. IEEE Geosci. Remote Sens. Lett. 2022, 19, 6517505. [Google Scholar] [CrossRef]
- Xu, Z.; Zhang, W.; Zhang, T.; Yang, Z.; Li, J. Efficient Transformer for Remote Sensing Image Segmentation. Remote Sens. 2021, 13, 3585. [Google Scholar] [CrossRef]
- Wang, L.; Li, R.; Wang, D.; Duan, C.; Wang, T.; Meng, X. Transformer Meets Convolution: A Bilateral Awareness Network for Semantic Segmentation of Very Fine Resolution Urban Scene Images. Remote Sens. 2021, 13, 3065. [Google Scholar] [CrossRef]
- Zhang, C.; Jiang, W.; Zhang, Y.; Wang, W.; Zhao, Q.; Wang, C. Transformer and CNN Hybrid Deep Neural Network for Semantic Segmentation of Very-High-Resolution Remote Sensing Imagery. IEEE Trans. Geosci. Remote Sens. 2022, 60, 4408820. [Google Scholar] [CrossRef]
- He, K.; Zhang, X.; Ren, S.; Sun, J. Deep residual learning for image recognition. In Proceedings of the IEEE Conference on Computer Vision and Pattern Recognition, Las Vegas, NV, USA, 27–30 June 2016; pp. 770–778. [Google Scholar]
- Long, J.; Shelhamer, E.; Darrell, T. Fully convolutional networks for semantic segmentation. In Proceedings of the IEEE Conference on Computer Vision and Pattern Recognition, Boston, MA, USA, 7–12 June 2015; pp. 3431–3440. [Google Scholar]
- Chen, L.C.; Zhu, Y.; Papandreou, G.; Schroff, F.; Adam, H. Encoder-decoder with atrous separable convolution for semantic image segmentation. In Proceedings of the European Conference on Computer Vision, Munich, Germany, 8–14 September 2018; pp. 801–818. [Google Scholar]
- Mehta, S.; Rastegari, M.; Caspi, A.; Shapiro, L.; Hajishirzi, H. Espnet: Efficient spatial pyramid of dilated convolutions for semantic segmentation. In Proceedings of the European Conference on Computer Vision, Munich, Germany, 8–14 September 2018; pp. 552–568. [Google Scholar]
- Wang, P.; Chen, P.; Yuan, Y.; Liu, D.; Huang, Z.; Hou, X.; Cottrell, G. Understanding convolution for semantic segmentation. In Proceedings of the IEEE Winter Conference on Applications of Computer Vision, Lake Tahoe, NV, USA, 12–15 March 2018; pp. 1451–1460. [Google Scholar]
- Feng, Y.; Zhan, Y.; Zeng, H. CSFINet: Cross-scale Feature Interaction For Medical Image Segmentation. In Proceedings of the International Conference on Signal and Image Processing, Wuxi, China, 8–10 July 2023; pp. 207–211. [Google Scholar]
- Diakogiannis, F.I.; Waldner, F.; Caccetta, P.; Wu, C. ResUNet-a: A deep learning framework for semantic segmentation of remotely sensed data. ISPRS J. Photogramm. Remote Sens. 2020, 162, 94–114. [Google Scholar] [CrossRef]
- Li, R.; Wang, L.; Zhang, C.; Duan, C.; Zheng, S. A2-FPN for semantic segmentation of fine-resolution remotely sensed images. Int. J. Remote Sens. 2022, 43, 1131–1155. [Google Scholar] [CrossRef]
- Li, R.; Zheng, S.; Zhang, C.; Duan, C.; Su, J.; Wang, L.; Atkinson, P.M. Multiattention Network for Semantic Segmentation of Fine-Resolution Remote Sensing Images. IEEE Trans. Geosci. Remote Sens. 2022, 60, 5607713. [Google Scholar] [CrossRef]
- Bai, L.; Lin, X.; Ye, Z.; Xue, D.; Yao, C.; Hui, M. MsanlfNet: Semantic Segmentation Network With Multiscale Attention and Nonlocal Filters for High-Resolution Remote Sensing Images. IEEE Geosci. Remote Sens. Lett. 2022, 19, 6512405. [Google Scholar] [CrossRef]
- Li, R.; Zheng, S.; Zhang, C.; Duan, C.; Wang, L.; Atkinson, P.M. ABCNet: Attentive bilateral contextual network for efficient semantic segmentation of Fine-Resolution remotely sensed imagery. ISPRS J. Photogramm. Remote Sens. 2021, 181, 84–98. [Google Scholar] [CrossRef]
- Li, X.; Xu, F.; Liu, F.; Lyu, X.; Tong, Y.; Xu, Z.; Zhou, J. A Synergistical Attention Model for Semantic Segmentation of Remote Sensing Images. IEEE Trans. Geosci. Remote Sens. 2023, 61, 1–16. [Google Scholar] [CrossRef]
- Cheng, S.; Chan, R.; Du, A. MS2I2Former: Multiscale Spatial–Spectral Information Interactive Transformer for Hyperspectral Image Classification. IEEE Trans. Geosci. Remote Sens. 2024, 62, 1–19. [Google Scholar] [CrossRef]
- Dosovitskiy, A.; Beyer, L.; Kolesnikov, A.; Weissenborn, D.; Zhai, X.; Unterthiner, T.; Dehghani, M.; Minderer, M.; Heigold, G.; Gelly, S.; et al. An image is worth 16x16 words: Transformers for image recognition at scale. In Proceedings of the International Conference on Learning Representations, Virtual, 3–7 May 2021. [Google Scholar]
- Liu, Z.; Lin, Y.; Cao, Y.; Hu, H.; Wei, Y.; Zhang, Z.; Lin, S.; Guo, B. Swin transformer: Hierarchical vision transformer using shifted windows. In Proceedings of the IEEE/CVF International Conference on Computer Vision, Montreal, BC, Canada, 11–17 October 2021; pp. 10012–10022. [Google Scholar]
- Wang, W.; Xie, E.; Li, X.; Fan, D.P.; Song, K.; Liang, D.; Lu, T.; Luo, P.; Shao, L. Pyramid vision transformer: A versatile backbone for dense prediction without convolutions. In Proceedings of the IEEE/CVF International Conference on Computer Vision, Montreal, BC, Canada, 11–17 October 2021; pp. 568–578. [Google Scholar]
- Hassani, A.; Walton, S.; Li, J.; Li, S.; Shi, H. Neighborhood attention transformer. In Proceedings of the IEEE/CVF Conference on Computer Vision and Pattern Recognition, Vancouver, BC, Canada, 18–22 June 2023; pp. 6185–6194. [Google Scholar]
- Xia, Z.; Pan, X.; Song, S.; Li, L.E.; Huang, G. Vision transformer with deformable attention. In Proceedings of the IEEE/CVF Conference on Computer Vision and Pattern Recognition, New Orleans, LA, USA, 18–24 June 2022; pp. 4794–4803. [Google Scholar]
- Zhu, L.; Wang, X.; Ke, Z.; Zhang, W.; Lau, R.W. Biformer: Vision transformer with bi-level routing attention. In Proceedings of the IEEE/CVF Conference on Computer Vision and Pattern Recognition, Vancouver, BC, Canada, 18–22 June 2023; pp. 10323–10333. [Google Scholar]
- Wang, Q.; Wu, B.; Zhu, P.; Li, P.; Zuo, W.; Hu, Q. ECA-Net: Efficient channel attention for deep convolutional neural networks. In Proceedings of the IEEE/CVF Conference on Computer Vision and Pattern Recognition, Seattle, WA, USA, 14–19 June 2020; pp. 11534–11542. [Google Scholar]
- Woo, S.; Park, J.; Lee, J.Y.; Kweon, I.S. Cbam: Convolutional block attention module. In Proceedings of the European Conference on Computer Vision, Munich, Germany, 8–14 September 2018; pp. 3–19. [Google Scholar]
- Fu, J.; Liu, J.; Tian, H.; Li, Y.; Bao, Y.; Fang, Z.; Lu, H. Dual attention network for scene segmentation. In Proceedings of the IEEE/CVF Conference on Computer Vision and Pattern Recognition, Long Beach, CA, USA, 15–20 June 2019; pp. 3146–3154. [Google Scholar]
- Yuan, Y.; Chen, X.; Wang, J. Object-contextual representations for semantic segmentation. In Proceedings of the European Conference on Computer Vision, Glasgow, UK, 23–28 August 2020; pp. 173–190. [Google Scholar]
- Zhang, H.; Zhang, J.; Zhang, Q.; Kim, J.; Zhang, S.; Gauthier, S.A.; Spincemaille, P.; Nguyen, T.D.; Sabuncu, M.; Wang, Y. RSANet: Recurrent slice-wise attention network for multiple sclerosis lesion segmentation. In Proceedings of the Medical Image Computing and Computer Assisted Intervention, Shenzhen, China, 13–17 October 2019; pp. 411–419. [Google Scholar]
- Han, D.; Ye, T.; Han, Y.; Xia, Z.; Pan, S.; Wan, P.; Song, S.; Huang, G. Agent attention: On the integration of softmax and linear attention. In Proceedings of the European Conference on Computer Vision, Milan, Italy, 29 September–4 October 2024; Springer: Cham, Switzerland, 2025; pp. 124–140. [Google Scholar]
- Wu, H.; Huang, P.; Zhang, M.; Tang, W.; Yu, X. CMTFNet: CNN and Multiscale Transformer Fusion Network for Remote-Sensing Image Semantic Segmentation. IEEE Trans. Geosci. Remote Sens. 2023, 61, 2004612. [Google Scholar] [CrossRef]
- Ni, Y.; Liu, J.; Chi, W.; Wang, X.; Li, D. CGGLNet: Semantic Segmentation Network for Remote Sensing Images Based on Category-Guided Global–Local Feature Interaction. IEEE Trans. Geosci. Remote Sens. 2024, 62, 5615617. [Google Scholar] [CrossRef]
- Zheng, X.; Huan, L.; Xia, G.S.; Gong, J. Parsing very high resolution urban scene images by learning deep ConvNets with edge-aware loss. ISPRS J. Photogramm. Remote Sens. 2020, 170, 15–28. [Google Scholar] [CrossRef]
- Fan, J.; Li, J.; Liu, Y.; Zhang, F. Frequency-aware robust multidimensional information fusion framework for remote sensing image segmentation. Eng. Appl. Artif. Intell. 2024, 129, 107638. [Google Scholar] [CrossRef]
Disclaimer/Publisher’s Note: The statements, opinions and data contained in all publications are solely those of the individual author(s) and contributor(s) and not of MDPI and/or the editor(s). MDPI and/or the editor(s) disclaim responsibility for any injury to people or property resulting from any ideas, methods, instructions or products referred to in the content. |
© 2024 by the authors. Licensee MDPI, Basel, Switzerland. This article is an open access article distributed under the terms and conditions of the Creative Commons Attribution (CC BY) license (https://creativecommons.org/licenses/by/4.0/).









