Data-Driven Calibration of SWOT’s Systematic Errors: First In-Flight Assessment
Abstract
1. Introduction
2. Uncalibrated Systematic Error Budget
2.1. Direct Spectral Analysis
2.2. Cross-Spectral Analysis
2.3. Magnitudes of the Systematic Error Terms
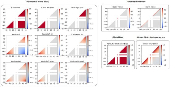
3. Implementation of Level-2 and Level-3 Algorithms
3.1. Implementation at Level-2
3.2. Implementation at Level-3
4. Level-2 and Level-3 Calibration Performance
5. Inland Assessment of the Calibration
6. Conclusions
Author Contributions
Funding
Data Availability Statement
Conflicts of Interest
Appendix A. Additional Validation of the Linear and Quadratic Terms with the Energy Increase Approach


References
- Fu, L.-L.; Alsdorf, D.; Morrow, R.; Rodriguez, E.; Mognard, N. (Eds.) SWOT: The Surface Water and Ocean Topography Mission; Wide-Swath Altimetric Measurement of Water Elevation on Earth; JPL Publ. 12-05; Jet Propulsion Laboratory, National Aeronautics and Space Administration: Pasadena, CA, USA, 2012; 228p. [Google Scholar]
- Fu, L.-L.; Pavelsky, T.; Cretaux, J.-F.; Morrow, R.; Farrar, J.T.; Vaze, P.; Sengenes, P.; Vinogradova-Shiffer, N.; Sylvestre-Baron, A.; Picot, N.; et al. The Surface Water and Ocean Topography Mission: A breakthrough in radar remote sensing of the ocean and land surface water. Geophys. Res. Lett. 2024, 51, e2023GL107652. [Google Scholar] [CrossRef]
- Peral, E.; Esteban-Fernandez, D. Swot Mission Performance and Error Budget. In Proceedings of the IGARSS 2018—2018 IEEE International Geoscience and Remote Sensing Symposium, Valencia, Spain, 22–27 July 2018; pp. 8625–8628. [Google Scholar] [CrossRef]
- Ubelmann, C.; Dibarboure, G.; Dubois, P. A Cross-Spectral Approach to Measure the Error Budget of the SWOT Altimetry Mission over the Ocean. J. Atmos. Ocean. Technol. 2018, 35, 845–857. [Google Scholar] [CrossRef]
- Gaultier, L.; Ubelmann, C.; Fu, L.-L. The Challenge of Using Future SWOT Data for Oceanic Field Reconstruction. J. Atmos. Ocean. Technol. 2016, 33, 119–126. [Google Scholar] [CrossRef]
- Gaultier, L.; Ubelmann, C. SWOT Science Ocean Simulator Open Source Repository. 2019. Available online: https://github.com/SWOTsimulator/swotsimulator (accessed on 19 July 2022).
- Rodriguez, E.; Pollard, B. The measurement capabilities of wide-swath ocean altimeters. In Proceedings of the High-resolution Ocean Topography Science Working Group (HOTSWG) Meeting Proceeding, Washington, DC, USA, April 2001; pp. 190–215. [Google Scholar]
- Dibarboure, G.; Ubelmann, C. Investigating the Performance of Four Empirical Cross-Calibration Methods for the Proposed SWOT Mission. Remote Sens. 2014, 6, 4831–4869. [Google Scholar] [CrossRef]
- Dibarboure, G.; Ubelmann, C.; Flamant, B.; Briol, F.; Peral, E.; Bracher, G.; Vergara, O.; Faugère, Y.; Soulat, F.; Picot, N. Data-Driven Calibration Algorithm and Pre-Launch Performance Simulations for the SWOT Mission. Remote Sens. 2022, 14, 6070. [Google Scholar] [CrossRef]
- Ubelmann, C.; Fu, L.; Brown, S.; Peral, E.; Esteban-Fernandez, D. The Effect of Atmospheric Water Vapor Content on the Performance of Future Wide-Swath Ocean Altimetry Measurement. J. Atmos. Ocean. Technol. 2014, 31, 1446–1454. [Google Scholar] [CrossRef]
- Global Ocean Gridded L 4 Sea Surface Heights and Derived Variables Reprocessed 1993 Ongoing; E.U. Copernicus Marine Service Information (CMEMS); Marine Data Store (MDS): Ramonville-Saint-Agne, France, 2023. [CrossRef]
- Nencioli, F.; Prandi, P.; Cadier, E.; Raynal, M.; Ubelmann, C.; Dibarboure, G. Assessment of SWOT KaRIn spectral error requirements during the 1-day repeat orbit. In preparation.
- Ballarotta, M.; Ubelmann, C.; Pujol, M.-I.; Taburet, G.; Fournier, F.; Legeais, J.-F.; Faugère, Y.; Delepoulle, A.; Chelton, D.; Dibarboure, G.; et al. On the resolutions of ocean altimetry maps. Ocean Sci. 2019, 15, 1091–1109. [Google Scholar] [CrossRef]
- Product Description Document. Available online: https://archive.podaac.earthdata.nasa.gov/podaac-ops-cumulus-docs/web-misc/swot_mission_docs/pdd/D-56411_SWOT_Product_Description_L2_HR_PIXC_20231026_RevBcite.pdf (accessed on 5 June 2024).
- Algorithm Theoretical Basis Document. Available online: https://archive.podaac.earthdata.nasa.gov/podaac-ops-cumulus-docs/web-misc/swot_mission_docs/atbd/D-105504_SWOT_ATBD_L2_HR_PIXC_20230713a_cite.pdf (accessed on 5 June 2024).
- Wang, J.; Pottier, C.; Cazals, C.; Battude, M.; Sheng, Y.; Song, C.; Sikder, M.S.; Yang, X.; Ke, L.; Gosset, M.; et al. The Surface Water and Ocean Topography Mission (SWOT) Prior Lake Database (PLD): Lake Mask and Operational Auxiliaries; Authorea: Hoboken, NJ, USA, 14 December 2023. [Google Scholar]
- Science Requirements Document. Available online: https://swot.jpl.nasa.gov/system/documents/files/2176_2176_D-61923_SRD_Rev_B_20181113.pdf (accessed on 5 June 2024).
- Bergé-Nguyen, M.; Crétaux, J.F.; Calmant, S.; Fleury, S.; Satylkanov, R.; Chontoev, D.; Bonnefond, P. Mapping mean lake surface from satellite altimetry and GPS kinematic surveys. Adv. Space Res. 2021, 67, 985–1001. [Google Scholar] [CrossRef]
- Product Description Document. Available online: https://archive.podaac.earthdata.nasa.gov/podaac-ops-cumulus-docs/web-misc/swot_mission_docs/pdd/SWOT-TN-CDM-0673-CNES_Product_Description_L2_HR_LakeSP_20231208_RevB_signed.pdf (accessed on 5 June 2024).
- Algorithm Theoretical Basis Document. Available online: https://archive.podaac.earthdata.nasa.gov/podaac-ops-cumulus-docs/web-misc/swot_mission_docs/atbd/SWOT-NT-CDM-1753-CNES_ATBD_LakeSP_20230726_Initial_w-sigs.pdf (accessed on 5 June 2024).
- Febvre, Q.; Fablet, R.; Le Sommer, J.; Ubelmann, C. Joint calibration and mapping of satellite altimetry data using trainable variational models. In Proceedings of the ICASSP 2022—2022 IEEE International Conference on Acoustics, Speech and Signal Processing (ICASSP), Singapore, 23–27 May 2022; IEEE: Piscataway, NJ, USA, 2022; pp. 1536–1540. [Google Scholar]
















| Geometrical Terms | Beta Scale | Orbital Scale | Broadband |
|---|---|---|---|
| Bias (B) | 1 cm | 3 cm | ~4 cm |
| differential Bias (aB) | 0.8 cm | 1 cm | Undetectable |
| Linear (L) | 60 cm | 15 cm | ~3 cm |
| a-Linear (aL) | 6 cm | 2 cm | Undetectable |
| Quadratic (Q) | 1 cm | 2 cm | Undetectable |
| a-Quadratic (aQ) | 3 cm | 2 cm | Undetectable |
Disclaimer/Publisher’s Note: The statements, opinions and data contained in all publications are solely those of the individual author(s) and contributor(s) and not of MDPI and/or the editor(s). MDPI and/or the editor(s) disclaim responsibility for any injury to people or property resulting from any ideas, methods, instructions or products referred to in the content. |
© 2024 by the authors. Licensee MDPI, Basel, Switzerland. This article is an open access article distributed under the terms and conditions of the Creative Commons Attribution (CC BY) license (https://creativecommons.org/licenses/by/4.0/).
Share and Cite
Ubelmann, C.; Dibarboure, G.; Flamant, B.; Delepoulle, A.; Vayre, M.; Faugère, Y.; Prandi, P.; Raynal, M.; Briol, F.; Bracher, G.; et al. Data-Driven Calibration of SWOT’s Systematic Errors: First In-Flight Assessment. Remote Sens. 2024, 16, 3558. https://doi.org/10.3390/rs16193558
Ubelmann C, Dibarboure G, Flamant B, Delepoulle A, Vayre M, Faugère Y, Prandi P, Raynal M, Briol F, Bracher G, et al. Data-Driven Calibration of SWOT’s Systematic Errors: First In-Flight Assessment. Remote Sensing. 2024; 16(19):3558. https://doi.org/10.3390/rs16193558
Chicago/Turabian StyleUbelmann, Clément, Gérald Dibarboure, Benjamin Flamant, Antoine Delepoulle, Maxime Vayre, Yannice Faugère, Pierre Prandi, Matthias Raynal, Frédéric Briol, Geoffroy Bracher, and et al. 2024. "Data-Driven Calibration of SWOT’s Systematic Errors: First In-Flight Assessment" Remote Sensing 16, no. 19: 3558. https://doi.org/10.3390/rs16193558
APA StyleUbelmann, C., Dibarboure, G., Flamant, B., Delepoulle, A., Vayre, M., Faugère, Y., Prandi, P., Raynal, M., Briol, F., Bracher, G., & Cadier, E. (2024). Data-Driven Calibration of SWOT’s Systematic Errors: First In-Flight Assessment. Remote Sensing, 16(19), 3558. https://doi.org/10.3390/rs16193558

