Long-Range 3D Reconstruction Based on Flexible Configuration Stereo Vision Using Multiple Aerial Robots
Abstract
1. Introduction
2. Concept
3. Methodology
3.1. System Design
3.2. Data Flow, Communication and Time Synchronisation
3.3. Tracking and Pose Calibration
3.4. Position Control, Baseline Selection and Image Acquisition
- In the horizontal setup, the movement axis is to the right of the primary UAV. Therefore, a sizable space is needed depending on the distance of baseline used which varies based on the distance of the area of interest. Reconstruction of an open area, a field or a far view of a structure is recommended. Horizontal setup also tends to be more effective at mapping objects with a vertically spanning shape, such as poles.
- The movement axis of the vertical setup is upward; therefore, less space in the movement area is needed, which is ideal for mapping an area with less open space. The reconstruction of a small alleyway surrounded by buildings on two sides is more effective using a vertical setup, because the translation in the horizontal axis will create occlusion from the building. Reconstruction of the shape of objects that span horizontally, for example a bridge, is more effective when a vertical setup is used due to the characteristic of stereo matching.
3.5. Image Processing and Point Cloud Reprojection
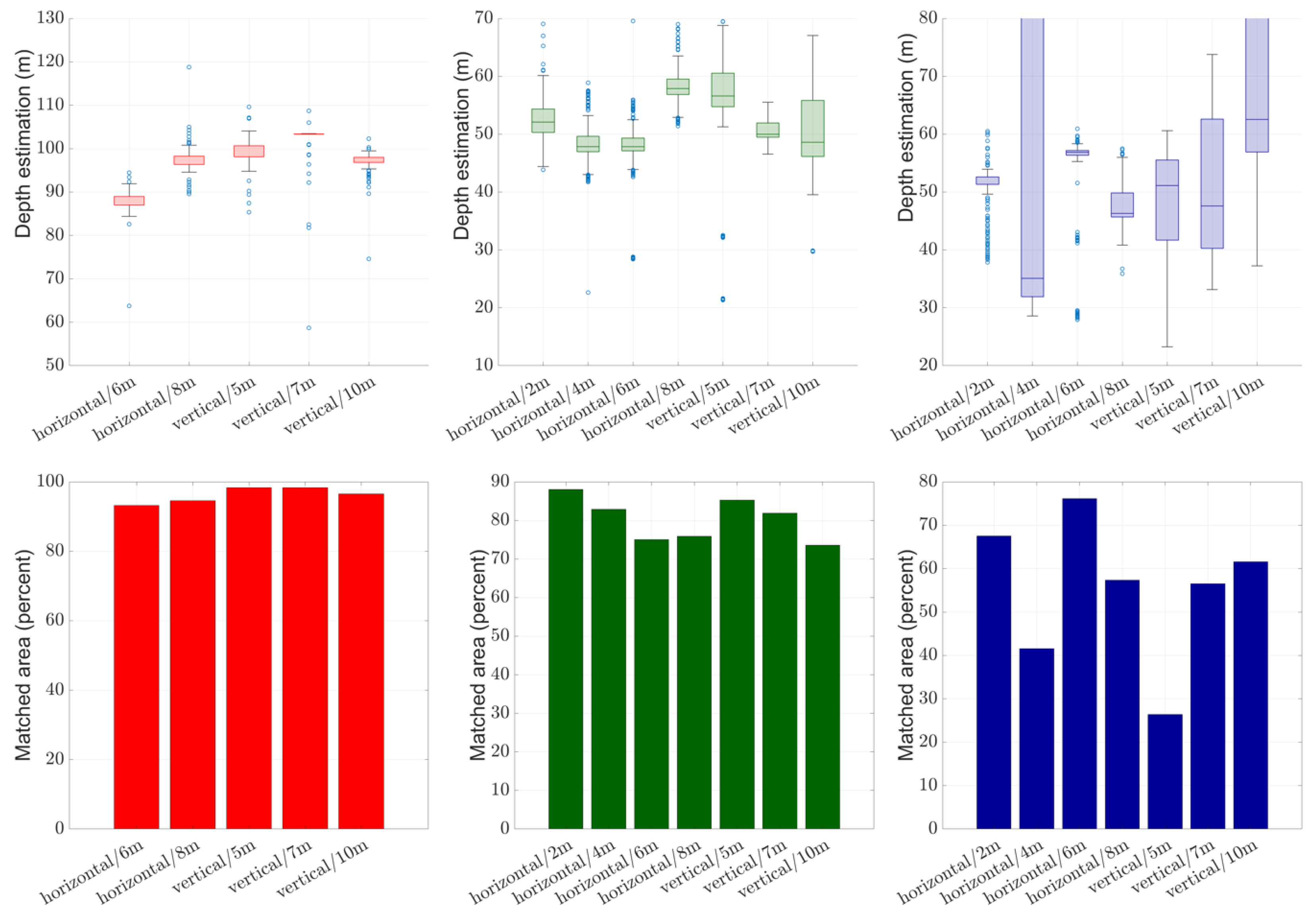
4. Experiment and Evaluation
4.1. Large Baseline and Inward Tilt Simulation
4.2. Multiple Configuration Simulation
4.3. Mapping with Prototype UAVs
5. Conclusions
Supplementary Materials
Author Contributions
Funding
Data Availability Statement
Conflicts of Interest
Abbreviations
| AR | Augmented Reality |
| LiDAR | Light Detection and Ranging |
| NTP | Network Time Protocol |
| POI | Point of Interest |
| ROS | Robot Operating System |
| SfM | Structure from Motion |
| SLAM | Simultaneous Localisation and Mapping |
| UAV | Unmanned Aerial Vehicle |
References
- Nex, F.; Remondino, F. UAV for 3D mapping applications: A review. Appl. Geomat. 2014, 6, 1–15. [Google Scholar] [CrossRef]
- Li, Q.; Huang, H.; Yu, W.; Jiang, S. Optimized views photogrammetry: Precision analysis and a large-scale case study in qingdao. IEEE J. Sel. Top. Appl. Earth Obs. Remote Sens. 2023, 16, 1144–1159. [Google Scholar] [CrossRef]
- Śledź, S.; Ewertowski, M.W.; Piekarczyk, J. Applications of unmanned aerial vehicle (UAV) surveys and Structure from Motion photogrammetry in glacial and periglacial geomorphology. Geomorphology 2021, 378, 107620. [Google Scholar] [CrossRef]
- Room, M.; Anuar, A. Integration of Lidar system, mobile laser scanning (MLS) and unmanned aerial vehicle system for generation of 3d building model application: A review. In IOP Conference Series: Earth and Environmental Science; IOP Publishing: Bristol, UK, 2022; Volume 1064, p. 012042. [Google Scholar]
- Setyawan, A.A.; Taftazani, M.I.; Bahri, S.; Noviana, E.D.; Faridatunnisa, M. Drone LiDAR application for 3D city model. J. Appl. Geospat. Inf. 2022, 6, 572–576. [Google Scholar] [CrossRef]
- Meng, H.; Wang, G.; Han, Y.; Zhang, Z.; Cao, Y.; Chen, J. A 3D modeling algorithm of ground crop based on light multi-rotor UAV lidar remote sensing data. In Proceedings of the 2019 IEEE International Conference on Unmanned Systems and Artificial Intelligence (ICUSAI), Xi’an, China, 22–24 November 2019; IEEE: Piscataway, NJ, USA, 2019; pp. 246–250. [Google Scholar]
- Martinez Rocamora Jr, B.; Lima, R.R.; Samarakoon, K.; Rathjen, J.; Gross, J.N.; Pereira, G.A. Oxpecker: A tethered uav for inspection of stone-mine pillars. Drones 2023, 7, 73. [Google Scholar] [CrossRef]
- Leclerc, M.A.; Bass, J.; Labbé, M.; Dozois, D.; Delisle, J.; Rancourt, D.; Lussier Desbiens, A. NetherDrone: A tethered and ducted propulsion multirotor drone for complex underground mining stopes inspection. Drone Syst. Appl. 2023, 11, 1–17. [Google Scholar] [CrossRef]
- Sumetheeprasit, B.; Rosales Martinez, R.; Paul, H.; Ladig, R.; Shimonomura, K. Variable Baseline and Flexible Configuration Stereo Vision Using Two Aerial Robots. Sensors 2023, 23, 1134. [Google Scholar] [CrossRef] [PubMed]
- Kim, P.; Park, J.; Cho, Y.K.; Kang, J. UAV-assisted autonomous mobile robot navigation for as-is 3D data collection and registration in cluttered environments. Autom. Constr. 2019, 106, 102918. [Google Scholar] [CrossRef]
- Olson, C.F.; Abi-Rached, H. Wide-baseline stereo vision for terrain mapping. Mach. Vis. Appl. 2010, 21, 713–725. [Google Scholar] [CrossRef]
- Strecha, C.; Fransens, R.; Van Gool, L. Wide-baseline stereo from multiple views: A probabilistic account. In Proceedings of the 2004 IEEE Computer Society Conference on Computer Vision and Pattern Recognition, 2004, CVPR 2004, Washington, DC, USA, 27 June–2 July 2004; IEEE: Piscataway, NJ, USA, 2004; Volume 1, pp. 552–559. [Google Scholar]
- Garrido-Jurado, S.; Muñoz-Salinas, R.; Madrid-Cuevas, F.J.; Marín-Jiménez, M.J. Automatic generation and detection of highly reliable fiducial markers under occlusion. Pattern Recognit. 2014, 47, 2280–2292. [Google Scholar] [CrossRef]
- Tiderko, A.; Hoeller, F.; Röhling, T. The ROS multimaster extension for simplified deployment of multi-robot systems. In Robot Operating System (ROS) the Complete Reference; Springer: Cham, Switzerland, 2016; Volume 1, pp. 629–650. [Google Scholar]
- Hirschmuller, H.; Gehrig, S. Stereo matching in the presence of sub-pixel calibration errors. In Proceedings of the 2009 IEEE Conference on Computer Vision and Pattern Recognition, Miami, FL, USA, 20–25 June 2009; IEEE: Piscataway, NJ, USA, 2009; pp. 437–444. [Google Scholar]
- Rodriguez, J.J.; Aggarwal, J. Quantization error in stereo imaging. In Proceedings of the CVPR’88: The Computer Society Conference on Computer Vision and Pattern Recognition, Ann Arbor, MI, USA, 5–9 June 1988; IEEE Computer Society: Washington, DC, USA, 1988; pp. 153–154. [Google Scholar]
- Stoyanov, D.; Scarzanella, M.V.; Pratt, P.; Yang, G.Z. Real-time stereo reconstruction in robotically assisted minimally invasive surgery. In Proceedings of the Medical Image Computing and Computer-Assisted Intervention–MICCAI 2010: 13th International Conference, Beijing, China, 20–24 September 2010; Springer: Berlin/Heidelberg, Germany, 2010; pp. 275–282. [Google Scholar]
- Shah, S.; Dey, D.; Lovett, C.; Kapoor, A. Airsim: High-fidelity visual and physical simulation for autonomous vehicles. In Field and Service Robotics: Results of the 11th International Conference; Springer: Cham, Switzerland, 2018; pp. 621–635. [Google Scholar]
- Google Maps. Ritsumeikan University Biwako-Kusatsu Campus. Available online: https://goo.gl/maps/BNZfmefa5A41mT2c7 (accessed on 6 November 2023).
- Labbé, M.; Michaud, F. RTAB-Map as an open-source lidar and visual simultaneous localization and mapping library for large-scale and long-term online operation. J. Field Robot. 2019, 36, 416–446. [Google Scholar] [CrossRef]


















| Dimensions: | 35.9 × 30.5 × 19 cm | Rotor Span: | 25 cm |
| Flight Controller: | Pixhawk 6C | Firmware: | Ardupilot |
| Weight with Battery: | 1.5 kg | Motor: | ARRIS 2205 (2300 KV) |
| Propeller: | Inverted Tri-wing 5045 | Total Thrust: | 4 kg |
| Resolution: | 640 × 480 pixels | Field of view: | 56 degrees |
| Frame Rate: | 30 FPS | Exposure: | Automatic |
Disclaimer/Publisher’s Note: The statements, opinions and data contained in all publications are solely those of the individual author(s) and contributor(s) and not of MDPI and/or the editor(s). MDPI and/or the editor(s) disclaim responsibility for any injury to people or property resulting from any ideas, methods, instructions or products referred to in the content. |
© 2024 by the authors. Licensee MDPI, Basel, Switzerland. This article is an open access article distributed under the terms and conditions of the Creative Commons Attribution (CC BY) license (https://creativecommons.org/licenses/by/4.0/).
Share and Cite
Sumetheeprasit, B.; Rosales Martinez, R.; Paul, H.; Shimonomura, K. Long-Range 3D Reconstruction Based on Flexible Configuration Stereo Vision Using Multiple Aerial Robots. Remote Sens. 2024, 16, 234. https://doi.org/10.3390/rs16020234
Sumetheeprasit B, Rosales Martinez R, Paul H, Shimonomura K. Long-Range 3D Reconstruction Based on Flexible Configuration Stereo Vision Using Multiple Aerial Robots. Remote Sensing. 2024; 16(2):234. https://doi.org/10.3390/rs16020234
Chicago/Turabian StyleSumetheeprasit, Borwonpob, Ricardo Rosales Martinez, Hannibal Paul, and Kazuhiro Shimonomura. 2024. "Long-Range 3D Reconstruction Based on Flexible Configuration Stereo Vision Using Multiple Aerial Robots" Remote Sensing 16, no. 2: 234. https://doi.org/10.3390/rs16020234
APA StyleSumetheeprasit, B., Rosales Martinez, R., Paul, H., & Shimonomura, K. (2024). Long-Range 3D Reconstruction Based on Flexible Configuration Stereo Vision Using Multiple Aerial Robots. Remote Sensing, 16(2), 234. https://doi.org/10.3390/rs16020234

