Next Article in Journal
Summer Discrepancies between 2 m Air Temperature and Landsat LST in Suceava City, Northeastern Romania
Next Article in Special Issue
A High-Resolution Spotlight Imaging Algorithm via Modified Second-Order Space-Variant Wavefront Curvature Correction for MEO/HM-BiSAR
Previous Article in Journal
SAR Temporal Shifting: A New Approach for Optical-to-SAR Translation with Consistent Viewing Geometry
Previous Article in Special Issue
Joint Wideband Beamforming Algorithm for Main Lobe Jamming Suppression in Distributed Array Radar
 
 
Font Type:
Arial Georgia Verdana
Font Size:
Aa Aa Aa
Line Spacing:
Column Width:
Background:
Article

An Innovative Internal Calibration Strategy and Implementation for LT-1 Bistatic Spaceborne SAR

by
Yuanbo Jiao
1,2,
Kaiyu Liu
1,2,*,
Haixia Yue
1,2,
Heng Zhang
1,2 and
Fengjun Zhao
1,2
1
Aerospace Information Research Institute, Chinese Academy of Sciences, Beijing 100190, China
2
School of Electronic, Electrical and Communication Engineering, University of Chinese Academy of Sciences, Beijing 100049, China
*
Author to whom correspondence should be addressed.
Remote Sens. 2024, 16(16), 2965; https://doi.org/10.3390/rs16162965
Submission received: 1 July 2024 / Revised: 6 August 2024 / Accepted: 9 August 2024 / Published: 13 August 2024
(This article belongs to the Special Issue Advanced HRWS Spaceborne SAR: System Design and Signal Processing)

Abstract

Bistatic and multistatic SAR technology, with its multi-dimensional, ultra-wide swath, and high-resolution advantages, is widely used in earth observation, military reconnaissance, deep space exploration, and other fields. The LuTan-1 (LT-1) mission employs two full-polarimetric L-band SAR satellites for the BiSAR system. The bistatic mode introduces phase errors in echo reception paths due to different transmission links, making echo compensation a key factor in ensuring BiSAR performance. This paper proposes a novel bistatic internal calibration strategy that combines ground temperature compensation, in-orbit internal calibration, and pulsed alternate synchronization to achieve echo compensation. Prior to launch, temperature compensation data for the internal calibration system are obtained via temperature experiments. During in-orbit operation, calibration data are acquired by executing the internal calibration pulse sequence and noninterrupted pulsed alternate synchronization. In ground processing, echo compensation is completed based on the above two parts of calibration data. A comprehensive analysis of the entire calibration chain reveals a temperature compensation accuracy of 0.10 dB/1.38°. Additionally, a ground verification system is established to conduct BiSAR experiments, achieving a phase synchronization accuracy of 0.16°. Furthermore, the in-orbit test obtained DSM products with an average error of 1.3 m. This strategy provides a valuable reference for future spaceborne bistatic and multistatic SAR systems.

1. Introduction

Synthetic Aperture Radar (SAR) is an active remote sensing instrument with all-weather, all-day, and multi-dimensional detection capabilities [1,2], widely applied in earth observation, military reconnaissance, deep space exploration, and other fields. Since the 21st century, bistatic and multistatic SAR technology has gained increasing attention from researchers due to its unique advantages compared with monostatic SAR [3]. Bistatic and multistatic SAR is a highly flexible remote sensing technology with adaptable baseline configurations, allowing for multi-dimensions, ultra-wide swath, and high-resolution imaging simultaneously [4,5]. However, the separation of transmitters and receivers in bistatic and multistatic SAR systems introduces new technical challenges. Taking the bistatic SAR (BiSAR) interferometry system as an example, the system operates by transmitting signals from the primary satellite and receiving signals simultaneously with both the primary satellite and the auxiliary satellite. Due to the different oscillators used in the two satellites, phase synchronization errors are introduced by the frequency inconsistency of the oscillators, accumulating over time and affecting both imaging focus and interferometric phase accuracy [5,6,7]. LuTan-1 (LT-1) BiSAR mission, consisting of two full-polarimetric L-band SAR satellites, uses the baseline formed by the formation satellites to obtain surface elevation information through interferometric processing [8]. The phase synchronization adopts a noninterrupted phase synchronization technology, achieving high-precision synchronization without interrupting the SAR imaging process [9,10].
Innovative and effective calibration techniques are essential for SAR systems to ensure detection accuracy and adapt to the complexity of future spaceborne SAR systems. Internal calibration of SAR system involves calibrating the amplitude and phase variations in both the transmitting and receiving channels. These variations, superimposed on the echo signal, result in phase and amplitude errors in the target echo signal [11]. On the one hand, changes in transmitting power and receiving gain impact the radiometric calibration accuracy of SAR images; on the other hand, variations in amplitude-frequency and phase-frequency characteristics within the transmission and reception bands affect the pulse compression effect in the range direction of the images [12,13,14,15,16]. There are two major methods for internal calibration: delay internal calibration and non-delay internal calibration. In delay internal calibration, the gain stability of the microwave amplification chain is mainly influenced by environmental temperature changes, while the optical link suffers from poor phase stability and increased insertion loss due to space radiation. In non-delay internal calibration, a fully passive design is used, achieving better amplitude and phase stability; however, issues such as isolation between the echo link and the calibration link need to be addressed [17,18].
We have conducted a detailed investigation into the internal calibration schemes of typical SAR satellites that have been successfully launched globally in recent years. Furthermore, a comparative analysis of the performance is carried out, focusing on both the internal calibration accuracy and the complexity of the calibration methods, as summarized in Table 1. The in-orbit internal calibration loops design of RADARSAT-2 covers the transmission and reception signal paths within the instrument but excludes the antenna, limiter, and LNA (Low Noise Amplifier) [19,20]. TerraSAR-X employs onboard temperature measurement and ground calibration methods to enhance internal calibration accuracy, compensating for temperature-related drifts and hardware changes [21,22]. The Sentinel-1 satellite achieved an internal calibration system with minimal dedicated calibration elements, which did not include calibration networks, leading to an almost doubled number of calibration signal types and increased complexity of the internal calibration method [23,24]. The internal calibration system of the Gaofen-3 (GF-3) satellite adopts a combined scheme of delay calibration and non-delay calibration [25,26]. It is designed with six calibration loops, wherein the delay reference calibration loop and the full array transmitting and receiving calibration loop utilize optical delay lines to achieve time delays, working together with the other four non-delay loops to complete the radar instrument calibration. For BiSAR systems, Germany’s TanDEM-X [27,28] and China’s TH-2 [29,30] adopt non-delay internal calibration techniques with good amplitude and phase stability of the calibration signals. Due to the shared feed network and calibration network between the inter-satellite synchronization link and the phased array radar in TanDEM-X and TH-2, the synchronization link operation interrupts SAR imaging, causing periodic missing echo data. The LT-1 BiSAR system adopts noninterrupted phase synchronization technology, and performs interferometric measurements in bistatic mode [31,32], which means the primary satellite emits electromagnetic waves to illuminate the target, and then both the primary satellite and auxiliary satellite receive the echoes simultaneously. Furthermore, a novel BiSAR internal calibration strategy is proposed, combining ground temperature compensation, in-orbit internal calibration, and pulsed alternate synchronization to correct and compensate errors, as well as to meet the requirements for BiSAR interferometric height measurement, multi-track differential interferometry, and multi-polarimetric imaging channel phase (amplitude) consistency.
The paper is organized as follows: Section 2 presents the innovative LT-1 internal calibration strategy, including the composition of LT-1 internal calibration system, calibration pulses design, and echo compensation formulas. Section 3 details the hardware implementation of dedicated calibration equipment. Section 4 provides temperature compensation data obtained through ground temperature experiments. Section 5 studies the BiSAR synchronization performance based on the LT-1 ground verification system. Section 6 discusses the experimental verification results and Section 7 summarizes the whole paper.

2. Internal Calibration System

Based on the LT-1 bistatic internal calibration requirements and noninterrupted phase synchronization technology, the hardware design of the radar instrument was completed. Furthermore, the design of the internal calibration loops was proposed, which includes non-delay calibration and delay calibration. The echo reception compensation was then derived by synthesizing the transfer functions of the calibration loops. Finally, the internal calibration strategy of the BiSAR system was proposed, clarifying the tasks to be completed during the pre-flight phase and the in-orbit operation phase.

2.1. Instrument Hardware

The dedicated equipment for internal calibration in the LT-1 SAR includes the internal calibrator, antenna calibration network, and coaxial cables connecting them. The principles and components of the internal calibration system are shown in Figure 1, where the red lines represent the entire internal calibration link. The internal calibrator contains multiple calibration paths and switches among them through a group of switches. The antenna calibration network is divided into the left-wing calibration network and the right-wing calibration network, as well as the H-polarimetric calibration network branch and the V-polarimetric calibration network branch, according to the deployment requirements. The parts that cannot be calibrated are indicated by the yellow coils in Figure 1, including the H/V antenna radiation array and the RF cables connecting the H-polarimetric T/R and V-polarimetric T/R to the radiation array.
In the design of the internal calibration loops, to truly reflect the changes in the characteristics of the radar instrument during operation, these calibration signals follow the nominal radar signal path as closely as possible and cover all active components, ensuring the calibration signals undergo the same variations as the nominal radar signals. They also have the same pulse width, operational bandwidth, operation frequency, and pulse repetition frequency as their respective SAR imaging modes. The calibration signals are sampled through the coupler in T/R modules or the coupler in the synchronization transceiver, gated and adjusted to appropriate levels by the internal calibrator, and then transmitted to the receiver via microwave combination for data acquisition. In addition, the synchronization transceiver and quadrifilar helix antenna are used to establish inter-satellite synchronization link [8,9].

2.2. Calibration Pulses

Based on the LT-1 satellite internal calibration system configuration and considering the high-precision inter-satellite synchronization requirements, a novel internal calibration scheme is proposed. This scheme includes the design of chirp non-delay calibration loops and chirp delay calibration loops. Moreover, considering better calibration accuracy, synchronization calibration is designed as non-delay calibration. The specific design of the calibration loops is shown in Table 2. All calibration loops cover the entire system’s instruments that the chirp or synchronization signals pass through during transmitting and receiving. By combining multiple calibration loops, the system achieves functions such as fault detection, calibration between H-polarimetric and V-polarimetric, also amplitude and phase calibration between channels. LT-1 has independent synchronization calibration loops to correct amplitude and phase variations during synchronization operation. The synchronization calibration loops are jointly implemented through the synchronization transceiver and other imaging equipment.
There are two methods for implementing internal calibration: delay internal calibration and non-delay internal calibration. The difference between delay calibration and non-delay calibration lies in the delayed calibration signal passing through the optical delay line in the internal calibrator, which temporally separates the calibration signal from the high-power transmitting signal, achieving high isolation. However, the delay module includes active components such as optical delay lines and microwave amplifiers, resulting in poor calibration phase stability, significant temperature drift, and poor link cancellation, making it challenging to meet high-precision internal calibration requirements. In contrast, the non-delay internal calibration method adopts a fully passive design, achieving better amplitude and phase stability. To ensure calibration accuracy, LT-1 primarily uses the non-delay calibration method.
In some cases, the delay calibration method is selected. For example, when the single T/R module chirp transmitting calibration loop operating, output signal level is low and susceptible to transmitting signal interference, then delay calibration with high-isolation can be chosen. Additionally, the chirp transceiver calibration loop must use delay to temporally separate the transmitting and receiving operations.
According to different calibration requirements, the LT-1 system offers various internal calibration schemes. Controlled by the monitoring computer, these calibration methods can be flexibly combined and selected as needed. As shown in Table 2, five non-delay calibration loops comprehensively cover all system instruments that the chirp and synchronization signals pass through during transmitting and receiving. The signal paths of the five calibration loops are listed in Table 3, with parameter definitions provided in Table 4.

2.3. Echo Compensation

Based on the design of the five non-delay calibration loops in Table 3 of the previous section, the system transfer function can be derived to obtain the echo compensation formula, and further, the phase and amplitude compensation accuracy formulas can be determined. The specific derivation process is as follows.
In the LT-1 BiSAR system, the chirp reference calibration for the primary and auxiliary satellites does not involve the phased array antenna. The signal loop is transmitted from the LFM (frequency modulation signal source) through the internal calibrator to the RX (microwave combination and receiver), with its transfer function as follows:
C E c a l i = L F M i · C R 1 i · R X i
The signal of chirp receiving calibration loops of the primary and auxiliary satellites goes from the LFM through the internal calibrator, antenna calibration network, and antenna receiving channel, then transmitted to the RX, with its transfer function as follows:
R X c a l i = L F M i · C R 3 i · C N A i · R X A i · R X i
The signal of synchronization transmitting calibration loop of the primary and auxiliary satellites goes from the LFM through the transmitting link of the synchronization transceiver and the internal calibrator, then transmitted to the RX, with its transfer function as follows:
S T c a l i = L F M i · S T X i · C R 4 i · R X i
The signal of synchronization receiving calibration of the primary and auxiliary satellites goes from the LFM through the internal calibrator and the receiving link of the synchronization transceiver, then transmitted to the RX, with its transfer function as follows:
S R c a l i = L F M i · C R 5 i · S R X i · R X i
During the LT-1 inter-satellite alternate synchronization, the synchronization from the primary satellite to the auxiliary satellite and vice versa is completed within two consecutive Pulse Repetition Intervals (PRI). In such a short time, the inter-satellite transmission characteristics can be assumed to remain unchanged, hence the transfer functions for inter-satellite transmission are:
H s a b = L F M a · S T X a · T F · S R X b · R X b
H s b a = L F M b · S T X b · T F · S R X a · R X a
From Formulas (1) to (6), the expression for the difference between the receiving channels of the two satellites can be derived as follows:
R X A a · R X a R X A b · R X b = R X c a l a C E c a l a · S T c a l a S R c a l a · H s b a H s a b · C E c a l b R X c a l b · S R c a l b S T c a l b · C R 1 a · C R 5 a C R 4 a · C R 3 a · C N A a · C R 4 b · C R 3 b · C N A b C R 1 b · C R 5 b
The transfer function   H C that compensates for the echo to eliminate the impact of different receiving paths in BiSAR, can be written as:
H C = H s y s · K T = R X A a · R X a R X A b · R X b
and,
H s y s = R X c a l a C E c a l a · S T c a l a S R c a l a · H s b a H s a b · C E c a l b R X c a l b · S R c a l b S T c a l b
K T = C R 1 a · C R 5 a C R 4 a · C R 3 a · C N A a · C R 4 b · C R 3 b · C N A b C R 1 b · C R 5 b
Based on Equation (8), the echo compensation for the auxiliary satellite (receiver only) can be calculated. The first and second terms of Equation (9) are calibrated by the primary satellite in orbit, the third term is calibrated through inter-satellite synchronization transfer to compensate for phase noise and frequency offset caused by oscillator discrepancies, and the fourth and fifth terms are calibrated by the auxiliary satellite in orbit. The parameters in Equation (10) are related only to the characteristics of the internal calibrator, antenna calibration network, and coaxial cables. Considering the stability of these components, relevant temperature compensation data can be obtained through ground temperature experiments. The internal calibration accuracy of the system is largely determined by the measurement accuracy of the calibration network temperature compensation data and the accuracy of in-orbit temperature telemetry. Based on Formulas (8)–(10), the expressions for phase compensation and amplitude compensation can be further derived:
φ C = φ H s y s φ C N A a + φ C R 3 a + 1 2 φ C R 4 a 1 2 φ C R 1 a 1 2 φ C R 5 a + φ C N A b + φ C R 3 b + 1 2 φ C R 4 b 1 2 φ C R 1 b 1 2 φ C R 5 b
A C = A H s y s A C N A a + A C R 3 a + 1 2 A C R 4 a 1 2 A C R 1 a 1 2 A C R 5 a + A C N A b + A C R 3 b + 1 2 A C R 4 b 1 2 A C R 1 b 1 2 A C R 5 b
From the above analysis, it can be seen that in order to achieve high-precision echo compensation, work needs to be carried out from two aspects: ground temperature characteristic calibration and in-orbit system calibration.

2.4. Internal Calibration Strategy

This paper proposes a novel internal calibration strategy for BiSAR, which combines ground temperature compensation, in-orbit internal calibration, and pulsed alternate synchronization to achieve echo compensation. Before launch, temperature compensation data for the internal calibration system hardware is obtained through temperature experiments. During in-orbit operation, calibration data is obtained by executing the internal calibration pulse sequence and noninterrupted pulsed alternate synchronization. In ground processing, BiSAR echo compensation is completed based on the above two parts of calibration data.
The accuracy of the internal calibration of the BiSAR system largely depends on the stability of the calibration network. Therefore, it is necessary to conduct sufficient tests on the system calibration network under different temperatures to extract the phase (amplitude) temperature dependence of instrument drift. In the design of the internal calibration hardware, temperature telemetry points are reasonably set in the antenna calibration network and the internal calibrator. During ground testing, the phase-temperature curve and amplitude-temperature curve of the internal calibrator, antenna calibration network, and coaxial cables are obtained through temperature experiments. During the in-orbit internal calibration operation, the satellite will downlink telemetry temperature data, internal calibration data, and synchronization data. In ground processing, the telemetry temperature values and existing phase-temperature and amplitude-temperature data can be used to perform temperature compensation on the calibration data. Combined with the in-orbit internal calibration data and synchronization data, the echo compensation of the bistatic mode can be calculated. The proposed internal calibration strategy consists of pre-flight phase and in-orbit phase, as shown in Figure 2.
The various calibration items in Equation (9) can be flexibly combined to form different calibration sequences. The duration of executing a complete internal calibration sequence in-orbit is in the order of milliseconds, so the effect of environmental temperature changes during calibration is negligible. Since the internal calibrator, antenna calibration network, and coaxial cables are distributed in different locations on the satellites, their environmental temperatures differ to some extent. Thus, the measurement errors of the calibration items in Equation (10) can be considered uncorrelated random variables, and the total measurement error is the root mean square of these error items. In temperature experiments, the average of multiple measurements can be used as the reference for temperature compensation, and the root mean square of the compensated errors can be taken as the calibration accuracy. The calculation formulas are as follows:
h ^ = 1 N 1 N h i
σ = 1 N 1 N h i h ^ 2

3. Calibration Equipment

As seen from the hardware composition of the radar system in Figure 1, the calibration equipment of the internal calibration system includes the internal calibrator, antenna calibration network, and interconnecting coaxial cables. Among them, the internal calibrator is the core component for achieving internal calibration of the SAR system, and which is located inside the satellite cabin. It performs the switching of various internal calibration loops and the selection between non-delay and delay paths. Together with the antenna calibration network located outside the satellite cabin, it fulfills the internal calibration function of the SAR system. It samples signals from the frequency modulation signal source, microwave combination, synchronization transceiver, and T/R modules transmitting output via power dividers or directional couplers; after amplification and digital attenuation processing, the calibration sample signals are converted into calibration signals that can be received by the receiving channels. By analyzing and processing the calibration signals, the measured system parameters can be obtained.
The antenna calibration network is the calibration circuitry within the Active Phased Array Antenna (APAA), consisting of the coupler in T/R modules, the power division networks, and the RF cables. It is a crucial component connecting the distributed T/R modules and the internal calibrator. Considering that the APAA is located outside the cabin and exposed to harsh temperature environments, and the antenna array has a large size with significant temperature gradients across different parts of the APAA, precise calibration of the antenna calibration network is essential.

3.1. Internal Calibrator

Internal calibration involves using built-in radar equipment to add calibration signals to the radar data stream, characterizing the SAR performance. The internal calibrator’s transfer function should not distort the signal, allowing extraction of the range reference function from calibration data. Moreover, it must not affect the main signal channel when inactive.
The design features of the internal calibrator are as follows: A combined design approach of delay calibration and non-delay calibration is adopted, and the loops of full array transmitting/receiving calibration and single T/R transmitting/receiving calibration can only use delay calibration methods. The BiSAR phase calibration primarily uses non-delay methods. Moreover, unlike monostatic SAR calibration, synchronization link calibration functionality is added. Furthermore, switch modules in the internal calibrator adopts cold backup design, while the interface with the APAA employs a cross-backup approach. Moreover, a coupler has been added to connect the synchronization calibration signal to the internal calibrator. A block diagram of the internal calibrator is shown in Figure 3, and a physical photo is shown in Figure 4.
As shown in Figure 5, the information flow design of six calibration loops is presented, including chirp receiving calibration loops, chirp reference calibration loop, chirp transmitting calibration loops, synchronization transmitting calibration loop, synchronization receiving calibration loop, and chirp transmitting and receiving calibration loop.
The calibration signal formation unit of the internal calibrator is mainly composed of microwave switches, amplifiers, delays, and compensation amplifiers, and other components, which accomplish the gating and corresponding level conversion of different calibration loops. In the delay path, RF signals undergo electro-optical and optical-electrical conversion and transmission through several kilometers of optical fibers, resulting in significant loss. Therefore, multi-stage amplifiers must be employed to amplify the delayed signal to meet the level requirements. However, the use of multi-stage amplifiers leads to significant changes in the insertion loss with temperature variations. Consequently, a corresponding temperature compensation circuit must be added to ensure the stability of the optical delay loop within the entire temperature range. The block diagram of the control circuit for the optical delay path is shown in Figure 6. The peripheral control circuits include circuits that provide bias current for the optical transmitting module, circuits that provide cooling and heating current for the optical transmitting module, circuits that provide bias current for the optical receiving module, and the associated optical monitoring circuits.

3.2. Antenna Calibration Network

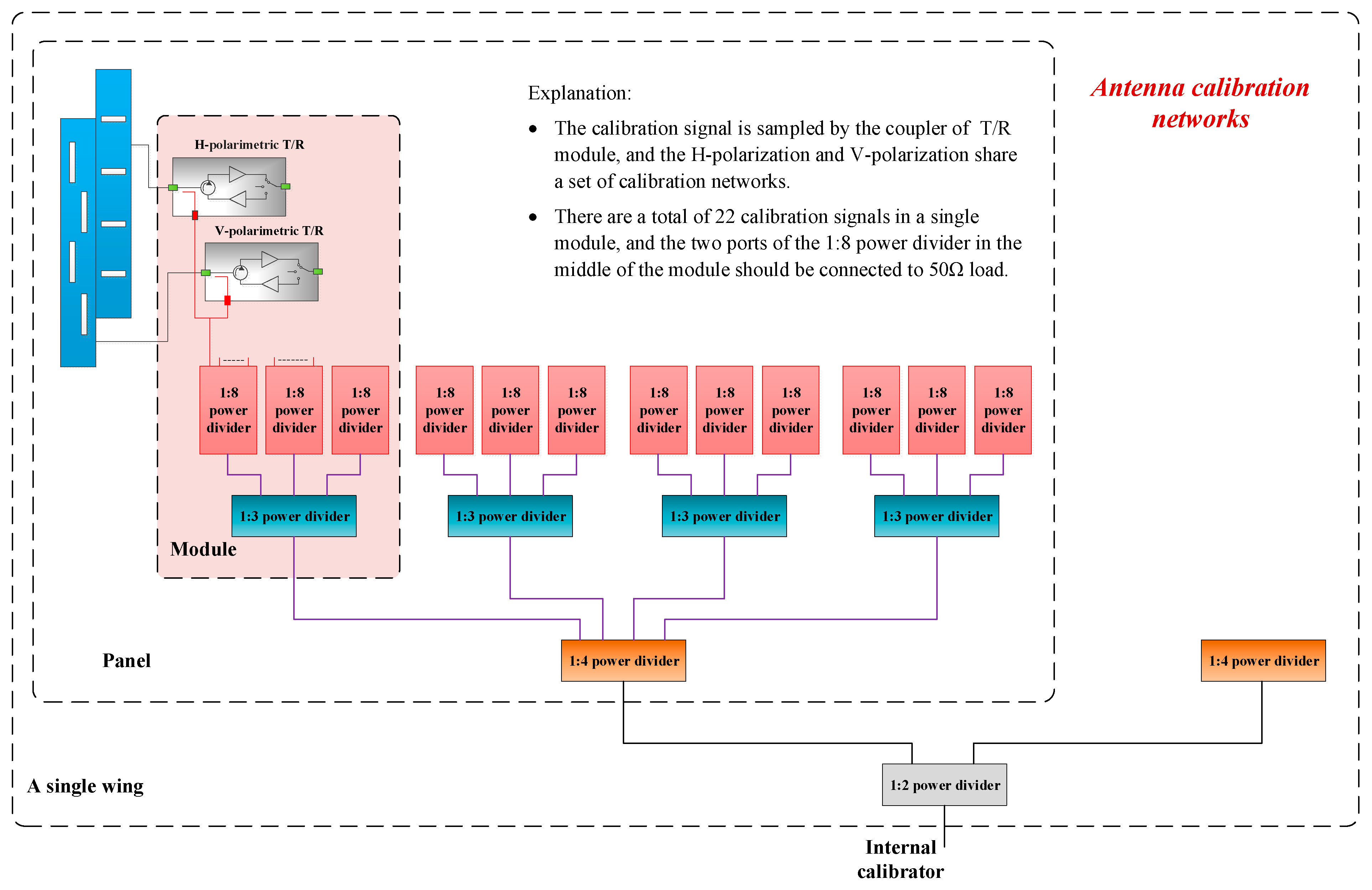
In this section, we discuss the composition of the antenna calibration network and its temperature compensation design. The calibration network of the phased array antenna is used to achieve transmitting calibration and receiving calibration, consisting of calibration power dividers and RF cables. The calibration signal is sampled and output or input via couplers in the T/R modules, with H-polarimetric and V-polarimetric sharing a single calibration network. Each module contains 22 calibration signals, with two ports of a central 1:8 power divider connected to 50 Ω loads. Figure 7 shows the connection relationship of antenna calibration networks of a single-wing. The calibration signal passing through the 1:8 power divider, 1:3 power divider, and 1:4 power divider, then the 176 combined signals are transmitted to the internal calibrator.
The L-band dual-polarimetric phased array antenna includes two single-wing apertures. The calibration network is a part of the SAR internal calibration system, and its stability significantly enhances the imaging quality of the BiSAR system. The calibration network consists of calibration power dividers and calibration RF cables, forming a passive RF power division network. In on-orbit operation, environmental temperature is a crucial factor determining its stability, making it essential to analyze the calibration network’s operational temperature.
According to the results of thermodynamic simulation, the temperature of the antenna is divided into three areas on the range direction, as shown in Figure 8. The average temperature of the red areas in the upper and lower parts of the figure is higher than that of the blue area in the middle. It can be seen from the figure that the 1-to-8 power divider is close to the T/R modules, resulting in a significant increase in operating temperature, while the 1-to-3 power divider is far away from the T/R modules, resulting in a smaller increase in operating temperature. By arranging more temperature telemetry sensors in the area with a larger temperature rise and considering the temperature change distribution globally, it is beneficial for accurately extracting the phase (amplitude) temperature dependence of instrument drift during ground temperature experiments.
To ensure the synchronization performance of the BiSAR system, the internal calibrator employs non-delay calibration methods, while also conducting thermal analysis and reasonable telemetry point configuration for the large-scale phased array. Subsequently, temperature experiments are conducted to investigate the temperature compensation performance of the calibration equipment.

4. Temperature Compensation

Based on the echo compensation Formulas (11) and (12) from Section 2 and the hardware design of the calibration equipment from Section 3, we further discuss the acquisition of temperature compensation data.
To compensate for the drift and offset of the in-orbit radar instrument caused by ambient temperature changes, ground temperature tests need to be performed to obtain temperature compensation data. Combining with the satellite temperature telemetry values, temperature compensation is completed during the data processing process. The calibration accuracy after compensation is mainly determined by the temperature telemetry accuracy and test repeatability error. During the ground temperature test, the temperature characteristics of the internal calibrator, antenna calibration networks, and through-cabin coaxial cables are calibrated separately using a temperature test chamber to obtain their respective phase-temperature curves and amplitude-temperature curves, further realizing the compensation of temperature drift and offset of the radar instrument.

4.1. Temperature Compensation of Antenna Calibration Networks

The antenna calibration networks located outside the satellite cabin has adopted active temperature control design, then a test plan was developed based on its in-orbit temperature environment. The temperature range of the test chamber is −20 °C~+45 °C, the test chamber is started and maintained for 40 min after reaching the pre-set temperature point, and then the performance indicators of the antenna calibration network are recorded.
The measured data of multiple temperature tests were analyzed, and the temperature compensation reference value can be calculated according to Formula (13), and then the compensation error can be calculated according to Formula (14). As shown in Figure 9, within the range of −20 °C~+45 °C the amplitude compensation error of the antenna calibration networks after temperature compensation is 0.05 dB, and the phase compensation error is 0.85°.

4.2. Temperature Compensation of Internal Calibrator

The internal calibrator is located inside the satellite cabin, and a test plan was formulated based on the in-orbit temperature environment of the internal calibrator. The temperature range of the test chamber is −10 °C~+20 °C, and the performance indicators of the internal calibrator are recorded.
During the tests, the internal calibrator operates in non-delay state, with thermal consumption below 2 W and a small internal temperature gradient. The temperature measurement accuracy can be better than 2 °C, As shown in Figure 10, within the range of −10 °C~+20 °C, the amplitude compensation error of the internal calibrator after temperature compensation is 0.045 dB, and the phase compensation error is 0.735°.

4.3. Temperature Compensation of Through-Cabin Coaxial Cables

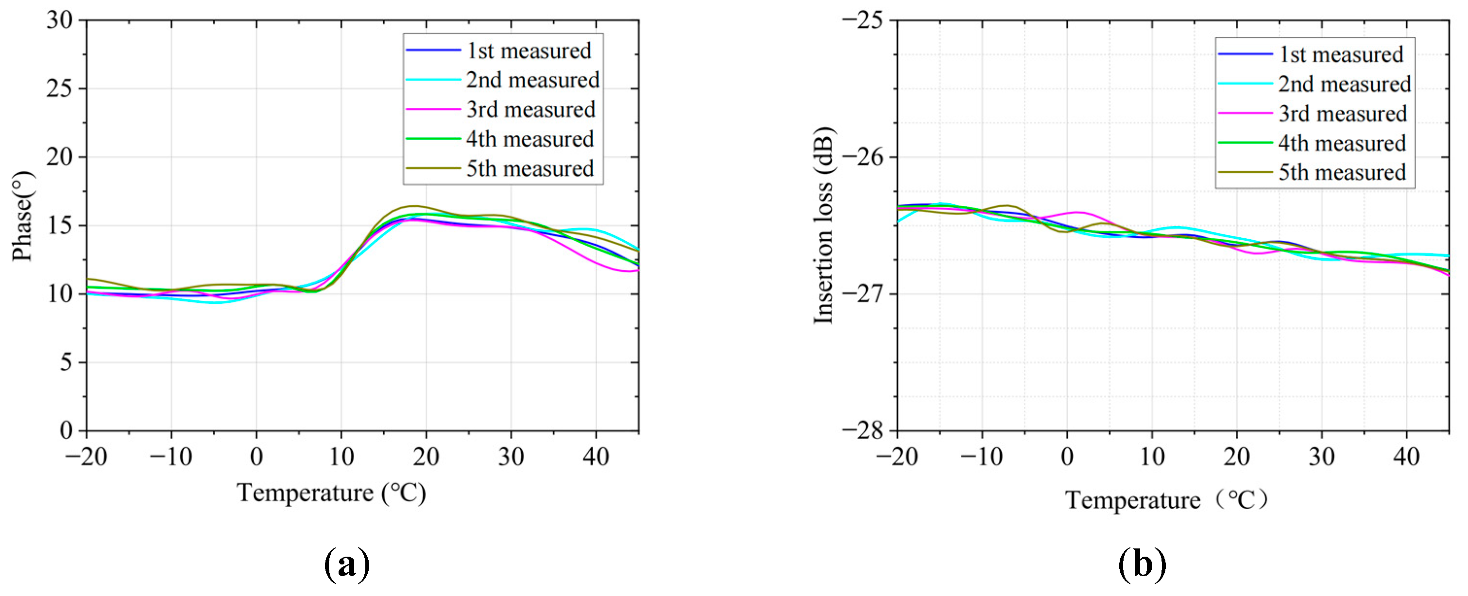
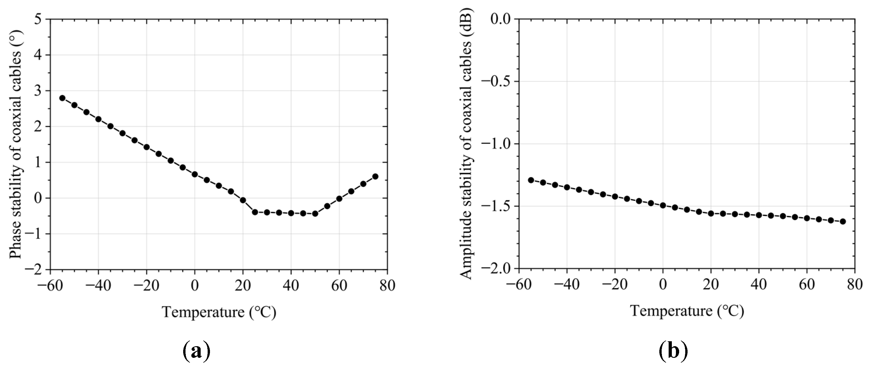
The internal calibrator and the antenna calibration networks are connected through coaxial cables passing through the cabin, with coaxial cables length of approximately 4.5 m. The large cable length generally affects the temperature measurement accuracy. However, due to the average power of the signal transmitted in the coaxial cables being below 0.2 W, and the longest imaging duration for a single startup being 15 min, it is analyzed that the maximum temperature rise of the cables is less than 5 °C. Based on this, the temperature compensation error of the through-cabin coaxial cables can be calculated, as shown in Figure 11.
The cable temperature is measured during in-orbit operation and compensated during ground processing. If the temperature measurement accuracy is 10 °C, the amplitude error of the through-cabin coaxial cables after temperature compensation is less than 0.04 dB, and the phase error is less than 0.4°. The two-way amplitude error is less than 0.08 dB, and the phase error is less than 0.8°.

4.4. Results

Through the ground temperature tests of the internal calibrator, antenna calibration networks, and through-cabin coaxial cables, temperature compensation data were obtained. The phase compensation errors and amplitude compensation errors of each calibration equipment are shown in Table 5. The measurement errors of each equipment can be considered as uncorrelated random variables, and the total measurement error is the root mean square value of these error terms.
It can be seen that the amplitude compensation errors of the calibration equipment are relatively small, and the phase compensation errors are all around 0.8°, further calculation shows that the system temperature compensation accuracy is 0.10 dB/1.38°, so the K T value in the system internal calibration strategy is obtained.

5. Experiment

5.1. Ground Validation System for LT-1

To evaluate the effectiveness and accuracy of the internal calibration strategy, a ground verification system of LT-1 was constructed based on imaging equipment and synchronization devices, which simulates the bistatic mode of LT-1, and specifically analyzes the inter-satellite synchronization performance. The key parameters of LT-1 mission are shown in Table 6 [8]. The schematic diagram of the ground verification system is illustrated in Figure 12.
The ground verification system comprises a primary satellite, an auxiliary satellite, and an echo simulation unit. The echo simulation unit internally consists of a circulator (to achieve duplex function), an attenuator and an optical delay line (to achieve echo delay and signal level control functions), a power divider, and two horn antennas (to achieve radiation of echoes to the radar antennas). Given the large aperture size of the phased array antenna, two horn antennas are used to illuminate the geometric centers of the two apertures. The primary and auxiliary satellites are designed consistently, with the SAR system including a signal generation unit, an echo reception unit, a synchronization unit, a calibration unit, and a control unit. Among them, the signal generation unit comprises a reference frequency source and a frequency modulation signal source; the echo reception unit comprises a microwave combination, a receiver, and a data former; the synchronization unit comprises a synchronization transceiver and synchronization antennas; the calibration unit comprises an internal calibrator, an antenna calibration networks, and through-cabin coaxial cables; and the control unit is a radar computer. Additionally, the GNSS disciplining module provides a 90 MHz reference signal for the reference frequency source and a PPS signal for the radar computer. The data recorder is used for echo data recording and analysis.
The signal generation unit generates local oscillator signals for the mixers and clock reference signals from the reference frequency source, and the frequency modulation signal source generates chirp signals with corresponding bandwidth, pulse width, and frequency modulation slope according to the radar operating parameters. The echo reception unit realizes low-noise amplification, filtering, and digital processing of the echo. The synchronization unit realizes power amplification of the synchronization signal and radiates it to another satellite, also receiving, filtering and amplifying the synchronization signal from the other satellite. The calibration unit realizes the generation and level control of the calibration signals for various calibration pulses of the system. The control unit is primarily the radar computer, which completes the control and monitoring of the SAR system.
The system workflow of the ground verification system is as follows: the primary satellite transmits a chirp signal, which is received by horn antenna 1 and then enters the ground delay equipment through the circulator and attenuator. After a period of delay, the chirp signal is divided into two paths by the power divider and radiated by horn 1 and horn 2. The primary and auxiliary satellites receive the signals transmitted by the two horns, thus simulating the echo receiving process of LT-1. The actual scene of the ground verification system operation is shown in Figure 13.

5.2. Processing Flow

Within two consecutive PRTs, the system completed noninterrupted phase synchronization between the two satellites and the internal calibration of each satellite. The synchronization transceiver receives the synchronization signal, which is then transmitted to the receiving channel through microwave combination, and further processed digitally to generate synchronization data. The calibration signal processed by the internal calibrator is transmitted to the receiving channel through microwave combination, and further processed digitally to generate internal calibration data. Subsequently, the synchronization performance of the BiSAR system is obtained by analyzing the downlinked internal calibration data and synchronization data, and the processing flow is as follows.
Step 1: Pulse compression of the internal calibration data. In this step, the matched filter is used for pulse compression. The FFT (Fast Fourier Transform) and IFFT (Inverse Fast Fourier Transform) operation are performed. And, the matched filtering is carried out in the frequency domain.
Step 2: Extraction of peak position and peak phase. After pulse compression, the signal of internal calibration is compressed. The peak position and peak phase can be accurately obtained through the interpolation.
Step 3: Deduct the phase introduced by other external components of the radar instrument (such as the echo simulation unit).
Step 4: Phase compensation based on the synchronization data of the two satellites. The matched filter is performed for compressing the synchronization data. The peak position and peak phase are also extracted.
Step 5: Introduce the temperature compensation coefficient K T to obtain the phase φ C that needs to be compensated. The phase is obtained through Formulas (10) and (11).
Step 6: Perform phase compensation on the auxiliary satellite echo.
And, the processing flowchart is shown in Figure 14.

5.3. Processing Results

Both the primary satellite and the auxiliary satellite receive signals transmitted by the horn antenna, thus simulating echo reception process of the BiSAR system. The received echoes can be used for analyzing the synchronization accuracy. Pulse compression is performed on the echoes, and the resulting synchronization performance is shown in Figure 15.
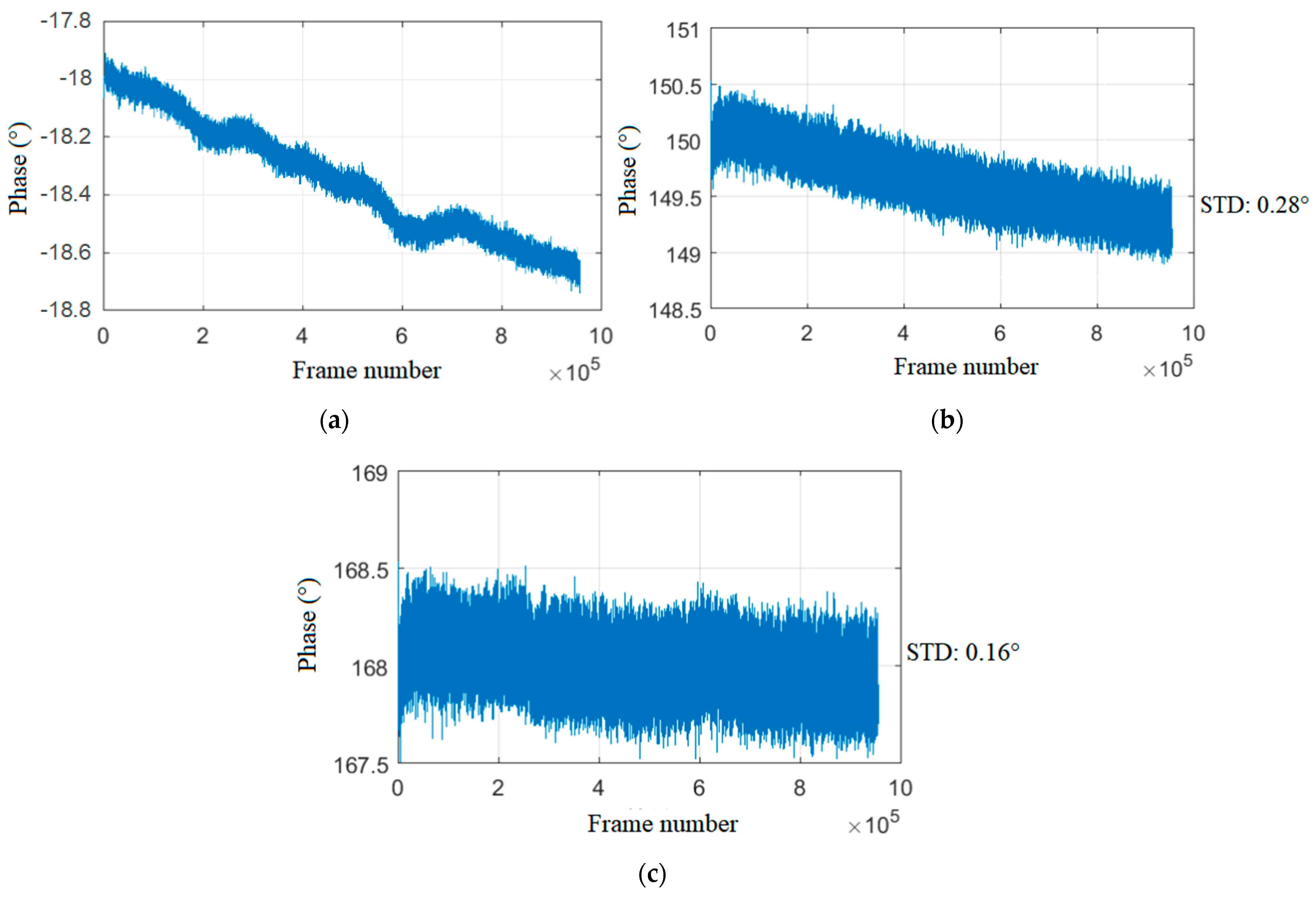
In the experiment, the phase history of the internal calibration pulses during radar operation is shown in Figure 15a. The residual phase error before system internal calibration compensation is depicted in Figure 15b, with a standard deviation (STD) of 0.28 degrees for the residual phase. By performing system internal calibration compensation, the instrument drift can be accurately calibrated. The residual phase error after internal calibration compensation is presented in Figure 15c, with an STD of 0.16 degrees for the residual phase.
To investigate the impact of ambient temperature variations on the synchronization accuracy of the BiSAR system, we conducted further on-ground temperature experiments. Using the same radar operation command package, the BiSAR phase synchronization performance was verified within the operating temperature range of −10 °C to +45 °C. The residual phase (STD)—temperature curve after data processing is shown in Figure 16. The variation range of synchronization accuracy is 0.11 degrees to 0.16 degrees, with relatively small fluctuations, indicating stable bistatic synchronization performance. And, the effectiveness of temperature compensation for system internal calibration is verified.

5.4. In-Orbit Test

In the phase of in-orbit testing, the Digital Surface Model (DSM) results based on LT-1 bistatic SAR data reconstruction (LT-DSM) are shown in Figure 17a [33]. With a resolution of 10 m × 10 m, the LT-DSM exhibits richer details and higher accuracy compared to the TanDEM-X data with a resolution of 90 m × 90 m (see Figure 17b). To verify the accuracy of the LT-DSM, we first conducted an assessment using ICESat laser altimetry data. This assessment involved 6062 valid points, and the results indicated an average error of 1.3 m and a median error of 2.8 m, which meets the mapping accuracy standard of China’s 1:50,000 DEM. The histogram of error distribution (Figure 17c) exhibits Gaussian error distribution characteristics, with errors primarily concentrated within the range of ±10 m. Subsequently, the LT-DSM data were resampled to match the resolution of the TanDEM-X data, and its accuracy was evaluated (Figure 17d). This assessment involved 29,850,659 valid points, with an average error of 0.168 m and a median error of 2.986 m. The acquisition of high-accuracy DSM products further validates the LT-1 BiSAR system.

6. Discussion

Due to the large aperture of LT-1 phased array antennas, the calibration networks are distributed throughout the entire aperture, and the temperature difference between power dividers and RF cables at different positions is relatively large, which has a significant impact on the phase and amplitude of the whole antenna calibration networks. While the temperature variation range within the satellite cabin for the internal calibrator is relatively small, it is necessary to comprehensively analyze the temperature characteristics of the transmitting calibration loops, receiving calibration loops, and reference calibration loop. Additionally, the temperature variation characteristics of active components, such as microwave amplifiers and optical delay lines, within the internal calibrator are more pronounced compared to passive components. The environmental temperature change of the coaxial cables passing through the cabin is the most significant. Considering the impact on radar signal transmission and reception, temperature compensation must be carried out. In temperature compensation experiments, considering the risk of system hardware overstress damage, the number of temperature test measurements for radar instruments is limited, resulting in a relatively conservative analysis for temperature compensation accuracy. However, by acquiring temperature compensation data during the module-level circuit screening tests process and appropriately increasing the number of tests during the unit-level temperature tests, it is feasible to effectively enhance the accuracy of the temperature compensation data.
According to the experimental and analytical results of the LT-1 ground verification system, the phase history of system internal calibration exhibits a negative slope, and the residual phase after internal calibration compensation is optimized from 0.28° to 0.16°, demonstrating the significant effect of internal calibration compensation on improving synchronization accuracy. Considering the stable ambient temperature and good heat dissipation of the equipment in the laboratory, the residual phase after internal calibration compensation corresponds to φ H s y s in Formula (11). By substituting K T into Formula (8), the calibration accuracy of the auxiliary satellite echo compensation can be calculated. Based on the analysis conducted in temperature compensation and ground validation experiments, it can be seen that the performance of auxiliary satellite echo compensation is good.
The design of specialized calibration equipment ensures the effective hardware integration for system internal calibration of LT-1. Obtaining temperature-dependent data from calibration equipment on-ground supports high-precision in-orbit calibration work. As in-orbit internal calibration and synchronization performance test data accumulates, further analysis and verification of the BiSAR system’s internal calibration performance becomes feasible.

7. Conclusions

The internal calibration design of the BiSAR system plays an important role in the LT-1 mission, determining the precision of interferometric measurements. Multiple calibration loops were designed based on the composition of the LT-1 internal calibration system. The echo compensation formula was derived for the bistatic mode of LT-1, leading to the proposal of an innovative internal calibration strategy. Temperature compensation tests were conducted for calibration equipment, based on the internal calibrator and antenna calibration networks hardware. Through these tests, effective temperature compensation curves and compensation error evaluation values were obtained. Additionally, a BiSAR ground verification system was established, and the BiSAR synchronization performance was analyzed through system integration experiments. The experimental results have verified the effectiveness and accuracy of the system internal calibration. Additionally, LT-1 in-orbit testing has obtained helpful DSM products with an average error of 1.3 m. Furthermore, the internal calibration strategy proposed in this study provides a valuable reference for future spaceborne bistatic and multistatic SAR systems.

Author Contributions

Conceptualization, K.L., Y.J. and H.Z.; methodology, Y.J., K.L. and F.Z.; software, H.Y.; validation, F.Z. and Y.J.; writing—original draft preparation, Y.J. and H.Y.; writing—review and editing, Y.J., K.L. and H.Y.; visualization, Y.J.; project administration, H.Z.; funding acquisition, H.Z. All authors have read and agreed to the published version of the manuscript.

Funding

This research was supported by the Medium- and Long-Term Development Plan for China’s Civil Space Infrastructure, LuTan-1.

Data Availability Statement

The raw data supporting the conclusions of this article will be made available by the authors on request.

Conflicts of Interest

The authors declare no conflicts of interest.

References

  1. Moreira, A.; Prats-Iraola, P.; Younis, M.; Krieger, G.; Hajnsek, I.; Papathanassiou, K.P. A tutorial on synthetic aperture radar. IEEE Geosc. Rem. Sen. M. 2013, 1, 6–43. [Google Scholar] [CrossRef]
  2. Cumming, I.G.; Wong, F.H. Digital Processing of Synthetic Aperture Radar Data: Algorithms and Implementation; Artech House: Norwood, MA, USA, 2005. [Google Scholar]
  3. Krieger, G.; Moreira, A. Spaceborne bi- and multistatic SAR: Potential and challenges. Inst. Electr. Eng. Proc. Radar Sonar Navig. 2006, 153, 184. [Google Scholar] [CrossRef]
  4. Moccia, A.; Chiacchio, N.; Capone, A. Spaceborne bistatic Synthetic Aperture Radar for remote sensing applications. Int. J. Remote Sens. 2010, 21, 3395–3414. [Google Scholar] [CrossRef]
  5. Moreira, A.; Krieger, G.; Hajnsek, I.; Papathanassiou, K.; Younis, M.; Lopez-Dekker, P.; Huber, S.; Villano, M.; Pardini, M.; Eineder, M.; et al. Tandem-L: A Highly Innovative Bistatic SAR Mission for Global Observation of Dynamic Processes on the Earth’s Surface. IEEE Geosci. Remote Sens. Mag. 2015, 3, 8–23. [Google Scholar] [CrossRef]
  6. Krieger, G.; Moreira, A.; Fiedler, H.; Hajnsek, I.; Werner, M.; Younis, M.; Zink, M. TanDEM-X: A satellite formation for high-resolution SAR interferometry. IEEE Trans. Geosci. Remote Sens. 2007, 45, 3317–3341. [Google Scholar] [CrossRef]
  7. Krieger, G.; Zink, M.; Bachmann, M.; Bräutigam, B.; Schulze, D.; Martone, M.; Rizzoli, P.; Steinbrecher, U.; Antony, J.W.; De Zan, F.; et al. TanDEM-X: A radar interferometer with two formation-flying satellites. Acta Astronaut. 2013, 89, 83–98. [Google Scholar] [CrossRef]
  8. Liang, D.; Liu, K.; Zhang, H.; Chen, Y.; Yue, H.; Liu, D.; Deng, Y.; Lin, H.; Fang, T.; Li, C.; et al. The Processing Framework and Experimental Verification for the Noninterrupted Synchronization Scheme of LuTan-1. IEEE Trans. Geosci. Remote Sens. 2021, 59, 5740–5750. [Google Scholar] [CrossRef]
  9. Jiao, Y.; Liang, D.; Liu, K.; Chen, Y.; Wang, H.; Wang, R. The Synchronization Transceiver Design and Experimental Verification for the LuTan-1 SAR Satellite. Sensors 2020, 20, 1463. [Google Scholar] [CrossRef] [PubMed]
  10. Chen, Y.; Liang, D.; Yue, H.; Liu, D.; Wu, X.; Zhang, H.; Jiao, Y.; Liu, K.; Wang, R. Implementation of a Phase Synchronization Scheme Based on Pulsed Signal at Carrier Frequency for Bistatic SAR. Sensors 2020, 20, 3188. [Google Scholar] [CrossRef]
  11. Makhoul, E.; Broquetas, A.; Lopez-Dekker, F.; Closa, J.; Saameno, P. Evaluation of the Internal Calibration Methodologies for Spaceborne Synthetic Aperture Radars with Active Phased Array Antennas. IEEE J. Sel. Top. Appl. Earth Obs. Remote Sens. 2012, 5, 909–918. [Google Scholar] [CrossRef]
  12. Wang, S.; Qi, H.; Yu, W. An Internal Calibration Scheme for Polarimetric Synthetic Aperture Radar System. IEEE Trans. Geosci. Remote Sens. 2011, 49, 15–20. [Google Scholar] [CrossRef]
  13. Li, H.; Zhang, H.; Chen, Q.; Gao, Y.; Shi, X.; Zhang, L. Accuracy Analysis of Radiometric Calibration In-Orbit for SuperView Neo-2 SAR Satellite. IEEE J. Sel. Top. Appl. Earth Obs. Remote Sens. 2024, 17, 2234–2244. [Google Scholar] [CrossRef]
  14. Hu, J.; Wang, Y.; Li, H. Channel Phase Error Estimation and Compensation for Ultrahigh-Resolution Airborne SAR System Based on Echo Data. IEEE Geosci. Remote Sens. Lett. 2012, 9, 1069–1073. [Google Scholar] [CrossRef]
  15. Tan, W.; Huang, P.; Han, K.; Hong, W. Amplitude-phase calibration method for downward-looking SAR. In Proceedings of the 2016 IEEE International Geoscience and Remote Sensing Symposium (IGARSS), Beijing, China, 10–15 July 2016; pp. 1134–1137. [Google Scholar] [CrossRef]
  16. Lyalin, K.S.; Prikhodko, D.V.; Kurganov, V.V. Approach to use pseudo-noise sequences in inner calibration system of active phased antenna arrays. In Proceedings of the 2016 IEEE NW Russia Young Researchers in Electrical and Electronic Engineering Conference (EIConRusNW), St. Petersburg, Russia, 2–3 February 2016; pp. 425–427. [Google Scholar] [CrossRef]
  17. Li, L.; He, M.; Feng, F.; Li, C. Precise Internal Calibration Scheme for Very-High Resolution SAR System and Its Airborne Campaign Results. IEEE Access 2020, 8, 89708–89719. [Google Scholar] [CrossRef]
  18. Zhou, Y.; Li, J.; Zhang, H.; Chen, Z.; Zhang, L.; Wang, P. Internal Calibration for Airborne X-Band DBF-SAR Imaging. IEEE Geosci. Remote Sens. Lett. 2022, 19, 4008105. [Google Scholar] [CrossRef]
  19. Caves, R. RADARSAT-2 Polarimetric Calibration Performance over Five Years of Operation. In Proceedings of the EUSAR 2014, 10th European Conference on Synthetic Aperture Radar, Berlin, Germany, 3–5 June 2014; pp. 1–4. [Google Scholar]
  20. Rashid, M.; Gierull, C.H. Retrieval of Ocean Surface Radial Velocities With RADARSAT-2 Along-Track Interferometry. IEEE J. Sel. Top. Appl. Earth Obs. Remote Sens. 2021, 14, 9597–9608. [Google Scholar] [CrossRef]
  21. Klenk, P.; Schmidt, K.; Kraus, T.; Bachmann, M.; Schwerdt, M. TerraSAR-X/TanDEM-X Mission and Calibration Status. In Proceedings of the EUSAR 2022, 14th European Conference on Synthetic Aperture Radar, Leipzig, Germany, 25–27 July 2022; pp. 1–5. [Google Scholar]
  22. Reimann, J.; Schwerdt, M. Concurrent Internal Calibration of Spaceborne SAR Systems. In Proceedings of the EUSAR 2021, 13th European Conference on Synthetic Aperture Radar, Online, 29 March–1 April 2021; pp. 1–4. [Google Scholar]
  23. Schwerdt, M.; Schmidt, K.; Ramon, N.T.; Alfonzo, G.C.; Doring, B.J.; Zink, M.; Prats-Iraola, P. Independent Verification of the Sentinel-1A System Calibration. IEEE J. Sel. Top. Appl. Earth Obs. Remote Sens. 2016, 9, 994–1007. [Google Scholar] [CrossRef]
  24. Ramon, N.T.; Schwerdt, M.; Alfonzo, G.C.; Schmidt, K. Verification of Sentinel-1B Internal Calibration—First Results. In Proceedings of the EUSAR 2016, 11th European Conference on Synthetic Aperture Radar, Hamburg, Germany, 6–9 June 2016; pp. 1–4. [Google Scholar]
  25. Li, H.; Zheng, M.; Han, Y.; Zhao, X. AMHC-DTENet: Attention-Based Multipath Hybrid Convolutional Distribution Target Extraction Network for Polarimetric Channel Imbalance Assessment. IEEE J. Sel. Top. Appl. Earth Obs. Remote Sens. 2023, 16, 8520–8534. [Google Scholar] [CrossRef]
  26. Zhang, Q. System Design and Key Technologies of the GF-3 Satellite. Acta Geod. Cartogr. Sin. 2017, 46, 269–277. [Google Scholar] [CrossRef]
  27. Brautigam, B.; Gonzalez, J.H.; Schwerdt, M.; Bachmann, M. TerraSAR-X Instrument Calibration Results and Extension for TanDEM-X. IEEE Trans. Geosci. Remote Sens. 2010, 48, 702–715. [Google Scholar] [CrossRef]
  28. Bojarski, A.; Bachmann, M.; Boer, J.; Kraus, T.; Wecklich, C.; Steinbrecher, U.; Tous-Ramon, N.; Schmidt, K.; Klenk, P.; Grigorov, C.; et al. TanDEM-X Long-Term System Performance After 10 Years of Operation. IEEE J. Sel. Top. Appl. Earth Obs. Remote Sens. 2021, 14, 2522–2534. [Google Scholar] [CrossRef]
  29. Lou, L.; Liu, Z.; Zhang, H.; Qian, F.; Huang, Y. TH-2 satellite engineering design and implementation. Acta Geod. Cartogr. Sin. 2020, 49, 1252–1264. [Google Scholar] [CrossRef]
  30. Lou, L.; Liu, Z.; Zhang, H.; Qian, F.; Zhang, X. Key technologies of TH-2 satellite system. Acta Geod. Cartogr. Sin. 2022, 51, 2403–2416. [Google Scholar] [CrossRef]
  31. Cai, Y.; Wang, R.; Yu, W.; Liang, D.; Liu, K.; Zhang, H.; Chen, Y. An Advanced Approach to Improve Synchronization Phase Accuracy with Compressive Sensing for LT-1 Bistatic Spaceborne SAR. Remote Sens. 2022, 14, 4621. [Google Scholar] [CrossRef]
  32. Liang, D.; Pang, X. An Advanced Non-Interrupted Internal Calibration Model Based on Azimuth Modulation and Waveform Diversity for SAR Systems. Electronics 2023, 12, 2677. [Google Scholar] [CrossRef]
  33. Ji, Y.; Zhang, X.; Li, T.; Fan, H.; Xu, Y.; Li, P.; Tian, Z. Mining Deformation Monitoring Based on Lutan-1 Monostatic and Bistatic Data. Remote Sens. 2023, 15, 5668. [Google Scholar] [CrossRef]
Figure 1. Composition and principle of internal calibration system of LT-1.
Figure 1. Composition and principle of internal calibration system of LT-1.
Remotesensing 16 02965 g001
Figure 2. The strategy for the internal calibration system of LT-1.
Figure 2. The strategy for the internal calibration system of LT-1.
Remotesensing 16 02965 g002
Figure 3. Block diagram of the internal calibrator.
Figure 3. Block diagram of the internal calibrator.
Remotesensing 16 02965 g003
Figure 4. Photo of the internal calibrator.
Figure 4. Photo of the internal calibrator.
Remotesensing 16 02965 g004
Figure 5. Diagram of the six calibration loops in the internal calibrator. (a) The chirp reference calibration loop is labeled with a green solid line, while the chirp receiving calibration loops is labeled with a blue solid line, and the synchronization receiving calibration loop is labeled with a blue dashed line. (b) The chirp transmitting calibration loops is labeled with a red solid line, while the synchronization transmitting calibration loop is labeled with a red dashed line. (c) The chirp transmitting and receiving calibration loop is labeled with an orange line.
Figure 5. Diagram of the six calibration loops in the internal calibrator. (a) The chirp reference calibration loop is labeled with a green solid line, while the chirp receiving calibration loops is labeled with a blue solid line, and the synchronization receiving calibration loop is labeled with a blue dashed line. (b) The chirp transmitting calibration loops is labeled with a red solid line, while the synchronization transmitting calibration loop is labeled with a red dashed line. (c) The chirp transmitting and receiving calibration loop is labeled with an orange line.
Remotesensing 16 02965 g005
Figure 6. Block diagram of the optical delay circuits.
Figure 6. Block diagram of the optical delay circuits.
Remotesensing 16 02965 g006
Figure 7. Block diagram of the antenna calibration networks of a single wing.
Figure 7. Block diagram of the antenna calibration networks of a single wing.
Remotesensing 16 02965 g007
Figure 8. The temperature distribution of the antenna calibration networks.
Figure 8. The temperature distribution of the antenna calibration networks.
Remotesensing 16 02965 g008
Figure 9. Temperature compensation test results of the antenna calibration networks under temperature conditions of −20 °C~+45 °C. (a) 5 measurements of the antenna calibration networks phase. (b) 5 measurements of the antenna calibration networks amplitude. (c) Phase compensation curve of the antenna calibration networks. (d) Amplitude compensation curve of the antenna calibration networks. (e) Phase compensation error of the antenna calibration networks. (f) Amplitude compensation error of the antenna calibration networks.
Figure 9. Temperature compensation test results of the antenna calibration networks under temperature conditions of −20 °C~+45 °C. (a) 5 measurements of the antenna calibration networks phase. (b) 5 measurements of the antenna calibration networks amplitude. (c) Phase compensation curve of the antenna calibration networks. (d) Amplitude compensation curve of the antenna calibration networks. (e) Phase compensation error of the antenna calibration networks. (f) Amplitude compensation error of the antenna calibration networks.
Remotesensing 16 02965 g009aRemotesensing 16 02965 g009b
Figure 10. Temperature compensation test results of the internal calibrator under temperature conditions of −10 °C~+20 °C. (a) Phase compensation curve of the internal calibrator. (b) Amplitude compensation curve of the internal calibrator. (c) Phase compensation error of the internal calibrator. (d) Amplitude compensation error of the internal calibrator.
Figure 10. Temperature compensation test results of the internal calibrator under temperature conditions of −10 °C~+20 °C. (a) Phase compensation curve of the internal calibrator. (b) Amplitude compensation curve of the internal calibrator. (c) Phase compensation error of the internal calibrator. (d) Amplitude compensation error of the internal calibrator.
Remotesensing 16 02965 g010
Figure 11. Temperature characteristics of the through-cabin coaxial cables under temperature conditions of −55 °C~+75 °C. (a) Phase characteristics of the through-cabin coaxial cables. (b) Amplitude characteristics of the through-cabin coaxial cables.
Figure 11. Temperature characteristics of the through-cabin coaxial cables under temperature conditions of −55 °C~+75 °C. (a) Phase characteristics of the through-cabin coaxial cables. (b) Amplitude characteristics of the through-cabin coaxial cables.
Remotesensing 16 02965 g011
Figure 12. The ground verification system of LT-1.
Figure 12. The ground verification system of LT-1.
Remotesensing 16 02965 g012
Figure 13. The actual scene of the ground verification system operation.
Figure 13. The actual scene of the ground verification system operation.
Remotesensing 16 02965 g013
Figure 14. Processing flowchart.
Figure 14. Processing flowchart.
Remotesensing 16 02965 g014
Figure 15. (a) Phase drift in internal calibration. (b) Residual phase before internal calibration compensation. (c) Residual phase after internal calibration compensation.
Figure 15. (a) Phase drift in internal calibration. (b) Residual phase before internal calibration compensation. (c) Residual phase after internal calibration compensation.
Remotesensing 16 02965 g015
Figure 16. The results of synchronization accuracy of the on-ground temperature experiments.
Figure 16. The results of synchronization accuracy of the on-ground temperature experiments.
Remotesensing 16 02965 g016
Figure 17. (a) The DSM result of LT-1, (b) TanDEM data, (c) the error distribution histogram with ICESat, (d) the difference between LT-1 and TanDEM [33].
Figure 17. (a) The DSM result of LT-1, (b) TanDEM data, (c) the error distribution histogram with ICESat, (d) the difference between LT-1 and TanDEM [33].
Remotesensing 16 02965 g017
Table 1. Comparative analysis of the internal calibration schemes and performance of typical SAR satellites.
Table 1. Comparative analysis of the internal calibration schemes and performance of typical SAR satellites.
SAR SatellitesLaunch YearTypeSchemesPerformances
RADARSAT-22007monostaticThe internal calibration loops exclude the antenna, limiter, and LNAModerate accuracy, acceptable complexity
TerraSAR-X2007monostaticNon-delay calibration, temperature compensationHigh accuracy, acceptable complexity
TanDEM-X2010bistaticNon-delay calibration, interrupted phase synchronization schemeModerate accuracy, periodically interrupts SAR imaging
Sentinel-12014monostaticNon-delay calibration, did not include calibration networksModerate accuracy, excessive complexity
GF-32016monostaticDelay calibration and non-delay calibrationModerate accuracy, acceptable complexity
TH-22019bistaticNon-delay calibration, interrupted phase synchronization schemeModerate accuracy, periodically interrupts SAR imaging
LT-12021bistaticNon-delay calibration, noninterrupted phase synchronization technologyHigh accuracy, SAR imaging with no interruption
Table 2. Design of the internal calibration loops in LT-1.
Table 2. Design of the internal calibration loops in LT-1.
Calibration ModeCalibration LoopsRemarks
non-delay calibrationsynchronization transmitting calibration loop
synchronization receiving calibration loop
chirp transmitting calibration loopsfull array (sub-array, single T/R module) chirp transmitting calibration loop
chirp receiving calibration loopsfull array (sub-array, single T/R module) chirp receiving calibration loop
chirp reference calibration loop
delay calibrationchirp transmitting calibration loopsfull array (sub-array, single T/R module) chirp transmitting calibration loop
chirp receiving calibration loopsfull array (sub-array, single T/R module) chirp receiving calibration loop
chirp reference calibration loop
chirp transmitting and receiving calibration loop
Table 3. Signal path of the non-delay calibration loops.
Table 3. Signal path of the non-delay calibration loops.
Calibration LoopsThe Signal Path
synchronization transmitting calibration loop L F M i S T X i C R 4 i R X i
synchronization receiving calibration loop L F M i C R 5 i S R X i R X i
chirp transmitting calibration loops L F M i T X i C N A i C R 2 i R X i
chirp receiving calibration loops L F M i C R 3 i C N A i R X A i R X i
chirp reference calibration loop L F M i C R 1 i R X i
Table 4. Parameters Definition Table.
Table 4. Parameters Definition Table.
ParametersDefinitionParametersDefinition
C R 1 i *Internal calibrator chirp reference loop C E c a l i Chirp reference calibration loops
C R 2 i Internal calibrator chirp transmitting loop T X c a l i Chirp transmitting calibration loops
C R 3 i Internal calibrator chirp receiving loop R X c a l i Chirp receiving calibration loops
C R 4 i Internal calibrator synchronization transmitting loop S T c a l i Synchronization transmitting calibration loop
C R 5 i Internal calibrator synchronization receiving loop S R c a l i Synchronization receiving calibration loop
C R 6 i Internal calibrator chirp transmitting and receiving loop H s b a Auxiliary satellite to primary satellite synchronization
C N A i Antenna calibration network (including coaxial cables) H s a b Primary satellite to auxiliary satellite synchronization
R X A i Antenna receiving link T F Interstellar transmission link
T X i Transmitting link S T X i Synchronization transceiver transmitting link
L F M i Frequency modulation signal source S R X i Synchronization transceiver receiving link
R X i Microwave combination and Receiver
* i = a or b, and a represents primary satellite, b represents auxiliary satellite.
Table 5. The compensation error of SAR internal calibration system.
Table 5. The compensation error of SAR internal calibration system.
EquipmentAmplitudePhase
Internal calibrator0.045 dB0.735°
Antenna calibration networks0.05 dB0.85°
Through-cabin coaxial cables0.08 dB0.80°
The internal calibration system ( K T )0.10 dB1.38°
Table 6. LuTan-1 mission parameters.
Table 6. LuTan-1 mission parameters.
ParameterValue
Carrier frequency1.26 GHz
Polarizationsingle/quad/compact
Channel number4
SAR payload mass1250 kg
Peak power16,000 W
Antenna length9.8 m
Antenna width3.4 m
PRF1400 Hz–4500 Hz
Disclaimer/Publisher’s Note: The statements, opinions and data contained in all publications are solely those of the individual author(s) and contributor(s) and not of MDPI and/or the editor(s). MDPI and/or the editor(s) disclaim responsibility for any injury to people or property resulting from any ideas, methods, instructions or products referred to in the content.

Share and Cite

MDPI and ACS Style

Jiao, Y.; Liu, K.; Yue, H.; Zhang, H.; Zhao, F. An Innovative Internal Calibration Strategy and Implementation for LT-1 Bistatic Spaceborne SAR. Remote Sens. 2024, 16, 2965. https://doi.org/10.3390/rs16162965

AMA Style

Jiao Y, Liu K, Yue H, Zhang H, Zhao F. An Innovative Internal Calibration Strategy and Implementation for LT-1 Bistatic Spaceborne SAR. Remote Sensing. 2024; 16(16):2965. https://doi.org/10.3390/rs16162965

Chicago/Turabian Style

Jiao, Yuanbo, Kaiyu Liu, Haixia Yue, Heng Zhang, and Fengjun Zhao. 2024. "An Innovative Internal Calibration Strategy and Implementation for LT-1 Bistatic Spaceborne SAR" Remote Sensing 16, no. 16: 2965. https://doi.org/10.3390/rs16162965

APA Style

Jiao, Y., Liu, K., Yue, H., Zhang, H., & Zhao, F. (2024). An Innovative Internal Calibration Strategy and Implementation for LT-1 Bistatic Spaceborne SAR. Remote Sensing, 16(16), 2965. https://doi.org/10.3390/rs16162965

Note that from the first issue of 2016, this journal uses article numbers instead of page numbers. See further details here.

Article Metrics

Back to TopTop