Prescribed-Time Dynamic Positioning Control for USV with Lumped Disturbances, Thruster Saturation and Prescribed Performance Constraints
Abstract
1. Introduction
2. Preliminaries
2.1. USV Model
2.2. Related Lemmas and Assumptions
2.3. Prescribed-Time Prescribed Performance Function
2.4. Control Objective
3. Main Results
3.1. Controller Design
3.2. Stability Analysis
4. Simulation Results
4.1. Performance of the Proposed PTDP Control Scheme
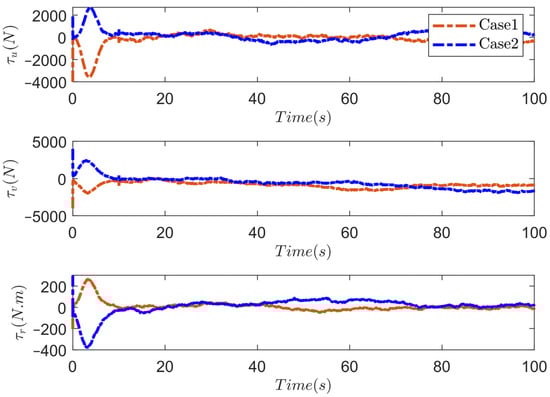
4.2. Comparison with Existing NDP Control Scheme
5. Conclusions
Author Contributions
Funding
Data Availability Statement
Conflicts of Interest
References
- Badrloo, S.; Varshosaz, M.; Pirasteh, S.; Li, J. Image-based obstacle detection methods for the safe navigation of unmanned vehicles: A review. Remote Sens. 2022, 14, 3824. [Google Scholar] [CrossRef]
- Wang, N.; He, H.; Hou, Y.; Han, B. Model-free visual servo swarming of manned-unmanned surface vehicles with visibility maintenance and collision avoidance. IEEE Trans. Intell. Transp. Syst. 2023, 25, 697–709. [Google Scholar] [CrossRef]
- Donnarumma, S.; Martelli, M.; D’Agostino, F.; Kaza, D.; Silvestro, F. Multiphysics modeling and simulation of integrated electric propulsion system for ship dynamic positioning. In Proceedings of the 2022 International Symposium on Power Electronics, Electrical Drives, Automation and Motion (SPEEDAM), Sorrento, Italy, 22–24 June 2022; pp. 645–650. [Google Scholar]
- Su, Y.; Gong, C.; Zhang, D.; Hu, X. Simple dynamic positioning control design for surface vessels with input saturation and external disturbances. IEEE Trans. Circuits Syst. II Express Briefs 2022, 70, 1530–1534. [Google Scholar] [CrossRef]
- Gao, X.; Long, Y.; Li, T.; Hu, X.; Chen, C.L.P.; Sun, F. Optimal fuzzy output feedback control for dynamic positioning of vessels with finite-time disturbance rejection under thruster saturations. IEEE Trans. Fuzzy Syst. 2023, 31, 3447–3458. [Google Scholar] [CrossRef]
- Zhao, Y.; Lin, F.; Yu, S. Composite anti-disturbance dynamic positioning for mass-switched unmanned marine vehicles with multisource disturbances and actuator saturation: A switched model method. J. Frankl. Inst. 2024, 361, 106919. [Google Scholar] [CrossRef]
- He, H.; Wang, N.; Huang, D.; Han, B. Active Vision-Based Finite-Time Trajectory-Tracking Control of an Unmanned Surface Vehicle Without Direct Position Measurements. IEEE Trans. Intell. Transp. Syst. 2024, 25, 12151–12162. [Google Scholar] [CrossRef]
- Zhang, G.; Yang, Y.; Li, J.; Yin, Y. Robust adaptive control for dynamic positioning vessels with actuator faults via the multiport event-triggered mechanism. Ocean Eng. 2024, 311, 119014. [Google Scholar] [CrossRef]
- Torben, T.R.; Teel, A.R.; Kjerstad, Ø.K.; Wittemann, E.H.T.; Skjetne, R. A resetting observer for linear time-varying systems with application to dynamic positioning of marine surface vessels. IEEE Trans. Control Syst. Technol. 2023, 32, 1048–1056. [Google Scholar] [CrossRef]
- Wang, N.; Gao, Y.; Zhang, X. Data-driven performance-prescribed reinforcement learning control of an unmanned surface vehicle. IEEE Trans. Neural Netw. Learn. Syst. 2021, 32, 5456–5467. [Google Scholar] [CrossRef]
- Liu, Y.; Lin, X.; Liang, K. Robust tracking control for dynamic positioning ships subject to dynamic safety constraints. Ocean Eng. 2022, 266, 112710. [Google Scholar] [CrossRef]
- Øveraas, H.; Halvorsen, H.S.; Landstad, O.; Smines, V.; Johansen, T.A. Dynamic positioning using model predictive control with short-term wave prediction. IEEE J. Ocean. Eng. 2023, 48, 1065–1077. [Google Scholar] [CrossRef]
- Liang, K.; Lin, X.; Chen, Y.; Zhang, W.; Li, J. Robust adaptive multistage anti-windup dynamic surface control for dynamic positioning ships with mismatched disturbance. J. Frankl. Inst. 2021, 358, 2253–2278. [Google Scholar] [CrossRef]
- Chen, H.; Li, J.; Gao, N.; Han, J.; Aït-Ahmed, N.; Benbouzid, M. Adaptive backstepping fast terminal sliding mode control of dynamic positioning ships with uncertainty and unknown disturbances. Ocean Eng. 2023, 281, 114925. [Google Scholar] [CrossRef]
- Li, M.Y.; Liu, L.T.; Xie, W.B.; Li, J.T. Collision avoidance fault-tolerant control for dynamic positioning vessels under thruster faults. Ocean Eng. 2023, 286, 115458. [Google Scholar] [CrossRef]
- Mu, D.; Feng, Y.; Wang, G.; Fan, Y.; Zhao, Y.; Sun, X. Ship dynamic positioning output feedback control with position constraint considering thruster system dynamics. J. Mar. Sci. Eng. 2023, 11, 94. [Google Scholar] [CrossRef]
- Fu, M.; Wang, L.; Yu, L. A finite-time output feedback control scheme for dynamic positioning system of ships. IEEE Access 2019, 7, 100638–100648. [Google Scholar] [CrossRef]
- Zhou, B.; Hu, C.; Jin, G.Q.; Yu, J.; Jiang, X.; Zhang, G. Design of UDE-based finite-time fault-tolerant control for DP vessels with complex disturbances and input constraints. Ocean Eng. 2023, 287, 115774. [Google Scholar] [CrossRef]
- Li, H.; Lin, X. Robust finite-time fault-tolerant control for dynamic positioning of ships via nonsingular fast integral terminal sliding mode control. Appl. Ocean Res. 2022, 122, 103126. [Google Scholar] [CrossRef]
- Shi, Q.; Li, X.; Dong, Q.; Yang, J.; Guo, X. Composite finite-time adaptive anti-disturbance control for dynamic positioning of vessels with output constraints. Ocean Eng. 2022, 255, 111414. [Google Scholar] [CrossRef]
- Gong, C.; Su, Y.; Jia, F.; Zhang, D.; Hu, X. Fixed time prescribed performance dynamic positioning control design for surface vessels. Ocean Eng. 2023, 287, 115615. [Google Scholar] [CrossRef]
- Sui, B.; Zhang, J.; Liu, Z.; Wei, J. Fixed-Time Trajectory Tracking Control of Fully Actuated Unmanned Surface Vessels with Error Constraints. J. Mar. Sci. Eng. 2024, 12, 584. [Google Scholar] [CrossRef]
- Skjetne, R.; Fossen, T.I.; Kokotović, P.V. Adaptive maneuvering, with experiments, for a model ship in a marine control laboratory. Automatica 2005, 41, 289–298. [Google Scholar] [CrossRef]
- Wang, Y.; Song, Y.; Hill, D.J.; Krstic, M. Prescribed-time consensus and containment control of networked multiagent systems. IEEE Trans. Cybern. 2018, 49, 1138–1147. [Google Scholar] [CrossRef] [PubMed]
- Wang, Y.; Tuo, Y.; Yang, S.X.; Biglarbegian, M.; Fu, M. Reliability-based robust dynamic positioning for a turret-moored floating production storage and offloading vessel with unknown time-varying disturbances and input saturation. ISA Trans. 2018, 78, 66–79. [Google Scholar] [CrossRef] [PubMed]
- Wang, S.; Dai, D.; Peng, Z.; Tuo, Y. Prescribed-time prescribed performance-based distributed formation control of surface vessels with system uncertainties. Ocean Eng. 2024, 295, 116930. [Google Scholar] [CrossRef]
- Wang, Y.; Qu, Y.; Zhao, S.; Fu, H. Adaptive neural containment maneuvering of underactuated surface vehicles with prescribed performance and collision avoidance. Ocean Eng. 2024, 297, 116779. [Google Scholar] [CrossRef]
- Wang, S.; Dai, D.; Wang, D.; Tuo, Y. Nonlinear Extended State Observer-Based Distributed Formation Control of Multiple Vessels with Finite-Time Prescribed Performance. J. Mar. Sci. Eng. 2023, 11, 321. [Google Scholar] [CrossRef]
- Gao, Z.; Zhang, Y.; Guo, G. Fixed-time prescribed performance adaptive fixed-time sliding mode control for vehicular platoons with actuator saturation. IEEE Trans. Intell. Transp. Syst. 2022, 23, 24176–24189. [Google Scholar] [CrossRef]
- Dong, S.; Shen, Z.; Zhou, L.; Yu, H. Event-triggered trajectory tracking control of marine surface vessels with time-varying output constraints using barrier functions. Int. J. Control Autom. Syst. 2023, 21, 2708–2717. [Google Scholar] [CrossRef]
- Liu, H.; Weng, P.; Tian, X.; Mai, Q. Distributed adaptive fixed-time formation control for UAV-USV heterogeneous multi-agent systems. Ocean Eng. 2023, 267, 113240. [Google Scholar] [CrossRef]
- Du, J.; Hu, X.; Krstić, M.; Sun, Y. Robust dynamic positioning of ships with disturbances under input saturation. Automatica 2016, 73, 207–214. [Google Scholar] [CrossRef]














| Parameters | Values | Parameters | Values |
|---|---|---|---|
| −0.7225 | −10.0000 | ||
| −0.8612 | −1.0000 | ||
| 0.1079 | 1.7600 | ||
| −0.5000 | −2.0000 | ||
| 0.1052 | 0.0000 | ||
| 23.8000 | 0.0460 |
| NDP | ||||||
| PTDP |
Disclaimer/Publisher’s Note: The statements, opinions and data contained in all publications are solely those of the individual author(s) and contributor(s) and not of MDPI and/or the editor(s). MDPI and/or the editor(s) disclaim responsibility for any injury to people or property resulting from any ideas, methods, instructions or products referred to in the content. |
© 2024 by the authors. Licensee MDPI, Basel, Switzerland. This article is an open access article distributed under the terms and conditions of the Creative Commons Attribution (CC BY) license (https://creativecommons.org/licenses/by/4.0/).
Share and Cite
Sui, B.; Zhang, J.; Liu, Z. Prescribed-Time Dynamic Positioning Control for USV with Lumped Disturbances, Thruster Saturation and Prescribed Performance Constraints. Remote Sens. 2024, 16, 4142. https://doi.org/10.3390/rs16224142
Sui B, Zhang J, Liu Z. Prescribed-Time Dynamic Positioning Control for USV with Lumped Disturbances, Thruster Saturation and Prescribed Performance Constraints. Remote Sensing. 2024; 16(22):4142. https://doi.org/10.3390/rs16224142
Chicago/Turabian StyleSui, Bowen, Jianqiang Zhang, and Zhong Liu. 2024. "Prescribed-Time Dynamic Positioning Control for USV with Lumped Disturbances, Thruster Saturation and Prescribed Performance Constraints" Remote Sensing 16, no. 22: 4142. https://doi.org/10.3390/rs16224142
APA StyleSui, B., Zhang, J., & Liu, Z. (2024). Prescribed-Time Dynamic Positioning Control for USV with Lumped Disturbances, Thruster Saturation and Prescribed Performance Constraints. Remote Sensing, 16(22), 4142. https://doi.org/10.3390/rs16224142

