Mapping Natural Populus euphratica Forests in the Mainstream of the Tarim River Using Spaceborne Imagery and Google Earth Engine
Abstract
1. Introduction
2. Study Area and Datasets
2.1. Study Area
2.2. Datasets
2.2.1. Satellite Data
2.2.2. Geo-Information Vector Data
2.2.3. Land Cover Data
2.2.4. Validation Dataset
3. Methodology
3.1. Background Splitting
3.2. Phenological Parameter Extraction
3.2.1. NDVI Data Fusion
3.2.2. Optimization of the Filter to Reconstruct the NDVI Time Series
- (1)
- Savitzky-Golay filter (S-G)
- (2)
- Harmonic Analysis of Time Series (HANTS)
- (3)
- Whittaker smoothing
- (4)
- Self-weighting function fitting from curve features (SWCF)
3.2.3. Threshold Method for Extracting Phenological Parameters
3.3. Construction of Classification Model
3.4. Active Learning Optimization
3.5. Accuracy Assessment
4. Results
4.1. Performance of Reconstructing NDVI Time Series Using Different Methods
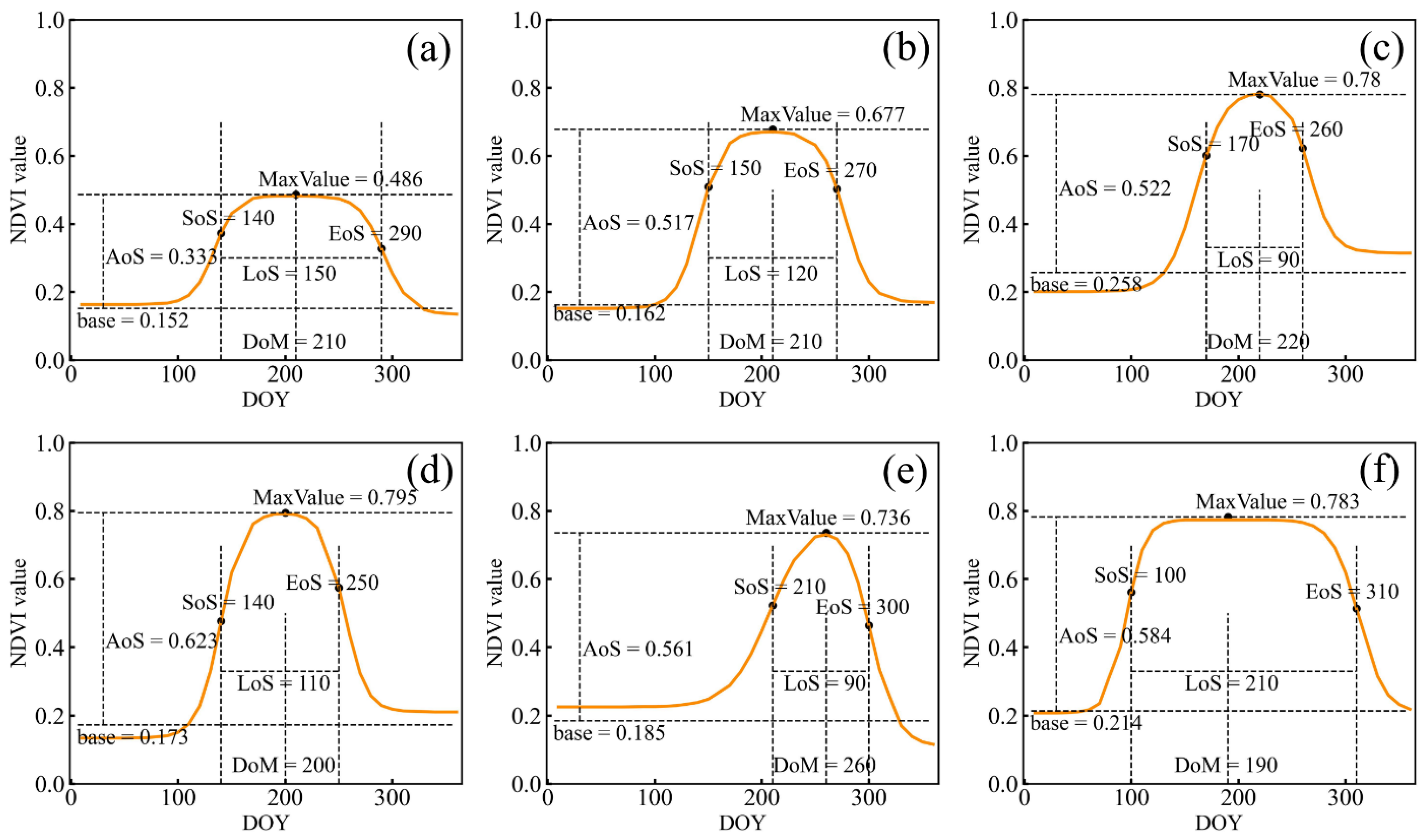
4.2. Results of Phenological Parameter Extraction
4.3. Importance of Different Input Features
4.4. Comparative Study Using Different Combinations of Input Features
4.5. Distribution Map of Natural P. euphratica Forests in the Mainstream of the Tarim River
5. Discussion
5.1. Analysis of the Importance of Different Input Features
5.2. Mixed Pixel Impact Analysis
5.3. Comparison with Previous Studies
6. Conclusions
Author Contributions
Funding
Data Availability Statement
Conflicts of Interest
References
- Huang, P. Study on the dynamic adaptation of the life cycle of Populus euphratica forests on desert river banks to the water conditions of the habitat. Xinjiang Environ. Prot. 1991, 13, 5–10. [Google Scholar]
- Rajput, V.D.; Minkina, T.; Yaning, C.; Sushkova, S.; Chapligin, V.A.; Mandzhieva, S. A Review on Salinity Adaptation Mechanism and Characteristics of Populus Euphratica, a Boon for Arid Ecosystems. Acta Ecol. Sin. 2016, 36, 497–503. [Google Scholar] [CrossRef]
- Wu, J.; Zhang, X.; Li, L.; Deng, C. Liu Guojun Population ecology analysis of natural regeneration of Populus euphratica population in the Tarim River Basin. Chin. J. Desert Res. 2010, 30, 582–588. [Google Scholar]
- Li, H.; Shi, Q.; Wan, Y.; Shi, H.; Imin, B. Using Sentinel-2 Images to Map the Populus Euphratica Distribution Based on the Spectral Difference Acquired at the Key Phenological Stage. Forests 2021, 12, 147. [Google Scholar] [CrossRef]
- Wang, S. The current status of Populus euphratica forests around the world and strategies for their protection and restoration. World For. Res. 1996, 9, 37–44. [Google Scholar]
- Chen, Y.; Chen, Y.; Li, W.; Zhang, H. Response of the Accumulation of Proline in the Bodies of Populus Euphratica to the Change of Groundwater Level at the Lower Reaches of Tarim River. Chin. Sci. Bull. 2003, 48, 1995–1999. [Google Scholar] [CrossRef]
- Ling, H.; Zhang, P.; Xu, H.; Zhao, X. How to Regenerate and Protect Desert Riparian Populus Euphratica Forest in Arid Areas. Sci. Rep. 2015, 5, 15418. [Google Scholar] [CrossRef]
- Peng, Y.; He, G.; Wang, G. Spatial-Temporal Analysis of the Changes in Populus Euphratica Distribution in the Tarim National Nature Reserve over the Past 60 Years. Int. J. Appl. Earth Obs. Geoinf. 2022, 113, 103000. [Google Scholar] [CrossRef]
- Guo, Y.; Li, X.; Zhao, Z.; Wei, H. Modeling the Distribution of Populus Euphratica in the Heihe River Basin, an Inland River Basin in an Arid Region of China. Sci. China Earth Sci. 2018, 61, 1669–1684. [Google Scholar] [CrossRef]
- Aishan, T.; Halik, Ü.; Betz, F.; Gärtner, P.; Cyffka, B. Modeling Height–Diameter Relationship for Populus Euphratica in the Tarim Riparian Forest Ecosystem, Northwest China. J. For. Res. 2016, 27, 889–900. [Google Scholar] [CrossRef]
- Lang, P.; Jeschke, M.; Wommelsdorf, T.; Backes, T.; Lv, C.; Zhang, X.; Thomas, F.M. Wood Harvest by Pollarding Exerts Long-Term Effects on Populus Euphratica Stands in Riparian Forests at the Tarim River, NW China. For. Ecol. Manag. 2015, 353, 87–96. [Google Scholar] [CrossRef]
- Zhu, X.; Liu, D. Accurate Mapping of Forest Types Using Dense Seasonal Landsat Time-Series. ISPRS J. Photogramm. Remote Sens. 2014, 96, 1–11. [Google Scholar] [CrossRef]
- Immitzer, M.; Böck, S.; Einzmann, K.; Vuolo, F.; Pinnel, N.; Wallner, A.; Atzberger, C. Fractional Cover Mapping of Spruce and Pine at 1 Ha Resolution Combining Very High and Medium Spatial Resolution Satellite Imagery. Remote Sens. Environ. 2018, 204, 690–703. [Google Scholar] [CrossRef]
- Persson, M.; Lindberg, E.; Reese, H. Tree Species Classification with Multi-Temporal Sentinel-2 Data. Remote Sens. 2018, 10, 1794. [Google Scholar] [CrossRef]
- Wang, L.; Dong, L.; Hu, T.; Guo, K. History and prospects of China’s vegetation map compilation. Sci. China Life Sci. 2021, 51, 219–228. [Google Scholar]
- Xie, Y.; Sha, Z.; Yu, M. Remote Sensing Imagery in Vegetation Mapping: A Review. J. Plant Ecol. 2008, 1, 9–23. [Google Scholar] [CrossRef]
- Immitzer, M.; Atzberger, C.; Koukal, T. Tree Species Classification with Random Forest Using Very High Spatial Resolution 8-Band WorldView-2 Satellite Data. Remote Sens. 2012, 4, 2661–2693. [Google Scholar] [CrossRef]
- Daryaei, A.; Sohrabi, H.; Atzberger, C.; Immitzer, M. Fine-Scale Detection of Vegetation in Semi-Arid Mountainous Areas with Focus on Riparian Landscapes Using Sentinel-2 and UAV Data. Comput. Electron. Agric. 2020, 177, 105686. [Google Scholar] [CrossRef]
- Ji, W.; Wang, L. Discriminating Saltcedar (Tamarix Ramosissima) from Sparsely Distributed Cottonwood (Populus Euphratica) Using a Summer Season Satellite Image. Photogramm. Eng. Remote Sens. 2015, 81, 795–806. [Google Scholar] [CrossRef]
- Immitzer, M.; Neuwirth, M.; Böck, S.; Brenner, H.; Vuolo, F.; Atzberger, C. Optimal Input Features for Tree Species Classification in Central Europe Based on Multi-Temporal Sentinel-2 Data. Remote Sens. 2019, 11, 2599. [Google Scholar] [CrossRef]
- Feng, Q.; Niu, B.; Ren, Y.; Su, S.; Wang, J.; Shi, H.; Yang, J.; Han, M. A 10-m National-Scale Map of Ground-Mounted Photovoltaic Power Stations in China of 2020. Sci. Data 2024, 11, 198. [Google Scholar] [CrossRef] [PubMed]
- Cao, B.; Yu, L.; Naipal, V.; Ciais, P.; Li, W.; Zhao, Y.; Wei, W.; Chen, D.; Liu, Z.; Gong, P. A 30 m Terrace Mapping in China Using Landsat 8 Imagery and Digital Elevation Model Based on the Google Earth Engine. Earth Syst. Sci. Data 2021, 13, 2437–2456. [Google Scholar] [CrossRef]
- Peng, Y.; He, G.; Wang, G.; Zhang, Z. Large-Scale Populus Euphratica Distribution Mapping Using Time-Series Sentinel-1/2 Data in Google Earth Engine. Remote Sens. 2023, 15, 1585. [Google Scholar] [CrossRef]
- Zeng, L.; Wardlow, B.D.; Xiang, D.; Hu, S.; Li, D. A Review of Vegetation Phenological Metrics Extraction Using Time-Series, Multispectral Satellite Data. Remote Sens. Environ. 2020, 237, 111511. [Google Scholar] [CrossRef]
- De Beurs, K.M.; Henebry, G.M. Land Surface Phenology and Temperature Variation in the International Geosphere–Biosphere Program High-latitude Transects. Glob. Chang. Biol. 2005, 11, 779–790. [Google Scholar] [CrossRef]
- Weisberg, P.J.; Dilts, T.E.; Greenberg, J.A.; Johnson, K.N.; Pai, H.; Sladek, C.; Kratt, C.; Tyler, S.W.; Ready, A. Phenology-Based Classification of Invasive Annual Grasses to the Species Level. Remote Sens. Environ. 2021, 263, 112568. [Google Scholar] [CrossRef]
- Lee, B.; Kim, E.; Lim, J.-H.; Seo, B.; Chung, J.-M. Detecting Vegetation Phenology in Various Forest Types Using Long-Term MODIS Vegetation Indices. In Proceedings of the IGARSS 2018—2018 IEEE International Geoscience and Remote Sensing Symposium, Valencia, Spain, 22–27 July 2018; pp. 5243–5246. [Google Scholar]
- Hu, Q.; Sulla-Menashe, D.; Xu, B.; Yin, H.; Tang, H.; Yang, P.; Wu, W. A Phenology-Based Spectral and Temporal Feature Selection Method for Crop Mapping from Satellite Time Series. Int. J. Appl. Earth Obs. Geoinf. 2019, 80, 218–229. [Google Scholar] [CrossRef]
- Bargiel, D. A New Method for Crop Classification Combining Time Series of Radar Images and Crop Phenology Information. Remote Sens. Environ. 2017, 198, 369–383. [Google Scholar] [CrossRef]
- Al-Shammari, D.; Fuentes, I.M.; Whelan, B.; Filippi, P.F.A.; Bishop, T. Mapping of Cotton Fields Within-Season Using Phenology-Based Metrics Derived from a Time Series of Landsat Imagery. Remote Sens. 2020, 12, 3038. [Google Scholar] [CrossRef]
- Zhang, C.; Zhang, H.; Tian, S. Phenology-Assisted Supervised Paddy Rice Mapping with the Landsat Imagery on Google Earth Engine: Experiments in Heilongjiang Province of China from 1990 to 2020. Comput. Electron. Agric. 2023, 212, 108105. [Google Scholar] [CrossRef]
- Zhang, C.; Dong, J.; Xie, Y.; Zhang, X.; Ge, Q. Mapping Irrigated Croplands in China Using a Synergetic Training Sample Generating Method, Machine Learning Classifier, and Google Earth Engine. Int. J. Appl. Earth Obs. Geoinf. 2022, 112, 102888. [Google Scholar] [CrossRef]
- Gaertner, P.; Foerster, M.; Kleinschmit, B. The Benefit of Synthetically Generated RapidEye and Landsat 8 Data Fusion Time Series for Riparian Forest Disturbance Monitoring. Remote Sens. Environ. 2016, 177, 237–247. [Google Scholar] [CrossRef]
- Zhen, Z.; Chen, S.; Yin, T.; Gastellu-Etchegorry, J.-P. Globally Quantitative Analysis of the Impact of Atmosphere and Spectral Response Function on 2-Band Enhanced Vegetation Index (EVI2) over Sentinel-2 and Landsat-8. ISPRS J. Photogramm. Remote Sens. 2023, 205, 206–226. [Google Scholar] [CrossRef]
- Arvor, D.; Jonathan, M.; Meirelles, M.S.P.; Dubreuil, V.; Durieux, L. Classification of MODIS EVI Time Series for Crop Mapping in the State of Mato Grosso, Brazil. Int. J. Remote Sens. 2011, 32, 7847–7871. [Google Scholar] [CrossRef]
- Kushwaha, S.P.S.; Kuntz, S.; Oesten, G. Applications of Image Texture in Forest Classification. Int. J. Remote Sens. 1994, 15, 2273–2284. [Google Scholar] [CrossRef]
- Mohanaiah, P.; Sathyanarayana, P.; GuruKumar, L. Image Texture Feature Extraction Using GLCM Approach. Int. J. Sci. Res. Publ. 2013, 3, 290–294. [Google Scholar]
- Abdikan, S.; Sanli, F.B.; Ustuner, M.; Calò, F. Land cover mapping using sentinel-1 SAR data. Int. Arch. Photogramm. Remote Sens. Spat. Inf. Sci. 2016, XLI-B7, 757–761. [Google Scholar] [CrossRef]
- Kuenzer, C.; Bluemel, A.; Gebhardt, S.; Quoc, T.V.; Dech, S. Remote Sensing of Mangrove Ecosystems: A Review. Remote Sens. 2011, 3, 878–928. [Google Scholar] [CrossRef]
- Skriver, H.; Mattia, F.; Satalino, G.; Balenzano, A.; Pauwels, V.R.N.; Verhoest, N.E.C.; Davidson, M. Crop Classification Using Short-Revisit Multitemporal SAR Data. IEEE J. Sel. Top. Appl. Earth Obs. Remote Sens. 2011, 4, 423–431. [Google Scholar] [CrossRef]
- Mercier, A.; Betbeder, J.; Rumiano, F.; Baudry, J.; Gond, V.; Blanc, L.; Bourgoin, C.; Cornu, G.; Ciudad, C.; Marchamalo, M. Evaluation of Sentinel-1 and 2 Time Series for Land Cover Classification of Forest–Agriculture Mosaics in Temperate and Tropical Landscapes. Remote Sens. 2019, 11, 979. [Google Scholar] [CrossRef]
- Amani, M.; Ghorbanian, A.; Ahmadi, S.A.; Kakooei, M.; Moghimi, A.; Mirmazloumi, S.M.; Moghaddam, S.H.A.; Mahdavi, S.; Ghahremanloo, M.; Parsian, S.; et al. Google Earth Engine Cloud Computing Platform for Remote Sensing Big Data Applications: A Comprehensive Review. IEEE J. Sel. Top. Appl. Earth Obs. Remote Sens. 2020, 13, 5326–5350. [Google Scholar] [CrossRef]
- Gorelick, N.; Hancher, M.; Dixon, M.; Ilyushchenko, S.; Thau, D.; Moore, R. Google Earth Engine: Planetary-Scale Geospatial Analysis for Everyone. Remote Sens. Environ. 2017, 202, 18–27. [Google Scholar] [CrossRef]
- Liu, X.; Zhai, H.; Shen, Y.; Lou, B.; Jiang, C.; Li, T.; Hussain, S.B.; Shen, G. Large-Scale Crop Mapping from Multisource Remote Sensing Images in Google Earth Engine. IEEE J. Sel. Top. Appl. Earth Obs. Remote Sens. 2020, 13, 414–427. [Google Scholar] [CrossRef]
- European Union, ESA, Copernicus. Available online: https://sentinel.esa.int/web/sentinel/copernicus (accessed on 21 October 2023).
- NASA, Landsat 8. Available online: https://landsat.gsfc.nasa.gov/satellites/landsat-8/ (accessed on 21 October 2023).
- Wu, L. Tarim River Basin Boundary Dataset (2000); National Tibetan Plateau/Third Pole Environment Data Center: Beijing, China, 2014. [Google Scholar]
- Liu, L.; Zhang, X. 2020 Global 30-Meter Land Cover Fine Classification Product V1.0; Aerospace Information Research Institute, Chinese Academy of Sciences: Beijing, China, 2021. [Google Scholar] [CrossRef]
- Xu, H. Modification of Normalised Difference Water Index (NDWI) to Enhance Open Water Features in Remotely Sensed Imagery. Int. J. Remote Sens. 2006, 27, 3025–3033. [Google Scholar] [CrossRef]
- Jones, H.G.; Vaughan, R.A. Remote Sensing of Vegetation: Principles, Techniques, and Applications; Oxford University Press: Oxford, UK, 2010. [Google Scholar]
- Bai, B.; Tan, Y.; Donchyts, G.; Haag, A.; Weerts, A. A Simple Spatio–Temporal Data Fusion Method Based on Linear Regression Coefficient Compensation. Remote Sens. 2020, 12, 3900. [Google Scholar] [CrossRef]
- Wang, Q.; Blackburn, G.A.; Onojeghuo, A.O.; Dash, J.; Zhou, L.; Zhang, Y.; Atkinson, P.M. Fusion of Landsat 8 OLI and Sentinel-2 MSI Data. IEEE Trans. Geosci. Remote Sens. 2017, 55, 3885–3899. [Google Scholar] [CrossRef]
- Cao, R.; Chen, Y.; Shen, M.; Chen, J.; Zhou, J.; Wang, C.; Yang, W. A Simple Method to Improve the Quality of NDVI Time-Series Data by Integrating Spatiotemporal Information with the Savitzky-Golay Filter. Remote Sens. Environ. 2018, 217, 244–257. [Google Scholar] [CrossRef]
- Zhu, W.; He, B.; Xie, Z.; Zhao, C.; Zhuang, H.; Li, P. Reconstruction of Vegetation Index Time Series Based on Self-Weighting Function Fitting from Curve Features. Remote Sens. 2022, 14, 2247. [Google Scholar] [CrossRef]
- Savitzky, A.; Golay, M.J.E. Smoothing and Differentiation of Data by Simplified Least Squares Procedures. Anal. Chem. 1964, 36, 1627–1639. [Google Scholar] [CrossRef]
- Zhou, J.; Jia, L.; Menenti, M. Reconstruction of Global MODIS NDVI Time Series: Performance of Harmonic ANalysis of Time Series (HANTS). Remote Sens. Environ. 2015, 163, 217–228. [Google Scholar] [CrossRef]
- Atzberger, C.; Eilers, P.H.C. Evaluating the Effectiveness of Smoothing Algorithms in the Absence of Ground Reference Measurements. Int. J. Remote Sens. 2011, 32, 3689–3709. [Google Scholar] [CrossRef]
- Menenti, M.; Azzali, S.; Verhoef, W.; van Swol, R. Mapping Agroecological Zones and Time Lag in Vegetation Growth by Means of Fourier Analysis of Time Series of NDVI Images. Adv. Space Res. 1993, 13, 233–237. [Google Scholar] [CrossRef]
- Descals, A.; Verger, A.; Yin, G.; Peñuelas, J. Improved Estimates of Arctic Land Surface Phenology Using Sentinel-2 Time Series. Remote Sens. 2020, 12, 3738. [Google Scholar] [CrossRef]
- Bolton, D.K.; Gray, J.M.; Melaas, E.K.; Moon, M.; Eklundh, L.; Friedl, M.A. Continental-Scale Land Surface Phenology from Harmonized Landsat 8 and Sentinel-2 Imagery. Remote Sens. Environ. 2020, 240, 111685. [Google Scholar] [CrossRef]
- Breiman, L. Random Forests. Mach. Learn. 2001, 45, 5–32. [Google Scholar] [CrossRef]
- Pal, M. Random Forest Classifier for Remote Sensing Classification. Int. J. Remote Sens. 2005, 26, 217–222. [Google Scholar] [CrossRef]
- Tatsumi, K.; Yamashiki, Y.; Canales Torres, M.A.; Taipe, C.L.R. Crop Classification of Upland Fields Using Random Forest of Time-Series Landsat 7 ETM+ Data. Comput. Electron. Agric. 2015, 115, 171–179. [Google Scholar] [CrossRef]
- Xu, H. A Study on Information Extraction of Water Body with the Modified Normalized Difference Water Index (MNDWI). Natl. Remote Sens. Bull. 2005, 5, 589–595. [Google Scholar] [CrossRef]
- Tucker, C.J. Red and Photographic Infrared Linear Combinations for Monitoring Vegetation. Remote Sens. Environ. 1979, 8, 127–150. [Google Scholar] [CrossRef]
- Wang, C.; Chen, J.; Wu, J.; Tang, Y.; Shi, P.; Black, T.A.; Zhu, K. A Snow-Free Vegetation Index for Improved Monitoring of Vegetation Spring Green-up Date in Deciduous Ecosystems. Remote Sens. Environ. 2017, 196, 1–12. [Google Scholar] [CrossRef]
- Frampton, W.J.; Dash, J.; Watmough, G.; Milton, E.J. Evaluating the Capabilities of Sentinel-2 for Quantitative Estimation of Biophysical Variables in Vegetation. ISPRS J. Photogramm. Remote Sens. 2013, 82, 83–92. [Google Scholar] [CrossRef]
- Gitelson, A.A.; Gritz, Y.; Merzlyak, M.N. Relationships between Leaf Chlorophyll Content and Spectral Reflectance and Algorithms for Non-Destructive Chlorophyll Assessment in Higher Plant Leaves. J. Plant Physiol. 2003, 160, 271–282. [Google Scholar] [CrossRef] [PubMed]
- Merzlyak, M.N.; Gitelson, A.A.; Chivkunova, O.B.; Rakitin, V.Y. Non-destructive Optical Detection of Pigment Changes during Leaf Senescence and Fruit Ripening. Physiol. Plant. 1999, 106, 135–141. [Google Scholar] [CrossRef]
- Huete, A.; Didan, K.; Miura, T.; Rodriguez, E.P.; Gao, X.; Ferreira, L.G. Overview of the Radiometric and Biophysical Performance of the MODIS Vegetation Indices. Remote Sens. Environ. 2002, 83, 195–213. [Google Scholar] [CrossRef]
- Liu, C.; Frazier, P.; Kumar, L. Comparative Assessment of the Measures of Thematic Classification Accuracy. Remote Sens. Environ. 2007, 107, 606–616. [Google Scholar] [CrossRef]
- Olofsson, P.; Foody, G.M.; Stehman, S.V.; Woodcock, C.E. Making Better Use of Accuracy Data in Land Change Studies: Estimating Accuracy and Area and Quantifying Uncertainty Using Stratified Estimation. Remote Sens. Environ. 2013, 129, 122–131. [Google Scholar] [CrossRef]
- Masemola, C.; Cho, M.A.; Ramoelo, A. Sentinel-2 Time Series Based Optimal Features and Time Window for Mapping Invasive Australian Native Acacia Species in KwaZulu Natal, South Africa. Int. J. Appl. Earth Obs. Geoinf. 2020, 93, 102207. [Google Scholar] [CrossRef]
- Han, L.; Wang, H.; Zhou, Z.; Li, Z. Spatial Distribution Pattern and Dynamics of the Primary Population in a Natural Populus Euphratica Forest in Tarim Basin, Xinjiang, China. Front. For. China 2008, 3, 456–461. [Google Scholar] [CrossRef]












| Dataset | Date | Bands | Spatial Resolution | Usage |
|---|---|---|---|---|
| Sentinel-2 MSI [45] | All available data for 2022 | B2, B3, B4, B5, B6, B7, B8, B11 | 10 m (B2,B3,B4,B8) 20 m (B5,B6,B7,B11) | Extracting phenological information of P. euphratica and generating vegetation index |
| Landsat-8 OLI/TIRS [46] | All available data for 2022 | B4,B5 | 30 m | Spatially and temporally composited with Sentinel-2 |
| Sentinel-1 SAR GRD [45] | Available data from April to June | VV, VH | 10 m | Reflecting backscattering feature |
| Feature Category | Feature Band Name | Time |
|---|---|---|
| Phenological parameter features (P) | SoS, EoS, LoS, AoS, Max Value, DoM | Generated from the NDVI time series for the whole of 2022 |
| Spectral index features (S) | B2, B3, B4, NDPI, IRECI, GCVI, PSRI, EVI | Median composite between 15 March 2022 and 15 June 2022 |
| Backscattering features (B) | VV, VH | Median composite between 15 March 2022 and 15 June 2022 |
| Textural features (T) | ASM, CORR, CON | Calculated from median composite of Sentinel-2 band 8 between 15 March 2022 and 15 June 2022 |
| Vegetation Index | Formula | Reference |
|---|---|---|
| MNDWI | MNDWI | [64] |
| NDVI | NDVI | [65] |
| NDPI | NDPI | [66] |
| IRECI | IRECI | [67] |
| GCVI | GCVI | [68] |
| PSRI | PSRI | [69] |
| EVI | EVI | [70] |
| Abbreviations | Details of Feature Combinations |
|---|---|
| PS | Phenological and spectral index features |
| PSB | Phenological, spectral index, and backscattering features |
| PST | Phenological, spectral index, and textural features |
| PSBT | Phenological, spectral index, backscattering, and textural features |
| Feature Combination | OA | PA | UA | Kappa | F1-Score |
|---|---|---|---|---|---|
| PS | 0.86 | 0.86 | 0.87 | 0.72 | 0.86 |
| PSB | 0.92 | 0.94 | 0.90 | 0.85 | 0.92 |
| PST | 0.76 | 0.93 | 0.57 | 0.52 | 0.70 |
| PSBT | 0.96 | 0.98 | 0.95 | 0.93 | 0.96 |
Disclaimer/Publisher’s Note: The statements, opinions and data contained in all publications are solely those of the individual author(s) and contributor(s) and not of MDPI and/or the editor(s). MDPI and/or the editor(s) disclaim responsibility for any injury to people or property resulting from any ideas, methods, instructions or products referred to in the content. |
© 2024 by the authors. Licensee MDPI, Basel, Switzerland. This article is an open access article distributed under the terms and conditions of the Creative Commons Attribution (CC BY) license (https://creativecommons.org/licenses/by/4.0/).
Share and Cite
Zou, J.; Li, H.; Ding, C.; Liu, S.; Shi, Q. Mapping Natural Populus euphratica Forests in the Mainstream of the Tarim River Using Spaceborne Imagery and Google Earth Engine. Remote Sens. 2024, 16, 3429. https://doi.org/10.3390/rs16183429
Zou J, Li H, Ding C, Liu S, Shi Q. Mapping Natural Populus euphratica Forests in the Mainstream of the Tarim River Using Spaceborne Imagery and Google Earth Engine. Remote Sensing. 2024; 16(18):3429. https://doi.org/10.3390/rs16183429
Chicago/Turabian StyleZou, Jiawei, Hao Li, Chao Ding, Suhong Liu, and Qingdong Shi. 2024. "Mapping Natural Populus euphratica Forests in the Mainstream of the Tarim River Using Spaceborne Imagery and Google Earth Engine" Remote Sensing 16, no. 18: 3429. https://doi.org/10.3390/rs16183429
APA StyleZou, J., Li, H., Ding, C., Liu, S., & Shi, Q. (2024). Mapping Natural Populus euphratica Forests in the Mainstream of the Tarim River Using Spaceborne Imagery and Google Earth Engine. Remote Sensing, 16(18), 3429. https://doi.org/10.3390/rs16183429

