Estimation of Forest Growing Stock Volume with Synthetic Aperture Radar: A Comparison of Model-Fitting Methods
Abstract
1. Introduction
2. Study Sites
3. Material
3.1. Plot-Level GSV
3.2. Sub-National Average GSV Values
3.3. SAR Dataset
3.3.1. Sentinel-1 Dataset and Pre-Processing
3.3.2. ALOS-2 PALSAR-2 Dataset and Pre-Processing
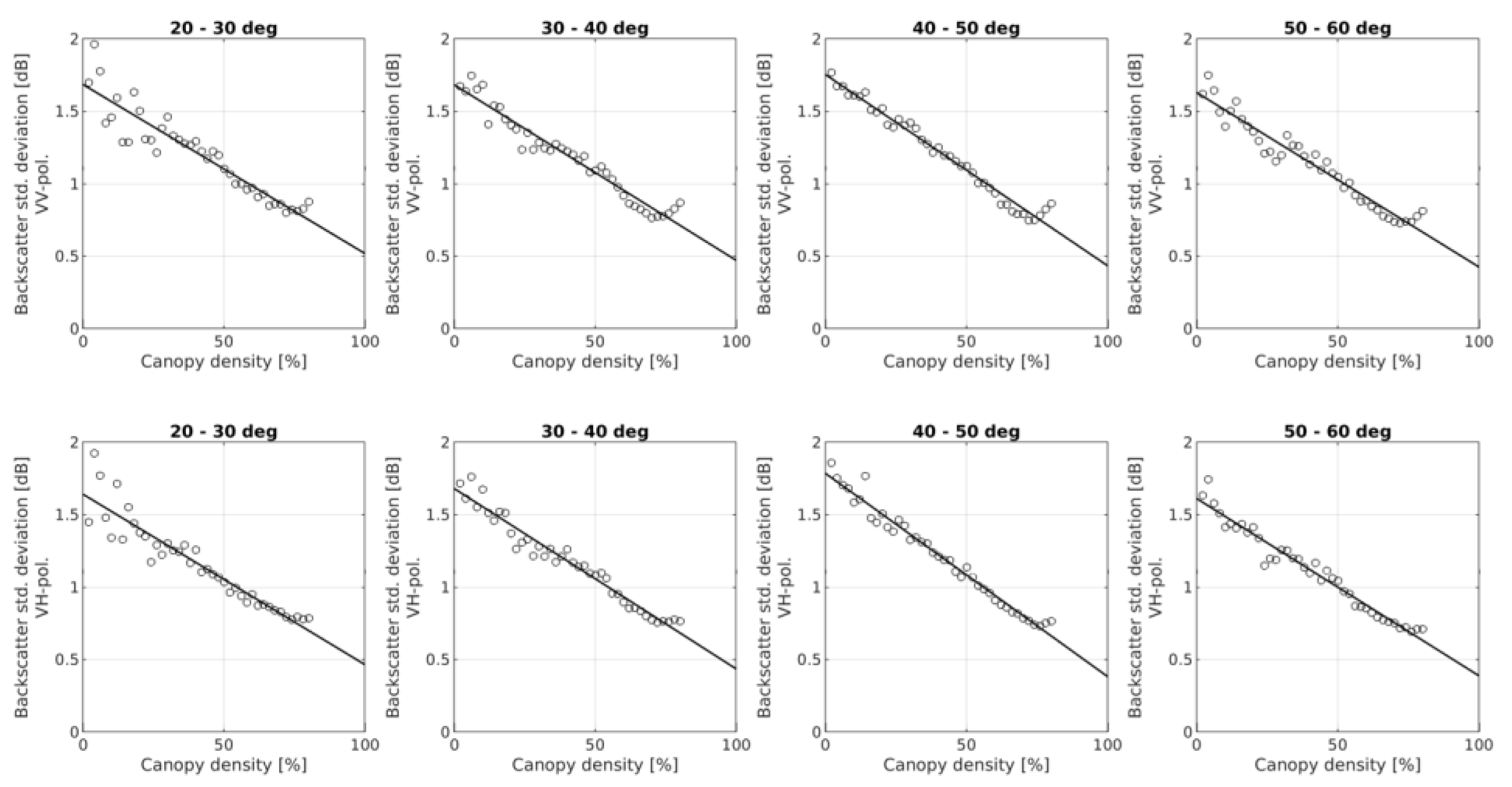
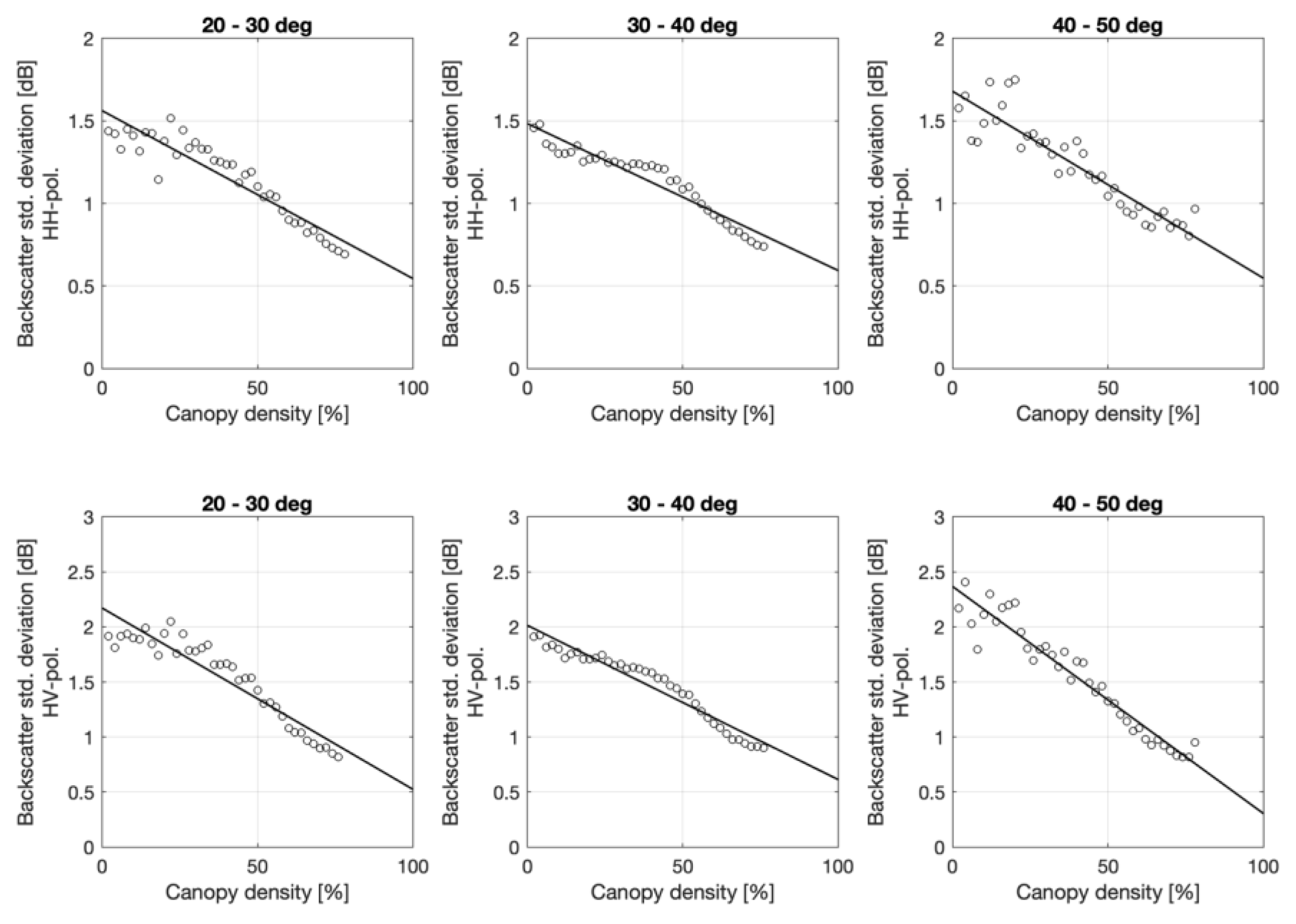
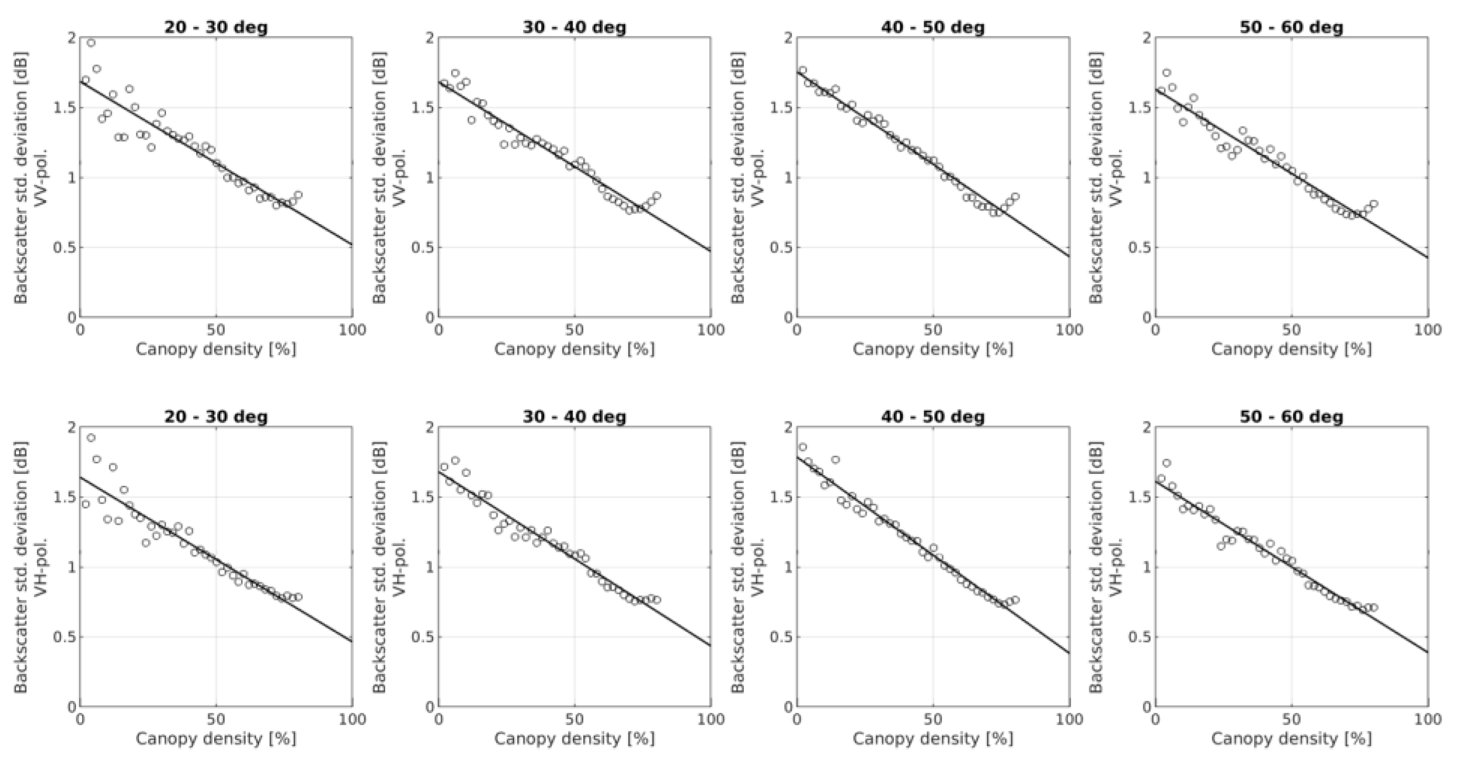
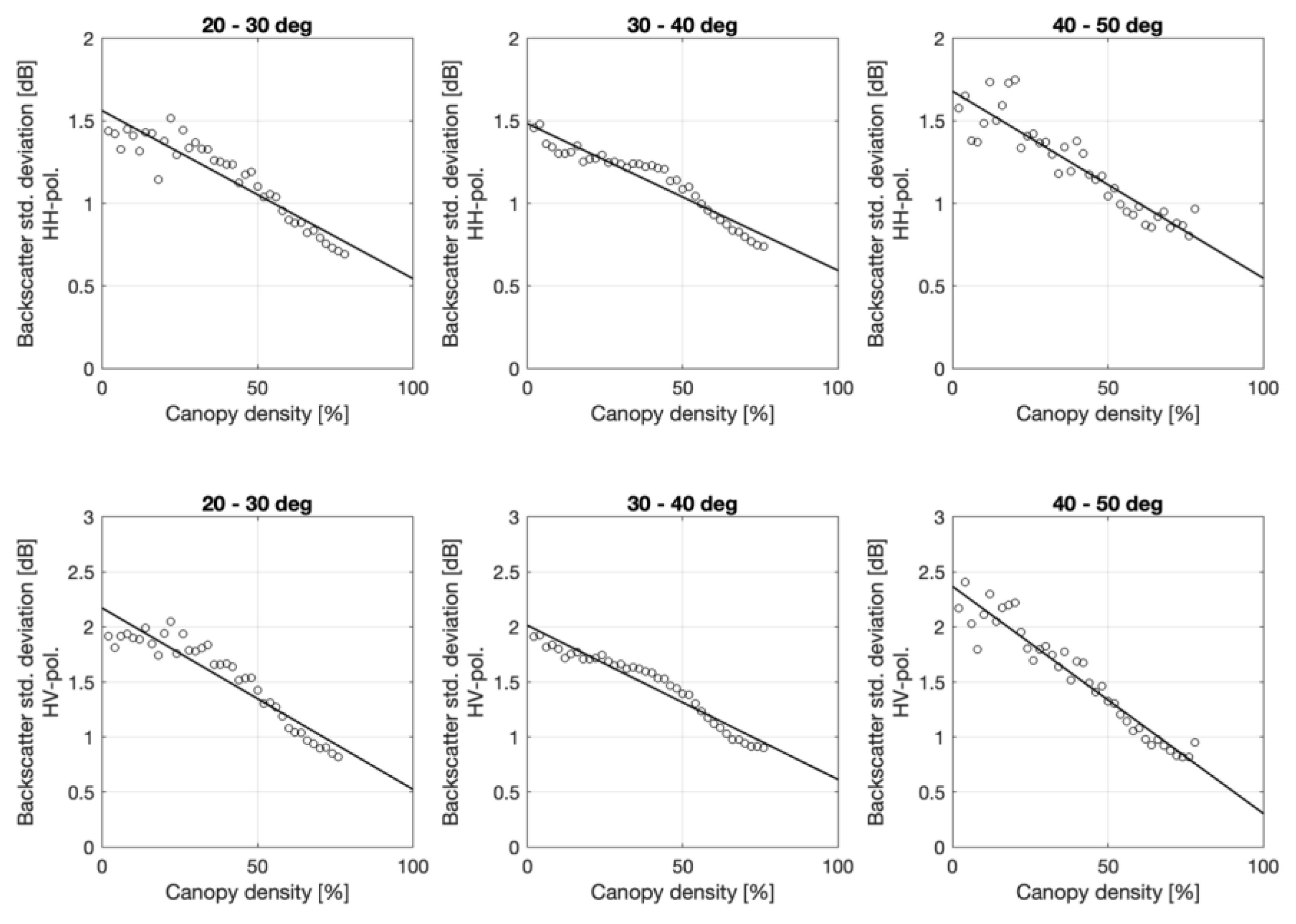
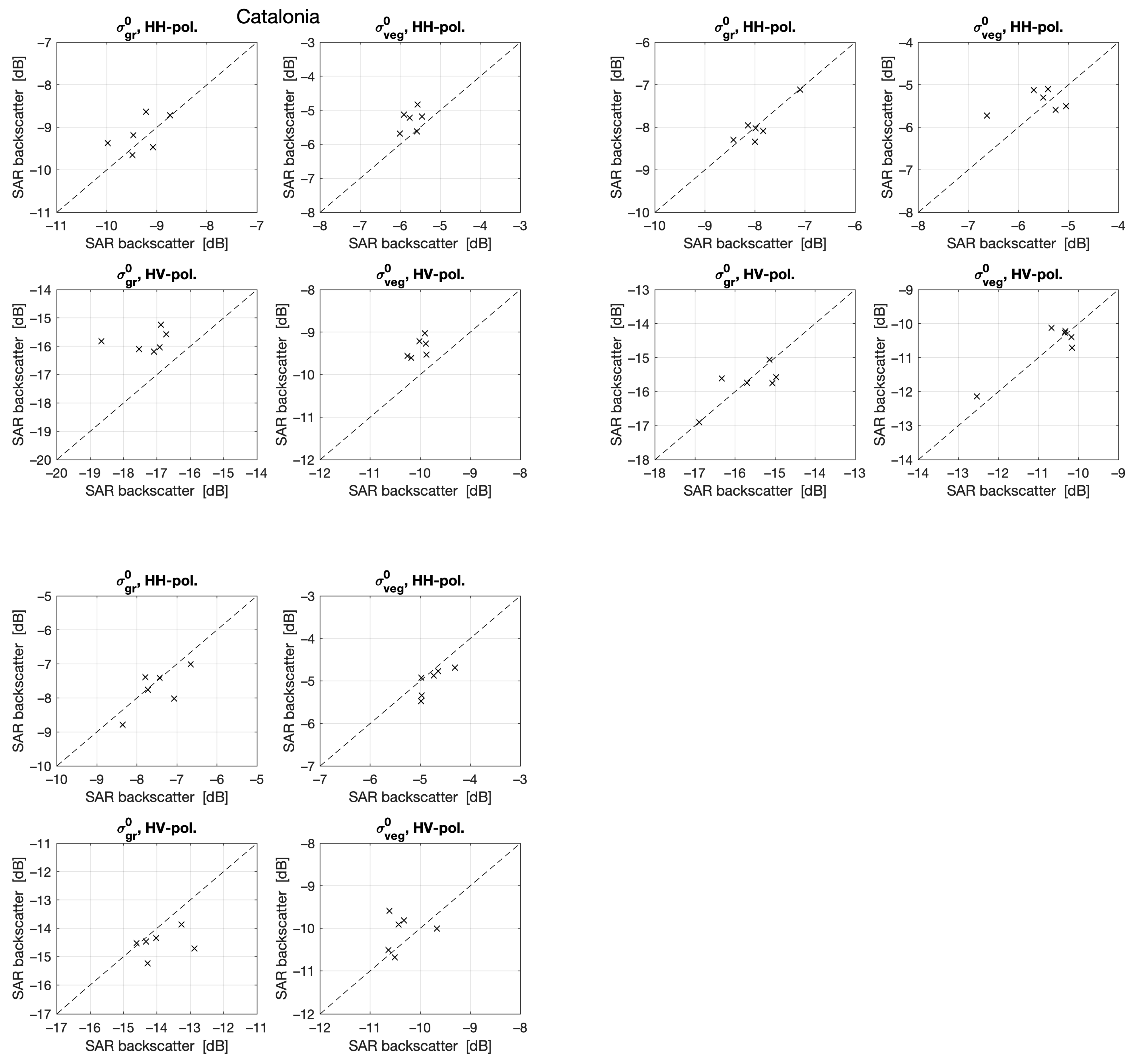
3.3.3. Uncertainty of the SAR Backscatter
3.4. ICESat-2 Dataset and Pre-Processing
4. Methods
4.1. Forest Backscatter Model
4.2. Estimation of Model Parameters
- The weak sensitivity of the C- and L-band backscatter to GSV implies that a model fit with three degrees of freedom may be characterized by large uncertainties. It is also likely that some of the physical constraints of the three model parameters are violated so that they may become pure regression parameters. This applies especially to the coefficient α that governs the rate of change of the backscatter with GSV.
- When the training data are not available or the area of interest is far away from the location of the training data, it is likely that the estimates of the three parameters are not representative of the area.
4.3. Retrieval of GSV
4.4. Implementation of GSV Retrieval and Validation
- The root mean square error (RMSE);
- The RMSE relative to the mean value of the GSV measurements in the test set;
- The bias, i.e., the systematic difference between estimated and reference GSV values;
- The coefficient of determination (R2).
5. Results
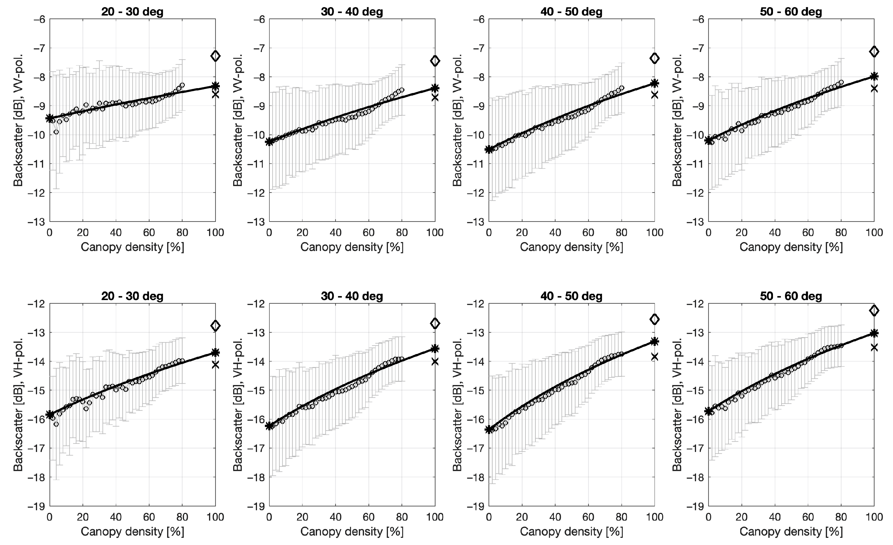
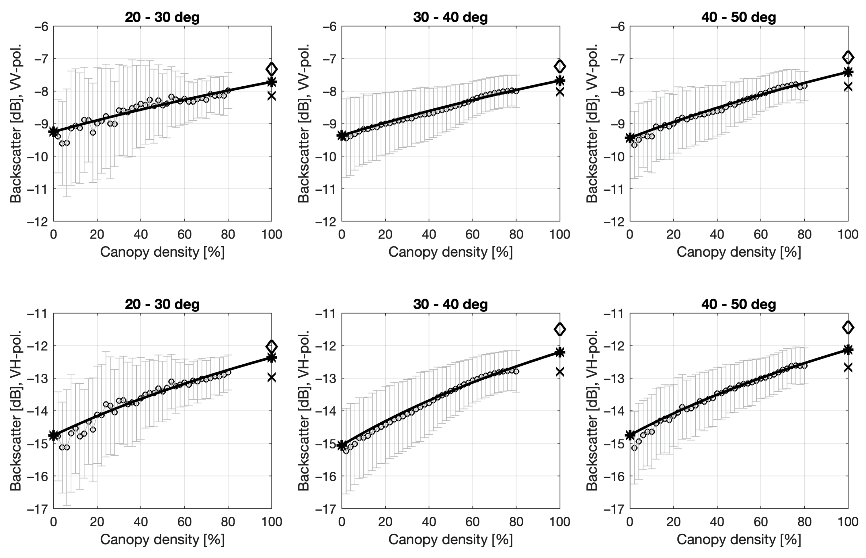
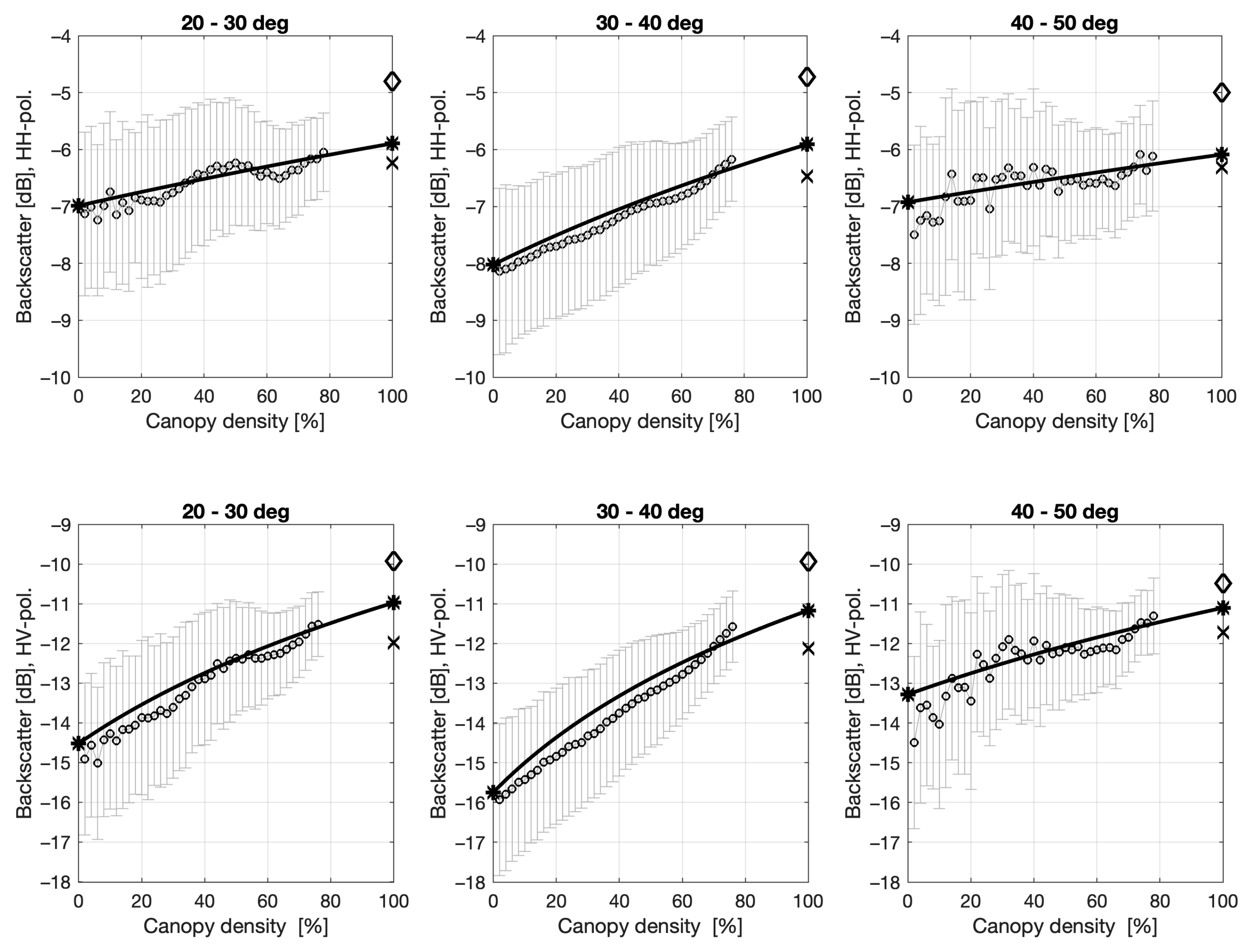
5.1. Correlation Between Radar Backscatter and GSV
5.2. Estimation of Parameters of GSV Structural Function
5.3. Estimation of the Water Cloud Model Parameters
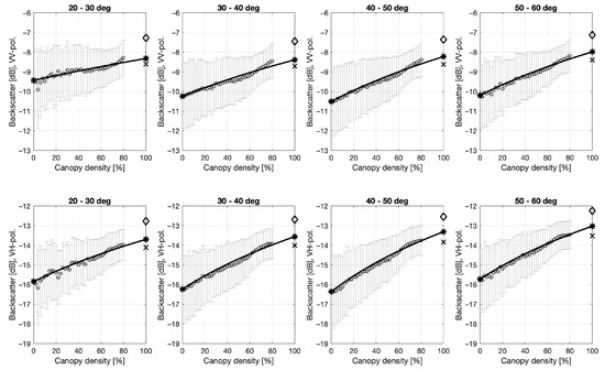
5.4. Retrieval of GSV
6. Discussion
7. Conclusions
Supplementary Materials
Author Contributions
Funding
Data Availability Statement
Acknowledgments
Conflicts of Interest
References
- FAO. Global Forest Resources Assessment 2020; FAO: Rome, Italy, 2020. [Google Scholar]
- Picard, N.; Saint-André, L.; Henry, M. Manual for Building Tree Volume and Biomass Allometric Equations: From Filed Measurement to Prediction; Food and Agriculture Organization of the United Nations (FAO): Rome, Italy, 2012; ISBN 978-92-5-107347-6. [Google Scholar]
- Mitchard, E.T.A.; Feldpausch, T.R.; Brienen, R.J.W.; Lopez-Gonzalez, G.; Monteagudo, A.; Baker, T.R.; Lewis, S.L.; Lloyd, J.; Quesada, C.A.; Gloor, M.; et al. Markedly Divergent Estimates of Amazon Forest Carbon Density from Ground Plots and Satellites. Glob. Ecol. Biogeogr. 2014, 23, 935–946. [Google Scholar] [CrossRef] [PubMed]
- Ulaby, F.T.; Moore, R.K.; Fung, A.K. Microwave Remote Sensing, Active and Passive; Artech House: Dedham, MA, USA, 1986; Volume 3. [Google Scholar]
- Israelsson, H.; Ulander, L.M.H.; Askne, J.L.H.; Fransson, J.E.S.; Frolind, P.-O.; Gustavsson, A.; Hellsten, H. Retrieval of Forest Stem Volume Using VHF SAR. IEEE Trans. Geosci. Remote Sens. 1997, 35, 36–40. [Google Scholar] [CrossRef]
- Le Toan, T.; Quegan, S.; Davidson, M.W.J.; Balzter, H.; Paillou, P.; Papathanassiou, K.; Plummer, S.; Rocca, F.; Saatchi, S.; Shugart, H.; et al. The BIOMASS Mission: Mapping Global Forest Biomass to Better Understand the Terrestrial Carbon Cycle. Remote Sens. Environ. 2011, 115, 2850–2860. [Google Scholar] [CrossRef]
- Ranson, K.J.; Sun, G.; Lang, R.H.; Chauhan, N.S.; Cacciola, R.J.; Kilic, O. Mapping of Boreal Forest Biomass from Spaceborne Synthetic Aperture Radar. J. Geophys. Res. Atmos. 1997, 102, 29599–29610. [Google Scholar]
- Cartus, O.; Santoro, M.; Wegmüller, U.; Rommen, B. Benchmarking the Retrieval of Biomass in Boreal Forests Using P-Band SAR Backscatter with Multi-Temporal C- and L-Band Observations. Remote Sens. 2019, 11, 1695. [Google Scholar] [CrossRef]
- Santoro, M.; Cartus, O.; Fransson, J.E.S.; Wegmüller, U. Complementarity of X-, C-, and L-Band SAR Backscatter Observations to Retrieve Forest Stem Volume in Boreal Forest. Remote Sens. 2019, 11, 1563. [Google Scholar] [CrossRef]
- Englhart, S.; Keuck, V.; Siegert, F. Aboveground Biomass Retrieval in Tropical Forests—The Potential of Combined X- and L-Band SAR Data Use. Remote Sens. Environ. 2011, 115, 1260–1271. [Google Scholar] [CrossRef]
- Joshi, N.P.; Mitchard, E.T.A.; Schumacher, J.; Johannsen, V.K.; Saatchi, S.; Fensholt, R. L-Band SAR Backscatter Related to Forest Cover, Height and Aboveground Biomass at Multiple Spatial Scales across Denmark. Remote Sens. 2015, 7, 4442–4472. [Google Scholar] [CrossRef]
- Atwood, D.K.; Andersen, H.-E.; Matthiss, B.; Holecz, F. Impact of Topographic Correction on Estimation of Aboveground Boreal Biomass Using Multi-Temporal, L-Band Backscatter. IEEE J. Sel. Top. Appl. Earth Obs. Remote Sens. 2014, 7, 3262–3273. [Google Scholar]
- Lone, J.M.; Sivasankar, T.; Sarma, K.K.; Qadir, A.; Raju, P.L.N. Influence of Slope Aspect on above Ground Biomass Estimation Using ALOS-2 Data. Int. J. Sci. Res. IJSR 2017, 6, 1422–1428. [Google Scholar] [CrossRef]
- Kumar, A.; Kishore, B.S.P.C.; Saikia, P.; Deka, J.; Bharali, S.; Singha, L.B.; Tripathi, O.P.; Khan, M.L. Tree Diversity Assessment and above Ground Forests Biomass Estimation Using SAR Remote Sensing: A Case Study of Higher Altitude Vegetation of North-East Himalayas, India. Phys. Chem. Earth Parts ABC 2019, 111, 53–64. [Google Scholar] [CrossRef]
- Huang, W.; Sun, G.; Ni, W.; Zhang, Z.; Dubayah, R. Sensitivity of Multi-Source SAR Backscatter to Changes in Forest Aboveground Biomass. Remote Sens. 2015, 7, 9587–9609. [Google Scholar] [CrossRef]
- Antropov, O.; Rauste, Y.; Häme, T.; Praks, J. Polarimetric ALOS PALSAR Time Series in Mapping Biomass of Boreal Forests. Remote Sens. 2017, 9, 999. [Google Scholar] [CrossRef]
- Chowdhury, T.A.; Thiel, C.; Schmullius, C.; Stelmaszczuk-Górska, M. Polarimetric Parameters for Growing Stock Volume Estimation Using ALOS PALSAR L-Band Data over Siberian Forests. Remote Sens. 2013, 5, 5725–5756. [Google Scholar] [CrossRef]
- Tanase, M.A.; Panciera, R.; Lowell, K.; Tian, S.; Hacker, J.M.; Walker, J.P. Airborne Multi-Temporal L-Band Polarimetric SAR Data for Biomass Estimation in Semi-Arid Forests. Remote Sens. Environ. 2014, 145, 93–104. [Google Scholar]
- Pulliainen, J.T.; Mikkelä, P.J.; Hallikainen, M.T.; Ikonen, J.-P. Seasonal Dynamics of C-Band Backscatter of Boreal Forests with Applications to Biomass and Soil Moisture Estimation. IEEE Trans. Geosci. Remote Sens. 1996, 34, 758–770. [Google Scholar]
- Englhart, S.; Keuck, V.; Siegert, F. Modeling Aboveground Biomass in Tropical Forests Using Multi-Frequency SAR Data—A Comparison of Methods. IEEE J. Sel. Top. Appl. Earth Obs. Remote Sens. 2012, 5, 298–306. [Google Scholar] [CrossRef]
- Berninger, A.; Lohberger, S.; Stängel, M.; Siegert, F. SAR-Based Estimation of Above-Ground Biomass and Its Changes in Tropical Forests of Kalimantan Using L- and C-Band. Remote Sens. 2018, 10, 831. [Google Scholar] [CrossRef]
- Omar, H.; Misman, M.; Kassim, A. Synergetic of PALSAR-2 and Sentinel-1A SAR Polarimetry for Retrieving Aboveground Biomass in Dipterocarp Forest of Malaysia. Appl. Sci. 2017, 7, 675. [Google Scholar] [CrossRef]
- Santoro, M.; Beer, C.; Cartus, O.; Schmullius, C.; Shvidenko, A.; McCallum, I.; Wegmüller, U.; Wiesmann, A. Retrieval of Growing Stock Volume in Boreal Forest Using Hyper-Temporal Series of Envisat ASAR ScanSAR Backscatter Measurements. Remote Sens. Environ. 2011, 115, 490–507. [Google Scholar] [CrossRef]
- Cartus, O.; Santoro, M.; Kellndorfer, J. Mapping Forest Aboveground Biomass in the Northeastern United States with ALOS PALSAR Dual-Polarization L-Band. Remote Sens. Environ. 2012, 124, 466–478. [Google Scholar] [CrossRef]
- Khati, U.; Lavalle, M.; Singh, G. The Role of Time-Series L-Band SAR and GEDI in Mapping Sub-Tropical Above-Ground Biomass. Front. Earth Sci. 2021, 9, 752254. [Google Scholar] [CrossRef]
- Santi, E.; Paloscia, S.; Pettinato, S.; Fontanelli, G.; Mura, M.; Zolli, C.; Maselli, F.; Chiesi, M.; Bottai, L.; Chirici, G. The Potential of Multifrequency SAR Images for Estimating Forest Biomass in Mediterranean Areas. Remote Sens. Environ. 2017, 200, 63–73. [Google Scholar] [CrossRef]
- Shao, Z.; Zhang, L.; Wang, L. Stacked Sparse Autoencoder Modeling Using the Synergy of Airborne LiDAR and Satellite Optical and SAR Data to Map Forest Above-Ground Biomass. IEEE J. Sel. Top. Appl. Earth Obs. Remote Sens. 2017, 10, 5569–5582. [Google Scholar] [CrossRef]
- Stelmaszczuk-Górska, M.A.; Urbazaev, M.; Schmullius, C.; Thiel, C. Estimation of Above-Ground Biomass over Boreal Forests in Siberia Using Updated In Situ, ALOS-2 PALSAR-2, and RADARSAT-2 Data. Remote Sens. 2018, 10, 1550. [Google Scholar] [CrossRef]
- Tanase, M.A.; Panciera, R.; Lowell, K.; Aponte, C.; Hacker, J.M.; Walker, J.P. Forest Biomass Estimation at High Spatial Resolution: Radar Versus Lidar Sensors. IEEE Geosci. Remote Sens. Lett. 2014, 11, 711–715. [Google Scholar] [CrossRef]
- Han, H.; Wan, R.; Li, B. Estimating Forest Aboveground Biomass Using Gaofen-1 Images, Sentinel-1 Images, and Machine Learning Algorithms: A Case Study of the Dabie Mountain Region, China. Remote Sens. 2021, 14, 176. [Google Scholar] [CrossRef]
- Hu, Y.; Nie, Y.; Liu, Z.; Wu, G.; Fan, W. Improving the Potential of Coniferous Forest Aboveground Biomass Estimation by Integrating C- and L-Band SAR Data with Feature Selection and Non-Parametric Model. Remote Sens. 2023, 15, 4194. [Google Scholar] [CrossRef]
- Ge, S.; Tomppo, E.; Rauste, Y.; McRoberts, R.E.; Praks, J.; Gu, H.; Su, W.; Antropov, O. Sentinel-1 Time Series for Predicting Growing Stock Volume of Boreal Forest: Multitemporal Analysis and Feature Selection. Remote Sens. 2023, 15, 3489. [Google Scholar] [CrossRef]
- Long, J.; Zheng, H.; Ye, Z.; Zhang, T.; Li, X. The Impacts of Phenological Stages within the Annual Cycle on Mapping Forest Stock Volume Using Multi-Band Dual-Polarization SAR Images in Boreal Forests. Forests 2024, 15, 1660. [Google Scholar] [CrossRef]
- Salazar Villegas, M.H.; Qasim, M.; Csaplovics, E.; González-Martinez, R.; Rodriguez-Buritica, S.; Ramos Abril, L.N.; Salazar Villegas, B. Examining the Potential of Sentinel Imagery and Ensemble Algorithms for Estimating Aboveground Biomass in a Tropical Dry Forest. Remote Sens. 2023, 15, 5086. [Google Scholar] [CrossRef]
- Shendryk, Y. Fusing GEDI with Earth Observation Data for Large Area Aboveground Biomass Mapping. Int. J. Appl. Earth Obs. Geoinf. 2022, 115, 103108. [Google Scholar] [CrossRef]
- Stelmaszczuk-Górska, M.; Rodriguez-Veiga, P.; Ackermann, N.; Thiel, C.; Balzter, H.; Schmullius, C. Non-Parametric Retrieval of Aboveground Biomass in Siberian Boreal Forests with ALOS PALSAR Interferometric Coherence and Backscatter Intensity. J. Imaging 2015, 2, 1. [Google Scholar] [CrossRef]
- Vafaei, S.; Soosani, J.; Adeli, K.; Fadaei, H.; Naghavi, H.; Pham, T.; Tien Bui, D. Improving Accuracy Estimation of Forest Aboveground Biomass Based on Incorporation of ALOS-2 PALSAR-2 and Sentinel-2A Imagery and Machine Learning: A Case Study of the Hyrcanian Forest Area (Iran). Remote Sens. 2018, 10, 172. [Google Scholar] [CrossRef]
- Wang, C.; Zhang, W.; Ji, Y.; Marino, A.; Li, C.; Wang, L.; Zhao, H.; Wang, M. Estimation of Aboveground Biomass for Different Forest Types Using Data from Sentinel-1, Sentinel-2, ALOS PALSAR-2, and GEDI. Forests 2024, 15, 215. [Google Scholar] [CrossRef]
- Ji, Y.; Xu, K.; Zeng, P.; Zhang, W. GA-SVR Algorithm for Improving Forest Above Ground Biomass Estimation Using SAR Data. IEEE J. Sel. Top. Appl. Earth Obs. Remote Sens. 2021, 14, 6585–6595. [Google Scholar] [CrossRef]
- Mitchard, E.T.A.; Saatchi, S.S.; Baccini, A.; Asner, G.P.; Goetz, S.J.; Harris, N.L.; Brown, S. Uncertainty in the Spatial Distribution of Tropical Forest Biomass: A Comparison of Pan-Tropical Maps. Carbon Balance Manag. 2013, 8, 10. [Google Scholar] [CrossRef]
- Avitabile, V.; Herold, M.; Heuvelink, G.B.M.; Lewis, S.L.; Phillips, O.L.; Asner, G.P.; Armston, J.; Ashton, P.S.; Banin, L.; Bayol, N.; et al. An Integrated Pan-Tropical Biomass Map Using Multiple Reference Datasets. Glob. Change Biol. 2016, 22, 1406–1420. [Google Scholar] [CrossRef]
- Santoro, M.; Beaudoin, A.; Beer, C.; Cartus, O.; Fransson, J.E.S.; Hall, R.J.; Pathe, C.; Schepaschenko, D.; Schmullius, C.; Shvidenko, A.; et al. Forest Growing Stock Volume of the Northern Hemisphere: Spatially Explicit Estimates for 2010 Derived from Envisat ASAR Data. Remote Sens. Environ. 2015, 168, 316–334. [Google Scholar] [CrossRef]
- Santoro, M.; Cartus, O.; Carvalhais, N.; Rozendaal, D.; Avitabilie, V.; Araza, A.; de Bruin, S.; Herold, M.; Quegan, S.; Rodríguez Veiga, P.; et al. The Global Forest Above-Ground Biomass Pool for 2010 Estimated from High-Resolution Satellite Observations. Earth Syst. Sci. Data 2021, 13, 3927–3950. [Google Scholar] [CrossRef]
- Santoro, M.; Cartus, O.; Quegan, S.; Kay, H.; Lucas, R.M.; Araza, A.; Herold, M.; Labrière, N.; Chave, J.; Rosenqvist, Å.; et al. Design and Performance of the Climate Change Initiative Biomass Global Retrieval Algorithm. Sci. Remote Sens. 2024, 10, 100169. [Google Scholar] [CrossRef]
- Askne, J.I.H.; Santoro, M. On the Estimation of Boreal Forest Biomass From TanDEM-X Data Without Training Samples. IEEE Geosci. Remote Sens. Lett. 2015, 12, 771–775. [Google Scholar] [CrossRef]
- Jenkins, J.C.; Chojnacky, D.C.; Heath, L.S.; Birdsey, R.A. National-Scale Biomass Estimators for United States Tree Species. For. Sci. 2003, 49, 12–35. [Google Scholar]
- Häme, T.; Salli, A.; Lahti, K. Estimation of Carbon Storage in Boreal Forests Using Remote Sensing Data. In The Finnish Research Program on Climate Change, Progress Report; Kanninen, M., Anttila, P., Eds.; Pilot Study; Academy of Finland: Helsinki, Finland, 1992; Volume 3, pp. 250–255. [Google Scholar]
- Shvidenko, A.; Schepaschenko, D.; Nilsson, S.; Bouloui, Y. Semi-Empirical Models for Assessing Biological Productivity of Northern Eurasian Forests. Ecol. Model. 2007, 204, 163–179. [Google Scholar] [CrossRef]
- Zianis, D.; Mencuccini, M. On Simplifying Allometric Analyses of Forest Biomass. For. Ecol. Manag. 2004, 187, 311–332. [Google Scholar] [CrossRef]
- Somogyi, Z.; Teobaldelli, M.; Federici, S.; Matteucci, G.; Pagliari, V.; Grassi, G.; Seufert, G. Allometric Biomass and Carbon Factors Database. iForest 2008, 1, 107–113. [Google Scholar]
- Houghton, R.A. Aboveground Forest Biomass and the Global Carbon Balance. Glob. Change Biol. 2005, 11, 945–958. [Google Scholar] [CrossRef]
- Avitabile, V.; Pilli, R.; Migliavacca, M.; Duveiller, G.; Camia, A.; Blujdea, V.; Adolt, R.; Alberdi, I.; Barreiro, S.; Bender, S.; et al. Harmonised Statistics and Maps of Forest Biomass and Increment in Europe. Sci. Data 2024, 11, 274. [Google Scholar] [CrossRef]
- Fahrland, E. Copernicus DEM Product Handbook; AIRBUS: Blagnac, France, 2022; Version 4.0. [Google Scholar]
- Wegmüller, U. Automated Terrain Corrected SAR Geocoding. In Proceedings of the IGARSS’99, Hamburg, Germany, 28 June–2 July 1999; IEEE Publications: Piscataway, NJ, USA, 1999; pp. 1712–1714. [Google Scholar]
- Frey, O.; Santoro, M.; Werner, C.L.; Wegmuller, U. DEM-Based SAR Pixel-Area Estimation for Enhanced Geocoding Refinement and Radiometric Normalization. IEEE Geosci. Remote Sens. Lett. 2013, 10, 48–52. [Google Scholar] [CrossRef]
- Quegan, S.; Le Toan, T.; Yu, J.J.; Ribbes, F.; Floury, N. Multitemporal ERS SAR Analysis Applied to Forest Mapping. IEEE Trans. Geosci. Remote Sens. 2000, 38, 741–753. [Google Scholar]
- Shimada, M.; Itoh, T.; Motooka, T.; Watanabe, M.; Shiraishi, T.; Thapa, R.; Lucas, R. New Global Forest/Non-Forest Maps from ALOS PALSAR Data (2007–2010). Remote Sens. Environ. 2014, 155, 13–31. [Google Scholar] [CrossRef]
- Shimada, M.; Ohtaki, T. Generating Large-Scale High-Quality SAR Mosaic Datasets: Application to PALSAR Data for Global Monitoring. IEEE J. Sel. Top. Appl. Earth Obs. Remote Sens. 2010, 3, 637–656. [Google Scholar]
- Oliver, C.; Quegan, S. Understanding Synthetic Aperture Radar Images; Artech House: Boston, MA, USA, 1998. [Google Scholar]
- Proisy, C.; Mougin, E.; Dufrêne, E.; Le Dantec, V. Monitoring Seasonal Changes of a Mixed Temperate Forest Using ERS SAR Observations. IEEE Trans. Geosci. Remote Sens. 2000, 38, 540–552. [Google Scholar] [CrossRef]
- Markus, T.; Neumann, T.; Martino, A.; Abdalati, W.; Brunt, K.; Csatho, B.; Farrell, S.; Fricker, H.; Gardner, A.; Harding, D.; et al. The Ice, Cloud, and Land Elevation Satellite-2 (ICESat-2): Science Requirements, Concept, and Implementation. Remote Sens. Environ. 2017, 190, 260–273. [Google Scholar] [CrossRef]
- Neuenschwander, A.; Pitts, K. The ATL08 Land and Vegetation Product for the ICESat-2 Mission. Remote Sens. Environ. 2019, 221, 247–259. [Google Scholar] [CrossRef]
- Askne, J.; Dammert, P.B.G.; Ulander, L.M.H.; Smith, G. C-Band Repeat-Pass Interferometric SAR Observations of the Forest. IEEE Trans. Geosci. Remote Sens. 1997, 35, 25–35. [Google Scholar] [CrossRef]
- Santoro, M.; Cartus, O.; Fransson, J.E.S. Integration of Allometric Equations in the Water Cloud Model towards an Improved Retrieval of Forest Stem Volume with L-Band SAR Data in Sweden. Remote Sens. Environ. 2021, 253, 112235. [Google Scholar] [CrossRef]
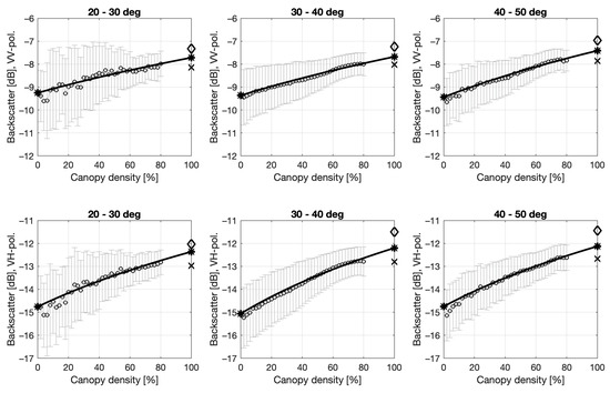
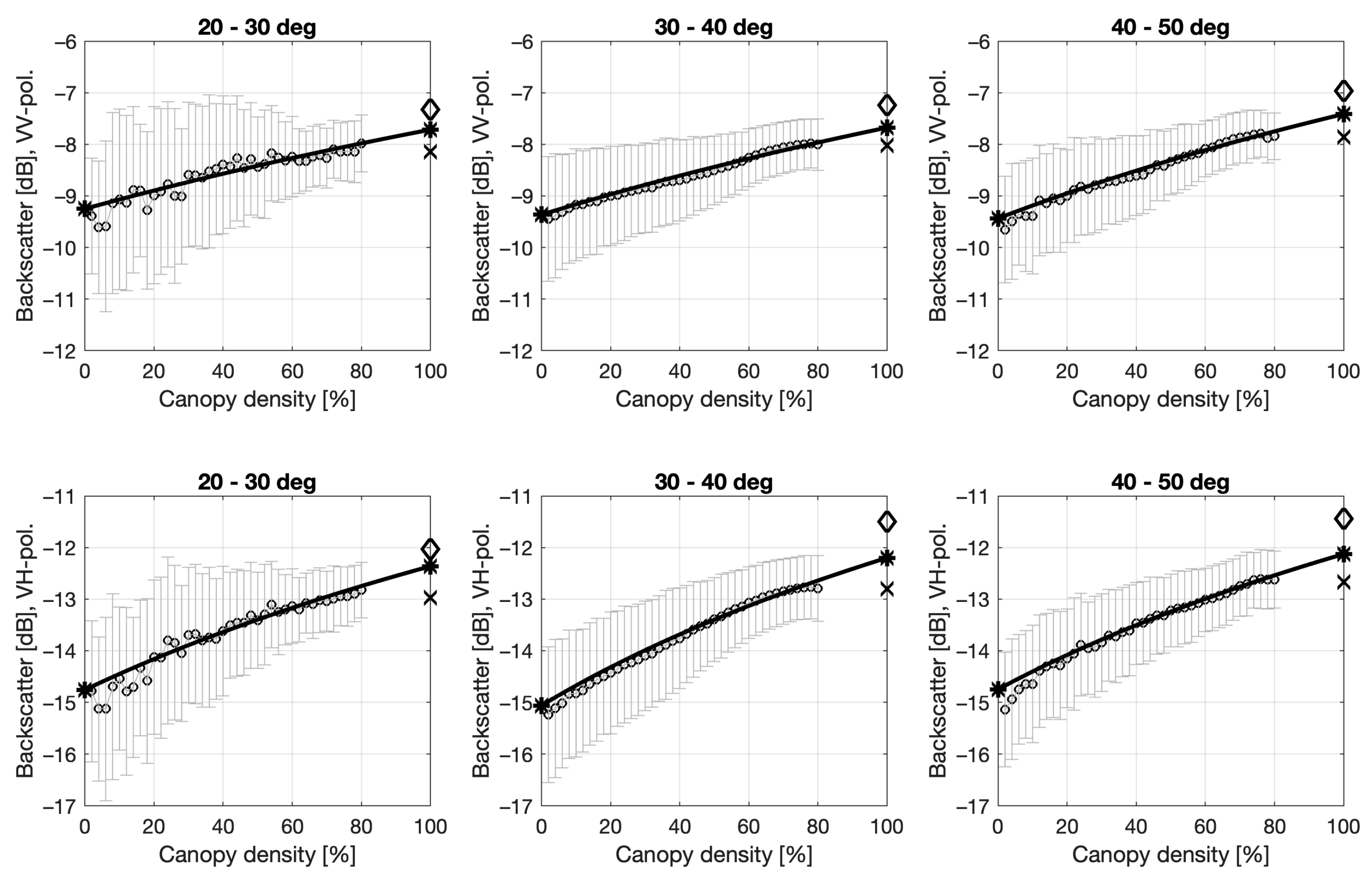
- Kay, H.; Santoro, M.; Cartus, O.; Bunting, P.; Lucas, R. Exploring the Relationship between Forest Canopy Height and Canopy Density from Spaceborne LiDAR Observations. Remote Sens. 2021, 13, 4961. [Google Scholar] [CrossRef]
- Santoro, M.; Cartus, O.; Wegmüller, U.; Besnard, S.; Carvalhais, N.; Araza, A.; Herold, M.; Liang, J.; Cavlovic, J.; Engdahl, M.E. Global Estimation of Above-Ground Biomass from Spaceborne C-Band Scatterometer Observations Aided by LiDAR Metrics of Vegetation Structure. Remote Sens. Environ. 2022, 279, 113114. [Google Scholar] [CrossRef]
- Dinerstein, E.; Olson, D.; Joshi, A.; Vynne, C.; Burgess, N.D.; Wikramanayake, E.; Hahn, N.; Palminteri, S.; Hedao, P.; Noss, R.; et al. An Ecoregion-Based Approach to Protecting Half the Terrestrial Realm. BioScience 2017, 67, 534–545. [Google Scholar] [CrossRef]
- Ballester-Berman, J.D. Reviewing the Role of the Extinction Coefficient in Radar Remote Sensing. arXiv 2020. [Google Scholar] [CrossRef]
- DiMiceli, C.M.; Carroll, M.L.; Sohlberg, R.A.; Huang, C.; Hansen, M.C.; Townshend, J.R.G. Annual Global Automated MODIS Vegetation Continuous Fields (MOD44B) at 250 m Spatial Resolution for Data Years Beginning Day 65, 2000–2010, Collection 5 Percent Tree Cover 2011; University of Maryland: College Park, MD, USA, 2011. [Google Scholar]
- Hansen, M.C.; Potapov, P.V.; Moore, R.; Hancher, M.; Turubanova, S.A.; Tyukavina, A.; Thau, D.; Stehman, S.V.; Goetz, S.J.; Loveland, T.R.; et al. High-Resolution Global Maps of 21-St Century Forest Cover Change. Science 2013, 342, 850–853. [Google Scholar] [CrossRef]
- Santoro, M.; Fransson, J.E.S.; Eriksson, L.E.B.; Magnusson, M.; Ulander, L.M.H.; Olsson, H. Signatures of ALOS PALSAR L-Band Backscatter in Swedish Forest. IEEE Trans. Geosci. Remote Sens. 2009, 47, 4001–4019. [Google Scholar] [CrossRef]
- Praks, J.; Antropov, O.; Hallikainen, M. LIDAR-Aided SAR Interferometry Studies in Boreal Forest: Scattering Phase Center and Extinction Coefficient at X- and L-Band. IEEE Trans. Geosci. Remote Sens. 2012, 50, 3831–3843. [Google Scholar] [CrossRef]
- Askne, J.; Santoro, M.; Smith, G.; Fransson, J.E.S. Multitemporal Repeat-Pass Sar Interferometry of Boreal Forests. IEEE Trans. Geosci. Remote Sens. 2003, 41, 1540–1550. [Google Scholar] [CrossRef]
- Hoekman, D.H.; Reiche, J. Multi-Model Radiometric Slope Correction of SAR Image of Complex Terrain Using a Two-Stage Semi-Empirical Approach. Remote Sens. Environ. 2015, 156, 1–10. [Google Scholar] [CrossRef]
- Rodríguez-Veiga, P.; Quegan, S.; Carreiras, J.; Persson, H.J.; Fransson, J.E.S.; Hoscilo, A.; Ziółkowski, D.; Stereńczak, K.; Lohberger, S.; Stängel, M.; et al. Forest Biomass Retrieval Approaches from Earth Observation in Different Biomes. Int. J. Appl. Earth Obs. Geoinf. 2019, 77, 53–68. [Google Scholar] [CrossRef]
- Čavlović, J. Prva Nacionalna Inventura Šuma u Republici Hrvatskoj. Šumarski Fakultet SVEUČILIŠTA u Zagrebu i MRRŠVG; First National Forest Inventory in Republic of Croatia (in Croatian). Ministry of Regional Development and Forestry & Faculty of Forestry: Zagreb, Croatia, 2010; p. 300. [Google Scholar]
- Čavlović, J.; Božić, M.; Teslak, K.; Vedriš, M. Chapter 15—Croatia. In National Forest Inventories—Assessment of Wood Availability and Use; Vidal, C., Alberdi, I., Hernandez, L., Redmond, J., Eds.; Springer International Publishing: Cham, Switzerland, 2015; pp. 281–305. ISBN 978-3-319-44015-6. [Google Scholar]
















| Site (Geographic Location) | Biome | Topography | Field Measurements | ||
|---|---|---|---|---|---|
| # Sample Plots | Year of Inventory | Ownership | |||
| Finland N | Boreal forests and taiga | Hilly | 1004 | 2018 | Public |
| Finland S | Boreal forests and taiga | Gently undulating | 1064 | 2018 | Public |
| Catalonia | Mediterranean woodlands, forests, and scrub | Hilly to mountainous | 663 | 2016 | Public |
| Romania | Temperate broadleaf and mixed forests | Hilly to mountainous | 1306 | 2019 | Private (Tornator Oyj) |
| Site | GSV (m3 ha−1) | ||
|---|---|---|---|
| Average | Quartiles (1, 2, 3) | Min/Max | |
| Finland N | 95 | 44/83/135 | 0/498 |
| Finland S | 157 | 47/129/233 | 0/751 |
| Catalonia | 108 | 55/92/144 | 1/480 |
| Romania | 418 | 204/379/582 | 0/1677 |
| Site | ENL | |||
|---|---|---|---|---|
| Sentinel-1 | ALOS-2 PALSAR-2 | |||
| VV | VH | HH | HV | |
| Finland N | 9 | 14 | 13 | 9 |
| Finland S | 6 | 13 | 8 | 7 |
| Catalonia | 4 | 7 | 8 | 9 |
| Romania | 4 | 11 | 8 | 9 |
| Site | Field Inventory | ICESat-2 | ||
|---|---|---|---|---|
| Height [m] | # Plots | Height [m] | # Segments | |
| Finland N | 23 | 1005 | 21 | 26,049 |
| Finland S | 35 | 1065 | 28 | 18,867 |
| Catalonia | 33 | 663 | 30 | 26,751 |
| Romania | 44 | 1306 | 42 | 10,900 |
| Site | VV | VH | ||||
|---|---|---|---|---|---|---|
| Mean | Min | Max | Mean | Min | Max | |
| Finland N | 0.50 | 0.38 | 0.73 | 0.52 | 0.42 | 0.65 |
| Finland S | 0.15 | −0.13 | 0.40 | 0.14 | −0.04 | 0.38 |
| Catalonia | 0.37 | 0.26 | 0.48 | 0.42 | 0.25 | 0.54 |
| Romania | 0.17 | 0.08 | 0.26 | 0.14 | 0.01 | 0.31 |
| Site | HH | HV | ||||
|---|---|---|---|---|---|---|
| Mean | Min | Max | Mean | Min | Max | |
| Finland N | 0.31 | 0.24 | 0.42 | 0.51 | 0.44 | 0.62 |
| Finland S | 0.42 | 0.29 | 0.54 | 0.48 | 0.36 | 0.60 |
| Catalonia | 0.21 | 0.17 | 0.25 | 0.35 | 0.34 | 0.39 |
| Romania | 0.15 | 0.13 | 0.20 | 0.23 | 0.19 | 0.25 |
| Site | Maximum GSV [m3/ha] | |
|---|---|---|
| Plot-Based | Modelled | |
| Finland N | 498 | 238 (96th) |
| Finland S | 751 | 395 (94th) |
| Catalonia | 480 | 504 (100th) |
| Romania | 1677 | 1295 (99th) |
Disclaimer/Publisher’s Note: The statements, opinions and data contained in all publications are solely those of the individual author(s) and contributor(s) and not of MDPI and/or the editor(s). MDPI and/or the editor(s) disclaim responsibility for any injury to people or property resulting from any ideas, methods, instructions or products referred to in the content. |
© 2024 by the authors. Licensee MDPI, Basel, Switzerland. This article is an open access article distributed under the terms and conditions of the Creative Commons Attribution (CC BY) license (https://creativecommons.org/licenses/by/4.0/).
Share and Cite
Santoro, M.; Cartus, O.; Antropov, O.; Miettinen, J. Estimation of Forest Growing Stock Volume with Synthetic Aperture Radar: A Comparison of Model-Fitting Methods. Remote Sens. 2024, 16, 4079. https://doi.org/10.3390/rs16214079
Santoro M, Cartus O, Antropov O, Miettinen J. Estimation of Forest Growing Stock Volume with Synthetic Aperture Radar: A Comparison of Model-Fitting Methods. Remote Sensing. 2024; 16(21):4079. https://doi.org/10.3390/rs16214079
Chicago/Turabian StyleSantoro, Maurizio, Oliver Cartus, Oleg Antropov, and Jukka Miettinen. 2024. "Estimation of Forest Growing Stock Volume with Synthetic Aperture Radar: A Comparison of Model-Fitting Methods" Remote Sensing 16, no. 21: 4079. https://doi.org/10.3390/rs16214079
APA StyleSantoro, M., Cartus, O., Antropov, O., & Miettinen, J. (2024). Estimation of Forest Growing Stock Volume with Synthetic Aperture Radar: A Comparison of Model-Fitting Methods. Remote Sensing, 16(21), 4079. https://doi.org/10.3390/rs16214079

