Abstract
The performance of marine radar constant false alarm rate (CFAR) detection method is significantly influenced by the modeling of sea clutter distribution and detector decision rules. The false alarm rate and detection rate are therefore unstable. In order to address low CFAR detection performance and the modeling problem of non-uniform, non-Gaussian, and non-stationary sea clutter distribution in marine radar images, in this paper, a CFAR detection method in generalized extreme value distribution modeling based on marine radar space-time filtering background clutter is proposed. Initially, three-dimensional (3D) frequency wave-number (space-time) domain adaptive filter is employed to filter the original radar image, so as to obtain uniform and stable background clutter. Subsequently, generalized extreme value (GEV) distribution is introduced to integrally model the filtered background clutter. Finally, Inclusion/Exclusion (IE) with the best performance under the GEV distribution is selected as the clutter range profile CFAR (CRP-CFAR) detector decision rule in the final detection. The proposed method is verified by utilizing real marine radar image data. The results indicate that when the is set at 0.0001, the proposed method exhibits an average improvement in of 2.3% compared to STAF-RCBD-CFAR, and a 6.2% improvement compared to STCS-WL-CFAR. When the is set at 0.001, the proposed method exhibits an average improvement in of 6.9% compared to STAF-RCBD-CFAR, and a 9.6% improvement compared to STCS-WL-CFAR.
1. Introduction
Marine radar plays a crucial role in target detection, rainfall detection, wind field inversion, and wave inversion, due to its advantages of being unaffected by weather, environment, and space range [1,2,3,4,5,6]. Since the presence of both target and sea clutter signals in the backscattered radar signal, effectively detecting the target with marine radar in complicated sea clutter conditions is faced with significant challenges. At present, the X-band marine radar target detection methods can be divided into two categories: constant false alarm rate (CFAR) of target detection and tracking before detection (TBD) of target tracking [7].
Among these, CFAR detection stands out as the most widely employed radar target detection method. It involves initial statistical analysis and the modeling of sea clutter amplitude, followed by the finding of an optimal or sub-optimal detector to achieve the final detection. According to different detection processes, CFAR can be divided into four categories: the first category is direct CFAR detection, the second category is non-adaptive filtering-then-CFAR detection, the third category is adaptive filtering-then-CFAR detection, and the fourth category is adaptive CFAR detection [8]. Only the CFAR detector for point-by-point detection without a filtering process is utilized in the first kind of method, and the detection performance is inadequate. Moving target indication (MTI) [9] and moving target detection (MTD) [10] both belong to the second kind of CFAR. The detection scheme is typically less intricate than the third kind of CFAR, whereas the limited filtering performance results in a certain degradation in detection efficiency. By combining sea clutter suppression methods such as space-time domain sea clutter suppression (STCS) [11], eigenvalue decomposition (EVD) [12], and empirical mode decomposition (EMD) with CFAR detection, the third category CFAR has numerous advantages. In this method, the signal-to-clutter ratio (SCR) of the output filtered data are adaptively maximized, and a CFAR detector for the filtered data are designed to complete target detection. The fourth category CFAR obviates the need for independent filtering processes, integrating the filtering process within the CFAR detection process, thereby being embedded in the adaptive detection statistical analysis [13]. Such methods mainly include KGLRT [14] and AMF [15]. Although the four categories CFAR detection methodologies differ from one another, the key to achieve efficient detection of sea surface targets lies in the application of a highly matching degree sea clutter statistical model and a superior performance detector.
Consequently, the mastery of the optimal sea clutter statistical distribution is considerable for constructing appropriate target detection schemes. The sea clutter generation involves a complex physical mechanism that is influenced by various factors, including the sea state and marine meteorology [16]. As a consequence, sea clutter exhibits intricate characteristics such as being non-uniform, non-Gaussian, and non-stationary, along with exceedingly complex space-time variability [17]. In numerous prior studies, various distributions have been proposed to model the statistical characteristics of data acquired from diverse environments, including the Weibull distribution, Log-normal distribution, K distribution, Generalized Pareto (GP) distribution, mixed distribution of K and K (KK), and mixed distribution of Weibull and Weibull (WW) [18,19,20,21,22,23]. Due to, but not limited to, significant variations in the sea spike amplitude distributions across different sea states, the aforementioned distribution can not accurately adapt the real sea clutter amplitude distribution under all conditions. If the sea clutter model is inaccurate, the performance of the detector designed based on the hypothetical statistical model will be observably diminished. In order to address the issue of unstable matching between the distribution model and the real background clutter distribution caused by the space-time changes in sea clutter, the space-time adaptive filter suppression method (STAF) [24] was introduced into the statistical analysis of sea clutter distribution. Through utilizing the sea clutter dispersion characteristics in the three-dimensional frequency wave-number domain, as well as the wave velocity feature of moving targets in the same domain, STAF adaptively suppresses sea clutter and extracts targets. The introduction of STAF into sea clutter distribution statistics is driven by its ability to leverage filtered background clutter in modeling the required clutter distribution for subsequent CFAR process. Simultaneously, STAF can serve as an adaptive filtering component in the filtering-then-CFAR detection scheme. The approach not only maximizes the output SCR, but also mitigates the impact of fluctuating distribution models caused by space-time sea clutter variations, thereby obtaining the data with high SCR and a uniformly stable background amplitude distribution.
The generalized extreme value (GEV) distribution is utilized to model the probability of extreme event occurrences. For this reason, GEV is employed for fitting SAR radar images in both uniform and non-uniform environments, as well as for implementing global CFAR detection in [25,26,27]. Furthermore, GEV is utilized to model the sea spike component in low grazing angle marine radar and to construct a comprehensive background distribution weighted with the non sea spike component modeled by other distribution models [28]. The background clutter in the filtered image is no longer influenced by a large number of sea spikes and near-far effects, retaining only a small portion sea peaks. This deviates somewhat from traditional distributions, but exhibits certain similarity with SAR radar images in a uniform environment. Accordingly, the GEV distribution is introduced to statistically model the entire space-time filtering background clutter distribution of marine radar maps.
The selection of an excellent detector is a crucial aspect of the CFAR detection. The CFAR detector can dynamically determine the threshold based on the known background clutter distribution and the preset false alarm rate, which is a function of the selected background clutter statistical distribution [29]. Over the years, multitudinous sliding window CFAR detectors have been proposed for incoherent scanning radar. Ranging from the earliest cell mean (CA) to ordered statistics (OS), it has been demonstrated to exhibit better detection performance in uniform and non-uniform environments, respectively [30,31]. The Log-t detector has been validated to maintain CFAR properties in Log-normal and Weibull distributions [32]. The later proposed Inclusion/Exclusion (IE) method establishes decision rules by excluding a portion reference unit and selecting another portion for participation in clutter level estimation [33]. The decision rule in Weber–Haykin (WH) is determined by selecting two units from reference units to participate in clutter level estimation [34]. A first-order statistic is added in Weber–Haykin-ordered statistics (WHOS) based on WH to implement the decision rule, and three units are selected for participation in clutter level estimation [35]. By selecting a portion of the reference unit and the kth order statistic of reference units to participate in clutter level estimation, the decision rule is established in trim average ordered statistics (TMOS) [36]. Geometric average ordered statistics (GMOS) establishes decision rules by combining all reference units with the kth order statistic within reference units [37]. The CFAR properties of these detectors have been demonstrated under Weibull distribution, mixed Weibull distribution, and Pareto Type I distribution [38,39,40].
Due to the fact that the detection link in the proposed STAF-RCBD-CFAR is not a CFAR detector under clutter modeling, but a global threshold CFAR detector, its detection performance for low SCR target edge points is not satisfactory. In order to address this issue, this paper first improves the original two-stage detection STAF-RCBD-CFAR method by designing a CFAR detector under clutter backgrounds based on filtered imagery. The design process encompasses two key components: the first component involves conducting a statistical analysis of the clutter background subsequent to STAF filtering, while the second component pertains to selecting the optimal detector tailored to the distribution of the clutter background post-STAF filtering. The statistical analysis of radar clutter backgrounds under varying conditions, utilizing known distributions, has been one of the research topics continuously pursued in recent decades. This article presented a statistical analysis of background clutter filtered by STAF, employing Log-normal, Weibull, K, Generalized Pareto, KK, WW distributions, and GEV distributions. Due to the absence of sea clutter, the conventional sea clutter model proves to be inapplicable. The introduced GEV distribution demonstrates superior fit due to its characteristic of containing a small amount of extreme clutter in a large number of uniform clutters. Although GEV has previously been utilized in SAR radar’s sea clutter distribution fitting, it is important to note that the imaging mechanisms between SAR and maritime radars are fundamentally different. Meanwhile, the existing literature predominantly employs GEV theory for fitting sea clutter peaks or distributions under specific conditions (such as non-uniform or uniform multi-target scenarios), rather than focusing on global clutter distribution fitting that effectively filters out sea clutter. Regarding the research on the second aspect, evaluating the detection performance of known detectors under different distributions remains a key research topic. To date, there has been no investigation into the detection performance of these CRP-CFAR methods under the GEV distribution. This paper employed multiple background clutter datasets characterized by the GEV distribution to evaluate and analyze the performance of various detectors, ultimately identifying the optimal detector within the STAF-GEV distribution model. The innovative contributions of this paper can be summarized as follows.
1. This article presented, for the first time, a statistical analysis of background clutter filtered by STAF, employing Log-normal, Weibull, K, Generalized Pareto, KK, WW distributions, and GEV distributions. In the process of statistical analysis and modeling, it has been demonstrated from multiple aspects, such as the global fitting effect and local tailing fitting effect of CDF and PDF, that GEV is the best model.
2. In selecting the most optimal detector, the performance of each detector was rigorously evaluated using detection curves, establishing that IE-CFAR exhibits effectiveness and superior performance under this framework.
3. For the first time, the adaptive filtering in the frequency-wavenumber domain (or time-space domain) is combined with CFAR detection under background clutter. This approach effectively resolves the issue of inadequate detection of low SCR target edge points that arises from employing global CFAR detection within the STAF-RCBD-CFAR method. Additionally, it mitigates performance degradation caused by complex and variable sea clutter during CFAR detection. In comparison to the STAF-RCBD-CFAR method, the proposed STAF-GEV-IE-CFAR method demonstrates superior detection performance.
The remainder of this article is structured as follows: Section 2 provides a brief overview of the original data utilized in the experiment, details on the filtering process, and filtered data. Furthermore, the filtered data distribution modeling is discussed. In Section 3, six types of incoherent CRP-CFAR detectors are comprehensively presented. In Section 4, the detection performance of proposed algorithm is evaluated by using real data. Section 5 discusses the proposed method, and Section 6 summarizes the content of the article.
2. Background Clutter Distribution Modeling
In this section, real marine radar data under varying sea states, times and regions are selected to obtain clutter background distribution modelings. Subsequently, the three-dimensional (3D) frequency wave-number domain adaptive filtering method is briefly outlined, followed by an analysis of the filtered clutter background distribution modeling results. Finally, a unified generalized extreme value distribution model is established to characterize the filtered data under various conditions, and the effectiveness of the model is validated.
2.1. Original Marine Radar Data
The experimental data were obtained from the marine datasets in the East China Sea, and the datasets were collected by X-band ship-based radar in October 2017. The radar pertains to the mono pulse scanning marine radar, which has a height of 25 m, a grazing angle of 0.22 degrees, and a rotation time of around 2.3 s. A single radar map consists of 2048 lines, with each line containing 600 range bins and covering a radial distance of 4.5 km. The wave height of the selected datasets (the average height of the one-third of highest waves) range from 1.5 m to 3.5 m. The square region incised in the PPI map is transformed from polar coordinates to Cartesian coordinates by employing the nearest neighbor interpolation method. The pixels of the interpolation map are 848 × 848.
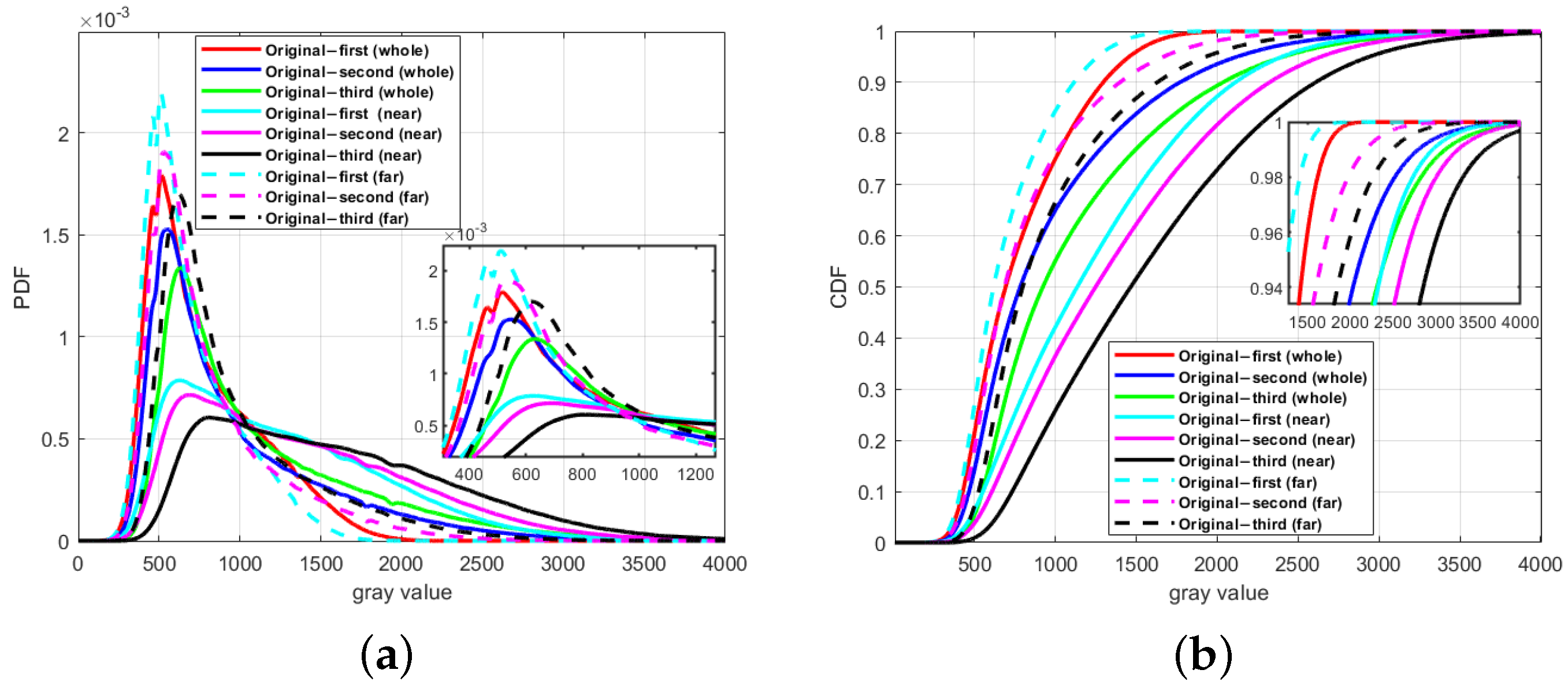
The interpolated original maps of three distinct wave heights are depicted in Figure 1. The whole map contains data collected along lines perpendicular and parallel to the wave direction. The upwave data exhibited more pronounced spike characteristics, which differed significantly from the crosswave data. Secondly, the electromagnetic wave transmitted by the radar antenna will experience attenuation when propagating in the air, resulting in near and far effects which, in turn, leads to cause variations in sea clutter distribution within the same map. Accordingly, the original map data were divided into different regions and the sea clutter distributions were calculated. The area where both the central saturation zone and radar blind area have been removed in the whole region. Subsequently, the whole area was categorized into the near region and far region based on radial distance. Figure 2a,b display the statistical sea clutter probability density function (PDF) and cumulative distribution function (CDF) for the whole region, near region, and far region in three data. With the increase in wave height, the sea clutter PDF shifts toward higher gray values as a whole. Furthermore, the proportion of high gray values increases, leading to a slower rate at which the CDF of sea clutter reaches 1 and a larger trailing effect. The sea clutter in the near region possesses a higher overall gray value, with larger trailing in both the PDF and CDF. Conversely, the sea clutter in the far region displays a weaker overall gray value, with smaller trailing in the PDF and CDF. Furthermore, sea clutter PDF and CDF exhibit significant differences in both near and far regions, as well as across the whole region. Hence, it is essential to process the raw data in order to achieve a consistent and homogeneous background clutter distribution.
Figure 1.
Interpolated original radar range-azimuth map: (a) The first set data (wave height 2.65 m). (b) The second set data (wave height 2.83 m). (c) The third set data (wave height 3.18 m).
Figure 2.
The background clutter statistical distribution in the original radar range-azimuth map: (a) PDF distribution for the whole area, near area, and far area under the three datasets. (b) CDF distribution for the whole area, near area, and far area under the three datasets.
2.2. Space-Time Adaptation Filtering
The original data are processed by STAF [24]. First, the raw image sequence is transformed to a 3D frequency wave-number spectrum by 3D fast Fourier transform (FFT). The discrete form of this spectrum is expressed as follows:
where and are the spatial scales of the image sequence, and T denotes the temporal scale. and denote the wave-number components of the spectrum, is the temporal frequency, and is the 3D frequency wave-number image spectrum. The resolutions of the wave-number components and frequency are , , and .
The upper and lower boundaries of the filter are established based on the dispersion relationship under the dominant wavelength of sea clutter.
where and refer to the upper and lower boundaries of frequency band of the filter, respectively.
where represents the sea clutter suppression image spectrum.
Subsequently, two wave-number planes in E are chosen for Hough detection, and two sets of Hough parameters are employed to establish the background clutter filter model as follows:
where and represent all line slopes and intercepts separately detected by the Hough transform. n represents the index of a wave-number spectrum in the frequency wave-number domain, a and b represent the sequence numbers of the two selected images, and is the width expansion coefficient. In this study, is set to 20.
3D-IFFT is applied to , and the processed image sequence is obtained.
As depicted in Figure 3, the processed images validate the space-time filtering results. The marine radar image can be seen a significant reduction in sea peak and a consistent clutter background across all regions after clutter suppression, effectively mitigating the influence of near and far effects. The background clutters are composed of most of homogeneous clutter with a few intense clutter, demonstrating uniformity and consistency.
Figure 3.
The processed radar range-azimuth map. (a) The first set data (wave height 2.65 m). (b) The second set data (wave height 2.83 m). (c) The third set data (wave height 3.18 m).
The statistical clutter PDF and CDF for the three datasets are depicted in Figure 4, with each dataset further divided into three kinds to illustrate the situation in different regions. The gray value of the peaks in the PDF for far areas is approximately 190, while it reaches about 280 for near regions and around 200 for the whole area. The gray values range from 600 to 750 when the CDF reaches 1 in these three regions. The overall shape and tail of the clutter distribution remains consistent across various wave heights, and the difference in distinct regions is effectively diminished.
Figure 4.
The statistical background clutter distribution in the processed range-azimuth map: (a) PDF distribution for the whole area, near area, and far area under the three datasets. (b) CDF distribution for the whole area, near area, and far area under the three datasets.
2.3. Filtered Background Clutter Distribution Modeling
The GEV distribution, derived from the limit theorem in extreme value theory, is employed to characterize the probability of extreme events and is frequently utilized for modeling extreme phenomena. In the preceding section, it was determined that the filtered background clutter distribution conforms to a uniform clutter with tiny extreme clutter, thereby a theoretical foundation is established for employing the GEV distribution in modeling.
Assuming that is an independent and identically distributed random variable, and denotes the maximum value among these variables, extreme value theory pertains to the distribution of as n approaches infinity. In accordance with the limit theorem, the distribution of the maximum tends to converge towards a non-degenerate distribution function under appropriate linear transformations, specifically the generalized extreme value distribution. There exists a constant of normalization and [41]:
where is the CDF function of the GEV distribution. The GEV distribution comprises three subtypes of extreme value distributions: Gumbel extreme value distribution, Frechet extreme value distribution, and Weibull extreme value distribution. A standardized structure is described for the three distributions.
The position parameter is denoted by , the scale parameter is denoted by , and the shape parameter is denoted by . Moreover, . When , it corresponds to the extreme value distribution of type II Frechet, and exhibits heavy-tailed behavior. When , it corresponds to the type I Gumbel extreme value distribution, characterized by exponential tail decay. When , it corresponds to the Weibull extreme value distribution of type III and possesses a bounded upper tail. F represents the CDF of the GEV, while f denotes its PDF.
2.4. Distribution Model Analysis
The Rayleigh distribution is initially employed to fit the sea clutter background distribution in low resolution marine radars. With the enhancement of radar resolution and reduction in grazing angle, the sea clutter distribution no longer adheres to Rayleigh, but instead conforms to complex distributions such as compound Gaussian (CG) distribution. Log-normal, Weibull, K, GP, KK, and WW are proposed successively, and the conformity with the sea clutter distributions are demonstrated under diverse conditions. The Log-normal distribution and Weibull distribution can effectively modulate the distribution shape via their parameters, rendering them well-suited for diverse clutter models and demonstrating strong universal applicability. Nevertheless, the tail fitting capability for heavy-tailed clutter is unsatisfactory. The K distribution, arising from the convolution of Rayleigh and Gamma distributions, commendably characterizes clutter with spikes and heavy tails; however, the parameter estimation process is intricate. The GP distribution is appropriate for modeling the tail region of a distribution containing extreme values, whereas it cannot provide sufficient accuracy for modeling the data central part. The KK and WW distributions of dual population distributions gain the capability to effectively model complex structures by blending two identical distributions in proportion, but precise parameters are essential for ensuring consistency. To ensure precision, over 20 million data points in each datasets was employed for parameter estimation. In this paper, MLE is applied for parameter estimation of the Log-normal, Weibull, GP, and GEV distributions. Additionally, MoM is employed for parameter estimation of the K, KK, and WW distributions. Given that the probability of detection is influenced by the entire distribution region and the detection threshold is determined by the tail region, the overall goodness of fit (GoF) for the clutter PDF distribution and the local GoF for the tail region of the CDF distribution are assessed.
To determine the appropriate entirety distribution model, various overall GoF tests are employed, including the mean square error (MSE) test and Kolmogorov–Smirnov (KS) test. The error GoF is utilized for testing the local GoF in order to determine an appropriate local distribution model.
where is the estimated value based on real data, and is the value of the theoretical distribution.
where is the estimated value based on real data, and is the value of the theoretical distribution.
Figure 5 illustrates the fit results of each distribution to the three set processed data. As shown in Figure 5a,c,e, the result is successively the GEV, WW, and Weibull distributions in descending order of GOF. The second echelon is the Log-normal distribution, and the third echelon is the K and KK distributions. And as expected, the GP distribution is the worst. A similar result is evident in Figure 5b,d,f with regard to the CDF fit of the data. Table 1 and Table 2 present the evaluation values for each distribution regarding the fitting effect of PDF and CDF, respectively. The KS and MSE values of the GEV distribution are minimum during the fitting process, indicating the highest level of GOF, consistent with the findings from previous analysis. The KS and MSE values of WW and Weibull distributions demonstrate a marginal increase in comparison to the GEV, reflecting the universal applicability of Weibull distributions. The K and KK distributions exhibit large KS and MSE values, which can be attributed to the attenuation of the sea spike in the processed data. Owing to the inadequate suitability for whole distribution fitting, the GP distribution demonstrates the highest KS and MSE values, signifying the poorest fit.
Figure 5.
PDF and CDF plots: the processed data, estimated Weibull, K, Log-normal, KK, WW, Generalized Pareto, and Generalized Extreme Value distribution. (a,b) The first set data (wave height 2.65 m). (c,d) The second set data (wave height 2.83 m). (e,f) The third set data (wave height 3.18 m).
Table 1.
The KS and MSE results of each distribution PDF.
Table 2.
The KS and MSE results of each distribution CDF.
In addition to focusing on the overall fit of each distribution, it is imperative to also evaluate the GoF in the local tail region. A comparison of the GoF in the local tail regions for each distribution is presented in Figure 6 and Table 3. The GEV distribution tail region is highly consistent with the data PDF and CDF tail region. In the selected range of from 0.9 to 0.9999, only 0.9999 of the first group and 0.99 of the second group exhibit slightly lower values compared to other distributions, ranking second in terms of performance. For the tail region as a whole, the Weibull distribution shows slightly inferior performance to the GEV distribution and ranks second. The WW distribution ranks third due to its composition of two Weibull distributions. The remaining distributions display relatively large deviations in their tail regions. From the perspective of the scattering mechanism, the discrepancy can be understood. In composite Gaussian model, large-scale gravity waves and small-scale capillary waves as scattering events are considered, corresponding to texture and speckle components, respectively. Because of the elimination of most sea peaks and sea clutter during the filtering process, the current composite Gaussian model is unable to accurately signify the tail region. The experimental data demonstrate that the GEV distribution is suitable for modeling not only the local sea clutter peak distribution, but also the entire background clutter distribution. In Section 4, further validation of the GEV as a background clutter distribution model filtered in the 3D frequency wave-number domain.

Figure 6.
The errors of PDF and CDF: estimated Weibull, K, Log-normal, KK, WW, Generalized Pareto, and Generalized Extreme Value. (a,b) The first set data (wave height 2.65 m). (c,d) The second set data (wave height 2.83 m). (e,f) The third set data (wave height 3.18 m).
Table 3.
The local tail region estimation errors of each distribution CDF.
3. Incoherent Clutter Range Profile CFAR Detector
The CPR-CFAR detector is a spatial domain processor, and its principles are illustrated in Figure 7. The decision rule assumes that represents a set of independent identical distribution (iid) clutter statistics known as clutter range profile, where denotes the cell under test (CUT). After excluding the guard units, CRP encompasses statistics and on both sides. The clutter gray value level are acquired through the utilization of two scale-invariant functions and to calculate these statistical parameters. Subsequently, a clutter gray value level measurement is obtained by applying the scale-invariant function g [42]. Ultimately, the constant normalized factor is employed to generate an adaptive threshold, ensuring a consistent false alarm rate. By comparing the statistical parameters of the CUT with the final threshold T, it can determine whether a target is detected in the CUT.
Figure 7.
Schematic diagram of CRP-CFAR detection principle.
When the clutter model follows a scale and power invariant distribution, the adaptive detection threshold can be expressed in the following general form of the test [33]:
When the gray value of detection unit exceeds the detection threshold, it is categorized as a target point and denoted as . Conversely, if the gray value falls below the detection threshold, it is classified as background clutter point and denoted as .
The CRP-CFAR detectors that conform to Formula (15) include Logt, WH, GMOS, TMOS, IE, WHOS and so on, where N is the number of reference units and is the normalized factor.
The decision rule of Logt is as follows, where is the variance of the distribution.
The decision rule of WH is as follows, where i and j are the ith and jth order statistic of the CRP, respectively.
The decision rule of GMOS is as follows, where k is the kth order statistic of the CRP.
The decision rule of TMOS is as follows, where k is the kth order statistic of the CRP, where and is the cardinality of .
The decision rule of IE is as follows: i is the ith order statistic of the CRP, where and is the cardinality of .
The decision rule of WHOS is as follows: i, j, and k are the ith, jth, and kth order statistic of the CRP, respectively.
The detection capability of these incoherent CRP-CFAR detectors has been validated for various distributed clutter scenarios, but not yet for GEV clutter. Furthermore, most of these detectors are utilized as direct CFAR detectors rather than in filtering-then-CFAR detection. In the following section, the detection performance of this type of detector in the presence of filtered generalized extreme distribution clutter background is thoroughly examined.
4. Experimental Results
In this section, the target datasets and the clutter datasets selected for the experiment are presented. The performance comparison of OS-CFAR, GMOS-CFAR, TMOS-CFAR, WH-CFAR, WHOS-CFAR, IE-CFAR, and LOGT-CFAR are conducted utilizing real data. Ultimately, the detection performance of the proposed method is assessed and compared with outstanding algorithms.
4.1. Datasets
The real moving target data are extracted from the radar image sequence datasets, wherein the determination of target points are performed manually. A series of image sequence comprises consecutive images over a duration of approximately 80 s. The extracted target data completely preserved the variations in gray values and shapes of the moving target throughout the sequence. The target size ranges from 25 to 200 pixels, with intensity between 2500 and 4500 gray values. Figure 8 illustrates an extracted object state at serial numbers 1, 15, and 32 within the sequence. It is evident that there exist significant alterations in both shape and the gray value fluctuation.
Figure 8.
The extracted real moving target data: (a) The target in the 1st image of the sequence. (b) The target in the 15th image of the sequence. (c) The target in the 32nd image of the sequence.
In order to evaluate the detection performance of the proposed algorithm on weak targets, the coefficient is utilized to proportionally increase and decrease the gray value of extracted real target data, thereby generating multiple target datasets. The coefficient is a whole processing of the target, exerting no influence on the spatial and temporal fluctuations of target gray value. During the process of collecting a series of image sequences, the target motion trajectories in time interval are limited, exhibiting predominantly straight linear movement and uniform speed. Consequently, the target is set to execute rectilinear motion at a constant velocity, within the speed range of 10 to 20 m per second and the direction range of 0° to 360°. After undergoing two processing stages, the ultimate target datasets are established. The subsequent step involves integrating the target datasets with the sea clutter datasets. In the process of blending, the gray value at the target edge point are adaptively adjusted in accordance with the local sea clutter gray value. The target data adjusted by different values are integrated with sea clutter data of different gray levels to obtain the datasets under diverse SCR conditions. After conducting space-time adaptive filtering on the datasets, the final filtered datasets are obtained, and the data employed in the subsequent section are this kind of dataset. SCR is calculated as follows:
where represent the sums of the grayscale values of all target points in the image, represent the sums of the grayscale values of all background clutter in the image, and denotes the averaging of these sums.
4.2. Detector Performance
The GEV distribution is demonstrated to effectively model filtered clutter dealt with STAF process in the preceding sections. The next step is to evaluate the detection performance of OS-CFAR, GMOS-CFAR, TMOS-CFAR, WH-CFAR, WHOS-CFAR, IE-CFAR, and LOGT-CFAR under GEV distributions. The detection effects are assessed according to two indexes: the probability of detection , the false alarms probability , and the missed alarms probability . The calculations are as follows:
where and represent the total numbers of all target points and detected target points, respectively, represents the total numbers of undetected target points, and represents the total number of detected non-target points.
The detection results of seven detectors applied to the fifth image of three distinct datasets are illustrated in Figure 9, Figure 10 and Figure 11. There are four targets with a total of 279 target points, where the first target on the left is composed of 79 points, the second target on the top right is composed of 70 points, the third target on the middle right is composed of 67 points, and the fourth target on the bottom right is composed of 63 points. The target area is amplified employing an amplifier to clearly display the shape within the red rectangular box. Figure 9a shows the truth target image, and Figure 9b–h display the specific detection results. To facilitate a clear observation of each detector’s effectiveness on the target, the original two gray value levels, namely the 0 value indicating detection as a clutter point and the 1 value indicating detection as a target point, are converted into four colors (gray value 0 (blue), 1 (cyan), 2 (orange), 3 (red)). In this way, the results of , and can be more clearly displayed in the form of images. The first category represents points with a gray value of 0 (blue), which indicates correctly detect clutter points. The second category denotes points with a gray value of 1 (cyan), representing the missed alarm point (undetected target point). The third category pertains to a point with a gray value of 2 (orange), which is employed to signify the target point for false alarms. The fourth category corresponds to points with a gray value of 3 (red), signifying correctly detected target points. The specified SCR for the target is 8 dB, with a CFAR set at 0.0001. The number of reference units N is 32, and the number of guard units number is 4. k is 13 and 14 in OS-CFAR and GMOS-CFAR, respectively. In TMOS-CFAR, is set to [2,3,..., 10], and K is 14. And in WH-CFAR, i is 5 and K is 14. Then, i is set to 5, K is set to 13, and j is set to 30 in WHOS-CFAR. Finally, in IE-CFAR, is set to [1,2,..., 10].
Figure 9.
The detection results of seven detectors in first datasets: (a) Truth image. (b) OS-CFAR. (c) TMOS-CFAR. (d) GMOS-CFAR. (e) WH-CFAR. (f) WHOS-CFAR. (g) IE-CFAR. (h) LOGT-CFAR.
Figure 10.
The detection results of seven detectors in the second datasets: (a) Truth image. (b) OS-CFAR. (c) TMOS-CFAR. (d) GMOS-CFAR. (e) WH-CFAR. (f) WHOS-CFAR. (g) IE-CFAR. (h) LOGT-CFAR.
Figure 11.
The detection results of seven detectors in the third datasets: (a) Truth image. (b) OS-CFAR. (c) TMOS-CFAR. (d) GMOS-CFAR. (e) WH-CFAR. (f) WHOS-CFAR. (g) IE-CFAR. (h) LOGT-CFAR.
The detection results in the first datasets are presented in Figure 9 and Table 4. Among the three SCR conditions, IE demonstrates the most effective detection performance, achieving rates of 49.82%, 89.61%, and 98.21%, respectively. The IE detector in this paper partitions the reference unit into two segments: the first segment encompasses units with gray values ranking within the top 22, while the second segment comprises units with gray value ranking within the bottom 10. The ultimate detection threshold is collaboratively determined by the two segments through the application of inclusion and exclusion criteria. In this scenario, the impact of extreme background clutter within the reference unit can be effectively mitigated, thereby enhancing the detection capability of target edge points. The detection performance of the WH detector is marginally inferior to that of IE, ranking the second with respective values of 48.02%, 88.53%, and 97.85%. The WH detector in this paper determines the detection threshold by selecting two units with gray values ranked as 5th and 14th within the reference unit, which ensures high detection performance even in extreme cluttered backgrounds. The detection performance of the TMOS detector closely aligns with that of the WH detector, achieving 45.88%, 87.46%, and 97.85%, respectively. The local reference unit with gray value ranked 23rd to 31st and 14th are combined to determine the detection threshold in TMOS. As a result, target edge points are effectively detected under the reference unit trimming meaning. The WHOS detector achieved the fourth-place ranking in detection, yielding results of 39.78%, 83.15%, and 96.77%, respectively. In the decision making process, detection thresholds are obtained by selecting three reference units with gray value ranked as 5th, 13th, and 30th. Although an additional order statistic on the basis of WH is added to participate in decision making, WHOS failed to improve its detection ability of edge points. The of the OS and LOGT detectors are lower compared to the aforementioned detectors. The results for both are essentially similar, with satisfactory detection outcomes for 8 dB and 10 dB targets. Nevertheless, the performance in detecting low SCR target leads to a significant decrease. The GMOS-CFAR detector exhibits the lowest detection performance, with of 5.73%, 32.97%, and 60.93%, respectively. The reference unit with the 14th ranked gray value as well as the whole reference unit are selected to determine the detection threshold in GMOS-CFAR. The performance of the geometric meaning method is significantly impacted by sharp fluctuations in the gray value of the reference unit.
Table 4.
The detection results of each detector on first datasets.
Figure 10 and Table 5 show the test results in the second datasets, where all parameters consistent with those of the first dataset. Overall, the detection performance ranks as follows: IE, WH, TMOS, WHOS, OS, LOGT, and GMOS, which is in line with the first set results. Notably, the difference arises from the fact that the background clutter in the second datasets is more disorderly than that in the first set, particularly with an increased presence of extreme points near the first target, leading to an adverse impact on the of all detector under the three SCR conditions. When SCR reaches 8dB, the OS detector detected 14% of the first target and 43%, 52%, and 65% of the other targets. The missed points are primarily concentrated around the periphery of the targets. Similarly, LOGT achieves a detection rate of 9% for the first target and rates of 51%, 46%, and 59% for remaining targets. WH, WHOS and TMOS exhibit analogous performance with the detection rates of 52%, 48%, and 52% for the first target, respectively. The detection rates for the other three targets exceed 75%, with most missed points concentrated at the edges of the targets. In comparison to the aforementioned three detectors, IE exhibits a superior detection performance for all four targets. A detection rate of 60% for the first target with most misses occurring on the right side of the target is achieved. For the remaining three targets, it achieves a detection rate exceeding 80%, with misses primarily located at their edges. Conversely, GMOS performs poorly by completely missing both the first and fourth targets while achieving a low detection rate of 13% for the third target and only maintaining a 56% detection rate for the second target.
Table 5.
The detection results of each detector on the second datasets.
Figure 11 and Table 6 illustrate the test results obtained from the third datasets, wherein all set parameters remain consistent with those of the other datasets. The background clutter in this set is the most chaotic, which contains a greater number of extreme value points. And from the results, the situation is also confirmed. The ranking of detection performance of the seven detectors in the three SCR conditions from high to low kept pace with the above two datasets. The most effective detection method remains the IE detector, which reaches a maximum of 99.64%. The performance of the WH and the TMOS is comparable, with detection rates for the four targets at approximately 100%, 76%, 52%, and 62%, respectively. Unlike the above two datasets, the performance of the WHOS detector with SCR of 6 dB and 8 dB is significantly lower than that of WH and TMOS. The performance degradation is primarily observed in the third and fourth targets. The detection rates are 43% and 48%, respectively. The overall of the subsequent OS and the LOGT is approximately equivalent, nevertheless, their respective detection outcomes for the four targets exhibit differences. The OS effectively detects the first and second targets, but falls short in detecting the third and fourth targets. The detection results of LOGT for the first and second targets is inferior to that of OS, while it surpasses OS for the third target. And the detection result for the fourth target remains equivalent to that of OS. The detection results of GMOS are unsatisfactory, with rates of 1.79%, 16.49%, and 51.25%, respectively. Only the first target exhibited a fine detection effect.
Table 6.
The detection results of each detector on the third datasets.
Figure 12 illustrates the relationship between and SCR for seven detectors using three datasets following a GEV distribution. In the first datasets, IE exhibits the highest detection performance among all GEV cases, followed by WH, TMOS, and WHOS ranking second, third, and fourth, respectively. When the SCR reached 4 dB, the of these four detectors possess a rapid upswing. This trend persists until the SCR reaches 8.5 dB, at which the rate of increase began to decelerate, coinciding with a detection rate surpassing 90%. During this SCR interval, the capacity of detectors to discern points within the target contour progressively intensifies until the majority of target points are identified, with the exception of edge points. When the SCR increased from 8 dB to 10.5 dB, the detector demonstrates the capability to detect all target edge points. The detection rates of OS and LOGT across the entire SCR range have a high degree of consistence, and marginally inferior to the aforementioned four. The rapid improvement of their ranges from 5 dB to 9.5 dB, and the detection rate exceeds 90% at 9.5 dB. The improvement rate of the of GMOS is slowest with the increase in SCR, ranging from 4.5 dB to 13 dB, and the detection rate exceeds 90% at 13 dB. The and SCR relationship curves of the seven detectors in the second datasets are consistent with the findings from the first datasets. It should be noted that, despite being obtained through space-time adaptive filtering, the third datasets exhibits higher upswing background clutter in comparison to the other two datasets. Under such circumstances, there is a slight changes in the parameters of the GEV distribution fitted by the detector. And then, a minor fluctuation in the detection performance of the detector occurs. The fluctuation range is primarily concentrated between 5 dB and 8 dB, with a variation within 3%, which is an acceptable range.
Figure 12.
The relation curve between PD and SCR of the seven detectors under the generalized extreme value distribution, . (a) The first set data. (b) The second set data. (c) The third set data. (d) 100 datasets average.
Figure 12d illustrates the results derived from the average value between and SCR across 100 sets of data. Based on the average results, the rapid improvement range of IE, WH and TMOS is between 3.5 dB and 9 dB, with a potential increase to 90%. Moreover, 100% detection of the three CFAR is achieved at 11.5 dB and IE demonstrates slightly superior performance compared to WH and TMOS. WHOS exhibited a lower performance compared to TMOS, achieving a detection rate of over 90% at 9.5 dB and reaching 100% at 12 dB. In accordance with the findings of the preceding analysis, both OS and LOGT detection performance demonstrate a similar level, achieving a 100% detection rate at 13.5 dB. The performance of GMOS detection is turned out to be the worst, as the detection rate at 15 dB still falls short of reaching 100%.
4.3. Detection Performance Comparison
The ultimate structure flow diagram of the proposed method is depicted in Figure 13. Initially, the offline parameter normalization factor is computed. During the determination of , predefined values for , N, and are employed, specifically set as 0.0001, 32, and [1,2,...10] in this study. The real-time image sequence undergoes 3D frequency wave-number domain filtering, followed by CFAR detection process based on IE decision rules applied to the filtered image sequence.
Figure 13.
Structure flow diagram of STAF-GEV-IE-CFAR.
To assess the performance of the method proposed in this paper, several filtered-then-CFAR, direct CFAR detection and adaptive CFAR detection methods for marine radar were compared, including EMD-CFAR, IE-CFAR, STAF-RCBD-CFAR, STCS-WL-CFAR, and KGLRTD. EMD, an outstanding method for analyzing non-stationary and nonlinear signals, has been utilized to examine the temporal and spatial characteristics of marine radar image signals in [43,44,45]. STCS-WL-CFAR employs the WL-CFAR method within the Bayesian framework for CFAR detection, which has been validated in [23] with good detection performance. STAF-CFAR employs a global CFAR strategy for detecting the entire image sequence using a threshold value, as verified to exhibit excellent detection performance in [24]. When the adaptive CFAR detection algorithm is implemented in monopulse scanning radar, due to limitations in scanning efficiency and sampling frequency, effective accumulation cannot be achieved on a range bin within a dwell time. Consequently, when encountering targets with a low SCR, the performance of adaptive CFAR detection algorithms experiences a substantial decline. This issue tends to improve as the SCR increases, so it can be used to the detection of targets that exceed the critical SCR. Due to the intrinsic properties of the radar utilized in this study alongside the pulse accumulation way, the sea clutter model derived from the collected data aligns more closely with a Weibull distribution. In light of these considerations, this paper adopts KGLRTD as a representative method for comparative analysis. KGLRTD is selected to represent this methodology for comparative analysis. Finally, IE-CFAR under Weibull distribution is selected as the comparison method.
Figure 14 displays the detected images for EMD-CFAR, STF-RCBD-CFAR, STCS-WL-CFAR, IE-CFAR, KGLRTD, and the proposed STAF-GEV-IE-CFAR. The target information and display settings correspond to those outlined in Section 4.2. The Pfa is configured to 0.0001, and the SCR stands at 4dB. In the proposed method, the detection rates for the four targets are 100%, 94.3%, 97%, and 93.7%, respectively, with an overall detection rate of 96.1%, which outperforms all other methods. The STAF-RCBD-CFAR method ranked the second highest detection performance, with individual detection rates of 86.1%, 90%, 89.6%, and 88.89%, and an overall detection rate of 88.6%. While the RCBD-CFAR method can accurately maintain the false alarm rate condition, its ability to detect target edges with significant space-time changes is constrained by the global detection threshold. STCS-WL-CFAR, achieved detection rates of 88.6%, 82.9%, 71.6%, and 79.4%, respectively, resulting in an overall detection rate of 81%. Due to the relatively weaker filtering performance of STCS compared to STAF, WL-CFAR is significantly influenced by Weibull parameters, leading to an overall detection performance that is not as effective as the first two methods. The total of the KGLRTD method ranked fourth at 66.42%, and the detection rates of the four targets were 100%, 55.71%, 43.28%, and 66.67%, respectively. The detection performance is significantly influenced by the accumulation effect on the time scale, and the capacity to process the target data with large time resolution and fast moving speed will be significantly reduced. The overall detection rate of the EMD-CFAR method is 16.13%. In the case of low SCR and moving targets, the EMD filtering is significantly affected, leading to substantial data loss across the four target points. The overall detection rate of the individual IE detector is 1.43%, rendering it is basically undetectable due to exceedingly low SCR.
Figure 14.
The detection results of five methods at and : (a) STAF-GEV-IE-CFAR. (b) STCS-WL-CFAR. (c) EMD-CFAR. (d) STAF-RCBD-CFAR. (e) IE-CFAR. (f) KGLRTD.
Besides demonstrating the detection result when the SCR is 4 dB, Figure 15, Figure 16 and Figure 17 also presents the detection images of six methods under SCRs of 0 dB, 2 dB, and 6 dB, respectively. Table 7 indicates the detection results of each method for the four targets. It can be observed that the proposed method possesses the optimal detection capability for each target under the three SCRs. When the SCR is 0dB, the target echo gray level is proximate to the sea clutter, and the target is prone to being masked. In this case, in contrast to the second-best STAF-RCBD, the proposed method has enhanced the detection rate of the first and fourth targets by 11.39% and 11.11%, respectively. In the same vein, compared with STCS-WL, the detection rate of the first, second, and fourth targets has risen by 20.25%, 8.57%, and 11.11%, respectively. Due to the low SCR, the performance of the KGLRTD and EMD methods, which require energy accumulation, is severely impacted, and the target point cannot be effectively detected. When the SCR is 2 dB, the proposed method, STAF-RCBD, and STCS-WL all enter the interval of rapid performance improvement. Compared with the average increase of 5.63% at 0 dB, the average detection rate of the presented method is 5.93% higher than that of STAF-RCBD, essentially maintaining a consistent growth rate. Compared with the average increase of 9.98% at 0 dB, the average detection rate of the proposed method increases by 21.47% compared with that of STCS-WL, presenting a significant improvement effect. The difference in detection results among the three methods on the four targets is mainly concentrated at the edge of the target. Due to the irregularity of the edge of the third and fourth targets and the weak gray value, the detection rates of STAF-RCBD and STCS-WL are subpar, and the detection effect of the method in this paper is higher than them, with the maximum increase of 11.11% and 26.98%, respectively. At this point, the detection rates of the KGLRTD and EMD also start to rise, reaching 6.7% and 7%, respectively, mainly distributed in the first target and the fourth target, and the remaining two targets are scarcely detected. This is due to the drastic changes in the shape and gray values of the second and third targets. It should be noted that the EMD-CFAR method reduces the detection rate of the first target when the SCR increases from 0 dB to 2 dB. This phenomenon primarily arises from the filtering mechanism employed in the EMD-CFAR method. During the process of enhancing the SCR from 0 dB to 2 dB, the gray value of each target point is equally elevated. However, for a single range bin with a moving target point passing through, in addition to the target point, there exist sea clutter points within its time series. The gray values of these sea clutter points are not equally enhanced, resulting in variations in the instantaneous frequency components of the signal across the entire time series. Consequently, this alteration affects the filtering outcome of the complete time series. Therefore, in the two SCR scenarios, the filtering outcomes for both the target point and the adjacent sea clutter point will exhibit significant disparities. Simultaneously, this disparity results in alterations to the information pertaining to both the reference unit and the tested cell during the subsequent CFAR detection process, thereby causing fluctuations in the detection outcomes. Furthermore, due to the weak gray values of targets under these two SCR conditions, there is no significant difference in detector performance across these scenarios. Finally, because of fluctuations, an increase in SCR leads to a slight decline in detection efficacy (the detection rate is already low, approaching zero). Secondly, when the velocity of target is low, the variations in the time series of a single range bin are also slowly, leading to a corresponding slow change in the instantaneous frequency component. The discrepancies in filtering outcomes are reduced. Thus, among the four targets, the first one with the highest speed experiences the most significant impact, while the fourth target, moving at a slower pace, is affected to a lesser extent. In comparison with STCS and STAF methods that leverage both temporal and spatial correlation information, it is noted that EMD relies solely on temporal correlation data, which proves insufficient. In the case of an SCR of 6 dB, the detection performance of the three spatio-temporal joint methods reached an extremely high level, which were 98.21%, 96.77%, and 95.70%, respectively. Meanwhile, KGLRTD can rapidly accumulate target energy and effectively detect, with the detection rate reaching 93.91%. The detection performance of the EMD method and the IE detector was also enhanced, which was 26.88% and 8.96%, respectively. According to the results, it can be demonstrated that the proposed method performs better in dealing with weak targets and target edges than other methods.
Figure 15.
The detection results of five methods at and : (a) STAF-GEV-IE-CFAR. (b) STCS-WL-CFAR. (c) EMD-CFAR. (d) STAF-RCBD-CFAR. (e) IE-CFAR. (f) KGLRTD.
Figure 16.
The detection results of five methods at and : (a) STAF-GEV-IE-CFAR. (b) STCS-WL-CFAR. (c) EMD-CFAR. (d) STAF-RCBD-CFAR. (e) IE-CFAR. (f) KGLRTD.
Figure 17.
The detection results of five methods at and : (a) STAF-GEV-IE-CFAR. (b) STCS-WL-CFAR. (c) EMD-CFAR. (d) STAF-RCBD-CFAR. (e) IE-CFAR. (f) KGLRTD.
Table 7.
Detection results of each detector on the four targets under different SCR.
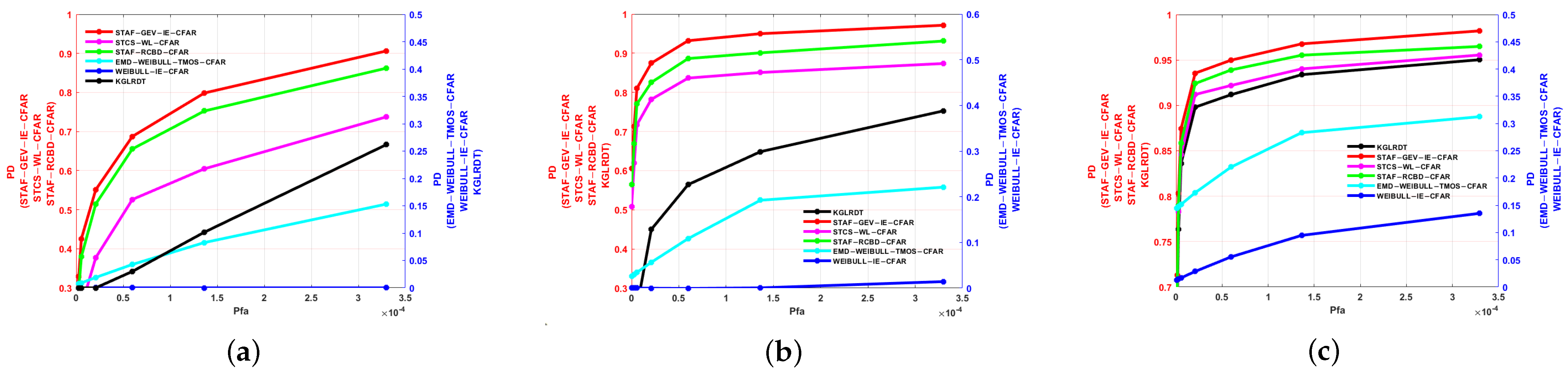
Figure 18 compares the receiver operating characteristic (ROC) curves of the six methods under various SCRs. To facilitate the comparison of the results of different ranges more comfortably in one area, the ROC curves of the EMD and IE methods are depicted based on the blue axis on the right, while the ROC curves of the other methods are drawn in accordance with the red axis on the left. On the whole, under the same settings, the proposed method is capable of maintaining the highest detection rate. When the SCR is 2 dB, as illustrated in Figure 18a, the proposed method can increase by a maximum of 4.72% compared with the STF-RCBD at 0.00033, and when the is 0.00013, the proposed method can increase by a maximum of 19.51% compared with the STCS-WL method. In comparison with KGLRTD, EMD and IE, the average has increased by 51.09%, 52.16% and 56.71%, respectively. When the SCR is 4 dB, as shown in Figure 18b, and the ranges from 0 to 0.00035, the average of the proposed method can reach 83.67%, which is 4.48% and 9.5% higher than that of STAF-RCBD and STCS-WL, respectively. The average detection rates of KGLRTD, EMD, and IE were 43.22%, 9.55% and 0.2%, respectively. When SCR is 6 dB, as depicted in Figure 18c, the proposed method is marginally higher than the STAF-RCBD, STCS-WL, and KGLRTD methods, and significantly higher than the EMD and IE methods. All in all, this can be considered to still maintain a high detection rate under an extremely small false alarm rate.
Figure 18.
Comparison of ROC curves of different methods: (a) SCR = 2 dB. (b) SCR = 4 dB. (c) SCR = 6 dB.
Figure 19 compares the SCR-PD curves of the six methods with a Pfa set to 0.0001. In Figure 19a, the performance of the proposed method for detection surpasses that of other methods within the range of −5 dB to 3 dB, achieving over 90% accuracy at approximately 3.5 dB and reaching 100% accuracy at around 6.5 dB. STAF-RCBD-CFAR and STCS-WL-CFAR achieve 100% detection at approximately 6.5 dB and 7 dB, respectively. In comparison to the former, the proposed method exhibits an average enhancement in of 2.3%, and a 6.2% average increase in compared to the latter. At low SCR, traditional EMD-CFAR and IE-CFAR exhibit subpar detection performance in low SCR target, achieving of 76.37% and 60.15% at 12 dB, respectively. Compared with the two methods, the of the proposed method increases by 41.6% and 51.8%, respectively. As depicted in Figure 19b, the detection performance of the proposed method across the entire range of −5 dB to 12 dB is superior to that of other methods. Moreover, the detection performance increases rapidly during the process from −3.5 dB to 2 dB. It reaches 95% at approximately 2 dB compared to 0.0001, reducing the requirement by 1.5 dB and attaining 100% at 5 dB. STAF-RCBD-CFAR and STCS-WL-CFAR achieved 95% detection at approximately 4 dB and 4.5 dB, respectively. Compared with the former, the of the proposed method is enhanced by an average of 6.9%, and it is improved by an average of 9.6% compared with the latter.
Figure 19.
Comparison of detection performances of different methods: (a) Pfa = 0.0001. (b) Pfa = 0.001.
5. Discussion
The factors that affect the performance of the filtering-then-CFAR detection scheme are the SCR enhancement capability of the adaptive filter, the level of conformity in modeling the filtered clutter distribution, and the detectability of the CFAR detector. Among the existing adaptive sea clutter filters [11,46,47] that can be applied to non-coherent scanning marine radar, EVD, SVD and EMD methods have reduced suppression effects on sea clutter when dealing with the long-term accumulation process with low time resolution, resulting in unstable distribution of filtered background clutter. The efficacy of the STAF filter introduced in this paper has been validated in [23,24]. This paper demonstrates the stability of the filtered background clutter distribution, effectively addressing the impact of complex space-time changes in sea clutter and significantly enhancing SCR. Meanwhile, the filtered background clutter is applied to CRP-CFAR detection. Traditional CRP-CFAR, as a direct CFAR detection scheme, focuses on investigating the distribution models of original sea clutter under various sea states, wind parameters, temporal and spatial conditions, and evaluating the detection performance within these models [20,21,22,38,39,40]. The near and far effect and the sea spikes in the filtered background clutter distribution are markedly suppressed; however, exhibiting discernible differences from the traditional sea clutter distribution. Consequently, this paper assessed the appropriateness of seven distributions for modeling the filtered background clutter distribution and employed the GEV distribution to modeling it, presenting a novel approach for modeling the background clutter following suppression of sea clutter. Subsequently, the performance of seven CRP-CFAR detectors under GEV distribution was compared applying real data, leading to the determination of their detection capabilities. Finally, this paper adopted IE as the CFAR detector and establishes an IE CFAR detection process based on the GEV distribution.
The performance of the proposed method is excellent; however, there are still certain constraints. Firstly, several mainstream distributions are used for modeling, whereas other prevalent distributions such as the K + N, P + N, and inverse Gaussian distributions are not included. In future research, a wider range of distributions will be employed to model the filtered background clutter, and sophisticated CFAR detectors will be formulated based on these distributions.
Secondly, considering the computational demands associated with both the 3D FFT utilized in the filtering process and the GEV distribution modeling employed during detection, several optimization strategies for future research endeavors are proposed. Firstly, the 3D frequency wave-number domain adaptive filter will be reduced to a 2D framework, which not only mitigates time costs during data acquisition, but also diminishes computational complexity and resource expenditure. Secondly, by establishing a foundational GEV distribution model base and enabling rapid online matching of real-time distribution parameters, minimizing online computing resource consumption is achieved.
Thirdly, the method proposed in this paper is a filtering and detection method that leverages the stable characteristics of rough surface of sea clutter in space-time domain. This stability becomes particularly pronounced under conditions of heavy wind wave, enhancing the adaptability of our method. Conversely, in rainy environments where the rough surface of sea waves is blurred by raindrops, leading to a loss of distinctive features [5,48], the efficacy of the proposed method diminishes. Future research will address these rain-contaminated challenges to improve both robustness and adaptability.
Fourthly, in this paper, radar data are obtained from non-coherent scanning monopulse radar, which offers a spatial resolution of 7.5 m and a temporal resolution of 2.5 s. The proposed method demonstrates commendable performance even when relying solely on echo amplitude information, despite the low time and range resolutions. Thus, it is anticipated to outperform the radar employed in this study when applied to more advanced shipborne or airborne systems. However, the specific effectiveness requires further validation through actual data analysis. Future research will focus on assessing the generalization capability of the proposed method by incorporating a wider variety of radar types and environmental datasets.
Fifthly, the new method is different from the existing radar system and presents substantial disparities. Nevertheless, we can endeavor to address the difficulties and challenges in implementation through the following approaches. The approach in this paper adopts a modular strategy during the design process. For instance, the filtering link, the modeled link of filtered background clutter, and the CFAR detection link under the filtered background clutter distribution can all be incorporated into the radar system as independent modules. By gradually integrating into the existing systems, each module can be independently verified and optimized, minimizing the overall implementation risk and preventing the proposed approach from exerting a significant influence on the existing systems. Secondly, the method pertains to the back end processing algorithm and does not impact the signal acquisition of the radar front end. Therefore, the subsequent integration and upgrade will be more feasible when the interface between each module and the existing system can be maintained consistent. Although these approaches can alleviate the implementation difficulties to a certain extent, numerous challenges still persist, and more research is required in future work.
Finally, in this paper, a proprietary dataset is utilized. Despite the benefits of using our own dataset, it is crucial to verify the generality and robustness of the algorithm using other datasets. Therefore, in future work, conduct experimental comparisons using publicly available datasets related to our algorithm application scenarios. Meanwhile, our dataset is expanded to incorporate more data under different scenarios and conditions to further enhance the generality of the algorithm.
6. Conclusions
In conclusion, in this study, an adaptive filtering in the three-dimensional frequency wave-number domain (space-time domain) is employed to address background clutter in CRP-CFAR detection, and a method of CFAR detection based on GEV distribution modeling of background clutter with space-time filtering of marine radar is proposed. The method is a filtering-then-CFAR detection scheme, which designed for the detection of moving targets within marine radar image sequences. Firstly, STAF is applied to the collected training data, followed by modeling the GEV distribution of the filtered background clutter and obtaining the preset parameters. Subsequently, the filtered image sequence is then subjected to detection employing the IE CFAR detector. These advanced technologies will contribute to enhancing the detection performance of radar systems in marine clutter, effectively mitigating the constraints posed by traditional CFAR methods in this environment.
Author Contributions
Conceptualization, Z.L. and B.W.; methodology, Z.L. and B.W.; software, B.W. and B.Z.; validation, B.W., B.Z. and Z.L.; formal analysis, B.W. and Z.L.; investigation, B.W. and B.Z.; resources, Z.L.; data curation, B.W.; writing—original draft preparation, B.W.; writing—review and editing, B.W., B.Z. and Z.L.; visualization, B.W.; supervision, Z.L. and B.Z.; project administration, B.W., B.Z. and Z.L.; funding acquisition, Z.L. All authors have read and agreed to the published version of the manuscript.
Funding
This research received no external funding and the APC was funded by Zhizhong Lu.
Data Availability Statement
The raw/processed data required to reproduce these findings cannot be shared at this time as the data also forms part of an ongoing study.
Conflicts of Interest
The authors declare no conflict of interest.
References
- Zhang, Q.; Li, Y.; Zhang, Z.; Yin, S.; Ma, L. Marine target detection for PPI images based on YOLO-SWFormer. Alex. Eng. J. 2023, 82, 396–403. [Google Scholar] [CrossRef]
- Chen, X.; Huang, W.; Zhao, C.; Tian, Y. Rain Detection From X-Band Marine Radar Images: A Support Vector Machine-Based Approach. IEEE Trans. Geosci. Remote Sens. 2020, 58, 2115–2123. [Google Scholar] [CrossRef]
- Chen, X.; Huang, W. Identification of Rain and Low-Backscatter Regions in X-Band Marine Radar Images: An Unsupervised Approach. IEEE Trans. Geosci. Remote Sens. 2020, 58, 4225–4236. [Google Scholar] [CrossRef]
- Huang, W.; Liu, X.; Gill, E.W. Ocean Wind and Wave Measurements Using X-Band Marine Radar: A Comprehensive Review. Remote Sens. 2017, 9, 1261. [Google Scholar] [CrossRef]
- Yang, Z.; Huang, W.; Chen, X. Evaluation and Mitigation of Rain Effect on Wave Direction and Period Estimation From X-Band Marine Radar Images. IEEE J. Sel. Top. Appl. Earth Obs. Remote Sens. 2021, 14, 5207–5219. [Google Scholar] [CrossRef]
- Chen, X.; Huang, W. Spatial–Temporal Convolutional Gated Recurrent Unit Network for Significant Wave Height Estimation From Shipborne Marine Radar Data. IEEE Trans. Geosci. Remote Sens. 2022, 60, 1–11. [Google Scholar] [CrossRef]
- Chen, S.; Huang, W. Maneuvering target tracking from nautical radar images using particle-Kalman filters. J. Electromagn. Waves Appl. 2013, 27, 2366–2378. [Google Scholar] [CrossRef]
- Liu, W.; Liu, J.; Hao, C.; Gao, Y.; Wang, Y.L. Multichannel adaptive signal detection: Basic theory and literature review. Sci. China Inf. Sci. 2022, 65, 121301. [Google Scholar] [CrossRef]
- Gu, Y.; Wu, J.; Fang, Y.; Zhang, L.; Zhang, Q. End-to-End Moving Target Indication for Airborne Radar Using Deep Learning. Remote Sens. 2022, 14, 5354. [Google Scholar] [CrossRef]
- Wang, P.; Li, H.; Himed, B. A Parametric Moving Target Detector for Distributed MIMO Radar in Non-Homogeneous Environment. IEEE Trans. Signal Process. 2013, 61, 2282–2294. [Google Scholar] [CrossRef]
- Wen, B.; Wei, Y.; Lu, Z. Sea Clutter Suppression and Target Detection Algorithm of Marine Radar Image Sequence Based on Spatio-Temporal Domain Joint Filtering. Entropy 2022, 24, 250. [Google Scholar] [CrossRef] [PubMed]
- Lv, M.; Zhou, C. Study on Sea Clutter Suppression Methods Based on a Realistic Radar Dataset. Remote Sens. 2019, 11, 2721. [Google Scholar] [CrossRef]
- Conte, E.; De Maio, A.; Ricci, G. GLRT-based adaptive detection algorithms for range-spread targets. IEEE Trans. Signal Process. 2001, 49, 1336–1348. [Google Scholar] [CrossRef]
- Kelly, E. An Adaptive Detection Algorithm. IEEE Trans. Aerosp. Electron. Syst. 1986, AES-22, 115–127. [Google Scholar] [CrossRef]
- Chen, W.S.; Reed, I.S. A new CFAR detection test for radar. Digit. Signal Process. 1991, 1, 198–214. [Google Scholar] [CrossRef]
- Posner, F. Spiky sea clutter at high range resolutions and very low grazing angles. IEEE Trans. Aerosp. Electron. Syst. 2002, 38, 58–73. [Google Scholar] [CrossRef]
- Conte, E.; De Maio, A.; Galdi, C. Statistical analysis of real clutter at different range resolutions. IEEE Trans. Aerosp. Electron. Syst. 2004, 40, 903–918. [Google Scholar] [CrossRef]
- Long, M.W. Radar reflectivity of land and sea. Lexington 1975, 3, 97–104. [Google Scholar]
- Sayama, S.; Sekine, M. Log-normal, log-Weibull and K-distributed sea clutter. IEICE Trans. Commun. 2002, 85, 1375–1381. [Google Scholar]
- Angelliaume, S.; Rosenberg, L.; Ritchie, M. Modeling the Amplitude Distribution of Radar Sea Clutter. Remote Sens. 2019, 11, 319. [Google Scholar] [CrossRef]
- Alexopoulos, A.; Weinberg, G.V. Fractional order Pareto distributions with application to X-band maritime radar clutter. IET Radar Sonar Navig. 2015, 9, 817–826. [Google Scholar] [CrossRef]
- Fiche, A.; Angelliaume, S.; Rosenberg, L.; Khenchaf, A. Analysis of X-Band SAR Sea-Clutter Distributions at Different Grazing Angles. IEEE Trans. Geosci. Remote Sens. 2015, 53, 4650–4660. [Google Scholar] [CrossRef]
- Dong, Y. Distribution of X-Band High Resolution and High Grazing Angle Sea Clutter; Defence Technical Information Center: Edinburgh, SA, Australia, 2006. [Google Scholar]
- Wen, B.; Lu, Z.; Mao, Y.; Zhou, B. Marine Radar Image Sequence Target Detection Based on Space-Time Adaptive Filtering and Hough Transform. IEEE J. Sel. Top. Appl. Earth Obs. Remote Sens. 2024, 17, 13506–13522. [Google Scholar] [CrossRef]
- Won, E.S.; Ouchi, K.; Yang, C.S. Extraction of Underwater Laver Cultivation Nets by SAR Polarimetric Entropy. IEEE Geosci. Remote Sens. Lett. 2013, 10, 231–235. [Google Scholar]
- Jin, T.T.; She, X.Q.; Qiu, X.L.; Lei, B. Intertidal area classification with generalized extreme value distribution and Markov random field in quad-polarimetric synthetic aperture radar imagery. Front. Inf. Technol. Electron. Eng. 2019, 20, 253–264. [Google Scholar] [CrossRef]
- Guo, R.; Cui, J.; Jing, G.; Zhang, S.; Xing, M. Validating GEV Model for Reflection Symmetry-Based Ocean Ship Detection with Gaofen-3 Dual-Polarimetric Data. Remote Sens. 2020, 12, 1148. [Google Scholar] [CrossRef]
- Hao, D.; Yong, H.; Liu, N.; Xue, Y.; Wang, G. Modeling of sea spike events with generalized extreme value distribution. In Proceedings of the 2015 European Radar Conference (EuRAD), Paris, France, 9–11 September 2015; pp. 113–116. [Google Scholar]
- Gandhi, P.; Kassam, S. Analysis of CFAR processors in nonhomogeneous background. IEEE Trans. Aerosp. Electron. Syst. 1988, 24, 427–445. [Google Scholar] [CrossRef]
- Tang, G.; Zhuge, Y.; Claramunt, C.; Men, S. N-YOLO: A SAR Ship Detection Using Noise-Classifying and Complete-Target Extraction. Remote Sens. 2021, 13, 871. [Google Scholar] [CrossRef]
- Kronauge, M.; Rohling, H. Fast Two-Dimensional CFAR Procedure. IEEE Trans. Aerosp. Electron. Syst. 2013, 49, 1817–1823. [Google Scholar] [CrossRef]
- Detouche, N.; Laroussi, T.; Madjidi, H. New log-t-based CFAR detectors for a non-homogeneous Weibull Background. Phys. Commun. 2023, 59, 102085. [Google Scholar] [CrossRef]
- Zebiri, K.; Mezache, A. Radar CFAR detection for multiple-targets situations for Weibull and log-normal distributed clutter. Signal Image Video Process. 2021, 15, 1671–1678. [Google Scholar] [CrossRef]
- Weinberg, G.V.; Tran, C. A Weber–Haykin detector in correlated Pareto distributed clutter. Digit. Signal Process. 2019, 84, 107–113. [Google Scholar] [CrossRef]
- Zebiri, K.; Mezache, A. Triple-order statistics-based CFAR detection for heterogeneous Pareto type I background. Signal Image Video Process. 2023, 17, 1105–1111. [Google Scholar] [CrossRef]
- Weinberg, G.V. Trimmed geometric mean order statistic CFAR detector for Pareto distributed clutter. Signal Image Video Process. 2018, 12, 651–657. [Google Scholar] [CrossRef]
- Weinberg, G.V.; Bateman, L.; Hayden, P. Development of non-coherent CFAR detection processes in Weibull background. Digit. Signal Process. 2018, 75, 96–106. [Google Scholar] [CrossRef]
- Pourmottaghi, A.; Taban, M.R.; Gazor, S. A CFAR Detector in a Nonhomogenous Weibull Clutter. IEEE Trans. Aerosp. Electron. Syst. 2012, 48, 1747–1758. [Google Scholar] [CrossRef]
- Mbouombouo Mboungam, A.H.; Zhi, Y.; Fonzeu Monguen, C.K. Constant false alarm rate detection method in mixed Weibull distribution sea clutter. Digit. Signal Process. 2024, 149, 104494. [Google Scholar] [CrossRef]
- Weinberg, G.V. On the Construction of CFAR Decision Rules via Transformations. IEEE Trans. Geosci. Remote Sens. 2017, 55, 1140–1146. [Google Scholar] [CrossRef]
- Maffei, C.; Alfieri, S.M.; Menenti, M. Relating Spatiotemporal Patterns of Forest Fires Burned Area and Duration to Diurnal Land Surface Temperature Anomalies. Remote Sens. 2018, 10, 1777. [Google Scholar] [CrossRef]
- Weinberg, G.V. An Invariant Sliding Window Detection Process. IEEE Signal Process. Lett. 2017, 24, 1093–1097. [Google Scholar] [CrossRef]
- Liu, X.; Huang, W.; Gill, E.W. Estimation of Significant Wave Height From X-Band Marine Radar Images Based on Ensemble Empirical Mode Decomposition. IEEE Geosci. Remote Sens. Lett. 2017, 14, 1740–1744. [Google Scholar] [CrossRef]
- Liu, X.; Huang, W.; Gill, E.W. Wind Direction Estimation From Rain-Contaminated Marine Radar Data Using the Ensemble Empirical Mode Decomposition Method. IEEE Trans. Geosci. Remote Sens. 2017, 55, 1833–1841. [Google Scholar] [CrossRef]
- Huang, W.; Liu, X.; Gill, E.W. An Empirical Mode Decomposition Method for Sea Surface Wind Measurements From X-Band Nautical Radar Data. IEEE Trans. Geosci. Remote Sens. 2017, 55, 6218–6227. [Google Scholar] [CrossRef]
- Li, G.; Zhang, H.; Gao, Y.; Ma, B. Sea Clutter Suppression Using Smoothed Pseudo-Wigner–Ville Distribution–Singular Value Decomposition during Sea Spikes. Remote Sens. 2023, 15, 5360. [Google Scholar] [CrossRef]
- Shu, G.; Chang, J.; Lu, J.; Wang, Q.; Li, N. A Novel Method for SAR Ship Detection Based on Eigensubspace Projection. Remote Sens. 2022, 14, 3441. [Google Scholar] [CrossRef]
- Yang, Z.; Huang, W.; Chen, X. Mitigation of Rain Effect on Wave Height Measurement Using X-Band Radar Sensor. IEEE Sens. J. 2022, 22, 5929–5938. [Google Scholar] [CrossRef]
Disclaimer/Publisher’s Note: The statements, opinions and data contained in all publications are solely those of the individual author(s) and contributor(s) and not of MDPI and/or the editor(s). MDPI and/or the editor(s) disclaim responsibility for any injury to people or property resulting from any ideas, methods, instructions or products referred to in the content. |
© 2024 by the authors. Licensee MDPI, Basel, Switzerland. This article is an open access article distributed under the terms and conditions of the Creative Commons Attribution (CC BY) license (https://creativecommons.org/licenses/by/4.0/).



















