Investigating the Role of Cover-Crop Spectra for Vineyard Monitoring from Airborne and Spaceborne Remote Sensing
Abstract
1. Introduction
Precision Viticulture
2. Methodologies
2.1. Study Site and Sampling Design
2.2. Remote Sensing Data Collection
2.2.1. UAV Image Acquisition
2.2.2. Sentinel-2 Data Download
2.3. Image Processing and Analysis
2.4. Grape Quality Assessment
3. Results
3.1. Sentinel-2 and UAV Imagery
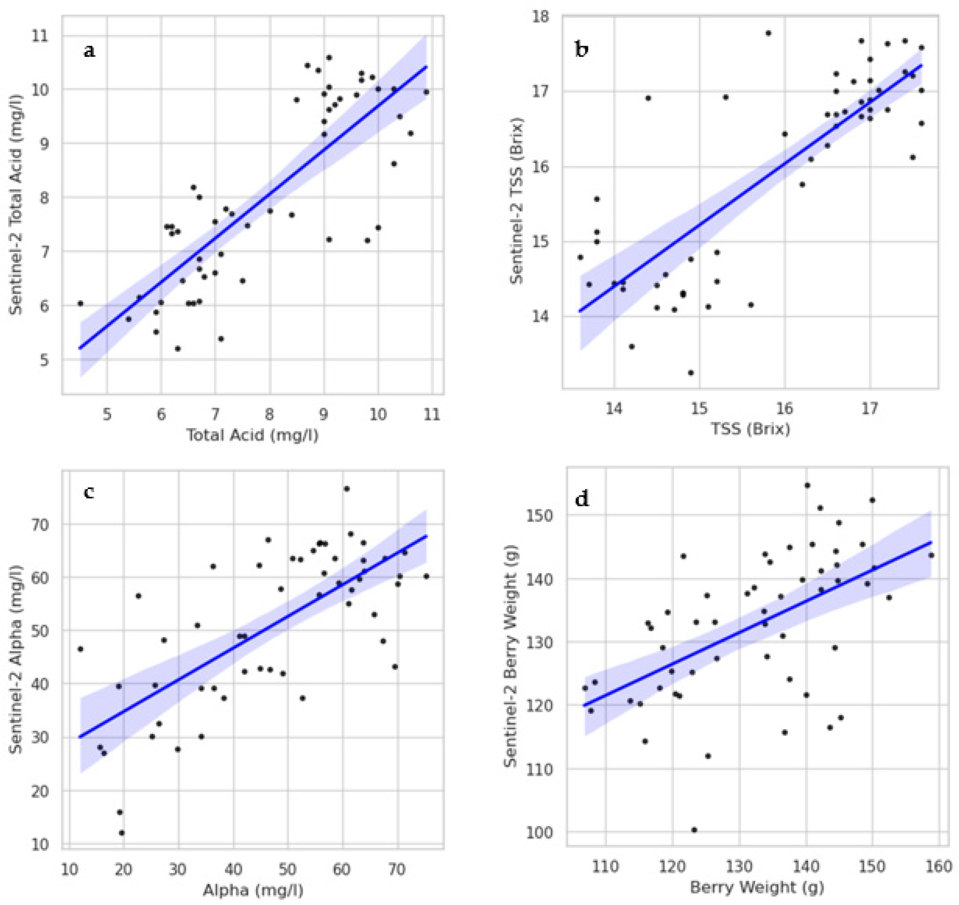
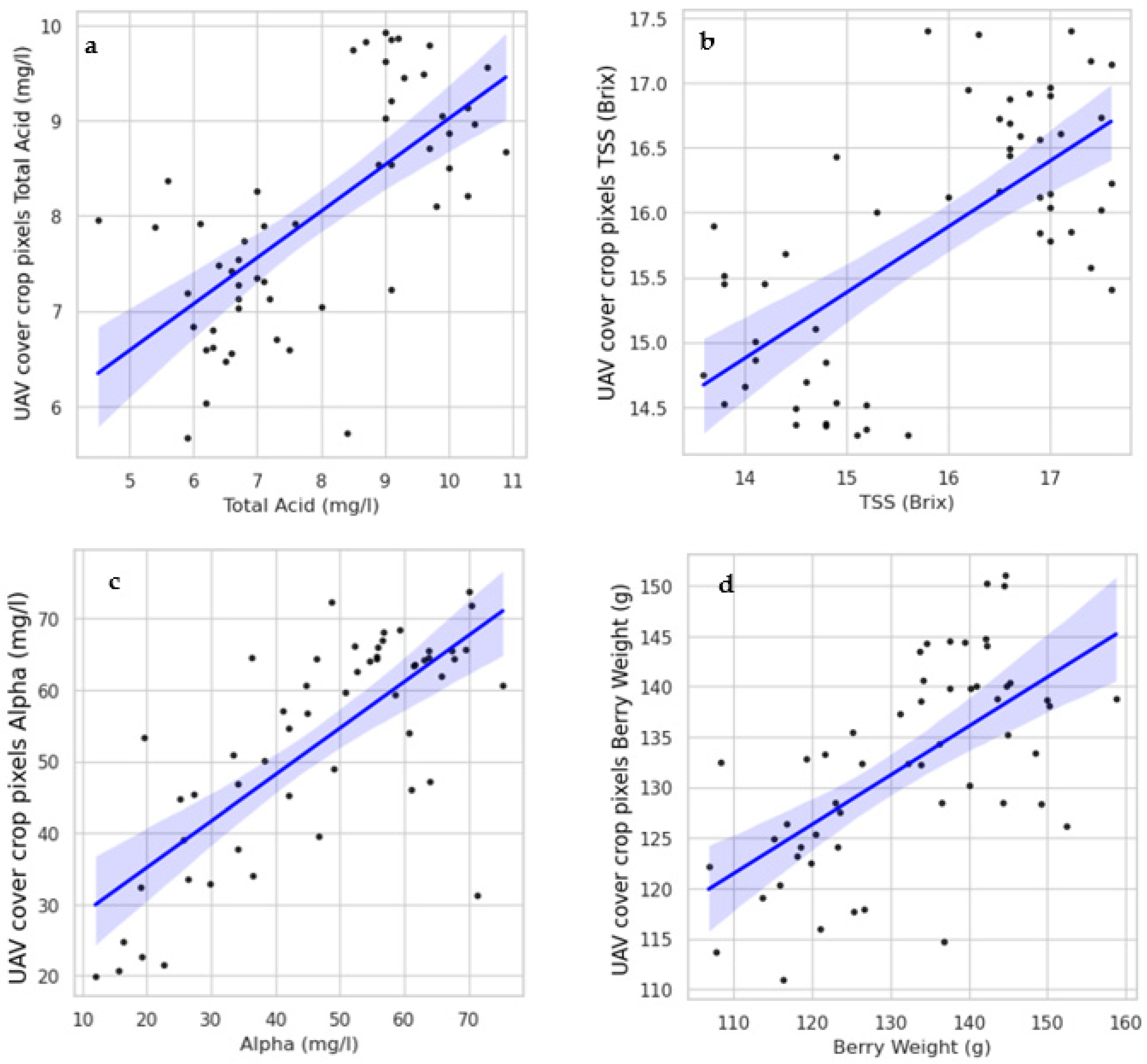
3.2. Airborne Remote Sensing for Identifying Grape Yield and Quality Variation

| Total Acid (mg/L) | Alpha (mg/L) | TSS (Brix) | Berry Weight (g) | |
|---|---|---|---|---|
| R2 | 0.60 | 0.44 | 0.60 | 0.18 |
| MAE | 0.81 | 10.02 | 0.59 | 9.18 |
| MSE | 1.02 | 12.85 | 0.81 | 11.51 |

| Total Acid (mg/L) | Alpha (mg/L) | TSS (Brix) | Berry Weight (g) | |
|---|---|---|---|---|
| R2 | 0.67 | 0.58 | 0.58 | 0.32 |
| MAE | 0.73 | 8.29 | 0.50 | 8.22 |
| RMSE | 0.93 | 11.09 | 0.68 | 10.35 |

| Total Acid (mg/L) | Alpha (mg/L) | TSS (Brix) | Berry Weight (g) | |
|---|---|---|---|---|
| R2 | 0.45 | 0.43 | 0.45 | 0.37 |
| MAE | 0.93 | 10.02 | 0.76 | 8.10 |
| RMSE | 1.21 | 13.00 | 0.95 | 10.09 |
3.3. The Spectral Similarity Between UAV and Sentinel-2 Acquired Data
4. Discussion
4.1. Grape Quality Modelling Using Cover Crops and Machine Learning
4.2. The Influence of Cover-Crop Spectra within Sentinel-2 Imagery
4.3. Limitations and Recommendations
5. Conclusions
Author Contributions
Funding
Data Availability Statement
Acknowledgments
Conflicts of Interest
References
- Fernández-Novales, J.; Saiz-Rubio, V.; Barrio, I.; Rovira-Más, F.; Cuenca-Cuenca, A.; Santos Alves, F.; Valente, J.; Tardaguila, J.; Diago, M.P. Monitoring and mapping vineyard water status using non-invasive technologies by a ground robot. Remote Sens. 2021, 13, 1828. [Google Scholar] [CrossRef]
- Di Gennaro, S.F.; Matese, A.; Gioli, B.; Toscano, P.; Zaldei, A.; Genesio, L. A low-cost and unsupervised image recognition methodology for yield estimation in a vineyard. Front. Plant Sci. 2019, 10, 559. [Google Scholar] [CrossRef] [PubMed]
- Zarco-Tejada, P.J.; Berjón, A.; López-Lozano, R.; Miller, J.R.; Martín, P.; Cachorro, V.; González, M.R.; De Frutos, A. Assessing vineyard condition with hyperspectral indices: Leaf and canopy reflectance simulation in a row-structured discontinuous canopy. Remote Sens. Environ. 2005, 99, 271–287. [Google Scholar] [CrossRef]
- Matese, A.; Di Gennaro, S.F.; Genova, G.; Orlandini, S.; Valentini, R. Intercomparison of UAV, aircraft, and satellite remote sensing platforms for precision viticulture. Remote Sens. 2015, 7, 2971–2990. [Google Scholar] [CrossRef]
- Khaliq, A.; Comba, L.; Biglia, A.; Ricauda Aimonino, D.; Tortia, C.; Gay, P. Comparison of satellite and UAV-based multispectral imagery for vineyard variability assessment. Remote Sens. 2019, 11, 436. [Google Scholar] [CrossRef]
- Kasimati, A.; Kotsopoulos, S.; Ntanos, S. Investigating a selection of methods for the prediction of total soluble solids among wine grape quality characteristics using normalized difference vegetation index data from proximal and remote sensing. Front. Plant Sci. 2021, 12, 627974. [Google Scholar] [CrossRef]
- Caspari, H.; Neal, S.; Naylor, A. Cover crop management in vineyards to enhance deficit irrigation in a humid climate. II Int. Symp. Irrig. Hortic. Crops 1996, 449, 313–320. [Google Scholar] [CrossRef]
- Afonso, J.; Monteiro, A.; Lopes, C.; Lourenço, J. Enrelvamento do solo em vinha na região dos vinhos verdes. Três anos de estudo na casta ‘Alvarinho’. Ciência Técnica Vitivinícola 2003, 18, 47–63. Available online: https://www.passeidireto.com/arquivo/145793470/enrelvamento-do-solo-em-vinha-na-regiao-dos-vinhos-verdes-tres-anos-de-estudo-na (accessed on 25 October 2023).
- Chan, K.Y.; Fahey, D.J.; Nandra, H.S. Using composted mulch in vineyards—Effects on grape yield and quality. Int. J. Fruit Sci. 2010, 10, 441–453. [Google Scholar] [CrossRef]
- Weste, N.; Harris, D. CMOS VLSI Design: A Circuits and Systems Perspective, 3rd ed.; Pearson/Addison-Wesley: Boston, MA, USA, 2004. [Google Scholar]
- Sensefly. Parrot Sequoia 2004, Multispectral Camera. Sensefly. 2022. Available online: https://www.parrot.com/uk/support/documentation/sequoia (accessed on 3 May 2022).
- Franklin, S.E.; Ahmed, O.S.; Williams, G. Northern conifer forest species classification using multispectral data acquired from an unmanned aerial vehicle. Photogramm. Eng. Remote Sens. 2017, 83, 501–507. [Google Scholar] [CrossRef]
- Franzini, M.; Dubbini, M.; Zani, D.; Gattelli, M. Geometric and radiometric consistency of Parrot Sequoia multispectral imagery for precision agriculture applications. Appl. Sci. 2019, 9, 5490. [Google Scholar] [CrossRef]
- Negash, L.; Kim, H.-Y.; Choi, H.-L. Emerging UAV applications in agriculture. In Proceedings of the 2019 7th International Conference on Robot Intelligence Technology and Applications (RiTA), Daejeon, Republic of Korea, 1–3 November 2019; IEEE: Piscataway, NJ, USA, 2019; pp. 175–180. [Google Scholar] [CrossRef]
- Pix4D. Pix4Dmapper User Manual (Revision 4.1); Pix4D. 2017. Available online: https://support.pix4d.com/hc/en-us/articles/205751415 (accessed on 25 October 2023).
- Hardy, P.J. Metabolism of sugars and organic acids in immature grape berries. Plant Physiol. 1968, 43, 224–228. [Google Scholar] [CrossRef] [PubMed]
- van Leeuwen, C.; Destrac Irvine, A. Modified grape composition under climate change conditions requires adaptations in the vineyard. OENO One 2017, 51, 147–154. [Google Scholar] [CrossRef]
- Huete, A.R. A soil-adjusted vegetation index (SAVI). Remote Sens. Environ. 1988, 25, 295–309. [Google Scholar] [CrossRef]
- Chen, T.; Guestrin, C. XGBoost: A scalable tree boosting system. In Proceedings of the 22nd ACM SIGKDD International Conference on Knowledge Discovery and Data Mining, San Francisco, CA, USA, 13–17 August 2016; Association for Computing Machinery: New York, NY, USA, 2016; pp. 785–794. [Google Scholar] [CrossRef]
- Buitinck, L.; Louppe, G.; Blondel, M.; Pedregosa, F.; Mueller, A.; Grisel, O.; Niculae, V.; Prettenhofer, P.; Gramfort, A.; Grobler, J.; et al. API design for machine learning software: Experiences from the scikit-learn project. arXiv 2013, arXiv:1309.0238. [Google Scholar]
- Wang, Z.; Bovik, A.C.; Sheikh, H.R.; Simoncelli, E.P. Image quality assessment: From error visibility to structural similarity. IEEE Trans. Image Process. 2004, 13, 600–612. [Google Scholar] [CrossRef]
- Scikit-Image (nd). SSIM. Structural Similarity Index—Skimage 0.24.0 Documentation. Available online: https://scikit-image.org/docs/stable/api/skimage.metrics.html#skimage.metrics.structural_similarity (accessed on 16 November 2023).
- Foss. OenoFoss. Foss Analytics. 2022. Available online: https://www.fossanalytics.com/en/products/oenofoss (accessed on 22 January 2023).
- Tsegay, Z.T. Total titratable acidity and organic acids of wines produced from cactus pear (Opuntia-ficus-indica) fruit and Lantana camara (L. camara) fruit blended fermentation process employed response surface optimization. Food Sci. Nutr. 2020, 8, 4449–4462. [Google Scholar] [CrossRef]
- Urraca, R.; Sanz-García, A.; Tardaguila, J.; Diago, M.P. Estimation of total soluble solids in grape berries using a hand-held NIR spectrometer under field conditions. J. Sci. Food Agric. 2016, 96, 3007–3016. [Google Scholar] [CrossRef]
- Fairbairn, S.; McKinnon, A.; Musarurwa, H.T.; Ferreira, A.C.; Bauer, F.F. The impact of single amino acids on growth and volatile aroma production by Saccharomyces cerevisiae strains. Front. Microbiol. 2017, 8, 2554. [Google Scholar] [CrossRef]
- Usseglio-Tomasset, L. Chimica Enologica; HOEPLI: Milan, Italy, 1995. [Google Scholar]
- Margalit, Y. Concepts in Wine Chemistry (Rev. ed.); Ringgold Inc.: Bristol, UK, 2005. [Google Scholar]
- Boulton, R.B.; Singleton, V.L.; Bisson, L.F.; Kunkee, R.E. Principles and Practices of Winemaking; Springer Science & Business Media: Berlin/Heidelberg, Germany, 2013. [Google Scholar]
- Vilela, A. Use of nonconventional yeasts for modulating wine acidity. Fermentation 2019, 5, 27. [Google Scholar] [CrossRef]
- Trimble, S. Brix as a Metric of Fruit Maturity. Felix Instruments. 2022. Available online: https://felixinstruments.com/blog/brix-as-a-metric-of-fruit-maturity/ (accessed on 5 April 2019).
- Koone, R.; Harrington, R.J.; Gozzi, M.; McCarthy, M. The role of acidity, sweetness, tannin and consumer knowledge on wine and food match perceptions. J. Wine Res. 2014, 25, 158–174. [Google Scholar] [CrossRef]
- Naylor, R.E.L.; Lutman, P.J.W. What is a weed. Weed Res. 2007, 47, 375–383. [Google Scholar] [CrossRef]
- Pérez-Álvarez, E.; Garde-Cerdan, T.; Santamaría, P.; García-Escudero, E.; Peregrina, F. Influence of two different cover crops on soil N availability, N nutritional status and grape yeast assimilable N (YAN) in a Cv. Tempranillo vineyard. Plant Soil 2015, 390, 143–156. [Google Scholar] [CrossRef]
- Chou, M.-Y.; van Heuvel, J.; Bell, T.H.; Panke-Buisse, K.; Kao-Kniffin, J. Vineyard under-vine floor management alters soil microbial composition, while the fruit microbiome shows no corresponding shifts. Sci. Rep. 2018, 8, 11039. [Google Scholar] [CrossRef]
- Wheeler, S.J.; Black, A.; Pickering, G. Vineyard floor management improves wine quality in highly vigorous Vitis vinifera ‘Cabernet Sauvignon’ in New Zealand. N. Z. J. Crop Hortic. Sci. 2005, 33, 117–128. [Google Scholar] [CrossRef]
- Bokulich, N.A.; Thorngate, J.H.; Richardson, P.M.; Mills, D.A. Microbial biogeography of wine grapes is conditioned by cultivar, vintage, and climate. Proc. Natl. Acad. Sci. USA 2014, 111, E139–E148. [Google Scholar] [CrossRef]
- Trigo-Córdoba, E.; Bouzas-Cid, Y.; Orriols, I.; Diaz-Losada, E. Influence of cover crop treatments on the performance of a vineyard in a humid region. Span. J. Agric. Res. 2015, 13, e0907. [Google Scholar] [CrossRef]
- Bouzas-Cid, Y.; Díaz-Losada, E.; Trigo-Córdoba, E.; Orriols, I. Effect of vegetal ground cover crops on wine anthocyanin content. Sci. Hortic. 2016, 211, 399–404. [Google Scholar] [CrossRef]
- Pérez-Expósito, J.P.; Fernández-Caramés, T.M.; Fraga-Lamas, P.; Castedo, L. VineSens: An eco-smart decision-support viticulture system. Sensors 2017, 17, 465. [Google Scholar] [CrossRef]
- Sozzi, M.; Kayad, A.; Marinello, F.; Taylor, J.; Tisseyre, B. Comparing vineyard imagery acquired from Sentinel-2 and unmanned aerial vehicle (UAV) platform. OENO One 2020, 54, 189–197. [Google Scholar] [CrossRef]
- Lamb, D.W.; Bramley, R.G.V.; Hall, A. Precision Viticulture—An Australian Perspective; International Society for Horticultural Science (ISHS): Leuven, Belgium, 2004. [Google Scholar] [CrossRef]
- Cunha, M.; Marçal, A.R.S.; Silva, L. Very early prediction of wine yield based on satellite data from VEGETATION. Int. J. Remote Sens. 2010, 31, 3125–3142. [Google Scholar] [CrossRef]







| VI | Formula/Bandwidth | |
|---|---|---|
| Sequoia | Sentinel-2a | |
| Red | 660 nm + −40 nm | 664.6 + −15.5 nm |
| Green | 550 nm + −40 nm | 559.8 + −18 nm |
| NIR | 790 nm + −40 nm | 832.8 + −53 nm |
| NDVI | ||
| GNDVI | ||
| EVI2 | ||
| Number of estimators | 1000 | 1500 | 2000 |
| Minimum child weight | 0.5 | 1 | 3 |
| Max depth | 6 | 8 | 10 |
| Learning rate | 0.2 | 0.5 | 1 |
| Subsampling column ratio | 0.3 | 0.5 | 0.8 |
Disclaimer/Publisher’s Note: The statements, opinions and data contained in all publications are solely those of the individual author(s) and contributor(s) and not of MDPI and/or the editor(s). MDPI and/or the editor(s) disclaim responsibility for any injury to people or property resulting from any ideas, methods, instructions or products referred to in the content. |
© 2024 by the authors. Licensee MDPI, Basel, Switzerland. This article is an open access article distributed under the terms and conditions of the Creative Commons Attribution (CC BY) license (https://creativecommons.org/licenses/by/4.0/).
Share and Cite
Williams, M.; Burnside, N.G.; Brolly, M.; Joyce, C.B. Investigating the Role of Cover-Crop Spectra for Vineyard Monitoring from Airborne and Spaceborne Remote Sensing. Remote Sens. 2024, 16, 3942. https://doi.org/10.3390/rs16213942
Williams M, Burnside NG, Brolly M, Joyce CB. Investigating the Role of Cover-Crop Spectra for Vineyard Monitoring from Airborne and Spaceborne Remote Sensing. Remote Sensing. 2024; 16(21):3942. https://doi.org/10.3390/rs16213942
Chicago/Turabian StyleWilliams, Michael, Niall G. Burnside, Matthew Brolly, and Chris B. Joyce. 2024. "Investigating the Role of Cover-Crop Spectra for Vineyard Monitoring from Airborne and Spaceborne Remote Sensing" Remote Sensing 16, no. 21: 3942. https://doi.org/10.3390/rs16213942
APA StyleWilliams, M., Burnside, N. G., Brolly, M., & Joyce, C. B. (2024). Investigating the Role of Cover-Crop Spectra for Vineyard Monitoring from Airborne and Spaceborne Remote Sensing. Remote Sensing, 16(21), 3942. https://doi.org/10.3390/rs16213942

