Spatial and Temporal Variations of Total Suspended Matter Concentration during the Dry Season in Dongting Lake in the Past 35 Years
Abstract
1. Introduction
2. Materials and Methods
2.1. Study Area
2.2. Image Data Acquisition and Preprocessing
2.3. In Situ Data Acquisition
2.4. Hydrological and Meteorological Data
2.5. Spectral Equivalence Method
2.6. Model Construction Method
2.7. Evaluation of Sand Mining Intensity
2.8. Statistical Methods
3. Results
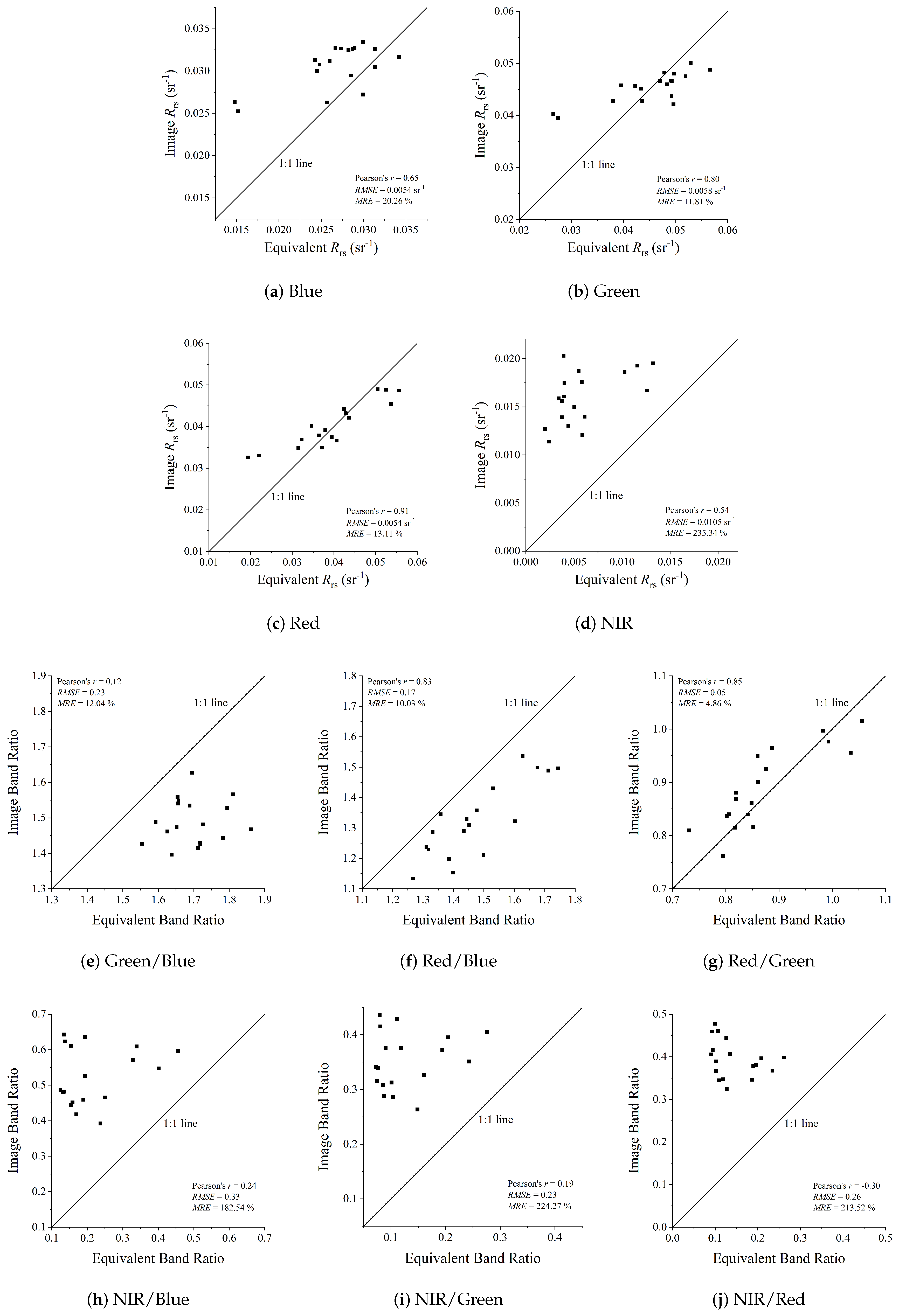
3.1. Water Spectral Analysis
3.2. Model Construction and Validation
3.3. Spatial and Temporal Changes in TSM Concentration during the Dry Season in Dongting Lake
4. Discussion
4.1. Model Suitability
4.2. Analysis of Driving Factors
4.2.1. Influence of Hydrological and Meteorological Factors on TSM Concentration in Dongting Lake during the Dry Season
4.2.2. Impact of Human Activities on TSM Concentration during the Dry Season in Dongting Lake
5. Conclusions
Author Contributions
Funding
Data Availability Statement
Acknowledgments
Conflicts of Interest
Appendix A
| Date | Mean | Maximum | Minimum | Median | S.D. | C.V. |
|---|---|---|---|---|---|---|
| 31 December 1987 | 63.92 | 127.67 | 8.57 | 64.32 | 13.97 | 21.86 |
| 7 March 1989 | 63.77 | 197.35 | 1.92 | 64.64 | 18.74 | 29.39 |
| 4 December 1989 | 66.78 | 160.36 | 1.00 | 70.09 | 25.64 | 38.39 |
| 8 November 1991 | 75.44 | 149.21 | 6.91 | 77.17 | 21.06 | 27.92 |
| 29 January 1993 | 57.84 | 124.10 | 8.55 | 57.88 | 14.07 | 24.32 |
| 13 November 1993 | 82.09 | 179.07 | 1.01 | 88.48 | 28.76 | 35.03 |
| 31 December 1993 | 62.36 | 146.83 | 9.80 | 62.08 | 17.20 | 27.58 |
| 4 February 1995 | 51.94 | 117.84 | 8.13 | 52.49 | 13.89 | 26.74 |
| 7 December 1996 | 62.32 | 164.61 | 1.02 | 63.06 | 28.66 | 46.00 |
| 23 December 1996 | 50.76 | 141.18 | 2.27 | 50.25 | 18.53 | 36.51 |
| 12 February 1998 | 58.25 | 175.72 | 1.01 | 57.54 | 29.15 | 50.05 |
| 8 March 2001 | 59.97 | 128.18 | 6.57 | 59.73 | 19.38 | 32.32 |
| 21 December 2001 | 58.43 | 157.86 | 1.01 | 56.50 | 25.55 | 43.73 |
| 27 December 2003 | 54.88 | 159.50 | 1.06 | 53.79 | 22.53 | 41.06 |
| 13 February 2004 | 51.41 | 128.68 | 1.02 | 53.48 | 20.78 | 40.43 |
| 13 December 2004 | 48.72 | 162.10 | 1.33 | 48.54 | 19.34 | 39.71 |
| 1 November 2006 | 49.75 | 159.39 | 1.00 | 49.26 | 19.97 | 40.14 |
| 19 December 2006 | 48.68 | 139.99 | 1.10 | 47.97 | 20.64 | 42.41 |
| 11 March 2008 | 42.81 | 124.66 | 1.08 | 40.69 | 16.68 | 38.97 |
| 8 December 2008 | 53.17 | 171.91 | 1.00 | 53.25 | 25.31 | 47.59 |
| 14 March 2009 | 50.76 | 142.24 | 1.00 | 48.15 | 24.21 | 47.70 |
| 12 November 2010 | 52.18 | 151.49 | 1.00 | 51.26 | 24.38 | 46.73 |
| 6 December 2013 | 57.75 | 110.83 | 1.00 | 60.10 | 22.86 | 39.59 |
| 31 March 2015 | 50.58 | 121.80 | 1.00 | 48.95 | 27.10 | 53.57 |
| 26 November 2015 | 70.06 | 163.43 | 1.00 | 74.00 | 31.02 | 44.27 |
| 1 March 2016 | 53.49 | 118.13 | 1.00 | 57.28 | 26.43 | 49.41 |
| 28 November 2016 | 63.95 | 148.87 | 1.00 | 63.47 | 25.00 | 39.09 |
| 16 February 2017 | 51.90 | 144.27 | 1.00 | 53.06 | 24.52 | 47.24 |
| 17 December 2017 | 59.94 | 125.13 | 1.02 | 54.50 | 22.99 | 38.35 |
| 3 February 2018 | 66.60 | 127.11 | 1.00 | 65.35 | 23.21 | 34.85 |
| 5 November 2019 | 45.38 | 105.29 | 1.00 | 43.38 | 21.50 | 47.39 |
| 7 December 2019 | 46.73 | 123.88 | 1.00 | 44.77 | 19.65 | 42.04 |
| 25 December 2020 | 41.61 | 98.48 | 1.00 | 38.75 | 15.80 | 37.97 |
| 10 November 2021 | 73.87 | 153.14 | 1.02 | 76.30 | 23.42 | 31.70 |
| 2 March 2022 | 52.25 | 127.99 | 1.00 | 51.48 | 21.52 | 41.19 |
References
- Weyhenmeyer, G.A.; Håkanson, L.; Meili, M. A Validated Model for Daily Variations in the Flux, Origin, and Distribution of Settling Particles within Lakes. Limnol. Oceanogr. 1997, 42, 1517–1529. [Google Scholar] [CrossRef]
- Pang, Y.; Yan, R.; Yu, Z.; Li, Y.; Li, R. Suspension-sedimentation of sediment and release amount of internal load in Lake Taihu affected by wind. Environ. Sci. 2008, 29, 2456–2464. [Google Scholar] [CrossRef]
- Blom, G.; van Duin, E.H.S.; Lijklema, L. Sediment Resuspension and Light Conditions in Some Shallow Dutch Lakes. Water Sci. Technol. 1994, 30, 243–252. [Google Scholar] [CrossRef]
- Kirk, J.T.O. Light and Photosynthesis in Aquatic Ecosystems, 3rd ed.; Cambridge University Press: Cambridge, UK; New York, NY, USA, 2011. [Google Scholar]
- Zhang, Y.; Qin, B.; Chen, W.; Luo, L. A Study on Total Suspended Matter in Lake Taihu. Resour. Environ. Yangtze Basin 2004, 13, 266–271. [Google Scholar]
- Zhang, B.; Li, J.; Shen, Q.; Wu, Y.; Zhang, F.; Wang, S.; Yao, Y.; Guo, L.; Yin, Z. Recent Research Progress on Long Time Series and Large Scale Optical Remote Sensing of Inland Water. J. Remote Sens. 2021, 25, 37–52. [Google Scholar] [CrossRef]
- Ouma, Y.O.; Noor, K.; Herbert, K. Modelling Reservoir Chlorophyll-a, TSS, and Turbidity Using Sentinel-2A MSI and Landsat-8 OLI Satellite Sensors with Empirical Multivariate Regression. J. Sens. 2020, 2020, 8858408. [Google Scholar] [CrossRef]
- Wen, Z.; Wang, Q.; Ma, Y.; Jacinthe, P.A.; Liu, G.; Li, S.; Shang, Y.; Tao, H.; Fang, C.; Lyu, L.; et al. Remote Estimates of Suspended Particulate Matter in Global Lakes Using Machine Learning Models. Int. Soil Water Conserv. Res. 2024, 12, 200–216. [Google Scholar] [CrossRef]
- Nechad, B.; Ruddick, K.G.; Park, Y. Calibration and Validation of a Generic Multisensor Algorithm for Mapping of Total Suspended Matter in Turbid Waters. Remote Sens. Environ. 2010, 114, 854–866. [Google Scholar] [CrossRef]
- Han, B.; Loisel, H.; Vantrepotte, V.; Meriaux, X.; Bryere, P.; Ouillon, S.; Dessailly, D.; Xing, Q.; Zhu, J. Development of a Semi-Analytical Algorithm for the Retrieval of Suspended Particulate Matter from Remote Sensing over Clear to Very Turbid Waters. Remote Sens. 2016, 8, 211. [Google Scholar] [CrossRef]
- Shi, K.; Zhang, Y.; Zhu, G.; Liu, X.; Zhou, Y.; Xu, H.; Qin, B.; Liu, G.; Li, Y. Long-Term Remote Monitoring of Total Suspended Matter Concentration in Lake Taihu Using 250 m MODIS-Aqua Data. Remote Sens. Environ. 2015, 164, 43–56. [Google Scholar] [CrossRef]
- Cao, Z.; Duan, H.; Feng, L.; Ma, R.; Xue, K. Climate- and Human-Induced Changes in Suspended Particulate Matter over Lake Hongze on Short and Long Timescales. Remote Sens. Environ. 2017, 192, 98–113. [Google Scholar] [CrossRef]
- Kari, E.; Kratzer, S.; Beltran-Abaunza, J.M.; Harvey, E.T.; Vaiciute, D. Retrieval of Suspended Particulate Matter from Turbidity—Model Development, Validation, and Application to MERIS Data over the Baltic Sea. Int. J. Remote Sens. 2017, 38, 1983–2003. [Google Scholar] [CrossRef]
- Jiang, D.; Matsushita, B.; Pahlevan, N.; Gurlin, D.; Lehmann, M.K.; Fichot, C.G.; Schalles, J.; Loisel, H.; Binding, C.; Zhang, Y.; et al. Remotely Estimating Total Suspended Solids Concentration in Clear to Extremely Turbid Waters Using a Novel Semi-Analytical Method. Remote Sens. Environ. 2021, 258, 112386. [Google Scholar] [CrossRef]
- Liu, H.; Li, Q.; Shi, T.; Hu, S.; Wu, G.; Zhou, Q. Application of Sentinel 2 MSI Images to Retrieve Suspended Particulate Matter Concentrations in Poyang Lake. Remote Sens. 2017, 9, 761. [Google Scholar] [CrossRef]
- Balasubramanian, S.; Pahlevan, N.; Smith, B.; Binding, C.; Schalles, J.; Loisel, H.; Gurlin, D.; Greb, S.; Alikas, K.; Randla, M.; et al. Robust Algorithm for Estimating Total Suspended Solids (TSS) in Inland and Nearshore Coastal Waters. Remote Sens. Environ. 2020, 246, 111768. [Google Scholar] [CrossRef]
- Claverie, M.; Vermote, E.F.; Franch, B.; Masek, J.G. Evaluation of the Landsat-5 TM and Landsat-7 ETM + Surface Reflectance Products. Remote Sens. Environ. 2015, 169, 390–403. [Google Scholar] [CrossRef]
- Chen, J.; Zhu, W. Consistency Evaluation of Landsat-7 and Landsat-8 for Improved Monitoring of Colored Dissolved Organic Matter in Complex Water. Geocarto Int. 2022, 37, 91–102. [Google Scholar] [CrossRef]
- Han, W.; Huang, C.; Wang, Y.; Gu, J. Study on the Area Variation of Qinghai Lake Based on Long-Term Landsat 5/8 Multi-Band Remote Sensing Imagery. Adv. Earth Sci. 2019, 34, 346–355. [Google Scholar] [CrossRef]
- Gholizadeh, M.H.; Melesse, A.M.; Reddi, L. A Comprehensive Review on Water Quality Parameters Estimation Using Remote Sensing Techniques. Sensors 2016, 16, 1298. [Google Scholar] [CrossRef]
- Xiong, Y.; Wang, K.; Lan, W.; Qi, H. Evaluation of the Lake Recovery Area Eco-Compensation in Dongting Lake Wetland. Acta Geogr. Sin. 2004, 59, 772–780. [Google Scholar]
- Zhuang, D. The Evaluation of the Ecosystem Services Value in Dongting Lake Wetland. Econ. Geogr. 2004, 24, 391–394+432. [Google Scholar]
- Jing, H.; Hua, L.; Chen, Y.; Shan, W.; Shi, W.; Huang, Z.; Jiao, Z. Pollution characteristics of runoff in urban storm sewer and its impaction to receiving water. Environ. Chem. 2012, 31, 208–215. [Google Scholar]
- Lu, D.; Li, J.; Filippi, A. Analysis of Total Suspended Solids Concentration in Water Bodies of East Lake Based on Long Time Series Landsat Imagery. Eng. J. Wuhan Univ. 2019, 52, 854–861. [Google Scholar] [CrossRef]
- Zhang, Y.; Zhang, Y.; Zha, Y.; Shi, K.; Zhou, Y.; Wang, M. Remote Sensing Estimation of Total Suspended Matter Concentration in Xin’anjiang Reservoir Using Landsat 8 Data. Environ. Sci. 2015, 36, 56–63. [Google Scholar]
- Wang, L.; Tian, Z.; Li, Y.; Chen, J.; Li, L.; Wang, X.; Zhao, Y.; Zheng, B. Trend and Driving Factors of Water Environment Change in Dongting Lake in the Last 30 Years. Res. Environ. Sci. 2020, 33, 1140–1149. [Google Scholar]
- Zhang, L.; Ma, J.; Zhang, Q.; Yu, R.; Ren, B.; Wang, Y.; Zhang, Y. Characteristics of Runoff-Sediment Variation of Dongting Lake in Recent Six Decades and Its Relationship with Human Activities. J. Yangtze River Sci. Res. Inst. 2021, 38, 14–20. [Google Scholar]
- Zhang, G.; Lu, S.; Tian, Q. Analysis of Spatial-Temporal Variations of Total Nitrogen and Total Phosphorus Concentrations and Their Influencing Factors in Dongting Lake in the Past Two Decades. Environ. Chem. 2016, 35, 2377–2385. [Google Scholar]
- Wu, G.; Liu, L.; Chen, F.; Fei, T. Developing MODIS-based Retrieval Models of Suspended Particulate Matter Concentration in Dongting Lake, China. Int. J. Appl. Earth Obs. Geoinf. 2014, 32, 46–53. [Google Scholar] [CrossRef]
- Wu, G.; Cui, L.; Liu, L.; Chen, F.; Fei, T.; Liu, Y. Statistical Model Development and Estimation of Suspended Particulate Matter Concentrations with Landsat 8 OLI Images of Dongting Lake, China. Int. J. Remote Sens. 2015, 36, 343–360. [Google Scholar] [CrossRef]
- Zheng, Z.; Li, Y.; Guo, Y.; Xu, Y.; Liu, G.; Du, C. Landsat-Based Long-Term Monitoring of Total Suspended Matter Concentration Pattern Change in the Wet Season for Dongting Lake, China. Remote Sens. 2015, 7, 13975–13999. [Google Scholar] [CrossRef]
- Peng, B.; Chen, Z.; Li, J.; Luo, W.; Gan, J.; Zeng, R. Monitoring Water Quality of Dongting Lake Region Based on GF-1 Image. Geogr. Res. 2018, 37, 1683–1691. [Google Scholar]
- Chen, J.; Huang, J.; Zhang, X.; Chen, J.; Chen, X. Monitoring Total Suspended Solids Concentration in Poyang Lake via Machine Learning and Landsat Images. J. Hydrol. Reg. Stud. 2023, 49, 101499. [Google Scholar] [CrossRef]
- Zheng, Y.; Lu, J.; Chen, L.; Chen, X. Spatial-Temporal Dynamic Monitoring of Sand Dredging Activities Based on GF-1 WFV in Lake Poyang during 2013–2020. J. Lake Sci. 2022, 34, 2144–2155. [Google Scholar] [CrossRef]
- Yin, Z.; Li, J.; Liu, Y.; Zhang, F.; Wang, S.; Xie, Y.; Gao, M. Decline of Suspended Particulate Matter Concentrations in Lake Taihu from 1984 to 2020: Observations from Landsat TM and OLI. Opt. Express 2022, 30, 22572–22589. [Google Scholar] [CrossRef]
- Ma, R.; Dai, J. Quantitative Estimation of Chlorophyll-a and Total Suspended Matter Concentration with Landsat ETM Based on Field Spectral Features of Lake Taihu. J. Lake Sci. 2005, 17, 97–103. [Google Scholar]
- Encyclopedia of China Publishing House. Encyclopedia of China: Geography of China, 1st ed.; Encyclopedia of China Publishing House: Beijing, China, 1993. [Google Scholar]
- Cheng, J.; Xu, L.; Wang, Q.; Yan, B.; Wan, R.; Jiang, J.; You, H. Temporal and Spatial Variations of Water Level and Its Driving Forces in Lake Dongting over the Last Three Decades. J. Lake Sci. 2017, 29, 974–983. [Google Scholar] [CrossRef]
- Zhang, Y. Water and Sediment Exchanges between Rivers and Lakes in the Middle and Lower Yangtze River Basin. Master’s Dissertation, East China Normal University, Shanghai, China, 2022. [Google Scholar]
- Masek, J.; Vermote, E.; Saleous, N.; Wolfe, R.; Hall, F.; Huemmrich, K.; Gao, F.; Kutler, J.; Lim, T.K. A Landsat Surface Reflectance Dataset for North America, 1990–2000. IEEE Geosci. Remote Sens. Lett. 2006, 3, 68–72. [Google Scholar] [CrossRef]
- Vermote, E.; Justice, C.; Claverie, M.; Franch, B. Preliminary Analysis of the Performance of the Landsat 8/OLI Land Surface Reflectance Product. Remote Sens. Environ. 2016, 185, 46–56. [Google Scholar] [CrossRef] [PubMed]
- Feng, Y.; Xu, D.; Li, Z. The Yangtze River’s Water Inflow into the Lake Has Slightly Increased, and Dongting Lake Has Ended Its 305-Day-Long Low Dry State. Available online: https://www.hunan.gov.cn/hnszf/hnyw/zwdt/202306/t20230607_29369235.html (accessed on 9 September 2024).
- Surface Water Quality Monitoring Procedures, Volume 1: Physical and Chemical Monitoring Methods. Available online: https://www.tceq.texas.gov/publications/rg/rg-415 (accessed on 30 August 2024).
- Mueller, J.L.; Fargion, G.S.; Trees, C.; Austin, R.W.; Pietras, C.; Hooker, S.; Holben, B.; McClain, C.R.; Clark, D.K.; Yuen, M. Ocean Optics Protocols for Satellite Ocean Color Sensor Validation. Available online: https://ntrs.nasa.gov/citations/20030063139 (accessed on 26 March 2024).
- Tang, J.; Tian, G.; Wang, X.; Wang, X.; Song, Q. The Methods of Water Spectra Measurement and Analysis I: Above-Water Method. J. Remote Sens. 2004, 8, 37–44. [Google Scholar] [CrossRef]
- Cui, L.; Zhai, Y.; Wu, G. Dredging Being Moved Southward Enlarges the Impacted Region in Poyang Lake: The Evidences from Multi-Remote Sensing Images. Acta Ecol. Sin. 2013, 33, 3520–3525. [Google Scholar] [CrossRef]
- Wang, P.; Zhang, X.; Qi, S. Was the Trend of the Net Sediment Flux in Poyang Lake, China, Altered by the Three Gorges Dam or by Sand Mining? Environ. Earth Sci. 2019, 78, 64. [Google Scholar] [CrossRef]
- Deng, M.; Li, Q.; Li, W.; Lai, G.; Pan, Y. Impacts of Sand Mining Activities on the Wetland Ecosystem of Poyang Lake (China). Land 2022, 11, 1364. [Google Scholar] [CrossRef]
- Kabir, S.; Pahlevan, N.; O’Shea, R.E.; Barnes, B.B. Leveraging Landsat-8/-9 Underfly Observations to Evaluate Consistency in Reflectance Products over Aquatic Environments. Remote Sens. Environ. 2023, 296, 113755. [Google Scholar] [CrossRef]
- Pahlevan, N.; Chittimalli, S.K.; Balasubramanian, S.V.; Vellucci, V. Sentinel-2/Landsat-8 Product Consistency and Implications for Monitoring Aquatic Systems. Remote Sens. Environ. 2019, 220, 19–29. [Google Scholar] [CrossRef]
- Echavarria-Caballeroa, C.; Dominguez-Gomez, J.A.; Gonzalez-Garcia, C.; Garcia-Garcia, M.J. Assessment of Landsat 5 Images Atmospherically Corrected with LEDAPS in Water Quality Time Series. Can. J. Remote Sens. 2019, 45, 691–706. [Google Scholar] [CrossRef]
- Ilori, C.O.; Pahlevan, N.; Knudby, A. Analyzing Performances of Different Atmospheric Correction Techniques for Landsat 8: Application for Coastal Remote Sensing. Remote Sens. 2019, 11, 469. [Google Scholar] [CrossRef]
- Jin, Y.; Hao, Z.; Huang, H.; Wang, T.; Mao, Z.; Pan, D. Evaluation of LaSRC Aerosol Optical Depth from Landsat-8 and Sentinel-2 in Guangdong-Hong Kong-Macao Greater Bay Area, China. Atmos. Environ. 2022, 280, 119128. [Google Scholar] [CrossRef]
- Wang, F.; Han, L.; Kung, H.T.; Van Arsdale, R.B. Applications of Landsat-5 TM Imagery in Assessing and Mapping Water Quality in Reelfoot Lake, Tennessee. Int. J. Remote Sens. 2006, 27, 5269–5283. [Google Scholar] [CrossRef]
- Wang, L. Study on Temporal and Spatial Variation and Influencing Factors of Water Quality Parameters in Salt Lake Area —The Example of the Charkhan Salt Lake. Master’s Thesis, Northwest Normal University, Lanzhou, China, 2023. [Google Scholar]
- Hu, Y.; Zhang, Y.; Yang, B.; Zhang, Y. Short-Term Dynamics and Driving Factors of Total Suspended Matter Concentration in Lake Taihu Using High Frequent Geostationary Ocean Color Imager Data. J. Lake Sci. 2018, 30, 992–1003. [Google Scholar] [CrossRef]
- Li, K. Remote Sensing Inversion and Driving Factor Analysis of Suspended Matter in the Nearshore Waters of Zhuhai, China. Master’s Thesis, Nanjing University of Information Science & Technology, Nanjing, China, 2022. [Google Scholar]
- Zhou, Y.; Liu, J.; Xu, X.; Qi, C.; Wu, X.; Lin, H.; Shi, K. Response of Suspended Solids and Dissolved Nutrients in Littoral Zone of Lake Taihu under Wind-Wave Disturbances. J. Lake Sci. 2018, 30, 948–956. [Google Scholar] [CrossRef]
- Han, Y.; Xu, W.; Liu, J.; Zhang, X.; Wang, K.; Wang, D.; Mei, Z. Ecological Impacts of Unsustainable Sand Mining: Urgent Lessons Learned from a Critically Endangered Freshwater Cetacean. Proc. R. Soc. B Biol. Sci. 2023, 290, 20221786. [Google Scholar] [CrossRef] [PubMed]
- Liu, J. Dongting Lake’s Largest-Scale Remediation: Nine Departments to Offer a ‘killer App’, the Destruction of the Lake Sand Mining Emergency Brakes. 2017. Available online: https://www.thepaper.cn/newsDetail_forward_1861715 (accessed on 26 March 2024).















| Year | Date | Year | Date | Year | Date | Year | Date |
|---|---|---|---|---|---|---|---|
| 1986 | / | 1995 | / | 2004 | 1213 | 2013 | 1206 |
| 1987 | 1231 | 1996 | 1207, 1223 | 2005 | / | 2014 | 0331 |
| 1988 | 0307 | 1997 | 0212 | 2006 | 1101, 1219 | 2015 | 1126, 0301 |
| 1989 | 1204 | 1998 | / | 2007 | 0311 | 2016 | 1128, 0216 |
| 1990 | / | 1999 | / | 2008 | 1208, 0314 | 2017 | 1217, 0203 |
| 1991 | 1108 | 2000 | 0308 | 2009 | / | 2018 | / |
| 1992 | 0129 | 2001 | 1221 | 2010 | 1112 | 2019 | 1105, 1207 |
| 1993 | 1113, 1231 | 2002 | / | 2011 | / | 2020 | 1225 |
| 1994 | 0204 | 2003 | 1227, 0213 | 2012 | / | 2021 | 1110, 0302 |
| Band or Band Ratio | Pearson’s r | Model Equation | (mg/L) | (%) | |
|---|---|---|---|---|---|
| NIR | 0.94 | 15.85 | 20.02 | 0.87 | |
| Red/Blue | 0.70 | 29.27 | 63.87 | 0.37 | |
| NIR/Blue | 0.97 | 8.18 | 31.96 | 0.89 | |
| Red/Green | 0.91 | 18.94 | 27.32 | 0.84 | |
| NIR/Green | 0.97 | 8.33 | 28.47 | 0.90 | |
| NIR/Red | 0.94 | 11.92 | 36.52 | 0.82 |
Disclaimer/Publisher’s Note: The statements, opinions and data contained in all publications are solely those of the individual author(s) and contributor(s) and not of MDPI and/or the editor(s). MDPI and/or the editor(s) disclaim responsibility for any injury to people or property resulting from any ideas, methods, instructions or products referred to in the content. |
© 2024 by the authors. Licensee MDPI, Basel, Switzerland. This article is an open access article distributed under the terms and conditions of the Creative Commons Attribution (CC BY) license (https://creativecommons.org/licenses/by/4.0/).
Share and Cite
Shao, Y.; Shen, Q.; Yao, Y.; Zhou, Y.; Xu, W.; Li, W.; Gao, H.; Shi, J.; Zhang, Y. Spatial and Temporal Variations of Total Suspended Matter Concentration during the Dry Season in Dongting Lake in the Past 35 Years. Remote Sens. 2024, 16, 3509. https://doi.org/10.3390/rs16183509
Shao Y, Shen Q, Yao Y, Zhou Y, Xu W, Li W, Gao H, Shi J, Zhang Y. Spatial and Temporal Variations of Total Suspended Matter Concentration during the Dry Season in Dongting Lake in the Past 35 Years. Remote Sensing. 2024; 16(18):3509. https://doi.org/10.3390/rs16183509
Chicago/Turabian StyleShao, Yifan, Qian Shen, Yue Yao, Yuting Zhou, Wenting Xu, Wenxin Li, Hangyu Gao, Jiarui Shi, and Yuting Zhang. 2024. "Spatial and Temporal Variations of Total Suspended Matter Concentration during the Dry Season in Dongting Lake in the Past 35 Years" Remote Sensing 16, no. 18: 3509. https://doi.org/10.3390/rs16183509
APA StyleShao, Y., Shen, Q., Yao, Y., Zhou, Y., Xu, W., Li, W., Gao, H., Shi, J., & Zhang, Y. (2024). Spatial and Temporal Variations of Total Suspended Matter Concentration during the Dry Season in Dongting Lake in the Past 35 Years. Remote Sensing, 16(18), 3509. https://doi.org/10.3390/rs16183509

