Potential Controlling Factors and Landslide Susceptibility Features of the 2022 Ms 6.8 Luding Earthquake
Abstract
1. Introduction
2. Tectonic and Geological Setting of the Luding Area
3. Materials and Methods
3.1. The 2022 Luding Landslide Inventory
3.2. Related Controlling Factors
3.3. Logistic Regression (LR) Model
3.4. Modeling Evaluation Index
4. Results
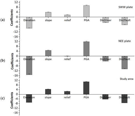
4.1. The Importance of Potential Controlling Factors
4.2. Landslide Susceptibility Modeling
5. Discussion
6. Conclusions
Author Contributions
Funding
Data Availability Statement
Acknowledgments
Conflicts of Interest
References
- Fan, X.; Wang, X.; Dai, L.; Fang, C.; Deng, Y.; Zou, C.; Tang, M.; Wei, Z.; Dou, X.; Zhang, J.; et al. Characteristics and spatial distribution pattern of Ms 6.8 Luding earthquake occurred on September 5, 2022. J. Eng. Geol. 2022, 30, 1504–1516. [Google Scholar] [CrossRef]
- Ma, S.; Lu, Y.; Xia, C.; Liu, X.; Qi, W.; Yuan, R. Brief report of landslides triggered by the 2022 Ms 6.8 Luding earthquake, Sichuan, China. Landslides 2023, 20, 2695–2707. [Google Scholar] [CrossRef]
- Amato, G.; Fiorucci, M.; Martino, S.; Lombardo, L.; Palombi, L. Earthquake-triggered landslide susceptibility in Italy by means of Artificial Neural Network. Bull. Eng. Geol. Environ. 2023, 82, 160. [Google Scholar] [CrossRef]
- Shao, X.; Xu, C. Earthquake-induced landslides susceptibility assessment: A review of the state-of-the-art. Nat. Hazards Res. 2022, 2, 172–182. [Google Scholar] [CrossRef]
- Reichenbach, P.; Rossi, M.; Malamud, B.D.; Mihir, M.; Guzzetti, F. A review of statistically-based landslide susceptibility models. Earth-Sci. Rev. 2018, 180, 60–91. [Google Scholar] [CrossRef]
- Jibson, R.W.; Harp, E.L.; Michael, J.A. A method for producing digital probabilistic seismic landslide hazard maps: An example from the Los Angeles, California, area. Eng. Geol. 2000, 58, 271–289. [Google Scholar] [CrossRef]
- Rodríguez-Peces, M.J.; Pérez-García, J.L.; García-Mayordomo, J.; Azañón, J.M.; Insua-Arévalo, J.M.; Delgado-García, J. Applicability of Newmark method at regional, sub-regional and site scales: Seismically induced Bullas and La Paca rock-slide cases (Murcia, SE Spain). Nat. Hazards 2011, 59, 1109–1124. [Google Scholar] [CrossRef]
- Jibson, R.W. Methods for assessing the stability of slopes during earthquakes—A retrospective. Eng. Geol. 2011, 122, 43–50. [Google Scholar] [CrossRef]
- Lee, C.T. Statistical seismic landslide hazard analysis: An example from Taiwan. Eng. Geol. 2014, 182, 201–212. [Google Scholar] [CrossRef]
- Kavzoglu, T.; Sahin, E.K.; Colkesen, I. Landslide susceptibility mapping using GIS-based multi-criteria decision analysis, support vector machines, and logistic regression. Landslides 2014, 11, 425–439. [Google Scholar] [CrossRef]
- Meena, S.R.; Ghorbanzadeh, O.; Blaschke, T. A comparative study of statistics-based landslide susceptibility models: A case study of the region affected by the gorkha earthquake in nepal. ISPRS Int. J. Geo-Inf. 2019, 8, 94. [Google Scholar] [CrossRef]
- Ma, S.; Shao, X.; Xu, C. Estimating the Quality of the Most Popular Machine Learning Algorithms for Landslide Susceptibility Mapping in 2018 Mw 7.5 Palu Earthquake. Remote Sens. 2023, 15, 4733. [Google Scholar] [CrossRef]
- Merghadi, A.; Yunus, A.P.; Dou, J.; Whiteley, J.; ThaiPham, B.; Bui, D.T.; Avtar, R.; Abderrahmane, B. Machine learning methods for landslide susceptibility studies: A comparative overview of algorithm performance. Earth-Sci. Rev. 2020, 207, 103225. [Google Scholar] [CrossRef]
- Marjanović, M.; Kovačević, M.; Bajat, B.; Voženílek, V. Landslide susceptibility assessment using SVM machine learning algorithm. Eng. Geol. 2011, 123, 225–234. [Google Scholar] [CrossRef]
- Parker, R.N.; Rosser, N.J.; Hales, T.C. Spatial prediction of earthquake-induced landslide probability. Nat. Hazards Earth Syst. Sci. Discuss. 2017, 2017, 1–29. [Google Scholar] [CrossRef]
- Yang, Z.; Xu, C.; Shao, X.; Ma, S.; Li, L. Landslide susceptibility mapping based on CNN-3D algorithm with attention module embedded. Bull. Eng. Geol. Environ. 2022, 81, 412. [Google Scholar] [CrossRef]
- Wu, L.; Liu, R.; Ju, N.; Zhang, A.; Gou, J.; He, G.; Lei, Y. Landslide mapping based on a hybrid CNN-transformer network and deep transfer learning using remote sensing images with topographic and spectral features. Int. J. Appl. Earth Obs. Geoinf. 2024, 126, 103612. [Google Scholar] [CrossRef]
- Wang, X.; Fang, C.; Tang, X.; Dai, L.; Fan, X.; Xu, Q. Research on emergency evaluation of landslides induced by Luding Ms6.8 Earthquake. Geomat. Inf. Sci. Wuhan Univ. 2022, 48, 25–35. [Google Scholar] [CrossRef]
- Huang, Y.; Xie, C.; Li, T.; Xu, C.; He, X.; Shao, X.; Xu, X.; Zhan, T.; Chen, Z. An open-accessed inventory of landslides triggered by the Ms 6.8 Luding earthquake, China on 5 September 2022. Earthq. Res. Adv. 2023, 3, 100181. [Google Scholar] [CrossRef]
- Zhao, B.; Hu, K.; Yang, Z.; Liu, Q.; Zou, Q.; Chen, H.; Zhang, W.; Zhu, L.; Su, L.-J. Geomorphic and tectonic controls of landslides induced by the 2022 Luding earthquake. J. Mt. Sci. 2022, 19, 3323–3345. [Google Scholar] [CrossRef]
- Dai, L.; Fan, X.; Wang, X.; Fang, C.; Zou, C.; Tang, X.; Wei, Z.; Xia, M.; Wang, D.; Xu, Q. Coseismic landslides triggered by the 2022 Luding Ms6.8 earthquake, China. Landslides 2023, 20, 1277–1292. [Google Scholar] [CrossRef]
- Chen, B.; Li, Z.; Huang, W.; Liu, Z.; Zhang, C.; Du, J.; Song, C.; Ding, M.; Zhu, W.; Zhang, S.; et al. Spatial Distribution and Influencing Factors of Geohazards Induced by the 2022 Mw 6.6 Luding (Sichuan, China) Earthquake. J. Earth Sci. Environ. 2022, 44, 971–985. [Google Scholar] [CrossRef]
- Guo, C.; Li, C.; Yang, Z.; Ni, J.; Zhong, N.; Wang, M.; Yan, Y.; Song, D.; Zhang, Y.; Zhang, X.; et al. Characterization and spatial analysis of coseismic landslides triggered by the Luding Ms 6.8 earthquake in the Xianshuihe fault zone, Southwest China. J. Mt. Sci. 2024, 21, 160–181. [Google Scholar] [CrossRef]
- Djukem, D.L.W.; Fan, X.; Braun, A.; Chevalier, M.-L.; Wang, X.; Dai, L.; Fang, C.; Zhang, X.; Gorum, T.; Xu, Q.; et al. Traditional and modified Newmark displacement methods after the 2022 Ms 6.8 Luding earthquake (Eastern Tibetan Plateau). Landslides 2024, 21, 807–828. [Google Scholar] [CrossRef]
- Liu, J.; Wang, T.; Du, J.; Chen, K.; Huang, J.; Wang, H.; Ruan, Q.; Feng, F. Emergency rapid assessment of landslides induced by the Luding MS6.8 earthquake in Sichuan of China. Hydrogeol. Eng. Geol. 2023, 50, 84–94. [Google Scholar] [CrossRef]
- Ma, S.; Xu, C. Applicability of Two Newmark Models in the Assessment of Coseismic Landslide Hazard and Estimation of Slope-Failure Probability: An Example of the 2008 Wenchuan Mw 7.9 Earthquake Affected Area. J. Earth Sci. 2019, 30, 1020–1030. [Google Scholar] [CrossRef]
- Shao, X.; Ma, S.; Xu, C.; Xie, C.; Li, T.; Huang, Y.; Huang, Y.; Xiao, Z. Landslides triggered by the 2022 Ms. 6.8 Luding strike-slip earthquake: An update. Eng. Geol. 2024, 335, 107536. [Google Scholar] [CrossRef]
- Bai, M.; Chevalier, M.L.; Pan, J.; Replumaz, A.; Leloup, P.H.; Métois, M. Southeastward increase of the late Quaternary slip-rate of the Xianshuihe fault, eastern Tibet. Geodynamic and seismic hazard implications. Earth Planet. Sci. Lett. 2018, 485, 19–31. [Google Scholar] [CrossRef]
- Guo, R.; Li, L.; Zhang, W.; Zhang, Y.; Tang, X.; Dai, K.; Li, Y.; Zhang, L.; Wang, J. Kinematic Slip Evolution During the 2022 Ms 6.8 Luding, China, Earthquake: Compatible with the Preseismic Locked Patch. Geophys. Res. Lett. 2023, 50, e2023GL103164. [Google Scholar] [CrossRef]
- Li, Y.; Zhao, D.; Shan, X.; Gao, Z.; Huang, X.; Gong, W. Coseismic Slip Model of the 2022 Mw 6.7 Luding (Tibet) Earthquake: Pre- and Post-Earthquake Interactions with Surrounding Major Faults. Geophys. Res. Lett. 2022, 49, e2022GL102043. [Google Scholar] [CrossRef]
- Xu, C.; Xu, X.; Shen, L.; Yao, Q.; Tan, X.; Kang, W.; Ma, S.; Wu, X.; Cai, J.; Gao, M.; et al. Optimized volume models of earthquake-triggered landslides. Sci. Rep. 2016, 6, 29797. [Google Scholar] [CrossRef] [PubMed]
- Tanyas, H.; Rossi, M.; Alvioli, M.; van Westen, C.J.; Marchesini, I. A global slope unit-based method for the near real-time prediction of earthquake-induced landslides. Geomorphology 2019, 327, 126–146. [Google Scholar] [CrossRef]
- He, Q.; Wang, M.; Liu, K. Rapidly assessing earthquake-induced landslide susceptibility on a global scale using random forest. Geomorphology 2021, 391, 107889. [Google Scholar] [CrossRef]
- Ma, S.; Shao, X.; Xu, C.; Chen, X.; Lu, Y.; Xia, C.; Qi, W.; Yuan, R. Distribution pattern, geometric characteristics and tectonic significance of landslides triggered by the strike-slip faulting 2022 Ms 6.8 Luding earthquake. Geomorphology 2024, 453, 109138. [Google Scholar] [CrossRef]
- Gorum, T.; van Westen, C.J.; Korup, O.; van der Meijde, M.; Fan, X.; van der Meer, F.D. Complex rupture mechanism and topography control symmetry of mass-wasting pattern, 2010 Haiti earthquake. Geomorphology 2013, 184, 127–138. [Google Scholar] [CrossRef]
- Shao, X.; Ma, S.; Xu, C. Hazard assessment modeling and software development of earthquake-triggered landslides in the Sichuan–Yunnan area, China. Geosci. Model Dev. 2023, 16, 5113–5129. [Google Scholar] [CrossRef]
- Dai, F.C.; Lee, C.F. Landslide characteristics and slope instability modeling using GIS, Lantau Island, Hong Kong. Geomorphology 2002, 42, 213–228. [Google Scholar] [CrossRef]
- Nowicki Jessee, M.A.; Hamburger, M.W.; Allstadt, K.; Wald, D.J.; Robeson, S.M.; Tanyas, H.; Hearne, M.; Thompson, E.M. A global empirical model for near-real-time assessment of seismicallyinduced landslides. J. Geophys. Res. Earth Surf. 2019, 123, 1835–1859. [Google Scholar] [CrossRef]
- Shao, X.; Ma, S.; Xu, C.; Zhou, Q. Effects of sampling intensity and non-slide/slide sample ratio on the occurrence probability of coseismic landslides. Geomorphology 2020, 363, 107222. [Google Scholar] [CrossRef]
- Cantarino, I.; Carrion, M.A.; Goerlich, F.; Martinez Ibañez, V. A ROC analysis-based classification method for landslide susceptibility maps. Landslides 2018, 16, 265–282. [Google Scholar] [CrossRef]
- Swets, J.A. Measuring the accuracy of diagnostic systems. Science 1988, 240, 1285–1293. [Google Scholar] [CrossRef] [PubMed]
- Brenning, A. Spatial prediction models for landslide hazards: Review, comparison and evaluation. Nat. Hazards Earth Syst. Sci. 2005, 5, 853–862. [Google Scholar] [CrossRef]
- Bloom, C.K.; Singeisen, C.; Stahl, T.; Howell, A.; Massey, C.; Mason, D. Coastal earthquake-induced landslide susceptibility during the 2016 Mw 7.8 Kaikōura earthquake, New Zealand. Nat. Hazards Earth Syst. Sci. 2023, 23, 2987–3013. [Google Scholar] [CrossRef]
- Lombardo, L.; Fubelli, G.; Amato, G.; Bonasera, M. Presence-only approach to assess landslide triggering-thickness susceptibility: A test for the Mili catchment (north-eastern Sicily, Italy). Nat. Hazards 2016, 84, 565–588. [Google Scholar] [CrossRef]
- Lombardo, L.; Mai, P.M. Presenting logistic regression-based landslide susceptibility results. Eng. Geol. 2018, 244, 14–24. [Google Scholar] [CrossRef]
- Obanion, M.; Olsen, M. Predictive seismically-induced landslide hazard mapping in Oregon using a maximum entropy model (MaxEnt). In Proceedings of the 10th National Conference in Earthquake Engineering, Anchorage, AK, USA, 21–25 July 2014; Earthquake Engineering Research Institute: Anchorage, AK, USA, 2014. [Google Scholar]
- Williams, F.; McColl, S.; Fuller, I.; Massey, C.; Smith, H.; Neverman, A. Intersection of fluvial incision and weak geologic structures cause divergence from a universal threshold slope model of landslide occurrence. Geomorphology 2021, 389, 107795. [Google Scholar] [CrossRef]
- Zhang, J.; Yang, Z.; Meng, Q.; Wang, J.; Hu, K.; Ge, Y.; Su, F.; Zhao, B.; Zhang, B.; Jiang, N.; et al. Distribution patterns of landslides triggered by the 2022 Ms 6.8 Luding earthquake, Sichuan, China. J. Mt. Sci. 2023, 20, 607–623. [Google Scholar] [CrossRef]
- Harp, E.; Keefer, D.; Sato, H.; Yagi, H. Landslide inventories: The essential part of seismic landslide hazard analyses. Eng. Geol. 2011, 122, 9–21. [Google Scholar] [CrossRef]
- Guzzetti, F.; Mondini, A.C.; Cardinali, M.; Fiorucci, F.; Santangelo, M.; Chang, K.-T. Landslide inventory maps: New tools for an old problem. Earth-Sci. Rev. 2012, 112, 42–66. [Google Scholar] [CrossRef]















Disclaimer/Publisher’s Note: The statements, opinions and data contained in all publications are solely those of the individual author(s) and contributor(s) and not of MDPI and/or the editor(s). MDPI and/or the editor(s) disclaim responsibility for any injury to people or property resulting from any ideas, methods, instructions or products referred to in the content. |
© 2024 by the authors. Licensee MDPI, Basel, Switzerland. This article is an open access article distributed under the terms and conditions of the Creative Commons Attribution (CC BY) license (https://creativecommons.org/licenses/by/4.0/).
Share and Cite
Ma, S.; Shao, X.; Xu, C. Potential Controlling Factors and Landslide Susceptibility Features of the 2022 Ms 6.8 Luding Earthquake. Remote Sens. 2024, 16, 2861. https://doi.org/10.3390/rs16152861
Ma S, Shao X, Xu C. Potential Controlling Factors and Landslide Susceptibility Features of the 2022 Ms 6.8 Luding Earthquake. Remote Sensing. 2024; 16(15):2861. https://doi.org/10.3390/rs16152861
Chicago/Turabian StyleMa, Siyuan, Xiaoyi Shao, and Chong Xu. 2024. "Potential Controlling Factors and Landslide Susceptibility Features of the 2022 Ms 6.8 Luding Earthquake" Remote Sensing 16, no. 15: 2861. https://doi.org/10.3390/rs16152861
APA StyleMa, S., Shao, X., & Xu, C. (2024). Potential Controlling Factors and Landslide Susceptibility Features of the 2022 Ms 6.8 Luding Earthquake. Remote Sensing, 16(15), 2861. https://doi.org/10.3390/rs16152861

