Slope Surface Deformation Monitoring Based on Close-Range Photogrammetry: Laboratory Insights and Field Applications
Abstract
1. Introduction
2. Materials and Methods
2.1. Object Detection and Recognition
2.2. Coordinate Transformation
2.3. Surface Measurement
3. Laboratory Experiments and Results
3.1. Experimental Setup
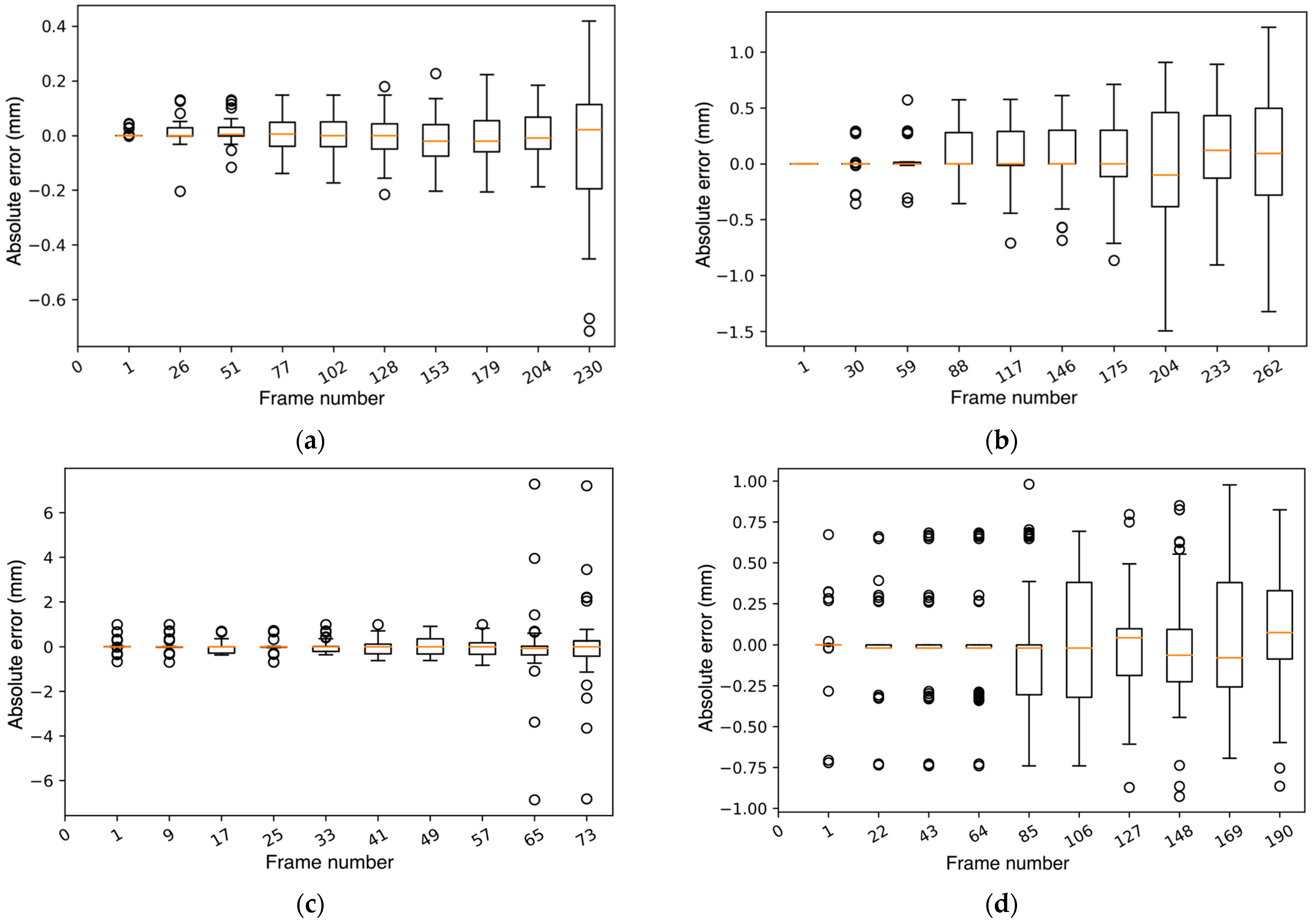
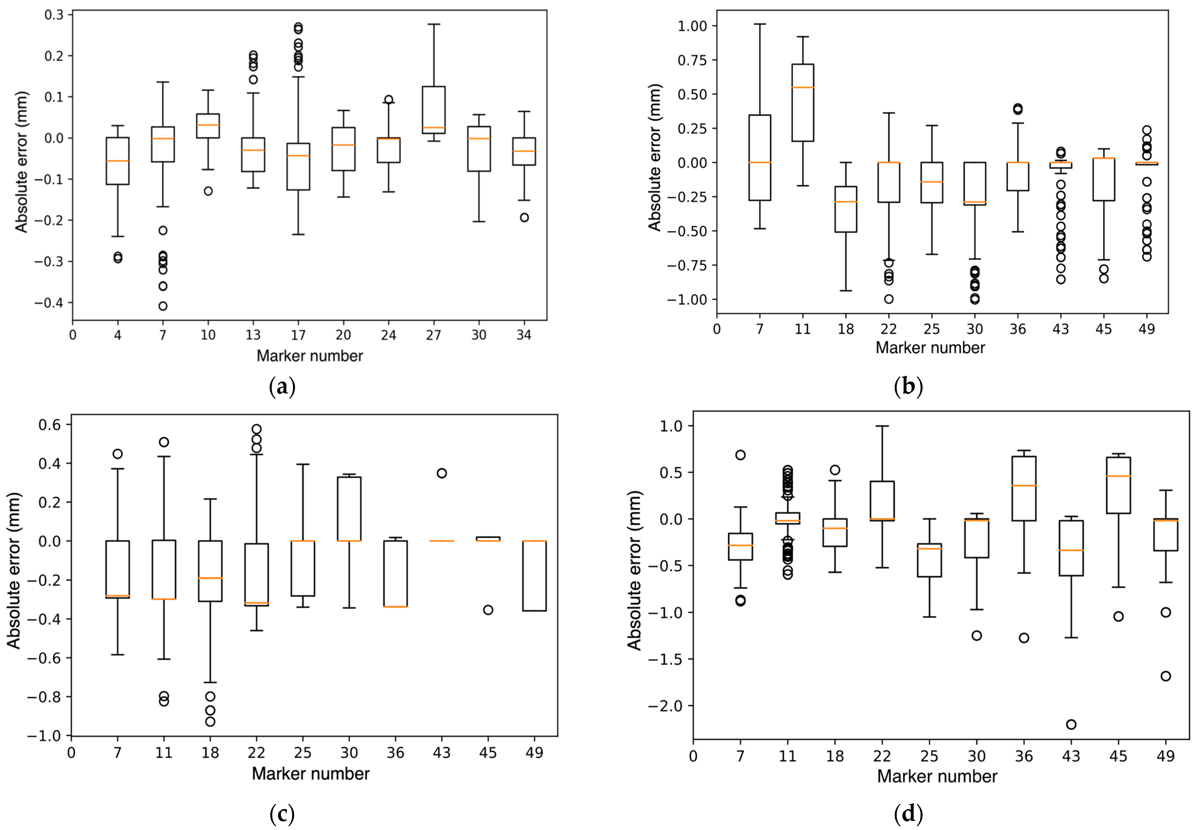
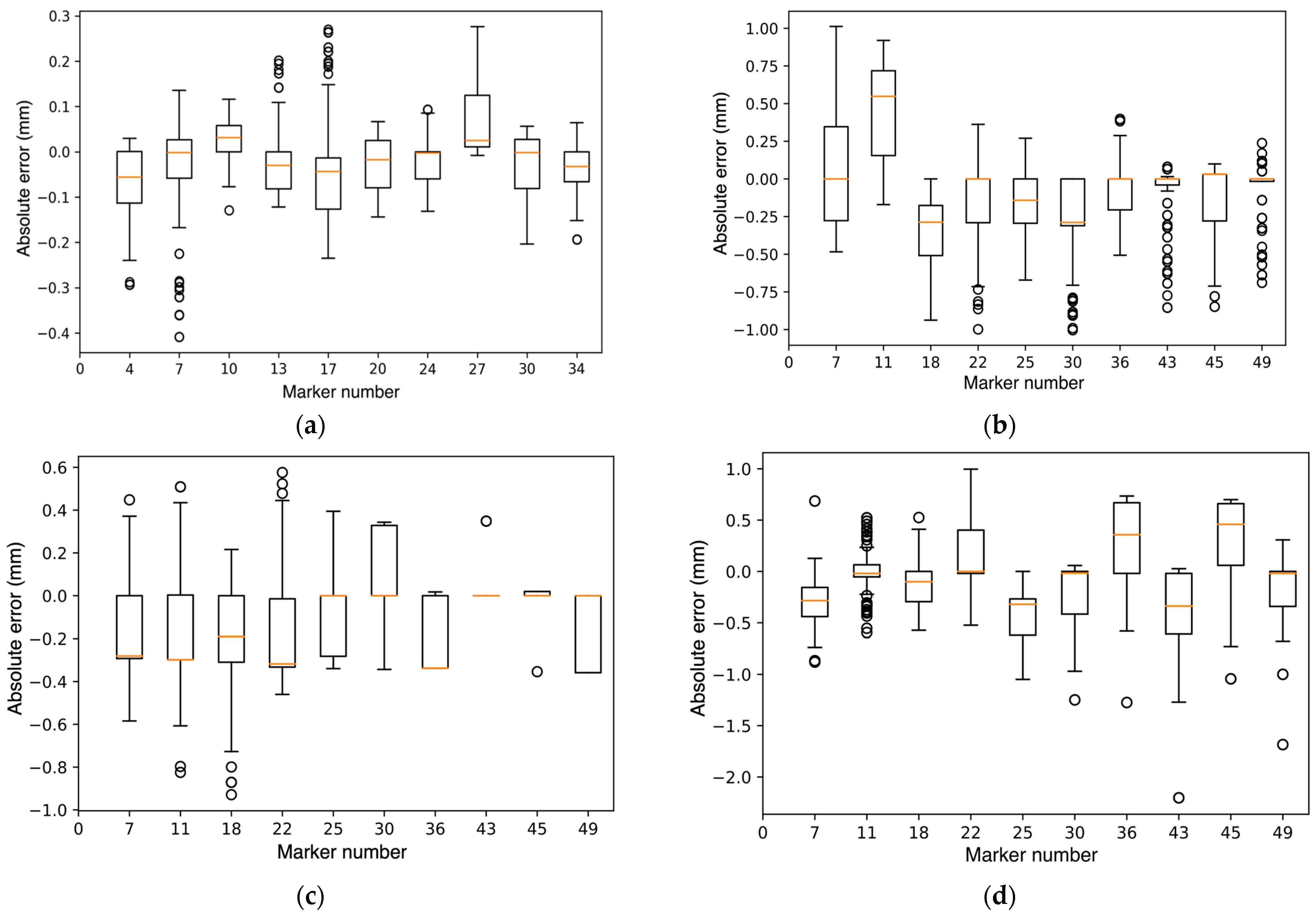
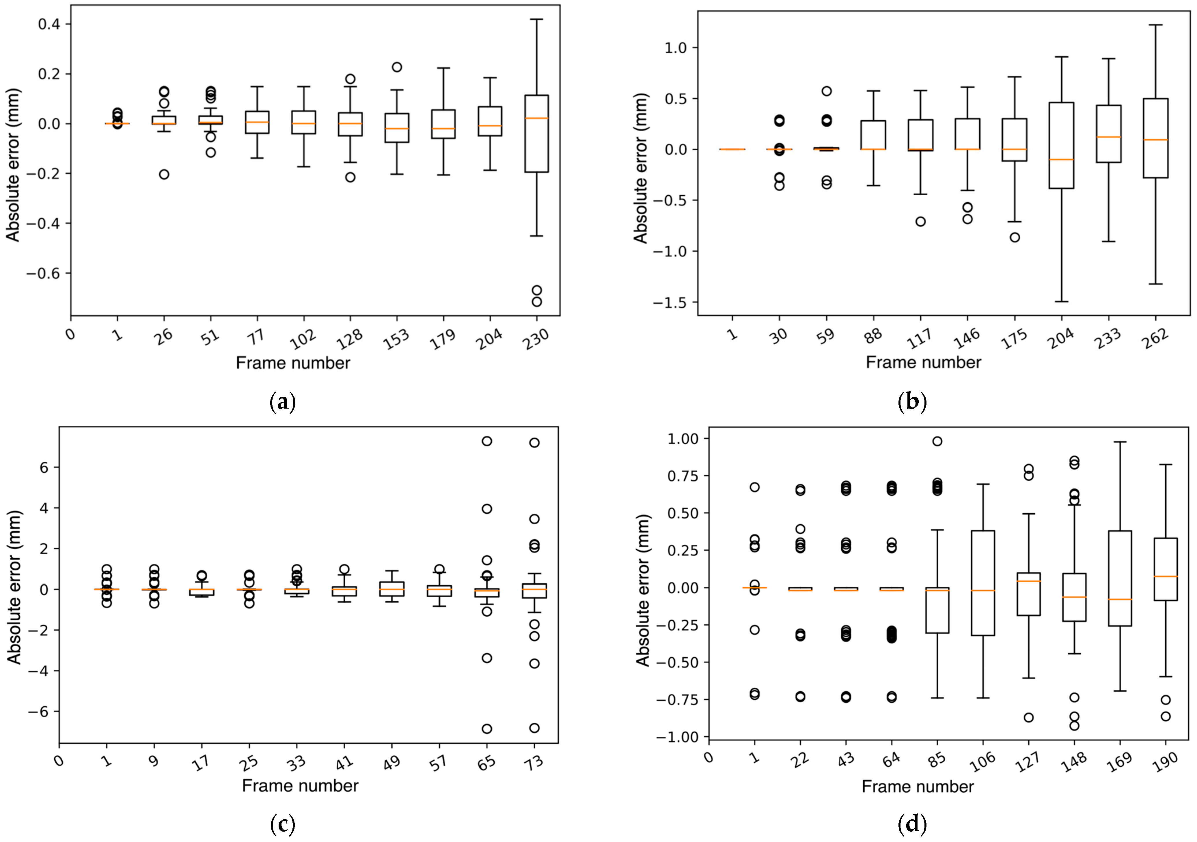
3.2. Slope Surface Deformation Results
4. Field Implementation
4.1. Study Area
4.2. Instrumentation Setup
4.3. Displacement Measurement Analysis
5. Discussion
5.1. Advantages and Limitations of Photogrammetry for Slope Monitoring
5.2. Strengths and Limitations of the Proposed System
5.3. Outlook
6. Conclusions
Author Contributions
Funding
Data Availability Statement
Acknowledgments
Conflicts of Interest
References
- Gariano, S.L.; Guzzetti, F. Landslides in a Changing Climate. Earth-Sci. Rev. 2016, 162, 227–252. [Google Scholar] [CrossRef]
- Casagli, N.; Intrieri, E.; Tofani, V.; Gigli, G.; Raspini, F. Landslide Detection, Monitoring and Prediction with Remote-Sensing Techniques. Nat. Rev. Earth Environ. 2023, 4, 51–64. [Google Scholar] [CrossRef]
- Zhao, C.; Lu, Z. Remote Sensing of Landslides—A Review. Remote Sens. 2018, 10, 279. [Google Scholar] [CrossRef]
- Scaioni, M.; Longoni, L.; Melillo, V.; Papini, M. Remote Sensing for Landslide Investigations: An Overview of Recent Achievements and Perspectives. Remote Sens. 2014, 6, 9600–9652. [Google Scholar] [CrossRef]
- Auflič, M.J.; Herrera, G.; Mateos, R.M.; Poyiadji, E.; Quental, L.; Severine, B.; Peternel, T.; Podolszki, L.; Calcaterra, S.; Kociu, A.; et al. Landslide Monitoring Techniques in the Geological Surveys of Europe. Landslides 2023, 20, 951–965. [Google Scholar] [CrossRef]
- Strząbała, K.; Ćwiąkała, P.; Puniach, E. Identification of Landslide Precursors for Early Warning of Hazards with Remote Sensing. Remote Sens. 2024, 16, 2781. [Google Scholar] [CrossRef]
- Mondini, A.C.; Guzzetti, F.; Chang, K.-T.; Monserrat, O.; Martha, T.R.; Manconi, A. Landslide Failures Detection and Mapping Using Synthetic Aperture Radar: Past, Present and Future. Earth-Sci. Rev. 2021, 216, 103574. [Google Scholar] [CrossRef]
- Liu, Y.; Qiu, H.; Yang, D.; Liu, Z.; Ma, S.; Pei, Y.; Zhang, J.; Tang, B. Deformation Responses of Landslides to Seasonal Rainfall Based on InSAR and Wavelet Analysis. Landslides 2022, 19, 199–210. [Google Scholar] [CrossRef]
- Schlögel, R.; Doubre, C.; Malet, J.-P.; Masson, F. Landslide Deformation Monitoring with ALOS/PALSAR Imagery: A D-InSAR Geomorphological Interpretation Method. Geomorphology 2015, 231, 314–330. [Google Scholar] [CrossRef]
- Huang, Q.; Wang, C.; Meng, Y.; Chen, J.; Yue, A. Landslide Monitoring Using Change Detection in Multitemporal Optical Imagery. IEEE Geosci. Remote Sens. Lett. 2020, 17, 312–316. [Google Scholar] [CrossRef]
- Ye, C.; Li, Y.; Cui, P.; Liang, L.; Pirasteh, S.; Marcato, J.; Gonçalves, W.N.; Li, J. Landslide Detection of Hyperspectral Remote Sensing Data Based on Deep Learning With Constrains. IEEE J. Sel. Top. Appl. Earth Obs. Remote Sens. 2019, 12, 5047–5060. [Google Scholar] [CrossRef]
- Lindner, G.; Schraml, K.; Mansberger, R.; Hübl, J. UAV Monitoring and Documentation of a Large Landslide. Appl. Geomat. 2016, 8, 1–11. [Google Scholar] [CrossRef]
- Rossi, G.; Tanteri, L.; Tofani, V.; Vannocci, P.; Moretti, S.; Casagli, N. Multitemporal UAV Surveys for Landslide Mapping and Characterization. Landslides 2018, 15, 1045–1052. [Google Scholar] [CrossRef]
- Casagli, N.; Frodella, W.; Morelli, S.; Tofani, V.; Ciampalini, A.; Intrieri, E.; Raspini, F.; Rossi, G.; Tanteri, L.; Lu, P. Spaceborne, UAV and Ground-Based Remote Sensing Techniques for Landslide Mapping, Monitoring and Early Warning. Geoenviron. Disasters 2017, 4, 9. [Google Scholar] [CrossRef]
- Huang, G.; Du, S.; Wang, D. GNSS Techniques for Real-Time Monitoring of Landslides: A Review. Satell. Navig. 2023, 4, 5. [Google Scholar] [CrossRef]
- Cina, A.; Piras, M. Performance of Low-Cost GNSS Receiver for Landslides Monitoring: Test and Results. Geomat. Nat. Hazards Risk 2015, 6, 497–514. [Google Scholar] [CrossRef]
- Šegina, E.; Peternel, T.; Urbančič, T.; Realini, E.; Zupan, M.; Jež, J.; Caldera, S.; Gatti, A.; Tagliaferro, G.; Consoli, A.; et al. Monitoring Surface Displacement of a Deep-Seated Landslide by a Low-Cost and near Real-Time GNSS System. Remote Sens. 2020, 12, 3375. [Google Scholar] [CrossRef]
- Woods, A.; Hendry, M.T.; Macciotta, R.; Stewart, T.; Marsh, J. GB-InSAR Monitoring of Vegetated and Snow-Covered Slopes in Remote Mountainous Environments. Landslides 2020, 17, 1713–1726. [Google Scholar] [CrossRef]
- Xiao, T.; Huang, W.; Deng, Y.; Tian, W.; Sha, Y. Long-Term and Emergency Monitoring of Zhongbao Landslide Using Space-Borne and Ground-Based InSAR. Remote Sens. 2021, 13, 1578. [Google Scholar] [CrossRef]
- Del Ventisette, C.; Casagli, N.; Fortuny-Guasch, J.; Tarchi, D. Ruinon Landslide (Valfurva, Italy) Activity in Relation to Rainfall by Means of GBInSAR Monitoring. Landslides 2012, 9, 497–509. [Google Scholar] [CrossRef]
- Stumvoll, M.J.; Schmaltz, E.M.; Glade, T. Dynamic Characterization of a Slow-Moving Landslide System–Assessing the Challenges of Small Process Scales Utilizing Multi-Temporal TLS Data. Geomorphology 2021, 389, 107803. [Google Scholar] [CrossRef]
- Brezzi, L.; Vallisari, D.; Carraro, E.; Teza, G.; Pol, A.; Liang, Z.; Zhou, K.; Gabrieli, F.; Cola, S.; Galgaro, A. Digital Terrestrial Photogrammetry for a Dense Monitoring of the Surficial Displacements of a Landslide. IOP Conf. Ser. Earth Environ. Sci. 2021, 833, 012145. [Google Scholar] [CrossRef]
- Lato, M.J.; Hutchinson, D.J.; Gauthier, D.; Edwards, T.; Ondercin, M. Comparison of Airborne Laser Scanning, Terrestrial Laser Scanning, and Terrestrial Photogrammetry for Mapping Differential Slope Change in Mountainous Terrain. Can. Geotech. J. 2015, 52, 129–140. [Google Scholar] [CrossRef]
- Roncella, R.; Forlani, G.; Fornari, M.; Diotri, F. Landslide Monitoring by Fixed-Base Terrestrial Stereo-Photogrammetry. ISPRS Ann. Photogramm. Remote Sens. Spat. Inf. Sci. 2014, 2, 297. [Google Scholar] [CrossRef]
- Gabriel, A.K.; Goldstein, R.M.; Zebker, H.A. Mapping Small Elevation Changes over Large Areas: Differential Radar Interferometry. J. Geophys. Res. Solid Earth 1989, 94, 9183–9191. [Google Scholar] [CrossRef]
- Jaboyedoff, M.; Oppikofer, T.; Abellán, A.; Derron, M.-H.; Loye, A.; Metzger, R.; Pedrazzini, A. Use of LIDAR in Landslide Investigations: A Review. Nat. Hazards 2012, 61, 5–28. [Google Scholar] [CrossRef]
- Kaplan, E.D.; Hegarty, C. Understanding GPS/GNSS: Principles and Applications, 3rd ed.; Artech House: Norwood, MA, USA, 2017; ISBN 978-1-63081-442-7. [Google Scholar]
- Westoby, M.J.; Brasington, J.; Glasser, N.F.; Hambrey, M.J.; Reynolds, J.M. ‘Structure-from-Motion’ Photogrammetry: A Low-Cost, Effective Tool for Geoscience Applications. Geomorphology 2012, 179, 300–314. [Google Scholar] [CrossRef]
- Luhmann, T.; Robson, S.; Kyle, S.; Boehm, J. Close-Range Photogrammetry and 3D Imaging; Walter de Gruyter GmbH & Co KG: Berlin, Germany, 2023; ISBN 978-3-11-102967-2. [Google Scholar]
- Pajalić, S.; Peranić, J.; Maksimović, S.; Čeh, N.; Jagodnik, V.; Arbanas, Ž. Monitoring and Data Analysis in Small-Scale Landslide Physical Model. Appl. Sci. 2021, 11, 5040. [Google Scholar] [CrossRef]
- Feng, T.; Mi, H.; Scaioni, M.; Qiao, G.; Lu, P.; Wang, W.; Tong, X.; Li, R. Measurement of Surface Changes in a Scaled-Down Landslide Model Using High-Speed Stereo Image Sequences. Photogramm. Eng. Remote Sens. 2016, 82, 547–557. [Google Scholar] [CrossRef]
- Türk, Y.; Özçelik, V.; Akduman, E. Capabilities of Using UAVs and Close Range Photogrammetry to Determine Short-Term Soil Losses in Forest Road Cut Slopes in Semi-Arid Mountainous Areas. Environ. Monit. Assess. 2024, 196, 149. [Google Scholar] [CrossRef]
- Zhang, C.; Zha, D.; Zhou, S.; Zhou, H.; Jiang, H. 3D Visualization of Landslide Based on Close-Range Photogrammetry. Instrum. Mes. Metrol. 2019, 18, 479–484. [Google Scholar] [CrossRef]
- Romeo, S.; Di Matteo, L.; Kieffer, D.S.; Tosi, G.; Stoppini, A.; Radicioni, F. The Use of Gigapixel Photogrammetry for the Understanding of Landslide Processes in Alpine Terrain. Geosciences 2019, 9, 99. [Google Scholar] [CrossRef]
- Schonberger, J.L.; Frahm, J.-M. Structure-from-Motion Revisited. In Proceedings of the 2016 IEEE Conference on Computer Vision and Pattern Recognition (CVPR), Las Vegas, NV, USA, 27–30 June 2016; pp. 4104–4113. [Google Scholar]
- Núñez-Andrés, M.A.; Prades-Valls, A.; Matas, G.; Buill, F.; Lantada, N. New Approach for Photogrammetric Rock Slope Premonitory Movements Monitoring. Remote Sens. 2023, 15, 293. [Google Scholar] [CrossRef]
- Walton, G.; Christiansen, C.; Kromer, R.; Silaev, A. Evaluation of Rockfall Trends at a Sedimentary Rock Cut near Manitou Springs, Colorado, Using Daily Photogrammetric Monitoring. Landslides 2023, 20, 2657–2674. [Google Scholar] [CrossRef]
- Butcher, B.; Walton, G.; Kromer, R.; Gonzales, E.; Ticona, J.; Minaya, A. High-Temporal-Resolution Rock Slope Monitoring Using Terrestrial Structure-from-Motion Photogrammetry in an Application with Spatial Resolution Limitations. Remote Sens. 2024, 16, 66. [Google Scholar] [CrossRef]
- Blanch, X.; Guinau, M.; Eltner, A.; Abellan, A. A Cost-Effective Image-Based System for 3D Geomorphic Monitoring: An Application to Rockfalls. Geomorphology 2024, 449, 109065. [Google Scholar] [CrossRef]
- Travelletti, J.; Delacourt, C.; Allemand, P.; Malet, J.-P.; Schmittbuhl, J.; Toussaint, R.; Bastard, M. Correlation of Multi-Temporal Ground-Based Optical Images for Landslide Monitoring: Application, Potential and Limitations. ISPRS J. Photogramm. Remote Sens. 2012, 70, 39–55. [Google Scholar] [CrossRef]
- Brezzi, L.; Gabrieli, F.; Cola, S.; Lorenzetti, G.; Spiezia, N.; Bisson, A.; Allegrini, M. Digital Terrestrial Stereo-Photogrammetry for Monitoring Landslide Displacements: A Case Study in Recoaro Terme (VI). In Geotechnical Research for Land Protection and Development; Calvetti, F., Cotecchia, F., Galli, A., Jommi, C., Eds.; Springer International Publishing: Cham, Switzerland, 2020; pp. 155–163. [Google Scholar]
- Ray, S.; Turi, R.H. Determination of Number of Clusters in K-Means Clustering and Application in Colour Image Segmentation. In Proceedings of the 4th International Conference on Advances in Pattern Recognition and Digital Techniques (ICAPRDT’99), Calcutta, India, 27–29 December 1999; Narosa Publishing House: Delhi, India, 2000; pp. 137–143. [Google Scholar]
- Chen, T.-W.; Chen, Y.-L.; Chien, S.-Y. Fast Image Segmentation Based on K-Means Clustering with Histograms in HSV Color Space. In Proceedings of the 2008 IEEE 10th Workshop on Multimedia Signal Processing, Cairns, QLD, Australia, 8–10 October 2008; pp. 322–325. [Google Scholar]
- LeCun, Y.; Boser, B.; Denker, J.S.; Henderson, D.; Howard, R.E.; Hubbard, W.; Jackel, L.D. Backpropagation applied to handwritten zip code recognition. Neural Comput. 1989, 1, 541–551. [Google Scholar] [CrossRef]
- Krizhevsky, A.; Sutskever, I.; Hinton, G.E. ImageNet Classification with Deep Convolutional Neural Networks. In Advances in Neural Information Processing Systems; Curran Associates, Inc.: Red Hook, NY, USA, 2012; Volume 25. [Google Scholar]
- Lecun, Y.; Bottou, L.; Bengio, Y.; Haffner, P. Gradient-Based Learning Applied to Document Recognition. Proc. IEEE 1998, 86, 2278–2324. [Google Scholar] [CrossRef]
- Wang, Y.; Li, F.; Sun, H.; Li, W.; Zhong, C.; Wu, X.; Wang, H.; Wang, P. Improvement of MNIST Image Recognition Based on CNN. IOP Conf. Ser. Earth Environ. Sci. 2020, 428, 012097. [Google Scholar] [CrossRef]
- Zhang, Z. A Flexible New Technique for Camera Calibration. IEEE Trans. Pattern Anal. Mach. Intell. 2000, 22, 1330–1334. [Google Scholar] [CrossRef]
- Remondino, F.; Fraser, C. Digital Camera Calibration Methods: Considerations and Comparisons. Int. Arch. Photogramm. Remote Sens. Spat. Inf. Sci. 2006, 36, 266–272. [Google Scholar]
- Oberkampf, D.; DeMenthon, D.; Davis, L. Iterative Pose Estimation Using Coplanar Feature Points. Comput. Vis. Image Underst. 1996, 63, 495–511. [Google Scholar] [CrossRef]
- Zheng, Y.; Kuang, Y.; Sugimoto, S.; Astrom, K.; Okutomi, M. Revisiting the PnP Problem: A Fast, General and Optimal Solution. In Proceedings of the 2013 IEEE International Conference on Computer Vision, Sydney, Australia, 1–8 December 2013; pp. 2344–2351. [Google Scholar]
- Oliver, M.A.; Webster, R. Kriging: A Method of Interpolation for Geographical Information Systems. Int. J. Geogr. Inf. Syst. 1990, 4, 313–332. [Google Scholar] [CrossRef]
- Lee, D.T.; Schachter, B.J. Two Algorithms for Constructing a Delaunay Triangulation. Int. J. Comput. Inf. Sci. 1980, 9, 219–242. [Google Scholar] [CrossRef]
- Kimball, J.M.; Bowman, E.T.; Gray, J.M.N.T.; Take, W.A. Evaluation of Laboratory Methods to Quantify Particle Size Segregation Using Image Analysis in Landslide Flume Tests. Landslides 2024. [Google Scholar] [CrossRef]
- Chen, Z.; Zhang, C.; Tang, Z.; Fang, K.; Xu, W. Three-Dimensional Reconstruction and Deformation Identification of Slope Models Based on Structured Light Method. Sensors 2024, 24, 794. [Google Scholar] [CrossRef]
- Su, Z.; Wei, B.; Zhang, J. Feature-Constrained Real-Time Simultaneous Monitoring of Monocular Vision Odometry for Bridge Bearing Displacement and Rotation. Autom. Constr. 2023, 154, 105008. [Google Scholar] [CrossRef]
- Luo, H.; Zhang, K.; Su, Y.; Zhong, K.; Li, Z.; Guo, J.; Guo, C. Monocular Vision Pose Determination-Based Large Rigid-Body Docking Method. Measurement 2022, 204, 112049. [Google Scholar] [CrossRef]
- Corominas, J.; Moya, J.; Lloret, A.; Gili, J.A.; Angeli, M.G.; Pasuto, A.; Silvano, S. Measurement of Landslide Displacements Using a Wire Extensometer. Eng. Geol. 2000, 55, 149–166. [Google Scholar] [CrossRef]
- Scaioni, M.; Feng, T.; Lu, P.; Qiao, G.; Tong, X.; Li, R.; Barazzetti, L.; Previtali, M.; Roncella, R. Close-Range Photogrammetric Techniques for Deformation Measurement: Applications to Landslides. In Modern Technologies for Landslide Monitoring and Prediction; Springer: Berlin/Heidelberg, Germany, 2015; pp. 13–41. [Google Scholar]
- Ye, X.W.; Dong, C.Z.; Liu, T. A Review of Machine Vision-Based Structural Health Monitoring: Methodologies and Applications. J. Sens. 2016, 2016, 7103039. [Google Scholar] [CrossRef]
- Ye, X.-W.; Jin, T.; Ang, P.-P.; Bian, X.-C.; Chen, Y.-M. Computer Vision-Based Monitoring of the 3-D Structural Deformation of an Ancient Structure Induced by Shield Tunneling Construction. Struct. Control. Health Monit. 2021, 28, e2702. [Google Scholar] [CrossRef]
- Huang, H.; Long, J.; Lin, H.; Zhang, L.; Yi, W.; Lei, B. Unmanned Aerial Vehicle Based Remote Sensing Method for Monitoring a Steep Mountainous Slope in the Three Gorges Reservoir, China. Earth Sci. Inform. 2017, 10, 287–301. [Google Scholar] [CrossRef]
- Damiano, E.; Olivares, L. The Role of Infiltration Processes in Steep Slope Stability of Pyroclastic Granular Soils: Laboratory and Numerical Investigation. Nat. Hazards 2010, 52, 329–350. [Google Scholar] [CrossRef]
- Wang, S.; Idinger, G.; Wu, W. Centrifuge Modelling of Rainfall-Induced Slope Failure in Variably Saturated Soil. Acta Geotech. 2021, 16, 2899–2916. [Google Scholar] [CrossRef]
- Zhang, X.; Feng, Y.; Angeloudis, P.; Demiris, Y. Monocular Visual Traffic Surveillance: A Review. IEEE Trans. Intell. Transp. Syst. 2022, 23, 14148–14165. [Google Scholar] [CrossRef]
- Gasperini, S.; Morbitzer, N.; Jung, H.; Navab, N.; Tombari, F. Robust Monocular Depth Estimation under Challenging Conditions. In Proceedings of the 2023 IEEE/CVF International Conference on Computer Vision (ICCV), Paris, France, 1–6 October 2023; pp. 8177–8186. [Google Scholar]
- Amosa, T.I.; Sebastian, P.; Izhar, L.I.; Ibrahim, O.; Ayinla, L.S.; Bahashwan, A.A.; Bala, A.; Samaila, Y.A. Multi-Camera Multi-Object Tracking: A Review of Current Trends and Future Advances. Neurocomputing 2023, 552, 126558. [Google Scholar] [CrossRef]
- Stathopoulou, E.K.; Remondino, F. A Survey on Conventional and Learning-Based Methods for Multi-View Stereo. Photogramm. Rec. 2023, 38, 374–407. [Google Scholar] [CrossRef]
- Li, C.; Guo, C.; Han, L.; Jiang, J.; Cheng, M.-M.; Gu, J.; Loy, C.C. Low-Light Image and Video Enhancement Using Deep Learning: A Survey. IEEE Trans. Pattern Anal. Mach. Intell. 2022, 44, 9396–9416. [Google Scholar] [CrossRef]
- Wang, H.; Xie, Q.; Zhao, Q.; Meng, D. A Model-Driven Deep Neural Network for Single Image Rain Removal. In Proceedings of the 2020 IEEE/CVF Conference on Computer Vision and Pattern Recognition (CVPR), Seattle, WA, USA, 13–19 June 2020; pp. 3103–3112. [Google Scholar]
- Lv, J.; He, P.; Hou, X.; Xiao, J.; Wen, L.; Lv, M. A Target-Free Vision-Based Method for out-of-Plane Vibration Measurement Using Projection Speckle and Camera Self-Calibration Technology. Eng. Struct. 2024, 303, 117416. [Google Scholar] [CrossRef]
- Feng, W.; Zhang, S. Camera Vibration Correction of Stereo-DIC Systems for Field Measurements. In Proceedings of the International Conference on Optical and Photonic Engineering (icOPEN 2022), Nanjing, China, 24–27 November 2022; SPIE: Bellingham, WA, USA, 2023; Volume 12550, pp. 173–178. [Google Scholar]






















| Experiment Index | Inclination (°) | Thickness (cm) | Support Zone 1 | Permeable Boundary 2 |
|---|---|---|---|---|
1 ![]() | 33 | 7 | No | Yes |
2 ![]() | 33 | 11 | No | No |
3 ![]() | 22 | 7 | No | No |
4 ![]() | 33 | 11 | Yes | No |
Disclaimer/Publisher’s Note: The statements, opinions and data contained in all publications are solely those of the individual author(s) and contributor(s) and not of MDPI and/or the editor(s). MDPI and/or the editor(s) disclaim responsibility for any injury to people or property resulting from any ideas, methods, instructions or products referred to in the content. |
© 2024 by the authors. Licensee MDPI, Basel, Switzerland. This article is an open access article distributed under the terms and conditions of the Creative Commons Attribution (CC BY) license (https://creativecommons.org/licenses/by/4.0/).
Share and Cite
Lu, T.; Han, P.; Gong, W.; Li, S.; Mo, S.; Hu, K.; Zhang, Y.; Mo, C.; Li, Y.; An, N.; et al. Slope Surface Deformation Monitoring Based on Close-Range Photogrammetry: Laboratory Insights and Field Applications. Remote Sens. 2024, 16, 4380. https://doi.org/10.3390/rs16234380
Lu T, Han P, Gong W, Li S, Mo S, Hu K, Zhang Y, Mo C, Li Y, An N, et al. Slope Surface Deformation Monitoring Based on Close-Range Photogrammetry: Laboratory Insights and Field Applications. Remote Sensing. 2024; 16(23):4380. https://doi.org/10.3390/rs16234380
Chicago/Turabian StyleLu, Tianxin, Peng Han, Wei Gong, Shuangshuang Li, Shuangling Mo, Kaiyan Hu, Yihua Zhang, Chunyu Mo, Yuyan Li, Ning An, and et al. 2024. "Slope Surface Deformation Monitoring Based on Close-Range Photogrammetry: Laboratory Insights and Field Applications" Remote Sensing 16, no. 23: 4380. https://doi.org/10.3390/rs16234380
APA StyleLu, T., Han, P., Gong, W., Li, S., Mo, S., Hu, K., Zhang, Y., Mo, C., Li, Y., An, N., Li, F., Han, B., Wan, B., & Li, R. (2024). Slope Surface Deformation Monitoring Based on Close-Range Photogrammetry: Laboratory Insights and Field Applications. Remote Sensing, 16(23), 4380. https://doi.org/10.3390/rs16234380



