Abstract
The study aims to develop vertical radar reflectivity profiles based on lightning density data from the Geostationary Lightning Mapper (GLM) on the GOES-16 satellite in the subtropical region of Brazil. The primary objective is to improve the assimilation of lightning data in numerical weather prediction models. The methodology involves the analysis of polarimetric radar data from Chapecó-SC and Jaraguari-MS, spanning from January 2019 to December 2023, and their correlation with lightning data from the GLM. Radar reflectivity profiles were created for different lightning density classes, categorized into six classes based on geometric progression. Results show a significant relationship between lightning activity and radar reflectivity, with distinct profiles for convective and stratiform events. These findings demonstrate the potential of using GLM data to enhance short-term weather forecasting, particularly for severe weather events. The study concludes that the integration of GLM data into weather models can lead to more accurate predictions of intense precipitation events, contributing to better preparedness and response strategies.
1. Introduction
Precipitation forecasting is a fundamental aspect of meteorology, playing a vital role in decision-making processes and the planning of socio-economic activities such as agriculture, public safety, infrastructure development, urban planning, and water resource management [1,2]. Despite significant advancements in weather prediction technologies, accurately forecasting intense precipitation events remains a major challenge [3]. The accuracy of these short-term forecasts largely depends on having initial conditions (ICs) that closely represent the real state of the atmosphere. Convective-scale data assimilation has emerged as a key technique for improving ICs, thereby enhancing the predictability of severe weather events [4,5,6].
Cumulonimbus clouds, or thunderstorm clouds, are the primary drivers of intense precipitation events, often leading to severe weather conditions such as lightning, hailstorms, and strong wind gusts on the surface [7]. These storms can cause substantial natural disasters, including floods, landslides, and significant risks to human life [8,9]. Understanding and forecasting such events requires a conducive atmospheric environment characterized by vertical wind shear, strong vertical uplift, abundant moisture, and atmospheric instability. Mesoscale Convective Systems (MCSs), which include features like Linear Instability Lines (LILs) and Mesoscale Convective Complexes (MCCs), are pivotal in driving these intense storms [10,11,12].
Lightning is a prominent indicator of deep convection within thunderstorm clouds, providing high-resolution information about the location and intensity of convective activity [13,14,15]. The assimilation of lightning data into atmospheric models offers considerable potential to enhance the prediction of intense precipitation events [16]. Lightning occurs due to dynamic and convective processes within clouds, closely related to ice content and vertical air movements, making it a crucial parameter for improving severe weather forecasts [17].
The Geostationary Lightning Mapper (GLM) onboard the GOES-16 satellite has revolutionized the observation of lightning activity by providing continuous monitoring over a vast geographic area [18]. This capability is essential for improving storm monitoring and warning systems for extreme weather events [19]. The GLM data structure, which includes detailed information about lightning events, groups, and flashes, allows for comprehensive analysis and integration into weather prediction models [20].
Previous studies have demonstrated the benefits of assimilating lightning data into weather models. For example, incorporating lightning data has significantly improved short-term forecasts of accumulated precipitation, particularly for convective events [21,22,23]. Despite these advancements, the field of lightning data assimilation is still relatively new, especially at convective scales, and ongoing research is necessary to fully realize its potential [24].
The vertical radar reflectivity profiles associated with varying lightning density classes offer valuable information for improving the assimilation of observational data into numerical weather prediction models (NWPMs). Previous studies have demonstrated that lightning data can enhance the initial conditions of NWPMs by providing high-resolution information about convective activity [24,25,26]. By incorporating these profiles, it is possible to refine the initial conditions used in NWPMs, particularly in areas of intense convective activity where lightning serves as a proxy for storm intensity and structure [27].
In Brazil, pioneering efforts to assimilate lightning data into weather models have been spearheaded by the National Institute for Space Research (INPE). Various methods have been explored, such as adjusting humidity, using average reflectivity profiles, and incorporating graupel fluxes to enhance the Weather Research and Forecasting (WRF) model with lightning information [25,26]. These studies underscore the critical need for continued research to improve short-term weather predictions in the region.
This study aims to develop vertical radar reflectivity profiles based on lightning density using data from the GLM. By leveraging radar data from Chapecó-SC and Jaraguari-MS, collected from January 2019 to December 2023, and correlating it with lightning data from GLM, this research seeks to enhance the accuracy of numerical weather prediction models. The methodology involves creating radar reflectivity profiles for different lightning density classes, categorized into six classes based on geometric progression [28].
The primary objective of this research is to establish a robust methodology for improving lightning data assimilation in numerical weather prediction models. By doing so, we aim to significantly enhance the accuracy of short-term forecasts for severe weather events. The integration of GLM data into weather models is expected to lead to more precise predictions of intense precipitation events, thereby contributing to better preparedness and response strategies for extreme weather conditions.
2. Materials and Methods
The study focuses on two regions in Brazil: Chapecó-SC next to Santa Catarina in southeast Brazil, 300 km from Curitiba, and Jaraguari-MS near Campo Grande, north-west of São Paulo, presented in Figure 1. These areas were selected due to their high incidence of intense thunderstorms with significant lightning activity, influenced by favorable atmospheric conditions for severe weather events. The regions are affected by the South American Low-Level Jet (SALLJ), which transports warm and moist air from tropical regions, and the Subtropical Jet (STJ), which brings cold and dry air from polar regions [29,30]. The availability of continuous dual-polarization radar data since 2019 was also a crucial factor in the selection of these study areas.
Figure 1.
Study area.
Radar data were collected from the meteorological radars located in Chapecó-SC and Jaraguari-MS. Both radars operate in the S-band frequency range (2–4 GHz) with dual polarization and Doppler capabilities, covering a quantitative operational area with a radius of 250 km. The radar in Chapecó is operated by the Civil Defense of Santa Catarina (SDC-SC), and the radar in Jaraguari is owned by the National Center for Monitoring and Early Warning of Natural Disasters (CEMADEN).
The data used in this study span from January 2019 to December 2023. The analysis focused on Constant Altitude Plan Position Indicator (CAPPI) data at 15 height levels ranging from 2 to 16 km, interpolated with a spatial resolution of 1 km, resulting in a 500 × 500 grid for each radar. CAPPI data were derived from Plan Position Indicator (PPI) scans, which provide raw volumetric data from fixed elevation. To obtain and process the radar data, the Radar Software Library (RSL) v1.50 developed by NASA was utilized. The RSL, based on the C programming language, allows for flexible reading and processing of radar data in various formats.
This approach allows for the integration of temporal variations in storm intensity and structure, providing a more accurate depiction of the conditions associated with different lightning density classes. Despite the time constraints, we believe this method effectively captures the overall behavior of storms. The methodology aligns with the principles discussed in [31], which detail radar meteorology techniques used to infer storm structures.
The lightning data were obtained from the Geostationary Lightning Mapper (GLM) sensor onboard the GOES-16 satellite. The GLM provides continuous monitoring of lightning activity across a wide geographic area, which is essential for tracking severe thunderstorms and improving weather warning systems. The GLM data structure includes events, groups, and flashes, with each flash representing a comprehensive set of measurements over specific spatial and temporal extents.
For this study, GLM data from January 2019 to December 2023 were used. The GLM single-pixel spatial coverage is approximately 10 km per pixel. Given the 5 min scan intervals of the radar, GLM data were aggregated to match these intervals. For each GLM pixel indicating lightning activity within the radar’s coverage area, the corresponding latitude and longitude points were identified. A 9 × 9 grid surrounding each GLM pixel was selected to correspond with the radar grid, considering the radar’s 1 km spatial resolution (Figure 2).
Figure 2.
Diagram illustrating the relationship between a single GLM pixel and the corresponding 9 × 9 radar grid points used for data matching.
The methodology involved correlating radar reflectivity profiles with lightning density data. The steps were as follows:
GLM flash data were accumulated every 5 min to match the radar’s scanning intervals. This type of data from GLM was used because it represents a higher level of processed data and is widely utilized for its comprehensive spatial and temporal extent [32], which are made available free of charge by the National Institute for Space Research at the following address: https://ftp.cptec.inpe.br/goes/goes16/goes16_web/glm_acumulado_nc/ (accessed on 26 August 2024). For each lightning occurrence in the GLM data, the nearest point on the radar grid was identified. For each identified grid point, a 9 × 9 grid of radar data points surrounding the lightning occurrence was selected (Figure 2). This included 81 radar data points. The sum of the vertical reflectivity profiles for these 81 points was calculated across 15 height levels using Equation (1). The point with the highest value was selected as the representative convective profile (the methodology for classification is presented below). In the absence of convective points, the stratiform profile with the highest sum was chosen. A profile is marked as zero if lightning is detected by the GLM but no valid radar profile is available to represent it. This could be due to discrepancies in spatial resolution between the GLM and radar datasets or the absence of radar data, possibly due to maintenance. This approach ensures that the analysis remains consistent despite the potential gaps in radar coverage.
where is the level index of CAPPI (for = 1, height = 2 km) and Z is reflectivity in dBZ.
The convective/stratiform classification mentioned above was performed using the Convective/Stratiform Precipitation Separation (CSPS) algorithm. This algorithm classifies single-site radar reflectivity data as either convective or stratiform [33]. The purpose of the convective/stratiform identification is to aid in adjusting reflectivity values in the melting layer, where mixed-phase hydrometeors can cause higher reflectivities and overestimates in rain rates that assume liquid drop distributions. In this study, each pixel will be classified using this algorithm following the steps presented in Figure 3, considering the range of ≥250 km, which is the coverage area of the radars used.
Figure 3.
Decision tree schematic illustrating the logic used to determine if a reflectivity bin is classified as convective or stratiform. Source: https://vlab.noaa.gov/web/wdtd/-/convective-stratiform-precipitation-separation-csps-algorithm (accessed on 26 August 2024).
As the radar range used requires the calculation of Vertically Integrated Liquid (VIL) for the profile, this was calculated using the methodology developed by [34]. The conversion of weather radar reflectivity data into liquid water content is based on theoretical studies of drop size distributions and empirical studies on the relationship between reflectivity factor and liquid water content. VIL is a radar-derived estimate of liquid water (exclusive of ice) that is computed at each grid point from the vertical profile of reflectivity using the following equation (Equation (2)) presented below.
where Z is the radar reflectivity and h is the height expressed in meters. To exclude contributions from ice, if > 56 dBZ, that term is set to 56 dBZ.
Lightning density was categorized into six classes based on geometric progression. This classification was the same used in the study by [28], a previous study conducted in Brazil that utilized lightning data from the BrasilDAT ground-based monitoring network. To verify the methodology using GLM data, the same categorization of six classes will be applied, as presented in the Table 1:
Table 1.
Lightning density class.
The radar reflectivity profiles were calculated as an average of all profiles obtained for each lightning density class. For each radar scanning level, the average reflectivity values were calculated, resulting in an average profile for each density class. These average profiles were then categorized into convective and stratiform profiles, allowing for a detailed analysis of the different storm structures associated with each level of lightning activity.
The Global Data Assimilation System (GDAS) employs Gridpoint Statistical Interpolation (GSI) and Three-Dimensional Variational Data Assimilation (3DVAR) within the Global Forecast System (GFS), enhancing forecast accuracy, particularly in the tropics, and reducing short-term errors in extratropical regions. Operational since 1 May 2007, GDAS integrates a wide range of observations, including surface data, weather balloons, wind profiles, aircraft reports, buoys, radar, and satellite data [35]. In this study, GDAS data with a spatial resolution of 0.25° at 12:00 UTC on 29 November 2020 were used to assess the synoptic conditions over the region of interest. The analyzed variables include the u and v wind components, Mean Sea Level Pressure (MSLP), Geopotential Height (GH), Convective Available Potential Energy (CAPE), and Lifted Index (LI).
3. Results
Table 2 presents the descriptive statistics for radar profiles in Chapecó-SC and Jaraguari-MS, detailing the total number of profiles, zero profiles, stratiform profiles, and convective profiles along with their respective percentages. The radar data from both Chapecó-SC and Jaraguari-MS show a substantial number of profiles, with Chapecó-SC recording a higher total number of profiles compared to Jaraguari-MS. The zero profiles, representing the instances where no significant radar reflectivity was detected account for approximately 28% in both regions. This indicates a consistent frequency of non-precipitating or very light precipitation events captured by the radars.
Table 2.
Descriptive statistics of radar profiles.
Most of the radar profiles in both regions are categorized as stratiform, with 54.03% in Chapecó-SC and 51.43% in Jaraguari-MS. Stratiform profiles are typically associated with widespread, steady precipitation, which is less intense compared to convective precipitation. The slightly higher percentage of stratiform profiles in Chapecó-SC suggests that this region experiences more uniform precipitation events, which could be linked to larger-scale weather systems in this region. Conversely, convective profiles, which are indicative of intense, localized precipitation events often associated with thunderstorms, make up 17.81% of the profiles in Chapecó-SC and 20.87% in Jaraguari-MS. The higher percentage of convective profiles in Jaraguari-MS implies a greater frequency of severe weather events in this region. This observation aligns with the known meteorological influences in the area, such as the South American Low-Level Jet, which contributes to the development of strong convective systems [36].
Figure 4 presents the vertical radar reflectivity profiles for different lightning density classes in Chapecó-SC and Jaraguari-MS, derived from GLM and radar reflectivity measurements. The profiles are categorized into stratiform and convective types, with each type further divided into six lightning density classes. The stratiform profiles for Chapecó-SC (Figure 4a) and Jaraguari-MS (Figure 4c) exhibit a gradual decrease in reflectivity with height, starting from approximately 30 dBZ at the lowest levels (around 2 km) and tapering off to around 10 dBZ at 16 km. This uniform decrease is indicative of widespread, steady precipitation. Notably, profiles for higher lightning density classes, especially Class 6 (≥32 flashes), show slightly elevated reflectivity values compared to lower classes, suggesting that more intense stratiform precipitation events are associated with higher lightning activity. The generally lower reflectivity values in Jaraguari-MS compared to Chapecó-SC suggest regional differences in the intensity of stratiform precipitation, possibly influenced by local meteorological conditions.
Figure 4.
Vertical radar reflectivity profiles based on lightning density classes.
In contrast, the convective profiles (Figure 4b,d) show a distinctly different pattern. In both regions, the profiles start with high reflectivity values near the surface (around 50 dBZ at 2 km) and show a rapid decrease with height, particularly above the freezing level (~4–5 km). This pattern is characteristic of strong updrafts and larger hydrometeors, which are typical of intense, localized precipitation events associated with convective storms. The slightly lower surface reflectivity values in Jaraguari-MS compared to Chapecó-SC suggest that while convective activity is robust in both regions, it is somewhat less intense in Jaraguari-MS.
These profiles reveal the significant differences in precipitation characteristics between the two regions. Stratiform profiles, with their gradual decrease in reflectivity, reflect steady, widespread precipitation, while convective profiles, marked by higher surface reflectivity and sharp vertical gradients, indicate intense, localized storms. These findings align with previous studies that associate higher reflectivity values and rapid decreases in height with strong convective activity [37]. Understanding these differences is crucial for improving weather prediction models, especially in enhancing the accuracy of short-term forecasts and nowcasting by incorporating lightning data, thereby improving the detection and prediction of severe weather events.
For Classes 5 and 6 (16–31 and ≥32 flashes), the data distribution is more uniform across all altitudes, particularly in convective profiles. This uniformity reflects the intense and deep convective nature of high lightning density events, which significantly impact the entire atmospheric column. The higher percentage of data points at upper levels (above 10 km) highlights the presence of strong updrafts and significant ice-phase processes in these intense storms. The stratiform profiles, while still showing increased vertical reach, exhibit a slightly lower percentage at higher altitudes compared to convective profiles, indicating less vigorous vertical motion typical of stratiform precipitation.
Figure 5 illustrates the percentage distribution of data used to compose the average vertical radar reflectivity profiles for each lightning density class, categorized into stratiform and convective types for both Chapecó-SC and Jaraguari-MS. This detailed analysis provides insights into the representativeness and reliability of the derived profiles. For Class 1, both regions exhibit a similar distribution pattern for stratiform and convective profiles. The percentage of data decreases with height, indicating a higher concentration of data points at lower altitudes. This trend suggests that low lightning density events predominantly affect the lower atmospheric levels, consistent with weaker convective activity and less intense storms. The slight variations between regions can be attributed to local meteorological conditions and data availability.
Figure 5.
Percentage of data used for composing the average profile by lightning density class.
In Classes 2 to 4 (2–3, 4–7, and 8–15 flashes), a noticeable shift occurs. The percentage of data points remains relatively high up to mid-levels (around 8–10 km) before tapering off. This distribution indicates that moderate lightning density events are associated with more substantial vertical development in the atmosphere, affecting a broader range of altitudes. The profiles from both regions display this trend consistently, underscoring the correlation between increased lightning activity and enhanced vertical storm structure.
Figure 6 provides a comprehensive breakdown of the number of radar profiles for each height level within the radar’s range, segmented by lightning density classes for both Chapecó-SC and Jaraguari-MS. This analysis is crucial in understanding the vertical distribution and frequency of radar reflectivity profiles, revealing significant insights into storm structure and intensity.
Figure 6.
Number of radar profiles by height level and lightning density class.
The distribution for Class 1 shows a concentration of values at mid-levels (6–10 km) rather than a notable peak at lower levels. This suggests that lower lightning density events predominantly affect these atmospheric levels, where stratiform precipitation processes are most active. For the convective profiles, there is a broader distribution with a notable peak at lower levels (2–6 km), highlighting the shallow nature of convective activity associated with minimal lightning occurrences.
As lightning density increases from Class 2 to Class 4, the number of profiles at higher altitudes (8–12 km) rises, particularly for convective profiles. This trend is evident in both regions, indicating that moderate lightning density events are linked with more robust vertical development. The stratiform profiles continue to show a significant number of profiles at mid-levels, but with a more extended reach into higher altitudes, reflecting the increased vertical extent of stratiform precipitation as lightning density grows.
High lightning density events, classified as Class 5 and Class 6, show a distinct distribution, with a considerable number of profiles at upper levels (10–15 km) for both stratiform and convective profiles. This distribution signifies the intense and deep convective nature of these events, which are characterized by strong updrafts reaching higher altitudes. The distribution for convective profiles exhibits variation across different height levels rather than a uniform distribution.
Figure 7 illustrates the boxplot of the sum of stratiform vertical profiles for each lightning density class, comparing data from Chapecó-SC and Jaraguari-MS. This analysis is crucial to understanding the differences in stratiform precipitation structures between the two regions, particularly in response to varying lightning densities.
Figure 7.
Sum of stratiform vertical profiles by lightning density class.
For Class 1, the sum of stratiform vertical profiles shows a lower median value in both regions, with Chapecó-SC having a slightly higher concentration of values around the lower quartile. This indicates that low lightning density events are associated with less intense stratiform precipitation, with relatively less vertical extent. As the lightning density increases to Class 2 and Class 3 (2–3 and 4–7 flashes), the median values for the sum of vertical profiles rise significantly. This trend is more pronounced in Jaraguari-MS, suggesting that moderate lightning density events are linked with more substantial stratiform precipitation in this region.
The boxplots for higher lightning density classes (Class 4, Class 5, and Class 6) reveal a notable increase in the sum of stratiform vertical profiles, with Jaraguari-MS consistently showing higher median values compared to Chapecó-SC. The interquartile ranges also expand, indicating greater variability in the intensity and vertical extent of stratiform precipitation associated with high lightning density events. This pattern underscores the robust nature of stratiform systems in Jaraguari-MS, possibly due to the more frequent occurrence of severe weather conditions facilitated by the regional meteorological dynamics.
These findings align with the established understanding that higher lightning densities are indicative of more vigorous convective processes, which in turn enhance stratiform precipitation through mechanisms such as mesoscale convective system organization and stratiform rain enhancement [7,38]. The differences between the two regions could be attributed to the varying local atmospheric conditions and topographical influences, highlighting the importance of regional studies in improving precipitation forecasting and understanding severe weather dynamics.
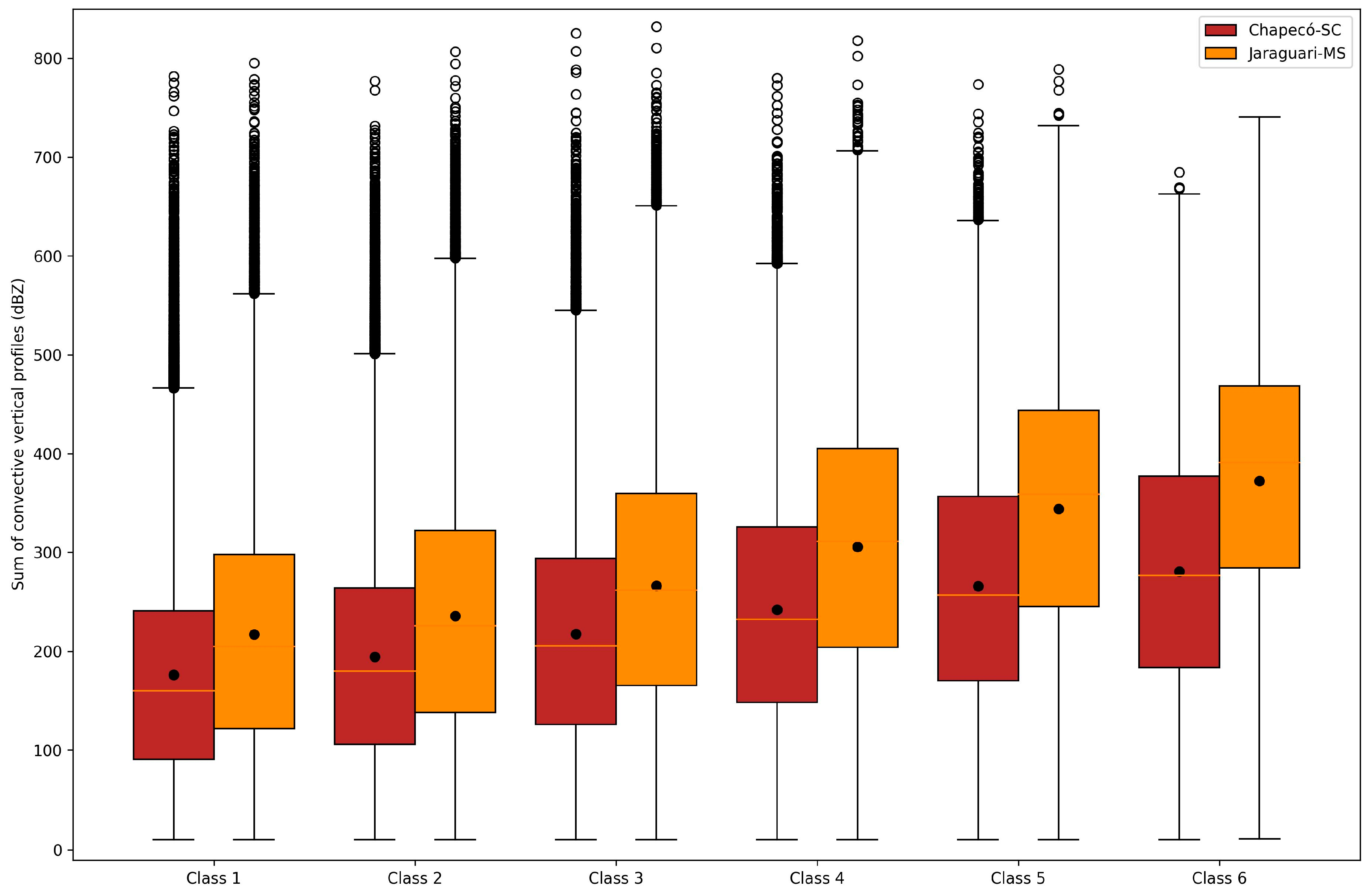
Figure 8 presents the boxplot of the sum of convective vertical profiles for each lightning density class, comparing data from Chapecó-SC and Jaraguari-MS. This analysis is critical for understanding the relationship between lightning density and convective storm intensity in these regions. For Class 1, the sum of convective vertical profiles shows relatively low median values in both regions, with a slight elevation in Jaraguari-MS. This suggests that initial convective activity, marked by lower lightning density, is moderately intense but not as vertically extensive. As the lightning density increases to Class 2 and Class 3 (2–3 and 4–7 flashes), there is a noticeable rise in the median values of the convective profiles. This trend is more pronounced in Jaraguari-MS, indicating that moderate lightning density events are associated with stronger and more vertically developed convective systems in this region.
Figure 8.
Sum of convective vertical profiles by lightning density class.
For higher lightning density classes (Class 4, Class 5, and Class 6), the median values continue to increase, and the interquartile ranges expand, particularly for Jaraguari-MS. This pattern demonstrates that high lightning density events correspond to significantly more intense convective activity, with greater vertical development. The larger variability in Jaraguari-MS suggests that the convective storms in this region can reach higher intensities and have a wider range of structural characteristics compared to Chapecó-SC.
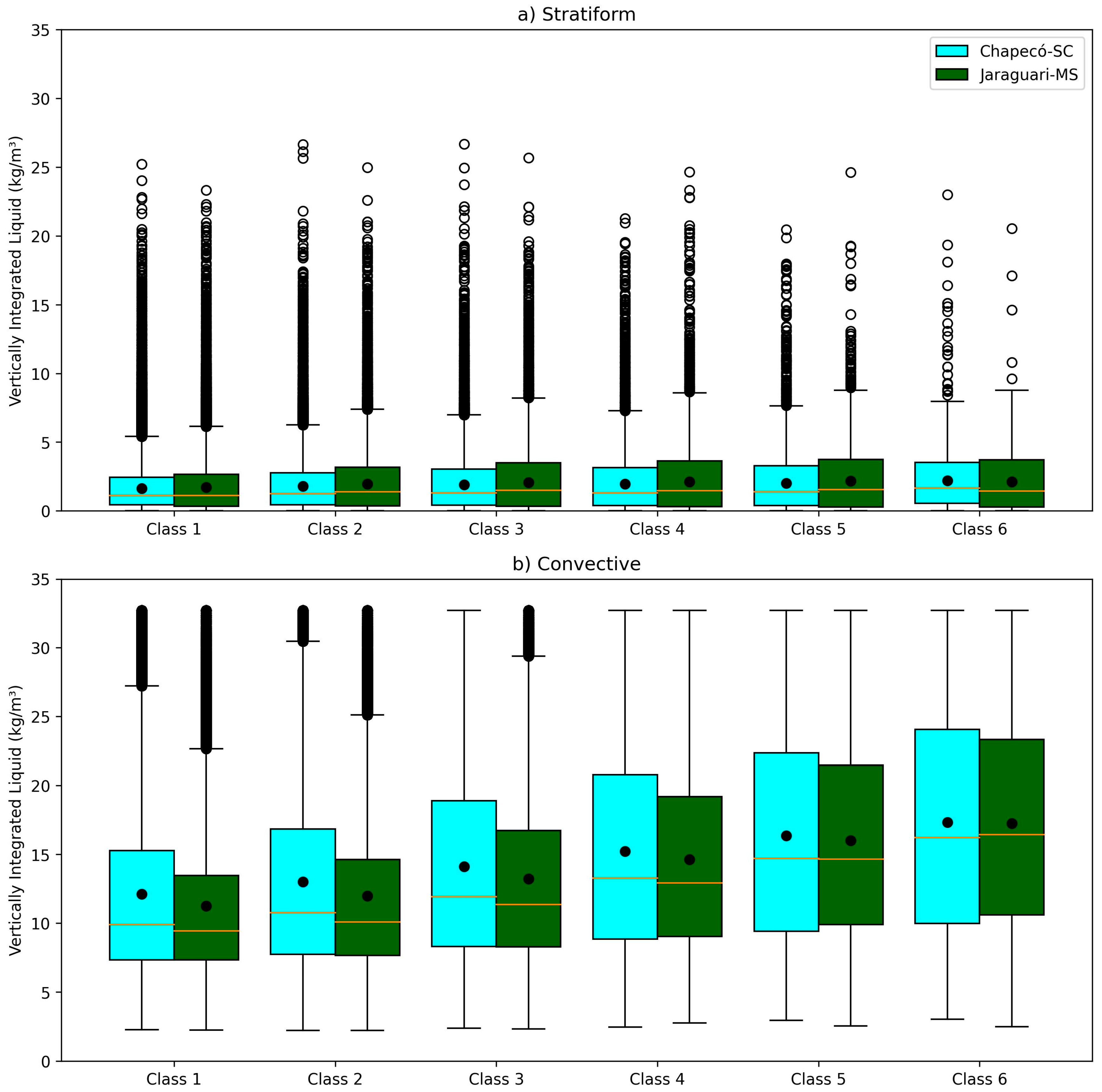
Figure 9 presents the Vertically Integrated Liquid (VIL) values for both stratiform (Figure 9a) and convective (Figure 9b) profiles across different lightning density classes for the radar sites in Chapecó-SC and Jaraguari-MS. This analysis provides insight into the water content within clouds and its relationship to lightning activity. For the stratiform profiles, the VIL values show a consistent trend across all lightning density classes, with relatively low median values for both Chapecó-SC and Jaraguari-MS. Stratiform clouds, which are typically associated with widespread, steady precipitation, contain lower amounts of liquid water compared to convective clouds. The similar VIL values across all classes suggest that the presence of lightning does not significantly impact the liquid water content in stratiform clouds. This aligns with the understanding that stratiform clouds have weaker updrafts and are less dynamic compared to convective clouds, resulting in lower VIL values regardless of lightning activity.
Figure 9.
Vertically Integrated Liquid (VIL) for stratiform and convective profiles.
In contrast, the VIL values for convective profiles are significantly higher, reflecting the intense updrafts and substantial liquid water content characteristic of convective storms. As lightning density increases from Class 1 to Class 6, there is a noticeable rise in VIL values, more pronounced in Jaraguari-MS, where convective storms show higher median VIL values, indicating more vigorous convective activity. This trend supports the established meteorological concept that higher lightning densities are associated with stronger convective updrafts, leading to greater accumulation of liquid water within the storm. The increased variability in VIL values with higher lightning densities and the more pronounced variability in Chapecó compared with Jaraguari-MS suggests that convective storms in this region are not only more intense but also more variable in their structure and dynamics.
Chapecó exhibits slightly higher VIL values for convective profiles, with the median values being nearly equal for both regions. This difference can be attributed to the regional climatic conditions and the prevalence of severe weather dynamics in the central-western part of Brazil. The higher VIL values in convective profiles, especially in higher lightning density classes, highlight the capacity of the Jaraguari-MS region to produce more powerful convective storms. This underscores the importance of regional studies in understanding the localized behavior of storm systems and their potential impacts.
To deepen the exploratory analysis of the relationship between radar data and the GLM (Geostationary Lightning Mapper) using VIL (Vertically Integrated Liquid), a specific case study will be conducted focusing on 29 November 2020. This study aims to evaluate the consistency of this relationship, providing a detailed assessment of the prevailing synoptic and thermodynamic conditions over South Brazil. The analysis will include the interpretation of wind streamlines at different atmospheric levels (1000 hPa, 850 hPa, 500 hPa, and 250 hPa), as well as Mean Sea Level Pressure (MSLP) and Geopotential Height (GH). Additionally, thermodynamic indices such as Convective Available Potential Energy (CAPE) and Lifted Index (LI) will be used to assess atmospheric stability. The brightness temperature from Band 13 of the GOES-16 satellite will also be analyzed to help identify the types of clouds present. Complementing this analysis, the Constant Altitude Plan Position Indicator (CAPPI) and the spatial distribution of lightning density recorded by the GLM will be visualized.
In Figure 10, a low-pressure center of 1004 hPa is observed near the coast of Paraguay, northeastern Argentina, and southern Brazil, at latitude 40°S and longitude 50°W. A trough is also noted extending along the southern coast of Brazil. At the 850 hPa level (Figure 10), a northwesterly flow is identified following the Andes Mountains, known as the Low-Level Jet (LLJ), which transports moisture from the tropical region to lower latitudes, contributing to the maintenance of instability around 30°S [29,30,39]. At the 500 hPa level, the predominant westerly winds between 30° and 40°S, along with a sharp gradient in GH, are associated with the trough and the surface low-pressure system (1000 hPa). At high levels (250 hPa), westerly jet streams persist, with a diffluence originating in northeastern Argentina (latitude 30°S, longitude 55°W), favoring the formation of convective environments and extensive cloud cover in the region.
Figure 10.
Map of streamlines at different atmospheric levels (1000, 850, 500, and 250 hPa), Mean Sea Level Pressure (MSLP), and Geopotential Height (GH) on 29 November 2020, at 12:00 UTC over South America.
The configurations described for the convective environment are corroborated by satellite images (Figure 11), where the cloud tops show a brightness temperature below 220 K (~−50 °C). The predominant westerly winds observed between 500 and 250 hPa are dispersing the clouds, characteristic of the mature phase of a frontal system, nearing dissipation [36,40]. The GOES-16 image shows a combination of cumuliform and stratiform clouds; the stratiform clouds are at the forefront of the system, appearing sparser, while the cumuliform clouds, clustered at the rear, cause rain due to regional instability and moisture brought from the tropical region, a typical configuration of frontal systems [40].
Figure 11.
Map of the brightness temperature from Band 13 of the GOES-16 satellite on 29 November 2020, at 12 UTC over South America.
Additionally, a detailed analysis of the atmospheric thermodynamic environment was conducted using the CAPE (Convective Available Potential Energy) and LI (Lifted Index) indices presented in Figure 12. High CAPE and negative LI values indicate atmospheric conditions favorable for the formation of cumuliform precipitation, such as storms, heavy rainfall, and hail. Specifically, CAPE values above 1000 J/kg, combined with negative LI (≤−2 °C), are generally associated with intense convective rainfall. On the other hand, CAPE values below 1000 J/kg, along with a positive or near-zero LI (>0 °C), are more indicative of stratiform rainfall, which tends to be less intense [41,42,43,44].
Figure 12.
Map of the thermodynamic indices CAPE and LI on 29 November 2020, at 12 UTC over South America.
Figure 12 illustrates the atmospheric instability indices for the region covered by the Chapecó weather radar in Santa Catarina. It is observed that the thermodynamic indices reveal high CAPE values (>1000 J/kg) in western Santa Catarina, with CAPE peaks exceeding 2000 J/kg, which is particularly significant. These values are accompanied by very low LI, below −4 °C, reinforcing the indication of strong convective activity in the area [41,44]. Such conditions suggest that the Chapecó region experienced intense cumuliform convective activity, which, under the influence of prevailing synoptic and thermodynamic conditions, resulted in precipitation and the occurrence of lightning strikes in the region.
The previously described atmospheric conditions are corroborated by the CAPPI values obtained from the weather radar at altitudes of 3 km, 5 km, and 7 km, as well as the lightning density data provided by the GLM (Figure 13). It is observed that at 12 UTC on 28 November 2020, CAPPI values at 3 km ranged between 25 dBZ and 50 dBZ, primarily over western Santa Catarina and northwestern Rio Grande do Sul. The most intense rainfall was concentrated in western Santa Catarina, where CAPPI values exceeded 40 dBZ.
Figure 13.
Map of the CAPPI composition (dBZ) at 3 km, 5 km, and 7 km from the Chapecó-SC radar and Lightning Density (UNIT) on 29 November 2020, at 12 UTC over South America.
This area of intense precipitation is associated with a cloud-top brightness temperature below 220 K (Figure 11), suggesting the presence of deep, cold clouds. Additionally, the region shows a CAPE index exceeding 1500 J/kg and negative LI values below −4 °C (Figure 11), indicating a highly unstable environment favorable for the development of convective storms [41,43,44].
The observed atmospheric configuration, characterized by high CAPE values and negative LI, is typical of intense convective precipitation. This is further corroborated by the occurrence of lightning in the region (Figure 13), where lightning density ranges between 2 (unit of measurement) and 3 (Class 2), with some isolated points showing higher lightning density, between 4 and 15 (Classes 3 and 4).
4. Discussion
The findings from this study provide a comprehensive analysis of radar reflectivity profiles and their association with lightning density, offering significant insights into the microphysical characteristics and dynamics of stratiform and convective storms in the subtropical region of Brazil. This discussion aims to interpret the results considering previous studies and explore their implications within the broader context of atmospheric science.
The descriptive statistics indicate a higher proportion of convective profiles in Jaraguari-MS compared to Chapecó-SC. This observation aligns with the well-documented climatic differences between these regions. Jaraguari-MS, located in the central-western part of Brazil, is more frequently influenced by the South American Low-Level Jet (SALLJ) and the Subtropical Jet (STJ), which are known to enhance convective activity by bringing warm, moist air from the Amazon Basin and colder, drier air from higher latitudes, respectively. These findings are consistent with previous studies highlighting the significant role of these atmospheric jets in driving severe convective weather in central-western Brazil [36,37].
The vertical profiles of reflectivity further illustrate the distinct characteristics of stratiform and convective storms. Convective profiles exhibit higher reflectivity values near the surface, decreasing with height, which is indicative of strong updrafts and substantial precipitation loading. This pattern is typical of convective storms, where intense updrafts transport hydrometeors aloft, resulting in high reflectivity values near the surface and a rapid decrease with height as precipitation falls out. In contrast, stratiform profiles show more uniform reflectivity values with height, reflecting the widespread, steady precipitation characteristic of stratiform clouds. These observations are consistent with the microphysical processes described by [31,41] where convective storms are dominated by vigorous updrafts and larger hydrometeors, while stratiform clouds are associated with more homogeneous precipitation processes.
The percentage data used to compose the mean profiles for each class (Figure 4) reveals that higher lightning density classes correspond to a greater proportion of convective profiles. This reinforces the well-established relationship between lightning activity and convective intensity. Previous studies, such as [14,37], have shown that lightning activity is closely linked to updraft strength and storm vigor, with more intense convective storms producing higher lightning flash rates. The higher proportion of convective profiles in Jaraguari-MS across all lightning density classes further supports this relationship, suggesting that the region experiences more intense convective activity compared to Chapecó-SC.
The boxplots of the sum of vertical profiles for stratiform and convective storms provide additional insights into the intensity of storms in the two regions. Jaraguari-MS consistently exhibits higher values, particularly for convective profiles, indicating more substantial liquid water content and stronger updrafts. This finding is significant as it underscores the greater convective instability and potential for severe weather in Jaraguari-MS. The higher VIL values observed in convective profiles further highlight the intense nature of these storms, characterized by strong updrafts capable of supporting large hydrometeors. These results are consistent with previous studies that have emphasized the role of convective storms in modulating regional precipitation and storm intensity [14,15].
The analysis of the number of profiles at each radar range level underscores the structural differences between stratiform and convective storms. Convective storms exhibit a concentration of higher reflectivity values at lower levels, indicative of intense precipitation near the surface. This pattern is aligned with the presence of graupel and hail in the mixed-phase region, contributing to enhanced reflectivity values. In contrast, stratiform profiles show a more even distribution of reflectivity with height, reflecting their steady, widespread precipitation nature. These observations are consistent with the established understanding of storm structure, where convective storms are characterized by strong vertical motions and localized intense precipitation, while stratiform clouds exhibit more uniform vertical profiles due to their broader, more homogeneous precipitation processes [14,24,38,44,45].
The VIL analysis corroborates the distinct characteristics of stratiform and convective storms. The higher VIL values in convective profiles, especially in Jaraguari-MS, emphasize the significant liquid water content and potential for severe weather associated with these storms. The relatively lower and consistent VIL values in stratiform profiles across all lightning density classes suggest that lightning activity has a minimal impact on the liquid water content in these storm types, which is consistent with their weaker dynamical nature. These findings highlight the utility of VIL as a metric for assessing storm intensity and potential for severe weather, particularly in convective systems [33,41].
This study enhances our understanding of the microphysical and dynamical differences between stratiform and convective storms in the subtropical region of Brazil. The findings underscore the significant role of regional climatic factors in modulating storm intensity and highlight the importance of utilizing high-resolution radar and lightning data to improve weather prediction models. Future research should focus on integrating these observations into numerical weather prediction models to further refine our understanding of storm dynamics and improve forecasting accuracy. This approach will be critical for developing more effective severe weather monitoring and warning systems, ultimately enhancing public safety and mitigating the impacts of extreme weather events.
For instance, Refs. [36,40] provide additional information into the impact of jet streams and synoptic conditions on convective activities in South America. These studies support our interpretation of the influence of regional climatic factors on storm intensity and structure. Additionally, the work by [29] emphasizes the role of the South American low-level jet in modulating convective systems, which aligns with our findings on the influence of regional atmospheric dynamics.
5. Conclusions
This study offers a comprehensive analysis of radar reflectivity profiles in relation to lightning density, shedding light on the microphysical characteristics and dynamics of stratiform and convective storms in the subtropical region of Brazil. The results show significant differences between these storm types, influenced by regional climatic factors that shape their intensity and structure.
We provided concrete ideas on how the relationship between lightning density and vertical radar reflectivity profiles can be used to improve short-term weather forecasting. This includes methods for assimilating lightning data into numerical weather prediction models to enhance initial conditions and improve the accuracy of forecasts for severe weather events. By integrating high-resolution radar data with lightning observations, we can refine the depiction of storm structures and dynamics, leading to more precise and timely predictions. For instance, studies by [14] demonstrate the benefits of assimilating lightning data into weather models to improve convective storm predictions.
These findings indicate that Jaraguari-MS experiences more intense convective activity compared to Chapecó-SC, as shown by higher proportions of convective profiles and greater reflectivity values. This can be attributed to the influence of the South American Low-Level Jet and the Subtropical Jet, which enhance the region’s convective potential. These results are consistent with previous studies that emphasize the role of these atmospheric features in regional weather patterns.
The vertical profiles of reflectivity and VIL values clearly distinguish the characteristics of stratiform and convective storms. Convective storms exhibit strong updrafts and substantial liquid water content, evident from higher reflectivity values near the surface and elevated VIL values. In contrast, stratiform storms show more uniform reflectivity profiles and consistent VIL values across all lightning density classes, reflecting their steady and widespread precipitation nature.
This study provides a foundational approach for integrating lightning-based radar reflectivity profiles into NWPM, potentially improving the prediction of severe weather events. Given that many NWPMs do not directly assimilate lightning data due to the lack of electrification schemes, the profiles generated in this study could be indirectly assimilated through radar data assimilation systems. Establishing robust quantitative relationships between lightning density and radar reflectivity profiles remains a critical next step for advancing the practical application of this methodology. This methodological approach, utilizing high-resolution radar and lightning data, has proven effective in capturing the microphysical and dynamical differences between storm types. This approach not only enhances our understanding of storm behavior but also provides a framework for improving weather prediction models and developing more effective severe weather monitoring and warning systems.
Future research should aim to integrate these observational insights into numerical weather prediction models to refine our understanding of storm dynamics and improve forecasting accuracy. Expanding the study to include other regions and climatic conditions will help generalize the findings and provide a broader perspective on the interaction between radar reflectivity and lightning activity.
This study shows the critical importance of high-resolution radar and lightning data in advancing our knowledge of storm microphysics and dynamics. The findings have significant implications for weather prediction and public safety, especially in regions prone to severe convective weather. By enhancing our ability to monitor and forecast these events, we can better mitigate their impacts and strengthen resilience to extreme weather conditions.
Author Contributions
Conceptualization, T.B.M. and É.P.V.; methodology, É.P.V. and T.S.B.; software, T.S.B.; validation, T.B.M.; formal analysis, T.B.M. and L.E.R.A.; writing—original draft preparation, T.B.M.; writing—review and editing, T.B.M., É.P.V., T.S.B. and L.E.R.A.; project administration, É.P.V. All authors have read and agreed to the published version of the manuscript.
Funding
The authors thank the Coordination for the Improvement of Higher Education Personnel (CAPES–Brasil, funding code 001) for financial support.
Data Availability Statement
Upon request by first author (T.B.M.).
Acknowledgments
The authors are grateful for the computational and financial support provided by the Center for Weather Forecasting and Climate Studies of the National Institute for Space Research (CPTEC/INPE). The first author would also like to thank the Coordination for the Improvement of Higher Education Personnel (CAPES) for awarding them a doctoral scholarship.
Conflicts of Interest
The authors declare no conflicts of interest.
References
- Mogotsi, K.; Moroka, A.; Sitang, O.; Chibua, R. Seasonal precipitation forecasts: Agro-ecological knowledge among rural Kalahari communities. Afr. J. Agric. Res. 2011, 6, 916–922. [Google Scholar]
- Waqas, M.; Humphries, U.W.; Hlaing, P.T.; Wangwongchai, A.; Dechpichai, P. Advancements in daily precipitation forecasting: A deep dive into daily precipitation forecasting hybrid methods in the tropical climate of Thailand. MethodsX 2024, 12, 102757. [Google Scholar] [CrossRef]
- Bei, N.; Zhang, F. Impacts of initial condition errors on mesoscale predictability of heavy precipitation. Q. J. R. Meteorol. Soc. 2007, 133, 83–99. [Google Scholar] [CrossRef]
- Benjamin, S.G.; Dévényi, D.; Weygandt, S.S.; Brundage, K.J.; Brown, J.M.; Grell, G.A.; Kim, D.; Schwartz, B.E.; Smirnova, T.G.; Smith, T.L.; et al. An hourly assimilation–forecast cycle: The RUC. Mon. Weather Rev. 2004, 132, 495–518. [Google Scholar] [CrossRef]
- Sun, J.; Wang, H.; Tong, W.; Zhang, Y.; Lin, C.Y.; Xu, D. Comparison of the impacts of momentum control variables on high-resolution variational data assimilation and precipitation forecasting. Mon. Weather Rev. 2016, 144, 149–169. [Google Scholar] [CrossRef]
- Liu, Z.; Snyder, C.; Guerrette, J.J.; Jung, B.J.; Ban, J.; Vahl, S.; Wu, Y.; Trémolet, Y.; Auligné, T.; Ménétrier, B.; et al. Data assimilation for the model for prediction across scales–atmosphere with the joint effort for data assimilation integration (JEDI-MPAS 1.0.0). Geosci. Model Dev. 2022, 15, 7859–7878. [Google Scholar] [CrossRef]
- Houze, R.A. Cloud Dynamics; Academic Press: Cambridge, MA, USA, 2014. [Google Scholar]
- Smith, J.A. Precipitation. In Handbook of Hydrology; McGraw-Hill: New York, NY, USA, 1992; pp. 3–47. [Google Scholar]
- Stoffel, M.; Bollschweiler, M. Tree-ring analysis in natural hazards research. Nat. Hazards Earth Syst. Sci. 2008, 8, 187–202. [Google Scholar] [CrossRef]
- Couto, G.A.; Sanchez, A.; Alvalá, R.C.S.; Nobre, C.A. Natural hazards fatalities in Brazil, 1979–2019. Nat. Hazards 2023, 118, 1487–1514. [Google Scholar] [CrossRef]
- Maddox, R.A. Mesoscale convective complexes. Bull. Am. Meteorol. Soc. 1980, 61, 1374–1387. [Google Scholar] [CrossRef]
- Velasco, I.; Fritsch, J.M. Mesoscale convective complexes in the Americas. J. Geophys. Res. 1987, 92, 9591–9613. [Google Scholar] [CrossRef]
- Saunders, C. A review of thunderstorm electrification processes. J. Appl. Meteorol. Climatol. 1993, 32, 642–655. [Google Scholar] [CrossRef]
- Deierling, W.; Petersen, W.A. Total lightning activity as an indicator of updraft characteristics. J. Geophys. Res. 2008, 113, D16210. [Google Scholar] [CrossRef]
- Barthe, C.; Pinty, J.-P. Simulation of a supercellular storm using a three-dimensional mesoscale model with an explicit lightning flash scheme. J. Geophys. Res. 2007, 112, D06210. [Google Scholar] [CrossRef]
- Wang, Y.; Yang, Y.; Wang, C. Improving forecasting of strong convection by assimilating cloud-to-ground lightning data using the physical initialization method. Atmos. Res. 2014, 150, 31–41. [Google Scholar] [CrossRef]
- Rakov, V.A.; Uman, M.A. Lightning: Physics and Effects; Cambridge University Press: Cambridge, UK, 2003. [Google Scholar]
- Goodman, S.J.; Blakeslee, R.J.; Koshak, W.J.; Mach, D.; Bailey, J.; Buechler, D.; Carey, L.; Schultz, C.; Bateman, M.; Christian, E.M. The GOES-R geostationary lightning mapper (GLM). Atmos. Res. 2013, 125, 34–49. [Google Scholar] [CrossRef]
- Rudlosky, S.D.; Goodman, S.J.; Virts, K.S.; Bruning, E.C. Initial Geostationary Lightning Mapper observations. Geophys. Res. Lett. 2019, 46, 1097–1104. [Google Scholar] [CrossRef]
- Peterson, M. Research applications for the Geostationary Lightning Mapper operational lightning flash data product. J. Geophys. Res. Atmos. 2019, 124, 10205–10231. [Google Scholar] [CrossRef]
- Xiao, X.; Sun, J.; Qie, X.; Ying, Z.; Ji, L.; Chen, M.; Zhang, L. Lightning data assimilation scheme in a 4DVAR system and its impact on very short-term convective forecasting. Mon. Weather Rev. 2021, 149, 353–373. [Google Scholar] [CrossRef]
- Combarnous, P.; Erdmann, F.; Caumont, O.; Defer, E.; Martet, M. An observation operator for geostationary lightning imager data assimilation in the French storm-scale numerical weather prediction system AROME. Nat. Hazards Earth Syst. Sci. Discuss. 2022, 570, 1–30. [Google Scholar]
- Fierro, A.O.; Mansell, E.R.; Ziegler, C.L.; MacGorman, D.R. Application of a lightning data assimilation technique in the WRF-ARW model at cloud-resolving scales for the tornado outbreak of 24 May 2011. Mon. Weather Rev. 2012, 140, 2609–2627. [Google Scholar] [CrossRef]
- Vargas, V., Jr.; Ferreira, R.C.; Pinto, O., Jr.; Herdies, D.L. Assessing the Impact of Lightning Data Assimilation in the WRF Model. Atmosphere 2024, 15, 826. [Google Scholar] [CrossRef]
- Vargas, V.R. Assessing the Impact of Lightning Data Assimilation in the WRF Model. Ph.D. Thesis, Instituto Nacional de Pesquisas Espaciais (INPE), Cachoeira Paulista, Brazil, 2019. [Google Scholar]
- Ferreira, R.C. Uso da Assimilação de Dados de Radar e Descargas Elétricas na Previsão de Curtíssimo Prazo no Sul do Brasil. Ph.D. Thesis, Instituto Nacional de Pesquisas Espaciais (INPE), Cachoeira Paulista, Brazil, 2021. [Google Scholar]
- Allen, B.J.; Mansell, E.R.; Dowell, D.C.; Deierling, W. Assimilation of pseudo-GLM data using the ensemble Kalman filter. Mon. Weather Rev. 2016, 144, 3465–3486. [Google Scholar] [CrossRef]
- Vendrasco, E.P.; Machado, L.A.; Araujo, C.S.; Ribaud, J.-F.; Ferreira, R.C. Potential use of the GLM for nowcasting and data assimilation. Atmos. Res. 2020, 242, 105019. [Google Scholar] [CrossRef]
- Marengo, J.A.; Soares, W.R.; Saulo, C.; Nicolini, M. Climatology of the low-level jet east of the Andes as derived from the NCEP–NCAR reanalyses: Characteristics and temporal variability. J. Clim. 2004, 17, 2261–2280. [Google Scholar] [CrossRef]
- Reboita, M.S.; Rocha, R.P.; Dutra, L.M.M.; Ambrizzi, T. Relationship between the Southern Annular Mode and Southern Hemisphere atmospheric systems. Clim. Dyn. 2010, 35, 1167–1179. [Google Scholar] [CrossRef]
- Anagnostou, E.N. A convective/stratiform precipitation classification algorithm for volume scanning weather radar observations. Meteorol. Appl. 2004, 11, 291–300. [Google Scholar] [CrossRef]
- Mach, D.M. Geostationary Lightning Mapper clustering algorithm stability. J. Geophys. Res. Atmos. 2020, 125, e2019JD031900. [Google Scholar] [CrossRef]
- Qi, Y.; Zhang, J.; Zhang, P. A real-time automated convective and stratiform precipitation segregation algorithm in native radar coordinates. Q. J. R. Meteorol. Soc. 2013, 139, 2233–2240. [Google Scholar] [CrossRef]
- Greene, D.R.; Clark, R.A. Vertically integrated liquid water—A new analysis tool. Mon. Weather Rev. 1972, 100, 548–552. [Google Scholar] [CrossRef]
- Kleist, D.T.; Parrish, D.F.; Derber, J.C.; Treadon, R.; Wu, W.S.; Lord, S. Introduction of the GSI into the NCEP Global Data Assimilation System. Weather Forecast. 2009, 24, 1691–1705. [Google Scholar] [CrossRef]
- Vera, C.; Silvestri, G.; Liebmann, B.; González, P. Climate change scenarios for seasonal precipitation in South America from IPCC-AR4 models. Geophys. Res. Lett. 2006, 33, 13. [Google Scholar] [CrossRef]
- Price, C.; Rind, D. A simple lightning parameterization for calculating global lightning distributions. J. Geophys. Res. 1992, 97, 9919–9933. [Google Scholar] [CrossRef]
- Petersen, W.A.; Rutledge, S.A. TRMM observations of the global relationship between ice water content and lightning. Geophys. Res. Lett. 2005, 32, L14819. [Google Scholar] [CrossRef]
- Ferreira, N.J.; de Albuquerque Cavalcanti, I.F. Sistemas Meteorológicos Atuantes no Brasil; Oficina de Textos: São Paulo, Brazil, 2022. [Google Scholar]
- Oliveira, R.; de Quadro, M.F.L.; Herdies, D.L.; Andrade, H.N. Seasonal climatology of cold fronts in south-central South America from an automated detection system. Ciênc. Nat. 2024, 46, e85472. [Google Scholar] [CrossRef]
- Aggarwal, P.K.; Romatschke, U.; Araguas-Araguas, L.; Belachew, D.; Longstaffe, F.J.; Berg, P.; Schumacher, C.; Funk, A. Proportions of convective and stratiform precipitation revealed in water isotope ratios. Nat. Geosci. 2016, 9, 624–629. [Google Scholar] [CrossRef]
- Doswell, C.A., III; Schultz, D.M. On the use of indices and parameters in forecasting severe storms. E-J. Sev. Storms Meteorol. 2006, 1, 1–22. [Google Scholar] [CrossRef]
- Holton, J.R.; Hakim, G.J. An Introduction to Dynamic Meteorology; Academic Press: Cambridge, MA, USA, 2013; Volume 88. [Google Scholar]
- Zhu, H.; Li, R.; Yang, S.; Zhao, C.; Jiang, Z.; Huang, C. The impacts of dust aerosol and convective available potential energy on precipitation vertical structure in southeastern China as seen from multisource observations. Atmos. Chem. Phys. 2023, 23, 2421–2437. [Google Scholar] [CrossRef]
- Carey, L.D.; Rutledge, S.A. The relationship between precipitation and lightning in tropical island convection: A C-band polarimetric radar study. Mon. Weather Rev. 2000, 128, 2687–2710. [Google Scholar] [CrossRef]
Disclaimer/Publisher’s Note: The statements, opinions and data contained in all publications are solely those of the individual author(s) and contributor(s) and not of MDPI and/or the editor(s). MDPI and/or the editor(s) disclaim responsibility for any injury to people or property resulting from any ideas, methods, instructions or products referred to in the content. |
© 2024 by the authors. Licensee MDPI, Basel, Switzerland. This article is an open access article distributed under the terms and conditions of the Creative Commons Attribution (CC BY) license (https://creativecommons.org/licenses/by/4.0/).












