Quantifying Annual Glacier Mass Change and Its Influence on the Runoff of the Tuotuo River
Abstract
1. Introduction
2. Study Area
3. Data and Method
3.1. Annual Minimum Regional-Average Surface Albedo Extraction
3.2. Annual Glacier Mass Balance Estimation and Error Analysis
3.3. Annual River Runoff Calculation
3.4. Annual Basin-Wide Precipitation and Evaporation Calculation
4. Results
4.1. Temporal and Spatial Variation of the AMRSAs
4.2. Annual Glacier Mass Balances
4.3. Runoff of the Tuotuo River
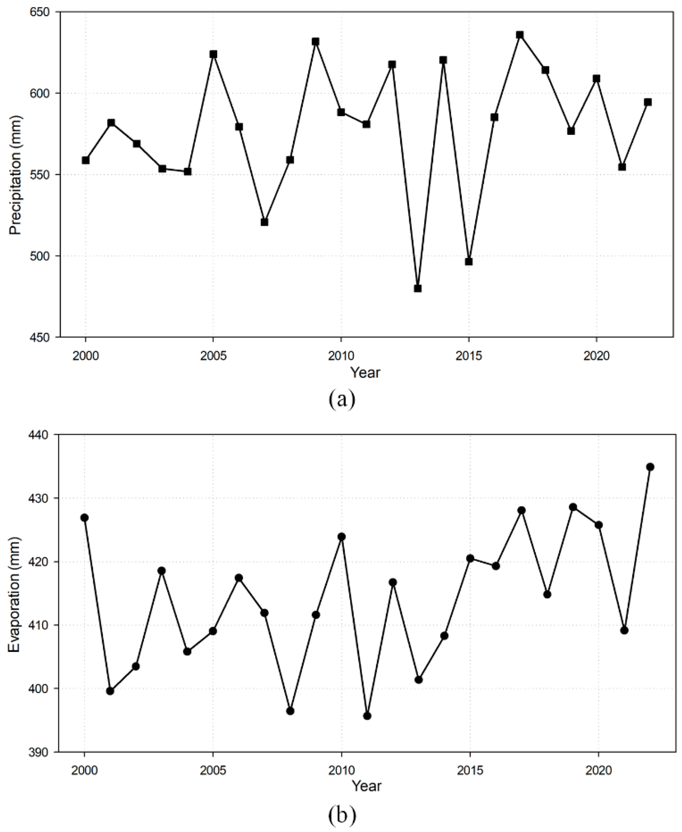
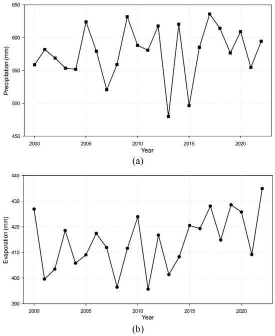
4.4. Temporal Variations of Precipitation and Evaporation
5. Discussion
5.1. Influence of Glacier Mass Change on River Runoff
5.2. Influence of Climatic Change on River Runoff
6. Conclusions
Author Contributions
Funding
Data Availability Statement
Acknowledgments
Conflicts of Interest
References
- Pritchard, H.D. Asia’s shrinking glaciers protect large populations from drought stress. Nature 2019, 569, 649–654. [Google Scholar] [CrossRef] [PubMed]
- Yao, T.D.; Bolch, T.; Chen, D.L.; Gao, J.; Immerzeel, W.; Piao, S.L.; Su, F.G.; Thompson, L.; Wada, Y.; Wang, L.; et al. The imbalance of the Asian water tower. Nat. Rev. Earth Environ. 2022, 3, 618–632. [Google Scholar] [CrossRef]
- Brun, F.; Berthier, E.; Wagnon, P.; Kääb, A.; Treichler, D. A spatially resolved estimate of High Mountain Asia glacier mass balances from 2000 to 2016. Nat. Geosci. 2017, 10, 668–673. [Google Scholar] [CrossRef]
- Hugonnet, R.; McNabb, R.; Berthier, E.; Menounos, B.; Nuth, C.; Girod, L.; Farinotti, D.; Huss, M.; Dussaillant, I.; Brun, F.; et al. Accelerated global glacier mass loss in the early twenty-first century. Nature 2021, 592, 726–731. [Google Scholar] [CrossRef] [PubMed]
- Rounce, D.R.; Hock, R.; Maussion, F.; Hugonnet, R.; Kochtitzky, W.; Huss, M.; Berthier, E.; Brinkerhoff, D.; Compagno, L.; Copland, L.; et al. Global glacier change in the 21st century: Every increase in temperature matters. Science 2023, 379, 78–83. [Google Scholar] [CrossRef]
- Shean, D.E.; Bhushan, S.; Montesano, P.; Rounce, D.R.; Arendt, A.; Osmanoglu, B. A systematic, regional assessment of High Mountain Asia glacier mass balance. Front. Earth Sci. 2020, 7, 363. [Google Scholar] [CrossRef]
- Yao, T.D.; Thompson, L.; Yang, W.; Yu, W.S.; Gao, Y.; Guo, X.J.; Yang, X.X.; Duan, K.Q.; Zhao, H.B.; Xu, B.Q.; et al. Different glacier status with atmospheric circulations in Tibetan Plateau and surroundings. Nat. Clim. Chang. 2012, 2, 663–667. [Google Scholar] [CrossRef]
- Liu, L.; Jiang, L.M.; Zhang, Z.M.; Wang, H.S.; Ding, X. Recent accelerating glacier mass loss of the Geladandong Mountain, inner Tibetan Plateau, estimated from ZiYuan-3 and TanDEM-X measurements. Remote Sens. 2020, 12, 472. [Google Scholar] [CrossRef]
- Liu, L.; Jiang, L.M.; Jiang, H.J.; Wang, H.S.; Ma, N.; Xu, H.Z. Accelerated glacier mass loss (2011-2016) over the Puruogangri ice field in the inner Tibetan Plateau revealed by bistatic InSAR measurements. Remote Sens. Environ. 2019, 231, 111241. [Google Scholar] [CrossRef]
- Wu, K.; Liu, S.; Jiang, Z.; Xu, J.; Wei, J.; Guo, W. Recent glacier mass balance and area changes in the Kangri Karpo Mountains from DEMs and glacier inventories. Cryosphere 2018, 12, 103–121. [Google Scholar] [CrossRef]
- Lambrecht, A.; Mayer, C.; Wendt, A.; Floricioiu, D.; Völksen, C. Elevation change of Fedchenko Glacier, Pamir Mountains, from GNSS field measurements and TanDEM-X elevation models, with a focus on the upper glacier. J. Glaciol. 2018, 64, 1–12. [Google Scholar] [CrossRef]
- Liu, L.; Jiang, L.M.; Wang, H.S.; Ding, X.L.; Xu, H.Z. Estimation of glacier mass loss and its contribution to river runoff in the source region of the Yangtze River during 2000-2018. J. Hydrol. 2020, 589, 125207. [Google Scholar] [CrossRef]
- WGMS. Fluctuations of Glaciers Database; World Glacier Monitoring Service (WGMS): Zurich, Switzerland, 2024. [Google Scholar]
- Wang, H.S.; Jia, L.L.; Steffen, H.; Wu, P.; Jiang, L.M.; Hsu, H.; Xiang, L.W.; Wang, Z.Y.; Hu, B. Increased water storage in North America and Scandinavia from GRACE gravity data. Nat. Geosci. 2013, 6, 38–42. [Google Scholar] [CrossRef]
- Xiang, L.W.; Wang, H.S.; Steffen, H.; Wu, P.; Jia, L.L.; Jiang, L.M.; Shen, Q. Groundwater storage changes in the Tibetan Plateau and adjacent areas revealed from GRACE satellite gravity data. Earth Planet. Sci. Lett. 2016, 449, 228–239. [Google Scholar] [CrossRef]
- Beraud, L.; Cusicanqui, D.; Rabatel, A.; Brun, F.; Vincent, C.; Six, D. Glacier-wide seasonal and annual geodetic mass balances from Pléiades stereo images: Application to the Glacier d’Argentière, French Alps. J. Glaciol. 2023, 69, 525–537. [Google Scholar] [CrossRef]
- Falaschi, D.; Bhattacharya, A.; Guillet, G.; Huang, L.; King, O.; Mukherjee, K.; Rastner, P.; Yao, T.D.; Bolch, T. Annual to seasonal glacier mass balance in High Mountain Asia derived from Pléiades stereo images: Examples from the Pamir and the Tibetan Plateau. Cryosphere 2023, 17, 5435–5458. [Google Scholar] [CrossRef]
- Gardelle, J.; Berthier, E.; Arnaud, Y. Impact of resolution and radar penetration on glacier elevation changes computed from DEM differencing. J. Glaciol. 2012, 58, 419–422. [Google Scholar] [CrossRef]
- Liang, X.Z.; Xu, M.; Gao, W.; Kunkel, K.; Slusser, J.; Dai, Y.J.; Min, Q.L.; Houser, P.R.; Rodell, M.; Schaaf, C.B.; et al. Development of land surface albedo parameterization based on Moderate Resolution Imaging Spectroradiometer (MODIS) data. J. Geophys. Res. 2005, 110, D11107. [Google Scholar] [CrossRef]
- Wang, D.D.; Liang, S.L.; He, T.; Yu, Y.Y.; Schaaf, C.; Wang, Z.S. Estimating daily mean land surface albedo from MODIS data. J. Geophys. Res. 2015, 120, 4825–4841. [Google Scholar] [CrossRef]
- Huintjes, E.; Neckel, N.; Hochschild, V.; Schneider, C. Surface energy and mass balance at Purogangri ice cap, central Tibetan Plateau, 2001–2011. J. Glaciol. 2015, 61, 1048–1060. [Google Scholar] [CrossRef]
- Li, S.H.; Yao, T.D.; Yang, W.; Yu, W.S.; Zhu, M.L. Glacier energy and mass balance in the Inland Tibetan Plateau: Seasonal and interannual variability in relation to atmospheric changes. J. Geophys. Res. 2018, 123, 6390–6409. [Google Scholar] [CrossRef]
- Brun, F.; Dumont, M.; Wagnon, P.; Berthier, E.; Azam, M.F.; Shea, J.M.; Sirguey, P.; Rabatel, A.; Ramanathan, A. Seasonal changes in surface albedo of Himalayan glaciers from MODIS data and links with the annual mass balance. Cryosphere 2015, 9, 341–355. [Google Scholar] [CrossRef]
- Dumont, M.; Gardelle, J.; Sirguey, P.; Guillot, A.; Six, D.; Rabatel, A.; Arnaud, Y. Linking glacier annual mass balance and glacier albedo retrieved from MODIS data. Cryosphere 2012, 6, 1527–1539. [Google Scholar] [CrossRef]
- Williamson, S.N.; Copland, L.; Thomson, L.; Burgess, D. Comparing simple albedo scaling methods for estimating Arctic glacier mass balance. Remote Sens. Environ. 2020, 246, 111858. [Google Scholar] [CrossRef]
- Zhang, Z.M.; Jiang, L.M.; Liu, L.; Sun, Y.F.; Wang, H.S. Annual glacier-wide mass balance (2000–2016) of the interior Tibetan Plateau reconstructed from MODIS albedo products. Remote Sens. 2018, 10, 1031. [Google Scholar] [CrossRef]
- Huang, M.H. On the temperature distribution of glaciers in China. J. Glaciol. 1990, 36, 210–216. [Google Scholar]
- Guo, W.Q.; Liu, S.Y.; Xu, J.L.; Wu, L.Z.; Shangguan, D.H.; Yao, X.J.; Wei, J.F.; Bao, W.J.; Yu, P.C.; Liu, Q.; et al. The second Chinese glacier inventory: Data, methods and results. J. Glaciol. 2015, 61, 357–372. [Google Scholar] [CrossRef]
- Yang, Z.C.; Duan, S.B.; Dai, X.A.; Sun, Y.W.; Liu, M. Mapping of lakes in the Qinghai-Tibet Plateau from 2016 to 2021: Trend and potential regularity. Int. J. Digit. Earth 2022, 15, 1692–1714. [Google Scholar] [CrossRef]
- Bing, L.F.; Shao, Q.Q.; Liu, J.Y. Runoff characteristics in flood and dry seasons based on wavelet analysis in the source regions of the Yangtze and Yellow rivers. J. Geogr. Sci. 2012, 22, 261–272. [Google Scholar] [CrossRef]
- Luo, Y.; Qin, N.S.; Zhou, B.; Li, J.J.; Wang, C.X.; Liu, J.; Pang, Y.S. Runoff characteristics and hysteresis to precipitation in Tuotuo River Basin in source region of Yangtze River during 1961-2011. Bull. Soil Water Conserv. 2019, 39, 22–28. [Google Scholar]
- Gardner, A.S.; Sharp, M.J. A review of snow and ice albedo and the development of a new physically based broadband albedo parameterization. J. Geophys. Res. 2010, 115, F01009. [Google Scholar] [CrossRef]
- Wiscombe, W.J.; Warren, S.G. A model for the spectral albedo of snow. I: Pure snow. J. Atmos. Sci. 1980, 37, 2712–2733. [Google Scholar] [CrossRef]
- Hall, D.K.; Riggs, G.A. Accuracy assessment of the MODIS snow products. Hydrol. Process. 2007, 21, 1534–1547. [Google Scholar] [CrossRef]
- Schaaf, C.B.; Liu, J.; Gao, F.; Strahler, A.H. Aqua and Terra MODIS albedo and reflectance anisotropy products. In Land Remote Sensing and Global Environmental Change; Kramer, H.J., Ed.; Springer: New York, NY, USA, 2010; pp. 549–561. [Google Scholar]
- Sirguey, P.; Still, H.; Cullen, N.J.; Dumont, M.; Arnaud, Y.; Conway, J.P. Reconstructing the mass balance of Brewster Glacier, New Zealand, using MODIS-derived glacier-wide albedo. Cryosphere 2016, 10, 2465–2484. [Google Scholar] [CrossRef]
- Hersbach, H.; Bell, B.; Berrisford, P.; Biavati, G.; Horányi, A.; Muñoz Sabater, J.; Nicolas, J.; Peubey, C.; Radu, R.; Rozum, I.; et al. ERA5 monthly averaged data on single levels from 1940 to present. In Copernicus Climate Change Service (C3S) Climate Data Store (CDS); Copernicus Products: Brussels, Belgium, 2023. [Google Scholar]
- Chen, J.A.; Xue, X.Y.; Du, W.T. Short communication: Extreme glacier mass loss triggered by high temperature and drought during hydrological year 2022/2023 in Qilian Mountains. Res. Cold Arid Reg. 2024, 16, 1–4. [Google Scholar] [CrossRef]
- Zhang, G.Q.; Yao, T.D.; Xie, H.J.; Yang, K.; Zhu, L.P.; Shum, C.K.; Bolch, T.; Yi, S.; Allen, S.; Jiang, L.G.; et al. Response of Tibetan Plateau lakes to climate change: Trends, patterns, and mechanisms. Earth Sci. Rev. 2020, 208, 103269. [Google Scholar] [CrossRef]
- Lei, Y.B.; Yang, K. The cause of rapid lake expansion in the Tibetan Plateau: Climate wetting or warming? Rev. Water. 2017, 4, e1236. [Google Scholar] [CrossRef]
- Song, C.Q.; Huang, B.; Richards, K.; Ke, L.H.; Hien Phan, V. Accelerated lake expansion on the Tibetan Plateau in the 2000s: Induced by glacial melting or other processes? Water Resour. Res. 2014, 50, 3170–3186. [Google Scholar] [CrossRef]







| Year | May-October (Gt) | Annual (Gt) | Percentage (%) |
|---|---|---|---|
| 1970 | 0.63 | 0.65 | 97.07 |
| 1971 | 1.08 | 1.13 | 96.14 |
| 1972 | 1.03 | 1.06 | 97.00 |
| 1973 | 0.42 | 0.45 | 93.75 |
| 1974 | 1.05 | 1.08 | 96.82 |
| 1975 | 0.61 | 0.64 | 95.22 |
| 1976 | 0.42 | 0.44 | 95.13 |
| 1977 | 0.87 | 0.90 | 96.41 |
| 1978 | 0.39 | 0.44 | 89.96 |
| 1979 | 0.26 | 0.28 | 92.41 |
| 1980 | 0.51 | 0.53 | 95.30 |
| 1981 | 1.01 | 1.03 | 97.55 |
| 1982 | 0.90 | 0.93 | 96.69 |
| 1983 | 0.48 | 0.50 | 97.03 |
| 1984 | 0.41 | 0.43 | 95.54 |
| 1985 | 0.73 | 0.75 | 97.21 |
| Time Period | Study Site A | Study Site B | Study Site C | |
|---|---|---|---|---|
| 2000–2012 | Mean value | 0.45 | 0.48 | 0.50 |
| Maximum value | 0.55 | 0.55 | 0.57 | |
| Minimum value | 0.35 | 0.37 | 0.37 | |
| 2013–2022 | Mean value | 0.37 | 0.40 | 0.42 |
| Maximum value | 0.43 | 0.50 | 0.47 | |
| Minimum value | 0.31 | 0.30 | 0.34 | |
| Year | Study Site A | Study Site B | Study Site C | TRB |
|---|---|---|---|---|
| 2000 | −0.46 ± 0.14 | −0.56 ± 0.14 | −0.39 ± 0.14 | −0.45 ± 0.09 |
| 2001 | −0.45 ± 0.14 | −0.13 ± 0.15 | −0.25 ± 0.15 | −0.26 ± 0.10 |
| 2002 | −0.29 ± 0.15 | −0.27 ± 0.15 | −0.19 ± 0.15 | −0.23 ± 0.10 |
| 2003 | −0.24 ± 0.15 | 0.01 ± 0.16 | −0.01 ± 0.16 | −0.05 ± 0.10 |
| 2004 | −0.32 ± 0.15 | −0.04 ± 0.16 | 0.03 ± 0.16 | −0.05 ± 0.10 |
| 2005 | −0.19 ± 0.15 | 0.02 ± 0.16 | 0.11 ± 0.16 | 0.03 ± 0.10 |
| 2006 | −0.79 ± 0.13 | −0.73 ± 0.13 | −0.71 ± 0.13 | −0.73 ± 0.08 |
| 2007 | −0.27 ± 0.15 | −0.28 ± 0.15 | −0.11 ± 0.15 | −0.18 ± 0.10 |
| 2008 | 0.05 ± 0.16 | 0.09 ± 0.16 | 0.14 ± 0.16 | 0.11 ± 0.11 |
| 2009 | −0.33 ± 0.15 | −0.31 ± 0.15 | −0.09 ± 0.15 | −0.19 ± 0.10 |
| 2010 | −0.77 ± 0.13 | −0.69 ± 0.13 | −0.50 ± 0.14 | −0.60 ± 0.09 |
| 2011 | −0.27 ± 0.15 | 0.07 ± 0.16 | 0.08 ± 0.16 | 0.01 ± 0.10 |
| 2012 | −0.33 ± 0.15 | −0.21 ± 0.15 | −0.17 ± 0.15 | −0.21 ± 0.10 |
| 2013 | −0.99 ± 0.12 | −0.74 ± 0.13 | −0.68 ± 0.13 | −0.75 ± 0.08 |
| 2014 | −0.65 ± 0.13 | −0.40 ± 0.14 | −0.32 ± 0.15 | −0.40 ± 0.09 |
| 2015 | −0.58 ± 0.14 | −0.56 ± 0.14 | −0.36 ± 0.14 | −0.45 ± 0.09 |
| 2016 | −0.83 ± 0.13 | −1.02 ± 0.12 | −0.85 ± 0.13 | −0.89 ± 0.08 |
| 2017 | −0.62 ± 0.14 | −0.16 ± 0.15 | −0.26 ± 0.15 | −0.30 ± 0.10 |
| 2018 | −0.76 ± 0.13 | −0.53 ± 0.14 | −0.57 ± 0.14 | −0.59 ± 0.09 |
| 2019 | −0.86 ± 0.13 | −0.45 ± 0.14 | −0.42 ± 0.14 | −0.51 ± 0.09 |
| 2020 | −0.75 ± 0.13 | −0.52 ± 0.14 | −0.48 ± 0.14 | −0.54 ± 0.09 |
| 2021 | −0.44 ± 0.14 | −0.37 ± 0.14 | −0.35 ± 0.14 | −0.37 ± 0.09 |
| 2022 | −0.91 ± 0.13 | −0.94 ± 0.12 | −0.83 ± 0.13 | −0.87 ± 0.08 |
| Year | Glacier Mass Change (Gt) | River Runoff (Gt) | Contribution (%) |
|---|---|---|---|
| 2000 | −0.16 | 1.36 | 11.50 |
| 2001 | −0.09 | 1.51 | 6.01 |
| 2002 | −0.08 | 2.03 | 3.97 |
| 2003 | −0.02 | 0.96 | 1.71 |
| 2004 | −0.02 | 0.99 | 1.88 |
| 2005 | 0.01 | 1.64 | 0.00 |
| 2006 | −0.26 | 1.05 | 24.51 |
| 2007 | −0.06 | 0.89 | 7.14 |
| 2008 | 0.04 | 1.03 | 0.00 |
| 2009 | −0.07 | 1.97 | 3.44 |
| 2010 | −0.21 | 1.69 | 12.40 |
| 2011 | 0.01 | 1.68 | 0.00 |
| 2012 | −0.07 | 2.06 | 3.53 |
| 2013 | −0.26 | 0.85 | 31.14 |
| 2014 | −0.14 | 1.67 | 8.46 |
| 2015 | −0.16 | 0.72 | 21.92 |
| 2016 | −0.31 | 1.42 | 22.05 |
| 2017 | −0.11 | 1.99 | 5.31 |
| 2018 | −0.21 | 2.53 | 8.17 |
| 2019 | −0.18 | 0.96 | 18.61 |
| 2020 | −0.19 | 1.64 | 11.62 |
| 2021 | −0.13 | 2.16 | 6.02 |
| 2022 | −0.31 | 1.55 | 19.82 |
Disclaimer/Publisher’s Note: The statements, opinions and data contained in all publications are solely those of the individual author(s) and contributor(s) and not of MDPI and/or the editor(s). MDPI and/or the editor(s) disclaim responsibility for any injury to people or property resulting from any ideas, methods, instructions or products referred to in the content. |
© 2024 by the authors. Licensee MDPI, Basel, Switzerland. This article is an open access article distributed under the terms and conditions of the Creative Commons Attribution (CC BY) license (https://creativecommons.org/licenses/by/4.0/).
Share and Cite
Liu, L.; Zhang, X.; Zhang, Z. Quantifying Annual Glacier Mass Change and Its Influence on the Runoff of the Tuotuo River. Remote Sens. 2024, 16, 3898. https://doi.org/10.3390/rs16203898
Liu L, Zhang X, Zhang Z. Quantifying Annual Glacier Mass Change and Its Influence on the Runoff of the Tuotuo River. Remote Sensing. 2024; 16(20):3898. https://doi.org/10.3390/rs16203898
Chicago/Turabian StyleLiu, Lin, Xueyu Zhang, and Zhimin Zhang. 2024. "Quantifying Annual Glacier Mass Change and Its Influence on the Runoff of the Tuotuo River" Remote Sensing 16, no. 20: 3898. https://doi.org/10.3390/rs16203898
APA StyleLiu, L., Zhang, X., & Zhang, Z. (2024). Quantifying Annual Glacier Mass Change and Its Influence on the Runoff of the Tuotuo River. Remote Sensing, 16(20), 3898. https://doi.org/10.3390/rs16203898

