Exploring Spatial Patterns of Tropical Peatland Subsidence in Selangor, Malaysia Using the APSIS-DInSAR Technique
Abstract
1. Introduction
2. Materials and Methods
2.1. Study Site
2.2. Datasets
2.3. Land Cover
2.4. Spectral Indices
2.5. Biophysical Parameters
2.6. Peat Boundary Distance and Canal Distance
2.7. Subsidence Data
2.8. Regression Models
2.8.1. Multiple Linear Regression
2.8.2. Random Forest Regression
3. Results
3.1. Patterns of APSIS Coherence and Subsidence
3.2. Multiple Linear Regression
3.3. Random Forest Regression
4. Discussion
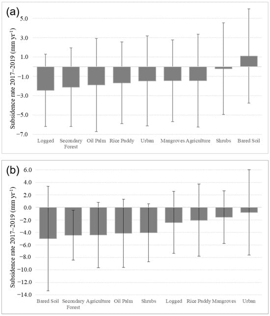
4.1. Spatial and Temporal Patterns of Subsidence Rates for Selangor Peatlands
4.2. Variable Importance
4.3. Effectiveness of APSIS-DInSAR and Modelling Techniques
4.4. Recommended Further Work
Author Contributions
Funding
Data Availability Statement
Acknowledgments
Conflicts of Interest
Appendix A
| Index | Formula | Definition | Reference |
|---|---|---|---|
| Normalized Difference Vegetation Index | NDVI = (B12 − B8)/(B12 + B8) | Detection of live green vegetation and an indicator of its condition. Chlorophyll sensitive. | [76] |
| Modified Normalized Difference Water Index | MNDWI = (B9 − B12)/(B9 + B12) | Enhances surface water features whilst supressing or removing noise from vegetation, soil and urban areas. | [77] |
| Enhanced Vegetation Index | EVI = 2.5 × (B8 − B4)/((B8 + 6.0 × B4 − 7.5 × B2) + 1.0)) | Detection of live green vegetation with increased sensitivity in high biomass regions. More sensitive to canopy structural variations than NDVI. | [78] |
| Normalized Difference Pond Index | NDPI = (B11 − B3)/(B11 + B3) | Distinguishes small ponds from water bodies and differentiates vegetation within ponds from their surroundings. | [79] |
| Normalized Difference Turbidity Index | NDTI = (B4 − B3)/(B4 + B3) | A measure of the amount of suspended sediments. Therefore, a measure of the clarity of a water body. | [79] |
| Normalized Difference Water Index | NDWI = (B8 − B12)/(B8 + B12) | Sensitive to the liquid water content of vegetation canopies. Less sensitive to atmospheric effects than NDVI. | [80] |
| Normalized Difference Water Index 2 | NDWI2 = (B3 − B8)/(B3 + B8) | Detects surface water presence in wetland environments and allows for measurement of surface water extent. | [81] |
| Chlorophyll Red Edge Index | ChlredEdge = (B7/B5) − 1 | High reflectance of vegetation in the NIR region. Used to estimate plant composition, including chlorophyll content of leaves. | [82] |
| Global Vegetation Moisture Index | GVMI = (B9 + 0.1) − (B12 + 0.02)/(B9 + 0.1) + (B12 + 0.02) | Vegetation water content at the canopy level. | [83] |
| Moisture Stress Index | MSI = B11/B8 | Sensitive to increases in leaf water content. Applications include fire hazard analysis and canopy stress analysis. | [84] |
| Normalised Burn Ratio | NBR = (B8 − B12)/(B8 + B12) | Identifies burned areas and provides a measure of burn severity. | [85] |
| Normalized Difference Moisture Index | NDMI = (B8 − B11)/(B8 + B11) | Sensitive to moisture levels in vegetation. Used to monitor droughts and fuel provision in high-risk fire zones. | [86] |

| Predictors | Estimates | CI | p |
|---|---|---|---|
| (Intercept) | −0.00 | −0.00–−0.00 | 0.023 |
| LC [2] | −0.00 | −0.00–−0.00 | <0.001 |
| LC [3] | −0.00 | −0.00–0.00 | 0.346 |
| LC [4] | −0.00 | −0.00–−0.00 | <0.001 |
| LC [5] | −0.00 | −0.00–0.00 | 0.843 |
| LC [6] | 0.00 | −0.00–0.00 | 0.298 |
| LC [7] | −0.00 | −0.00–0.00 | 0.054 |
| LC [8] | 0.00 | −0.01–0.01 | 0.701 |
| LC [9] | 0.00 | −0.00–0.00 | 0.927 |
| Peat dist | −0.00 | −0.00–−0.00 | <0.001 |
| Water dist | −0.00 | −0.00–−0.00 | 0.008 |
| mndwi diff | 0.00 | −0.00–0.00 | 0.921 |
| ndpi diff | 0.00 | −0.00–0.00 | 0.075 |
| ndti diff | −0.00 | −0.00–0.00 | 0.501 |
| ndwi diff | −0.00 | −0.00–0.00 | 0.742 |
| ndwi2 diff | 0.00 | −0.00–0.00 | 0.939 |
| ChlredEdge diff | −0.00 | −0.00–0.00 | 0.088 |
| EVI diff | −0.00 | −0.00–0.00 | 0.141 |
| GVMI diff | 0.00 | −0.00–0.00 | 0.072 |
| NDVI diff | −0.00 | −0.00–0.00 | 0.145 |
| MSI diff | 0.00 | 0.00–0.00 | 0.011 |
| NBR diff | −0.00 | −0.01–0.00 | 0.500 |
| NDMI diff | 0.00 | 0.00–0.01 | 0.001 |
| FAPAR diff | −0.00 | −0.00–0.00 | 0.750 |
| FCOVER diff | 0.00 | −0.00–0.00 | 0.231 |
| LAI diff | 0.00 | −0.00–0.00 | 0.461 |
| LAI CAB diff | −0.00 | −0.00–0.00 | 0.084 |
| LAI CW diff | −0.00 | −0.00–−0.00 | 0.021 |
| Chlred edge 2018 | −0.00 | −0.00–0.00 | 0.133 |
| EVI 2018 | −0.00 | −0.00–−0.00 | 0.016 |
| GVMI 2018 | 0.00 | −0.00–0.01 | 0.606 |
| NDVI 2018 | −0.00 | −0.01–0.00 | 0.419 |
| MSI 2018 | 0.00 | −0.00–0.00 | 0.935 |
| NBR 2018 | −0.10 | −0.21–0.01 | 0.067 |
| NDMI 2018 | 0.00 | −0.00–0.01 | 0.155 |
| FAPAR 2018 | 0.00 | −0.00–0.00 | 0.898 |
| FCOVER 2018 | 0.00 | −0.00–0.01 | 0.353 |
| LAI 2018 | −0.00 | −0.00–0.00 | 0.227 |
| LAI CAB 2018 | 0.00 | −0.00–0.00 | 0.817 |
| LAI CW 2018 | −0.00 | −0.00–−0.00 | 0.006 |
| mndwi 2018 | 0.00 | −0.00 – 0.00 | 0.422 |
| ndpi 2018 | −0.00 | −0.00–0.00 | 0.807 |
| ndti 2018 | −0.00 | −0.00–0.00 | 0.322 |
| ndwi 2018 | 0.09 | −0.01–0.20 | 0.083 |
| ndwi2 2018 | −0.00 | −0.01–0.00 | 0.456 |
| Observation number | 2113 | ||
| R2/R2 adjusted | 0.129/0.110 |
References
- Xu, J.; Morris, P.J.; Liu, J.; Holden, J. PEATMAP: Refining estimates of global peatland distribution based on a meta-analysis. Catena 2018, 160, 134–140. [Google Scholar] [CrossRef]
- Wösten, J.H.; Van Den Berg, J.; Van Eijk, P.; Gevers, G.J.; Giesen, W.B.; Hooijer, A.; Idris, A.; Leenman, P.H.; Rais, D.S.; Siderius, C.; et al. Interrelationships between hydrology and ecology in fire degraded tropical peat swamp forests. Water Resour. Dev. 2006, 22, 157–174. [Google Scholar] [CrossRef]
- Cooper, H.V.; Evers, S.; Aplin, P.; Crout, N.; Dahalan, M.P.; Sjogersten, S. Greenhouse gas emissions resulting from conversion of peat swamp forest to oil palm plantation. Nat. Commun. 2020, 11, 407. [Google Scholar] [CrossRef] [PubMed]
- Gorham, E. Northern peatlands: Role in the carbon cycle and probable responses to climatic warming. Ecol. Appl. 1991, 1, 182–195. [Google Scholar] [CrossRef] [PubMed]
- Lappalainen, E. Global Peat Resources; International Peat Society: Jyväskylä, Finland, 1996; ISBN 952-90-7487-5. TRN: 980200439. [Google Scholar]
- Page, S.E.; Rieley, J.O.; Banks, C.J. Global and regional importance of the tropical peatland carbon pool. Glob. Change Biol. 2011, 17, 798–818. [Google Scholar] [CrossRef]
- IPCC. Climate Change 2022: Impacts, Adaptation, and Vulnerability. Contribution of Working Group II to the Sixth Assessment Report of the Intergovernmental Panel on Climate Change; Pörtner, H.-O., Roberts, D.C., Tignor, M., Poloczanska, E.S., Mintenbeck, K., Alegría, A., Craig, M., Langsdorf, S., Löschke, S., Möller, V., et al., Eds.; Cambridge University Press: Cambridge, UK; New York, NY, USA, 2022; p. 3056. [Google Scholar] [CrossRef]
- Leifeld, J.; Menichetti, L. The underappreciated potential of peatlands in global climate change mitigation strategies. Nat. Commun. 2018, 9, 1071. [Google Scholar] [CrossRef]
- Miettinen, J.; Chenghua, S.; Liew, S.C. Land cover distribution in the peatlands of Peninsular Malaysia, Sumatra and Borneo in 2015 with changes since 1990. Glob. Ecol. Conserv. 2016, 6, 67–78. [Google Scholar] [CrossRef]
- Ribeiro, K.; Pacheco, F.S.; Ferreira, J.W.; de Sousa-Neto, E.R.; Hastie, A.; Krieger Filho, G.C.; Alvalá, P.C.; Forti, M.C.; Ometto, J.P. Tropical peatlands and their contribution to the global carbon cycle and climate change. Glob. Change Biol. 2021, 27, 489–505. [Google Scholar] [CrossRef]
- Hooijer, A.; Page, S.; Jauhiainen, J.; Lee, W.A.; Lu, X.X.; Idris, A.; Anshari, G. Subsidence and carbon loss in drained tropical peatlands. Biogeosciences 2012, 9, 1053–1071. [Google Scholar] [CrossRef]
- Evans, C.D.; Williamson, J.M.; Kacaribu, F.; Irawan, D.; Suardiwerianto, Y.; Hidayat, M.F.; Laurén, A.; Page, S.E. Rates and spatial variability of peat subsidence in an Indonesian plantation landscape. Geoderma 2018, 338, 410–421. [Google Scholar] [CrossRef]
- Hoyt, A.M.; Chaussard, E.; Seppalainen, S.S.; Harvey, C.F. Widespread subsidence and carbon emissions across Southeast Asian peatlands. Nat. Geosci. 2020, 13, 435–440. [Google Scholar] [CrossRef]
- Deltares. Flooding Projections from Elevation and Subsidence Models for Oil Palm Plantations in the Rajang Delta Peatlands, Sarawak, Malaysia. 2015. Available online: https://cms.deltares.nl/assets/common/downloads/Rajang-Delta-Peatland-Subsidence-Flooding-Deltares-2015.pdf (accessed on 16 June 2024).
- Girkin, N.T.; Dhandapani, S.; Evers, S.; Ostle, N.; Turner, B.L.; Sjögersten, S. Interactions between labile carbon, temperature and land use regulate carbon dioxide and methane production in tropical peat. Biogeochemistry 2020, 147, 87–97. [Google Scholar] [CrossRef]
- Page, S.; Hosciło, A.; Wösten, H.; Jauhiainen, J.; Silvius, M.; Rieley, J.; Ritzema, H.; Tansey, K.; Graham, L.; Vasander, H.; et al. Restoration ecology of lowland tropical peatlands in Southeast Asia: Current knowledge and future research directions. Ecosystems 2009, 12, 888–905. [Google Scholar] [CrossRef]
- Ritzema, H.; Grobbe, T.; Chong, T.; Wösten, J.H.M. Decision support system for peatland management in the humid tropics. In Proceedings of the 9th International Drainage Workshop, Utrecht, The Netherlands, 10–13 September 2003. [Google Scholar]
- Ritzema, H.; Wösten, H. Hydrology of Borneo’s peat swamps. In Strategies for implementing sustainable management of peatlands in Borneo. In Proceedings of the STRAPEAT Partners Workshop, Palangka Raya, Kalimantan, Indonesia and Sibu, Sarawak, Malaysia, 30 March–5 April 2002. [Google Scholar]
- Ritzema, H.; Limin, S.; Kusin, K.; Jauhiainen, J.; Wösten, H. Canal blocking strategies for hydrological restoration of degraded tropical peatlands in Central Kalimantan, Indonesia. Catena 2014, 114, 11–20. [Google Scholar] [CrossRef]
- Ritzema, H. Main drainage systems. In MSc Programme Land and Water Development for Food Security; UNESCO-IHE: Delft, The Netherlands, 2014. [Google Scholar]
- Tan, Z.U.; Lupascu, M.; Wijedasa, L.S. Paludiculture as a sustainable land use alternative for tropical peatlands: A review. Sci. Total Environ. 2020, 753, 142111. [Google Scholar] [CrossRef] [PubMed]
- FAO. Peatlands Mapping and Monitoring—Recommendations and Technical Overview; FAO: Rome, Italy, 2020. [Google Scholar] [CrossRef]
- Lu, Z.; Crane, M.; Kwoun, O.I.; Wells, C.; Swarzenski, C.; Rykhus, R. C-band radar observes water level change in swamp forests. EOS Trans. Am. Geophys. Union 2005, 86, 141–144. [Google Scholar] [CrossRef]
- Mohammadimanesh, F.; Salehi, B.; Mahdianpari, M.; Brisco, B.; Motagh, M. Wetland water level monitoring using interferometric synthetic aperture radar (InSAR): A review. Can. J. Remote Sens. 2018, 44, 247–262. [Google Scholar] [CrossRef]
- Zhou, X.; Chang, N.B.; Li, S. Applications of SAR interferometry in earth and environmental science research. Sensors 2009, 9, 1876–1912. [Google Scholar] [CrossRef]
- Kim, S.W.; Wdowinski, S.; Amelung, F.; Dixon, T.H.; Won, J.S. Interferometric coherence analysis of the Everglades wetlands, South Florida. IEEE Trans. Geosci. Remote Sens. 2013, 51, 5210–5224. [Google Scholar] [CrossRef]
- Pepe, A.; Calò, F. A review of interferometric synthetic aperture RADAR (InSAR) multi-track approaches for the retrieval of Earth’s surface displacements. Appl. Sci. 2017, 7, 1264. [Google Scholar] [CrossRef]
- Alshammari, L.; Large, D.J.; Boyd, D.S.; Sowter, A.; Anderson, R.; Andersen, R.; Marsh, S. Long-term peatland condition assessment via surface motion monitoring using the ISBAS DInSAR technique over the Flow Country, Scotland. Remote Sens. 2018, 10, 1103. [Google Scholar] [CrossRef]
- Cigna, F.; Sowter, A. The relationship between intermittent coherence and precision of ISBAS InSAR ground motion velocities: ERS-1/2 case studies in the UK. Remote Sens. Environ. 2017, 202, 177–198. [Google Scholar] [CrossRef]
- Marshall, C.; Large, D.J.; Athab, A.; Evers, S.L.; Sowter, A.; Marsh, S.; Sjögersten, S. Monitoring tropical peat related settlement using ISBAS InSAR, Kuala Lumpur International Airport (KLIA). Eng. Geol. 2018, 244, 57–65. [Google Scholar] [CrossRef]
- De la Barreda-Bautista, B.; Boyd, D.S.; Ledger, M.; Siewert, M.B.; Chandler, C.; Bradley, A.V.; Gee, D.; Large, D.J.; Olofsson, J.; Sowter, A.; et al. Towards a Monitoring Approach for Understanding Permafrost Degradation and Linked Subsidence in Arctic Peatlands. Remote Sens. 2022, 14, 444. [Google Scholar] [CrossRef]
- Gee, D.; Sowter, A.; Grebby, S.; de Lange, G.; Athab, A.; Marsh, S. National geohazards mapping in Europe: Interferometric analysis of the Netherlands. Eng. Geol. 2019, 256, 1–22. [Google Scholar] [CrossRef]
- Gee, D.; Bateson, L.; Grebby, S.; Novellino, A.; Sowter, A.; Wyatt, L.; Marsh, S.; Morgenstern, R.; Athab, A. Modelling groundwater rebound in recently abandoned coalfields using DInSAR. Remote Sens. Environ. 2020, 249, 112021. [Google Scholar] [CrossRef]
- Kasischke, E.S.; Bourgeau-Chavez, L.L. Monitoring South Florida wetlands using ERS-1 SAR imagery. Photogramm. Eng. Remote Sens. 1997, 63, 281–291. [Google Scholar]
- Brisco, B.; Ahern, F.; Hong, S.H.; Wdowinski, S.; Murnaghan, K.; White, L.; Atwood, D.K. Polarimetric decompositions of temperate wetlands at C-band. IEEE J. Sel. Top. Appl. Earth Obs. Remote Sens. 2015, 8, 3585–3594. [Google Scholar] [CrossRef]
- Tsyganskaya, V.; Martinis, S.; Marzahn, P.; Ludwig, R. Detection of temporary flooded vegetation using Sentinel-1 time series data. Remote Sens. 2018, 10, 1286. [Google Scholar] [CrossRef]
- Ledger, M.J.; Sowter, A.; Morrison, K.; Evans, C.D.; Large, D.J.; Athab, A.; Gee, D.; Brown, C.; Sjögersten, S. Potential of APSIS-InSAR for measuring surface oscillations of tropical peatlands. PLoS ONE 2024, 19, e0298939. [Google Scholar] [CrossRef]
- Wong, C.L.; Liew, J.; Yusop, Z.; Ismail, T.; Venneker, R.; Uhlenbrook, S. Rainfall characteristics and regionalization in Peninsular Malaysia based on a high resolution gridded data set. Water 2016, 8, 500. [Google Scholar] [CrossRef]
- Parish, F.; Dahalan, M.; Rahim, H. Integrated Management Plan for North Selangor Peat Swamp Forest 2014–2023 for Selangor State Forestry Department; Draft (30 June 2014) Revision, 2; Global Climate Action Partnership: Denver, CO, USA, 2014. [Google Scholar]
- Charters, L.J.; Aplin, P.; Marston, C.G.; Padfield, R.; Rengasamy, N.; Bin Dahalan, M.P.; Evers, S. Peat swamp forest conservation withstands pervasive land conversion to oil palm plantation in North Selangor, Malaysia. Int. J. Remote Sens. 2019, 40, 7409–7438. [Google Scholar] [CrossRef]
- Brown, C.; Boyd, D.S.; Sjögersten, S.; Clewley, D.; Evers, S.L.; Aplin, P. Tropical peatland vegetation structure and biomass: Optimal exploitation of airborne laser scanning. Remote Sens. 2018, 10, 671. [Google Scholar] [CrossRef]
- Gorelick, N.; Hancher, M.; Dixon, M.; Ilyushchenko, S.; Thau, D.; Moore, R. Google Earth Engine: Planetary-scale geospatial analysis for everyone. Remote Sens. Environ. 2017, 202, 18–27. [Google Scholar] [CrossRef]
- Hijmans, R.J.; van Etten, J. Raster: Geographic Analysis and Modelling with Raster Data. R Package Version 2.0-12. 2012. Available online: http://CRAN.R-project.org/package=raster (accessed on 20 March 2020).
- Sowter, A.; Bateson, L.; Strange, P.; Ambrose, K.; Syafiudin, M.F. DInSAR estimation of land motion using intermittent coherence with application to the South Derbyshire and Leicestershire coalfields. Remote Sens. Lett. 2013, 4, 979–987. [Google Scholar] [CrossRef]
- Sowter, A.; Amat, M.B.C.; Cigna, F.; Marsh, S.; Athab, A.; Alshammari, L. Mexico City land subsidence in 2014–2015 with Sentinel-1 IW TOPS: Results using the Intermittent SBAS (ISBAS) technique. Int. J. Appl. Earth Obs. Geoinf. 2016, 52, 230–242. [Google Scholar] [CrossRef]
- Ledger, M.J. Monitoring Surface Oscillation Dynamics of Tropical Peatlands: A Novel Approach Using APSIS-InSAR. Ph.D. Thesis, University of Nottingham, Nottingham, UK, 2022. [Google Scholar]
- Ledger, M.J.; Evans, C.D.; Large, D.J.; Evers, S.; Brown, C.; Jovani-Sancho, A.J.; Callaghan, N.; Vane, C.H.; Marshall, C.; Baskaran, A.; et al. Tropical peat surface oscillations are a function of peat condition at North Selangor peat swamp forest, Malaysia. Front. Environ. Sci. 2023, 11, 1182100. [Google Scholar] [CrossRef]
- Ripley, B.; Venables, B.; Bates, D.M.; Hornik, K.; Gebhardt, A.; Firth, D.; Ripley, M.B. Package ‘mass’. Cran R 2013, 538, 113–120. [Google Scholar]
- Breiman, L. Random forests. Mach. Learn. 2001, 45, 5–32. [Google Scholar] [CrossRef]
- Brown, M.E.; Lary, D.J.; Vrieling, A.; Stathakis, D.; Mussa, H. Neural networks as a tool for constructing continuous NDVI time series from AVHRR and MODIS. Int. J. Remote Sens. 2008, 29, 7141–7158. [Google Scholar] [CrossRef]
- Fu, B.; Wang, Y.; Campbell, A.; Li, Y.; Zhang, B.; Yin, S.; Xing, Z.; Jin, X. Comparison of object-based and pixel-based Random Forest algorithm for wetland vegetation mapping using high spatial resolution GF-1 and SAR data. Ecol. Indic. 2017, 73, 105–117. [Google Scholar] [CrossRef]
- Liang, L.; Di, L.; Huang, T.; Wang, J.; Lin, L.; Wang, L.; Yang, M. Estimation of leaf nitrogen content in wheat using new hyperspectral indices and a random forest regression algorithm. Remote Sens. 2018, 10, 1940. [Google Scholar] [CrossRef]
- Lapini, A.; Pettinato, S.; Santi, E.; Paloscia, S.; Fontanelli, G.; Garzelli, A. Comparison of machine learning methods applied to SAR images for forest classification in mediterranean areas. Remote Sens. 2020, 12, 369. [Google Scholar] [CrossRef]
- Kuhn, M. Caret: Classification and Regression Training; ascl-1505; Astrophysics Source Code Library: London, UK, 2015. [Google Scholar]
- Fawagreh, K.; Gaber, M.M.; Elyan, E. Random forests: From early developments to recent advancements. Syst. Sci. Control Eng. Open Access J. 2014, 2, 602–609. [Google Scholar] [CrossRef]
- Kuhn, M.; Wing, J.; Weston, S.; Williams, A.; Keefer, C.; Engelhardt, A.; Cooper, T.; Mayer, Z.; Kenkel, B.; Team, R.C. Package ‘caret’. R J. 2020, 223, 7. Available online: https://CRAN.R-project.org/package=caret (accessed on 20 March 2020).
- Marshall, C.; Sterk, H.P.; Gilbert, P.J.; Andersen, R.; Bradley, A.V.; Sowter, A.; Marsh, S.; Large, D.J. Multiscale Variability and the Comparison of Ground and Satellite Radar Based Measures of Peatland Surface Motion for Peatland Monitoring. Remote Sens. 2022, 14, 336. [Google Scholar] [CrossRef]
- Cobb, A.R.; Hoyt, A.M.; Gandois, L.; Eri, J.; Dommain, R.; Abu Salim, K.; Kai, F.M.; Haji Su’ut, N.S.; Harvey, C.F. How temporal patterns in rainfall determine the geomorphology and carbon fluxes of tropical peatlands. Proc. Natl. Acad. Sci. USA 2017, 114, E5187–E5196. [Google Scholar] [CrossRef] [PubMed]
- Jauhiainen, J.; Hooijer, A.; Page, S.E. Carbon dioxide emissions from an Acacia plantation on peatland in Sumatra, Indonesia. Biogeosciences 2012, 9, 617–630. [Google Scholar] [CrossRef]
- Siman, K.; Friess, D.A.; Huxham, M.; McGowan, S.; Drewer, J.; Koh, L.P.; Zeng, Y.; Lechner, A.M.; Lee, J.S.H.; Evans, C.D.; et al. Nature-Based Solutions for Climate Change Mitigation: Challenges and Opportunities for the ASEAN Region; Foreign, Commonwealth & Development Office: London, UK, 2021. [Google Scholar]
- Page, S.; Mishra, S.; Agus, F.; Anshari, G.; Dargie, G.; Evers, S.; Jauhiainen, J.; Jaya, A.; Jovani-Sancho, A.J.; Laurén, A.; et al. Anthropogenic impacts on lowland tropical peatland biogeochemistry. Nat. Rev. Earth Environ. 2022, 3, 426–443. [Google Scholar] [CrossRef]
- Ikkala, L.; Ronkanen, A.K.; Utriainen, O.; Kløve, B.; Marttila, H. Peatland subsidence enhances cultivated lowland flood risk. Soil Tillage Res. 2021, 212, 105078. [Google Scholar] [CrossRef]
- Green, S.M.; Page, S. Tropical peatlands: Current plight and the need for responsible management. Geol. Today 2017, 33, 174–179. [Google Scholar] [CrossRef]
- Wösten, J.H.M.; Ismail, A.B.; van Wijk, A.L.M. Peat subsidence and its practical implications: A case study in Malaysia. Geoderma 1997, 78, 25–36. [Google Scholar] [CrossRef]
- Umarhadi, D.A.; Widyatmanti, W.; Kumar, P.; Yunus, A.P.; Khedher, K.M.; Kharrazi, A.; Avtar, R. Tropical peat subsidence rates are related to decadal LULC changes: Insights from InSAR analysis. Sci. Total Environ. 2022, 816, 151561. [Google Scholar] [CrossRef] [PubMed]
- Pöttgens, J.J.E. Uplift as a result of rising mine waters In: The Development Science and Art of Minerals Surveying. Int. Soc. Mine Surv. Harrogate 1985, 2, 928–938. [Google Scholar]
- Donnelly, L.J. A review of international cases of fault reactivation during mining subsidence and fluid abstraction. Q. J. Eng. Geol. Hydrogeol. 2009, 42, 73–94. [Google Scholar] [CrossRef]
- Posa, M.R.C.; Wijedasa, L.S.; Corlett, R.T. Biodiversity and conservation of tropical peat swamp forests. BioScience 2011, 61, 49–57. [Google Scholar] [CrossRef]
- Crossetto, M.; Monserrat, O.; Cuevas-González, M.; Devanthéry, N.; Crippa, B. Persistent Scatterer Interferometry: A review. ISPRS J. Photogramm. Remote Sens. 2017, 115, 78–89. [Google Scholar] [CrossRef]
- Pepin, K.; Zebker, H. Aliasing in InSAR and SBAS Time Series. In Proceedings of the IEEE International Geoscience and Remote Sensing Symposium IGARSS, Brussels, Belgium, 11–16 July 2021. [Google Scholar] [CrossRef]
- Pepin, K.; Zebker, H. Maximum Temporal Baseline for InSAR Time Series. In Proceedings of the IEEE International Geoscience and Remote Sensing Symposium (IGARSS), Brussels, Belgium, 11–16 July 2021. [Google Scholar] [CrossRef]
- Evans, C.D.; Callaghan, N.; Jaya, A.; Grinham, A.; Sjogersten, S.; Page, S.E.; Harrison, M.E.; Kusin, K.; Kho, L.K.; Ledger, M.; et al. A novel low-cost, high-resolution camera system for measuring peat subsidence and water table dynamics. Front. Environ. Sci. 2021, 9, 33. [Google Scholar] [CrossRef]
- Alshammari, L.; Boyd, D.S.; Sowter, A.; Marshall, C.; Andersen, R.; Gilbert, P.; Marsh, S.; Large, D.J. Use of Surface Motion Characteristics Determined by InSAR to Assess Peatland Condition. J. Geophys. Res. Biogeosciences 2020, 125, e2018JG004953. [Google Scholar] [CrossRef]
- Bradley, A.V.; Andersen, R.; Marshall, C.; Sowter, A.; Large, D.J. Identification of typical ecohydrological behaviours using InSAR allows landscape-scale mapping of peatland condition. Earth Surf. Dynam. 2022, 10, 261–277. [Google Scholar] [CrossRef]
- Roundtable on Sustainable Palm Oil. RSPO Drainability Assessment Procedure; RSPO: Kuala Lumpur, Malaysia, 2019. [Google Scholar]
- Rouse, J.W., Jr.; Haas, R.H.; Schell, J.A.; Deering, D.W. Paper a 20. In Proceedings of the Third Earth Resources Technology Satellite-1 Symposium: The Proceedings of a Symposium Held by Goddard Space Flight Center, Washington, DC, USA, 10–14 December 1973; Volume 351, p. 309. [Google Scholar]
- Xu, H. Modification of normalised difference water index (NDWI) to enhance open water features in remotely sensed imagery. Int. J. Remote Sens. 2006, 27, 3025–3033. [Google Scholar] [CrossRef]
- Jiang, Z.; Huete, A.R.; Didan, K.; Miura, T. Development of a two-band enhanced vegetation index without a blue band. Remote Sens. Environ. 2008, 112, 3833–3845. [Google Scholar] [CrossRef]
- Lacaux, J.P.; Tourre, Y.M.; Vignolles, C.; Ndione, J.A.; Lafaye, M. Classification of ponds from high-spatial resolution remote sensing: Application to Rift Valley Fever epidemics in Senegal. Remote Sens. Environ. 2007, 106, 66–74. [Google Scholar] [CrossRef]
- Gao, B.C. NDWI—A normalized difference water index for remote sensing of vegetation liquid water from space. Remote Sens. Environ. 1996, 58, 257–266. [Google Scholar] [CrossRef]
- McFeeters, S.K. The use of the Normalized Difference Water Index (NDWI) in the delineation of open water features. Int. J. Remote Sens. 1996, 17, 1425–1432. [Google Scholar] [CrossRef]
- Horler, D.N.H.; Dockray, M.; Barber, J. The red edge of plant leaf reflectance. Int. J. Remote Sens. 1983, 4, 273–288. [Google Scholar] [CrossRef]
- Ceccato, P.; Flasse, S.; Gregoire, J.M. Designing a spectral index to estimate vegetation water content from remote sensing data: Part 2. Validation and applications. Remote Sens. Environ. 2002, 82, 198–207. [Google Scholar] [CrossRef]
- Ceccato, P.; Flasse, S.; Tarantola, S.; Jacquemoud, S.; Grégoire, J.M. Detecting vegetation leaf water content using reflectance in the optical domain. Remote Sens. Environ. 2001, 77, 22–33. [Google Scholar] [CrossRef]
- Key, C.H.; Benson, N.C. Landscape assessment (LA). FIREMON: Fire effects monitoring and inventory system. Gen. Tech. Rep. RMRS-GTR-164-CD. Fort Collins CO US Dep. Agric. For. Serv. Rocky Mt. Res. Stn. 2006, 164, LA-1-55. [Google Scholar]
- Horler, D.N.H.; Ahern, F.J. Forestry information content of Thematic Mapper data. Int. J. Remote Sens. 1986, 7, 405–428. [Google Scholar] [CrossRef]






| Variable/Map Layer | Formula/Source | Characteristics |
|---|---|---|
| Motion velocity (vertical) | APSIS technique | Dependent variable 20 m pixel size |
| Peat_dist | “Near” function from ArcGIS v 10 | Distance (m) from the edge of the peatland area to each point |
| Water_dist | “Near” function from ArcGIS v 10 | Distance (m) from the closest water body (canal) to each point |
| Land cover | SVM classification | Categorical variable; 10 m pixel |
| MNDWI difference 2020–2018 | MNDWIJanuary-20 − MNDWIFebruary-18 | Numerical variable; 10 m pixel |
| MNDWI 2018 | MNDWIFebruary-18 | Numerical variable; 10 m pixel |
| NDPI difference 2020–2018 | NDPIJanuary-20 − NDPIFebruary-18 | Numerical variable; 10 m pixel |
| NDPI 2018 | NDPIFebruary-18 | Numerical variable; 10 m pixel |
| NDTI difference 2020–2018 | NDTIJanuary-20 − NDTIFebruary-18 | Numerical variable; 10 m pixel |
| NDTI 2018 | NDTIFebruary-18 | Numerical variable; 10 m pixel |
| NDWI difference 2020–2018 | NDWIJanuary-20 − NDWIFebruary-18 | Numerical variable; 10 m pixel |
| NDWI 2018 | NDWIFebruary-18 | Numerical variable; 10 m pixel |
| NDWI2 difference 2020–2018 | NDWI2January-20 − NDWI2February-18 | Numerical variable; 10 m pixel |
| NDWI2 2018 | NDWI2February-18 | Numerical variable; 10 m pixel |
| ChlredEdge difference 2020–2018 | ChlredEdgeJanuary-20 − ChlredEdgeFebruary-18 | Numerical variable; 10 m pixel |
| ChlredEdge 2018 | ChlredEdgeFebruary-18 | Numerical variable; 10 m pixel |
| EVI difference 2020–2018 | EVIJanuary-20 − EVIFebruary-18 | Numerical variable; 10 m pixel |
| EVI 2018 | EVIFebruary-18 | Numerical variable; 10 m pixel |
| GVMI difference 2020–2018 | GVMIJanuary-20 − GVMIFebruary-18 | Numerical variable; 10 m pixel |
| GVMI 2018 | GVMIFebruary-18 | Numerical variable; 10 m pixel |
| NDVI difference 2020–2018 | NDVIJanuary-20 − NDVIFebruary-18 | Numerical variable; 10 m pixel |
| NDVI 2018 | NDVIFebruary-18 | Numerical variable; 10 m pixel |
| MSI difference 2020–2018 | MSIJanuary-20 − MSIFebruary-18 | Numerical variable; 10 m pixel |
| MSI 2018 | MSIFebruary-18 | Numerical variable; 10 m pixel |
| NBR difference 2020–2018 | NBRJanuary-20 − NBRFebruary-18 | Numerical variable; 10 m pixel |
| NBR 2018 | NBR Feb-18 | Numerical variable; 10 m pixel |
| NDMI difference 2020–2018 | NDMIJanuary-20 − NDMIFebruary-18 | Numerical variable; 10 m pixel |
| NDMI 2018 | NDMIFebruary-18 | Numerical variable; 10 m pixel |
| FAPAR difference 2020–2018 | FAPARJanuary-20 − FAPARFebruary-18 | Numerical variable; 10 m pixel |
| FAPAR 2018 | FAPARFebruary-18 | Numerical variable; 10 m pixel |
| FCOVER difference 2020–2018 | FCOVERJanuary-20 − FCOVERFebruary-18 | Numerical variable; 10 m pixel |
| FCOVER 2018 | FCOVERFebruary-18 | Numerical variable; 10 m pixel |
| LAI difference 2020–2018 | LAIJanuary-20 − LAIFebruary-18 | Numerical variable; 10 m pixel |
| LAI 2018 | LAIFebruary-18 | Numerical variable; 10 m pixel |
| LAI_CAB difference 2020–2018 | LAI_CABJanuary-20 − LAI_CABFebruary-18 | Numerical variable; 10 m pixel |
| LAI_CAB 2018 | LAI_CABFebruary-18 | Numerical variable; 10 m pixel |
| LAI_CW difference 2020–2018 | LAI_CWJanuary-20 − LAI_CWFebruary-18 | Numerical variable; 10 m pixel |
| LAI_CW 2018 | LAI_CWFebruary-18 | Numerical variable; 10 m pixel |
| All Variables | Selected Variables (%IncMSE) | Selected Variables (IncNodePurity) | |
|---|---|---|---|
| Number of variables | 37 | 13 | 7 |
| Number of trees | 1000 | 1000 | 500 |
| Number of variables tried at each split | 37 | 9 | 4 |
| Mean of squared residuals | 2.20 × 10−5 | 2.17554 × 10−5 | 2.16 × 10−5 |
| % Variance explained | 21.32 | 21.45 | 21.46 |
| Appropriate Qualitative Applications | Inappropriate Quantitative Applications |
|---|---|
| Local, landscape and regional prioritisation of rehabilitation initiatives and interventions according to relative subsidence rates | Carbon loss/gain/savings assessment |
| Assessment of relative efficacy of rehabilitation interventions over longer-term | Carbon credit calculations |
| Assessment of relative impact of landscape and/or local land-use change and land management over a longer term | GHG emissions monitoring/calculations |
| ‘Heat mapping’ of the risk of loss of drain-ability to aid in further quantitative investigations (e.g., via RSPO) | Confirm/quantify limits of drain-ability assessment by plantations for certification schemes (e.g., RSPO) |
| Contribute to current and future flood risk scanning/predictions | Modelling extent of absolute future flooded areas |
| Aid in research prioritisation and site selection activities to identify areas of variable peat health and stability | Monitoring absolute subsidence rates and extent |
| Prioritisation of funding towards peatland conservation | Assessing the depth of peat loss, especially from high-loss events such as fire |
Disclaimer/Publisher’s Note: The statements, opinions and data contained in all publications are solely those of the individual author(s) and contributor(s) and not of MDPI and/or the editor(s). MDPI and/or the editor(s) disclaim responsibility for any injury to people or property resulting from any ideas, methods, instructions or products referred to in the content. |
© 2024 by the authors. Licensee MDPI, Basel, Switzerland. This article is an open access article distributed under the terms and conditions of the Creative Commons Attribution (CC BY) license (https://creativecommons.org/licenses/by/4.0/).
Share and Cite
de la Barreda-Bautista, B.; Ledger, M.J.; Sjögersten, S.; Gee, D.; Sowter, A.; Cole, B.; Page, S.E.; Large, D.J.; Evans, C.D.; Tansey, K.J.; et al. Exploring Spatial Patterns of Tropical Peatland Subsidence in Selangor, Malaysia Using the APSIS-DInSAR Technique. Remote Sens. 2024, 16, 2249. https://doi.org/10.3390/rs16122249
de la Barreda-Bautista B, Ledger MJ, Sjögersten S, Gee D, Sowter A, Cole B, Page SE, Large DJ, Evans CD, Tansey KJ, et al. Exploring Spatial Patterns of Tropical Peatland Subsidence in Selangor, Malaysia Using the APSIS-DInSAR Technique. Remote Sensing. 2024; 16(12):2249. https://doi.org/10.3390/rs16122249
Chicago/Turabian Stylede la Barreda-Bautista, Betsabé, Martha J. Ledger, Sofie Sjögersten, David Gee, Andrew Sowter, Beth Cole, Susan E. Page, David J. Large, Chris D. Evans, Kevin J. Tansey, and et al. 2024. "Exploring Spatial Patterns of Tropical Peatland Subsidence in Selangor, Malaysia Using the APSIS-DInSAR Technique" Remote Sensing 16, no. 12: 2249. https://doi.org/10.3390/rs16122249
APA Stylede la Barreda-Bautista, B., Ledger, M. J., Sjögersten, S., Gee, D., Sowter, A., Cole, B., Page, S. E., Large, D. J., Evans, C. D., Tansey, K. J., Evers, S., & Boyd, D. S. (2024). Exploring Spatial Patterns of Tropical Peatland Subsidence in Selangor, Malaysia Using the APSIS-DInSAR Technique. Remote Sensing, 16(12), 2249. https://doi.org/10.3390/rs16122249

