Enhancing Planning for Autonomous Driving via an Iterative Optimization Framework Incorporating Safety-Critical Trajectory Generation
Abstract
1. Introduction
- (1)
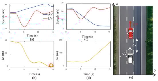
- Safety-critical trajectory generation: The first challenge involves generating safety-critical driving trajectories by data-driven methods. Initially, these methods struggle to adhere to vehicle kinematic constraints. Furthermore, although multi-vehicle interactions are common in traffic scenarios, existing solutions seldom account for them during trajectory generation. More importantly, safety-critical trajectories are rare in collected natural driving datasets, which significantly lowers the efficiency of their generation.
- (2)
- Optimizing AV planning in safety-critical trajectories: AV planning needs to effectively handle complicated near-collision scenarios, which are from generated safety-critical trajectories. However, the more challenging these scenarios are, the more difficult it becomes to improve AV planning, directly affecting the optimization algorithms. This increased complexity poses significant challenges for the method designed to optimize AV planning.
- (1)
- The Adv. Dual-CVAE is introduced to efficiently generate safety-critical trajectories, enhancing the variety of challenging scenarios for improving AV safety. Specifically, the decoder in the CVAE [34] is designed through data-mechanism integration, enabling the generation of trajectories that adhere to vehicle kinematic constraints. The Dual-CVAE uses a shared objective function to interactively generate vehicle trajectories during training. By integrating adversarial optimization, the Adv. Dual-CVAE significantly boosts the generation efficiency, enabling a shift from generating normal to safety-critical trajectories.
- (2)
- An iterative optimization framework is proposed to ensure that the AV planning improvements remain effective. The framework segments the optimization process into stages, beginning with normal trajectories and methodically advancing to increasingly address safety-critical ones and direct collision trajectories, as demonstrated in Figure 1d.
- (3)
- The study of enhancing AV planning is carried out, involving distinct AVs in cut-in and car-following scenarios.
2. Problem Statement
2.1. Naturalistic Driving Dataset Collected by Remote Sensing
2.2. Safety-Critial Trajectory Generation by Adv. Dual-CVAE
2.3. Traditional Optimization Solution for AV Planning
2.4. Iterative Optimization Framework
3. Safety-Critical Trajectory Generation by Adv. Dual-CVAE
3.1. Data-Driven Traffic Model by Dual-CVAE
3.1.1. Decoder of CVAE for Data-Mechanism Integration
3.1.2. Dual-CVAE for Multi-Vehicle Interactions
3.2. Adversarial Optimization of Dual-CVAE
4. Iterative Optimization Framework Incorporating Safety-Critical Trajectory Generation
| Algorithm 1 Iterative Optimization Framework Incorporating Safety-critical Trajectory Generation for AV Planning |
|
5. Results
5.1. Experiment’s Setup
5.1.1. Case Study Scenarios and Dataset
5.1.2. Model Parameter Setting
5.1.3. Evaluation Metrics
5.2. Training Result and Analysis of Adv. Dual-CVAE
5.2.1. Evaluation of Dual-CVAE Training
5.2.2. Comparative Efficiency of Safety-Critical Trajectory Generation by Adv. Dual-CVAE
5.3. Comparative Analysis of Iterative Optimization in AV Collision Avoidance across Driving Scenarios
6. Discussion
7. Conclusions
Author Contributions
Funding
Data Availability Statement
Acknowledgments
Conflicts of Interest
References
- Feng, S.; Sun, H.; Yan, X.; Zhu, H.; Zou, Z.; Shen, S.; Liu, H.X. Dense reinforcement learning for safety validation of autonomous vehicles. Nature 2023, 615, 620–627. [Google Scholar] [CrossRef] [PubMed]
- Feng, S.; Yan, X.; Sun, H.; Feng, Y.; Liu, H.X. Intelligent driving intelligence test for autonomous vehicles with naturalistic and adversarial environment. Nat. Commun. 2021, 12, 748. [Google Scholar] [CrossRef]
- Giannaros, A.; Karras, A.; Theodorakopoulos, L.; Karras, C.; Kranias, P.; Schizas, N.; Kalogeratos, G.; Tsolis, D. Autonomous vehicles: Sophisticated attacks, safety issues, challenges, open topics, blockchain, and future directions. J. Cybersecur. Priv. 2023, 3, 493–543. [Google Scholar] [CrossRef]
- Feng, S.; Feng, Y.; Sun, H.; Zhang, Y.; Liu, H.X. Testing scenario library generation for connected and automated vehicles: An adaptive framework. IEEE Trans. Intell. Transp. Syst. 2020, 23, 1213–1222. [Google Scholar] [CrossRef]
- Wang, C.; Wang, Z.; Zhang, Z.; Liu, J.; Li, W.; Wu, Y.; Li, X.; Yu, H.; Cao, D. Integrated post-impact planning and active safety control for autonomous vehicles. IEEE Trans. Intell. Veh. 2023, 8, 2062–2076. [Google Scholar] [CrossRef]
- He, X.; Huang, W.; Lv, C. Toward trustworthy decision-making for autonomous vehicles: A robust reinforcement learning approach with safety guarantees. Engineering 2024, 33, 77–89. [Google Scholar] [CrossRef]
- Teng, S.; Hu, X.; Deng, P.; Li, B.; Li, Y.; Ai, Y.; Yang, D.; Li, L.; Xuanyuan, Z.; Zhu, F.; et al. Motion planning for autonomous driving: The state of the art and future perspectives. IEEE Trans. Intell. Veh. 2023, 8, 3692–3711. [Google Scholar] [CrossRef]
- Hanselmann, N.; Renz, K.; Chitta, K.; Bhattacharyya, A.; Geiger, A. King: Generating safety-critical driving scenarios for robust imitation via kinematics gradients. In European Conference on Computer Vision; Springer: Berlin/Heidelberg, Germany, 2022; pp. 335–352. [Google Scholar]
- Chowdhury, J.; Shivaraman, V.; Sundaram, S.; Sujit, P. Graph-based Prediction and Planning Policy Network (GP3Net) for scalable self-driving in dynamic environments using Deep Reinforcement Learning. In Proceedings of the AAAI Conference on Artificial Intelligence, Vancouver, BC, Canada, 20–27 February 2024; Volume 38, pp. 11606–11614. [Google Scholar]
- Liu, H.; Wei, H.; Zuo, T.; Li, Z.; Yang, Y.J. Fine-tuning ADAS algorithm parameters for optimizing traffic safety and mobility in connected vehicle environment. Transp. Res. Part C Emerg. Technol. 2017, 76, 132–149. [Google Scholar] [CrossRef] [PubMed]
- Zhang, X.; Liniger, A.; Borrelli, F. Optimization-based collision avoidance. IEEE Trans. Control Syst. Technol. 2020, 29, 972–983. [Google Scholar] [CrossRef]
- Wang, J.; Pun, A.; Tu, J.; Manivasagam, S.; Sadat, A.; Casas, S.; Ren, M.; Urtasun, R. Advsim: Generating safety-critical scenarios for self-driving vehicles. In Proceedings of the IEEE/CVF Conference on Computer Vision and Pattern Recognition, Nashville, TN, USA, 20–25 June 2021; pp. 9909–9918. [Google Scholar]
- Wang, Z.; Li, X.; Wei, D.; Wang, L.; Huang, Y. Efficient Generation of Safety-Critical Scenarios Combining Dynamic and Static Scenario Parameters. IEEE Trans. Intell. Veh. 2024. [Google Scholar] [CrossRef]
- Pek, C.; Althoff, M. Fail-safe motion planning for online verification of autonomous vehicles using convex optimization. IEEE Trans. Robot. 2020, 37, 798–814. [Google Scholar] [CrossRef]
- Sharma, O.; Sahoo, N.C.; Puhan, N.B. Recent advances in motion and behavior planning techniques for software architecture of autonomous vehicles: A state-of-the-art survey. Eng. Appl. Artif. Intell. 2021, 101, 104211. [Google Scholar] [CrossRef]
- Ding, W.; Xu, C.; Arief, M.; Lin, H.; Li, B.; Zhao, D. A survey on safety-critical driving scenario generation—A methodological perspective. IEEE Trans. Intell. Transp. Syst. 2023, 24, 6971–6988. [Google Scholar] [CrossRef]
- Ajanović, Z.; Regolin, E.; Shyrokau, B.; Ćatić, H.; Horn, M.; Ferrara, A. Search-based task and motion planning for hybrid systems: Agile autonomous vehicles. Eng. Appl. Artif. Intell. 2023, 121, 105893. [Google Scholar] [CrossRef]
- Zhang, C.; Tang, Z.; Zhang, M.; Wang, B.; Hou, L. Developing a more reliable aerial photography-based method for acquiring freeway traffic data. Remote Sens. 2022, 14, 2202. [Google Scholar] [CrossRef]
- Krajewski, R.; Bock, J.; Kloeker, L.; Eckstein, L. The highD dataset: A drone dataset of naturalistic vehicle trajectories on german highways for validation of highly automated driving systems. In Proceedings of the 21st International Conference on Intelligent Transportation Systems (ITSC), Maui, HI, USA, 4–7 November 2018; pp. 2118–2125. [Google Scholar]
- Rempe, D.; Philion, J.; Guibas, L.J.; Fidler, S.; Litany, O. Generating Useful Accident-Prone Driving Scenarios via a Learned Traffic Prior. In Proceedings of the IEEE/CVF Conference on Computer Vision and Pattern Recognition, New Orleans, LA, USA, 18–24 June 2022; pp. 17305–17315. [Google Scholar]
- Chen, B.; Chen, X.; Wu, Q.; Li, L. Adversarial evaluation of autonomous vehicles in lane-change scenarios. IEEE Trans. Intell. Transp. Syst. 2021, 23, 10333–10342. [Google Scholar] [CrossRef]
- Yan, X.; Feng, S.; Sun, H.; Liu, H.X. Distributionally consistent simulation of naturalistic driving environment for autonomous vehicle testing. arXiv 2021, arXiv:2101.02828. [Google Scholar]
- Abeysirigoonawardena, Y.; Shkurti, F.; Dudek, G. Generating adversarial driving scenarios in high-fidelity simulators. In Proceedings of the 2019 International Conference on Robotics and Automation (ICRA), Montreal, QC, Canada, 20–24 May 2019; pp. 8271–8277. [Google Scholar]
- Zhu, S.; Aksun-Guvenc, B. Trajectory planning of autonomous vehicles based on parameterized control optimization in dynamic on-road environments. J. Intell. Robot. Syst. 2020, 100, 1055–1067. [Google Scholar] [CrossRef]
- Diachuk, M.; Easa, S.M. Motion planning for autonomous vehicles based on sequential optimization. Vehicles 2022, 4, 344–374. [Google Scholar] [CrossRef]
- Zhang, L.; Zhang, R.; Wu, T.; Weng, R.; Han, M.; Zhao, Y. Safe reinforcement learning with stability guarantee for motion planning of autonomous vehicles. IEEE Trans. Neural Netw. Learn. Syst. 2021, 32, 5435–5444. [Google Scholar] [CrossRef]
- Aradi, S. Survey of deep reinforcement learning for motion planning of autonomous vehicles. IEEE Trans. Intell. Transp. Syst. 2020, 23, 740–759. [Google Scholar] [CrossRef]
- Fisac, J.F.; Bronstein, E.; Stefansson, E.; Sadigh, D.; Sastry, S.S.; Dragan, A.D. Hierarchical game-theoretic planning for autonomous vehicles. In Proceedings of the 2019 International conference on robotics and automation (ICRA), Montreal, QC, Canada, 20–24 May 2019; pp. 9590–9596. [Google Scholar]
- Yan, Y.; Peng, L.; Shen, T.; Wang, J.; Pi, D.; Cao, D.; Yin, G. A multi-vehicle game-theoretic framework for decision making and planning of autonomous vehicles in mixed traffic. IEEE Trans. Intell. Veh. 2023, 8, 4572–4587. [Google Scholar] [CrossRef]
- Li, C.; Trinh, T.; Wang, L.; Liu, C.; Tomizuka, M.; Zhan, W. Efficient game-theoretic planning with prediction heuristic for socially-compliant autonomous driving. IEEE Robot. Autom. Lett. 2022, 7, 10248–10255. [Google Scholar] [CrossRef]
- Pinto, L.; Davidson, J.; Sukthankar, R.; Gupta, A. Robust adversarial reinforcement learning. In Proceedings of the International Conference on Machine Learning. PMLR, Sydney, Australia, 6–11 August 2017; pp. 2817–2826. [Google Scholar]
- Li, N.; Oyler, D.W.; Zhang, M.; Yildiz, Y.; Kolmanovsky, I.; Girard, A.R. Game theoretic modeling of driver and vehicle interactions for verification and validation of autonomous vehicle control systems. IEEE Trans. Control Syst. Technol. 2017, 26, 1782–1797. [Google Scholar] [CrossRef]
- Tian, R.; Li, N.; Kolmanovsky, I.; Yildiz, Y.; Girard, A.R. Game-theoretic modeling of traffic in unsignalized intersection network for autonomous vehicle control verification and validation. IEEE Trans. Intell. Transp. Syst. 2020, 23, 2211–2226. [Google Scholar] [CrossRef]
- Lopez-Martin, M.; Carro, B.; Sanchez-Esguevillas, A.; Lloret, J. Conditional variational autoencoder for prediction and feature recovery applied to intrusion detection in iot. Sensors 2017, 17, 1967. [Google Scholar] [CrossRef] [PubMed]
- Zhang, Z.; Zhu, L. A review on unmanned aerial vehicle remote sensing: Platforms, sensors, data processing methods, and applications. Drones 2023, 7, 398. [Google Scholar] [CrossRef]
- Abdollahi, A.; Pradhan, B.; Alamri, A. VNet: An end-to-end fully convolutional neural network for road extraction from high-resolution remote sensing data. IEEE Access 2020, 8, 179424–179436. [Google Scholar] [CrossRef]
- Teng, H.; Ota, K.; Liu, A.; Wang, T.; Zhang, S. Vehicles joint UAVs to acquire and analyze data for topology discovery in large-scale IoT systems. Peer-Netw. Appl. 2020, 13, 1720–1743. [Google Scholar] [CrossRef]
- Han, Y.; Liu, H.; Wang, Y.; Liu, C. A comprehensive review for typical applications based upon unmanned aerial vehicle platform. IEEE J. Sel. Top. Appl. Earth Obs. Remote Sens. 2022, 15, 9654–9666. [Google Scholar] [CrossRef]
- Yao, H.; Qin, R.; Chen, X. Unmanned aerial vehicle for remote sensing applications—A review. Remote Sens. 2019, 11, 1443. [Google Scholar] [CrossRef]
- Kim, E.J.; Park, H.C.; Ham, S.W.; Kho, S.Y.; Kim, D.K. Extracting vehicle trajectories using unmanned aerial vehicles in congested traffic conditions. J. Adv. Transp. 2019, 2019, 9060797. [Google Scholar] [CrossRef]
- Jiménez-Jiménez, S.I.; Ojeda-Bustamante, W.; Marcial-Pablo, M.d.J.; Enciso, J. Digital terrain models generated with low-cost UAV photogrammetry: Methodology and accuracy. ISPRS Int. J. Geo-Inf. 2021, 10, 285. [Google Scholar] [CrossRef]
- Nadimi, N.; Ragland, D.R.; Mohammadian Amiri, A. An evaluation of time-to-collision as a surrogate safety measure and a proposal of a new method for its application in safety analysis. Transp. Lett. 2020, 12, 491–500. [Google Scholar] [CrossRef]
- Hochreiter, S. Long Short-term Memory. In Neural Computation; MIT-Press: Cambridge, MA, USA, 1997. [Google Scholar]
- Kong, J.; Pfeiffer, M.; Schildbach, G.; Borrelli, F. Kinematic and dynamic vehicle models for autonomous driving control design. In Proceedings of the 2015 IEEE Intelligent Vehicles Symposium (IV), Seoul, Republic of Korea, 28 June–1 July 2015; pp. 1094–1099. [Google Scholar]
- Kingma, D.P. Adam: A method for stochastic optimization. arXiv 2014, arXiv:1412.6980. [Google Scholar]
- Sun, P.; Wang, X.; Zhu, M. Modeling car-following behavior on freeways considering driving style. J. Transp. Eng. Part A Syst. 2021, 147, 04021083. [Google Scholar] [CrossRef]
- Hou, J.; Yao, D.; Wu, F.; Shen, J.; Chao, X. Online vehicle velocity prediction using an adaptive radial basis function neural network. IEEE Trans. Veh. Technol. 2021, 70, 3113–3122. [Google Scholar] [CrossRef]
- Feng, X.; Cen, Z.; Hu, J.; Zhang, Y. Vehicle trajectory prediction using intention-based conditional variational autoencoder. In Proceedings of the 2019 IEEE Intelligent Transportation Systems Conference (ITSC), Auckland, New Zealand, 27–30 October 2019; pp. 3514–3519. [Google Scholar]















| Cut-In | Car-Following | |||
|---|---|---|---|---|
| Model | xy (m) | v (m/s) | xy (m) | v (m/s) |
| Traditional CVAE | 28.53 | 0.73 | 1.34 | 38.84 |
| Dual-CVAE | 0.59 | 0.24 | 0.06 | 1.46 |
| Reduction (%) | 97.93↓ | 67.12 | 95.52 | 96.24↓ |
| Scenario | Model | TTC < 3 | 3 < TTC < 4 | 4 < TTC < 5 | ||
|---|---|---|---|---|---|---|
| cut-in | Base Dual-CVAE | 40 | 31.25 | 25 | 21.31 | 14.75 |
| Adv. Dual-CVAE | 100 | 100 | 96.55 | 98.31 | 96.61 | |
| Improve by | 60↑ | 68.75 | 71.25↑ | 77↑ | 81.86 | |
| car-following | Base Dual-CVAE | 23.63 | 29.55 | 27.27 | 18.87 | 15.09 |
| Adv. Dual-CVAE | 98.46 | 95.24 | 90.48 | 95.92 | 85.71 | |
| Improve by | 74.83↑ | 65.69 | 63.21↑ | 77.05 | 70.62 | |
| Scenario | Optimization Method | Generated Trajectories | ||
|---|---|---|---|---|
| Normal | Safety-Critical | Collision | ||
| cut-in | Traditional optimization | 100 | 55.77 | 49.36 |
| Iterative optimization | 100 | 80.56 | 77.59 | |
| Improve | 0 | 24.79↑ | 28.23↑ | |
| car-following | Traditional optimization | 86.35 | 86.60 | 86.19 |
| Iterative optimization | 99.96 | 99.87 | 99.86 | |
| Improve | 13.61 | 13.27↑ | 13.67↑ | |
| Scenario | Adv. Dual-CVAE | Iterative Optimization | |||
|---|---|---|---|---|---|
| Dual-CVAE | Adversarial Optimization | Normal | Safety-Critical | Collision | |
| cut-in | 0.008 s | 0.522 s | 10.324 s | 15.021 s | 29.894 s |
| car-following | 0.003 s | 0.084 s | 1.885 s | 6.983 s | 13.839 s |
Disclaimer/Publisher’s Note: The statements, opinions and data contained in all publications are solely those of the individual author(s) and contributor(s) and not of MDPI and/or the editor(s). MDPI and/or the editor(s) disclaim responsibility for any injury to people or property resulting from any ideas, methods, instructions or products referred to in the content. |
© 2024 by the authors. Licensee MDPI, Basel, Switzerland. This article is an open access article distributed under the terms and conditions of the Creative Commons Attribution (CC BY) license (https://creativecommons.org/licenses/by/4.0/).
Share and Cite
Liu, Z.; Gao, H.; Lin, Y.; Gong, X. Enhancing Planning for Autonomous Driving via an Iterative Optimization Framework Incorporating Safety-Critical Trajectory Generation. Remote Sens. 2024, 16, 3721. https://doi.org/10.3390/rs16193721
Liu Z, Gao H, Lin Y, Gong X. Enhancing Planning for Autonomous Driving via an Iterative Optimization Framework Incorporating Safety-Critical Trajectory Generation. Remote Sensing. 2024; 16(19):3721. https://doi.org/10.3390/rs16193721
Chicago/Turabian StyleLiu, Zhen, Hang Gao, Yeting Lin, and Xun Gong. 2024. "Enhancing Planning for Autonomous Driving via an Iterative Optimization Framework Incorporating Safety-Critical Trajectory Generation" Remote Sensing 16, no. 19: 3721. https://doi.org/10.3390/rs16193721
APA StyleLiu, Z., Gao, H., Lin, Y., & Gong, X. (2024). Enhancing Planning for Autonomous Driving via an Iterative Optimization Framework Incorporating Safety-Critical Trajectory Generation. Remote Sensing, 16(19), 3721. https://doi.org/10.3390/rs16193721

