Optimized Parameters for Detecting Multiple Forest Disturbance and Recovery Events and Spatiotemporal Patterns in Fast-Regrowing Southern China
Abstract
1. Introduction
2. Study Area and Data
2.1. The Study Region
2.2. The Work Flow
2.3. The Time-Series Landsat Images and Preprocessing
2.4. Training and Test Sampling Plot Data
2.5. Forest Distribution Area Mask
3. Methods
3.1. LandTrendr Change Detection Algorithms
3.2. LandTrendr Parameter Calibrations
3.3. Secondary Classification Using the RF Classifier
3.4. Accuracy Assessment
3.5. Analysis Methods
4. Result
4.1. Accuracy Assessment
4.2. The Effects of Optimized Parameters
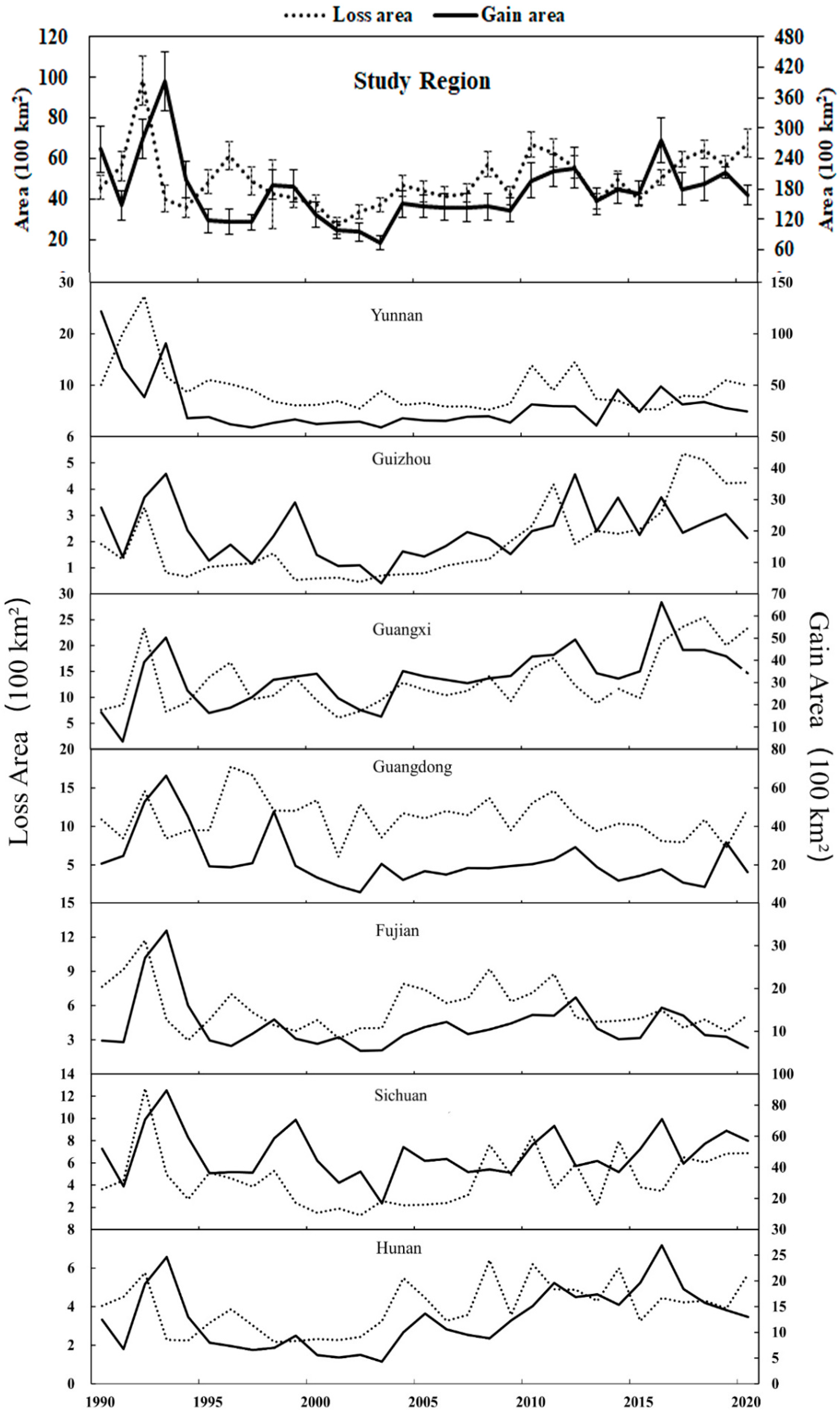
4.3. Spatiotemporal Patterns in Forest Loss Area
4.4. Spatiotemporal Patterns in Forest Recovery Area
4.5. Forest Disturbance Frequency
4.6. Overall Forest Dynamic in Southern China
5. Discussion
5.1. Comparisons with Previous Studies
5.2. Effectiveness of Improved Parameters on Forest Disturbance Detection
5.3. Effects of Forestry Policies and Projects
6. Conclusions
Author Contributions
Funding
Data Availability Statement
Conflicts of Interest
Appendix A

| Max Segment | Recovery Threshold | |||
|---|---|---|---|---|
| 0.25 | 0.5 | 0.75 | 1 | |
| 4 | 741 | 1213 | 1501 | 1919 |
| 6 | 1035 | 1829 | 2436 | 3113 |
| 8 | 1229 | 2318 | 3182 | 3946 |
| 10 | 1367 | 2640 | 3645 | 4421 |
| 12 | 1463 | 2845 | 5225 | 4683 |
| Max Segment | Recovery Threshold | |||
|---|---|---|---|---|
| 0.25 | 0.5 | 0.75 | 1 | |
| 4 | 135 | 536 | 788 | 1292 |
| 6 | 239 | 964 | 1520 | 2379 |
| 8 | 332 | 1378 | 2187 | 3182 |
| 10 | 401 | 1652 | 2609 | 3636 |
| 12 | 466 | 1847 | 2848 | 3877 |

| Symbol | Time | Forestry Policies or Projects | Major Effects |
|---|---|---|---|
| 1 | 1990 | Outline of the National Afforestation Program for 1989–2000 | Implementation of major afforestation projects across China |
| 2 | 1993 | Notice on Further Strengthening of Afforestation Progress | Push forward for the implementation of forestry projects |
| 3 | 1998 | Pilot implementation of the Green for Grain Project (GFGP) | Promote afforestation through land conversion from farmland |
| 4 | 2002 | Natural Forest Conservation Program (NFCP) | Promote the conservation of existing natural forest resources |
| 4 | 2002 | Project for Fast-growing and High-yield Plantation in Key Areas (FHPKA) | Shifting timberland base from the north to the south |
| 5 | 2003 | The trial time for the collective forest tenure reform (CFTR) | Forestland ownership change from collective to private rights in some cities in Sichuan and Fujian |
| 6 | 2008 | Ful implementation of CFTR | Realize the multiple functions of forests and increase household income |
| 7 | 2010 | The starting time for second stage of the NFCP | More strict implementation of the natural forest conservation policy |
| 8 | 2013 | The starting time for conserving the public welfare forests | To protect forests with important ecological functions |
| 9 | 2015 | Reform of state-owned forest farms (RSFF) | Forest farms shift from a profit-making agency to protection agency |
| 10 | 2016 | Regulations on the Implementation of the Forestry Law (Amendment 2016) | Protect forest resources and realize ecological civilization |
References
- McKinley, D.C.; Ryan, M.G.; Birdsey, R.A.; Giardina, C.P.; Harmon, M.E.; Heath, L.S.; Houghton, R.A.; Jackson, R.B.; Morrison, J.F.; Murray, B.C. A synthesis of current knowledge on forests and carbon storage in the united states. Ecol. Appl. 2011, 21, 1902–1924. [Google Scholar] [CrossRef] [PubMed]
- Xu, W.; Jin, X.; Liu, J.; Yang, X.; Ren, J.; Zhou, Y. Analysis of spatio-temporal changes in forest biomass in china. J. For. Res. 2022, 33, 261–278. [Google Scholar] [CrossRef]
- Pugh, T.A.; Arneth, A.; Kautz, M.; Poulter, B.; Smith, B. Important role of forest disturbances in the global biomass turnover and carbon sinks. Nat. Geosci. 2019, 12, 730–735. [Google Scholar] [CrossRef] [PubMed]
- Hansen, M.C.; Potapov, P.V.; Moore, R.; Hancher, M.; Turubanova, S.A.; Tyukavina, A.; Thau, D.; Stehman, S.V.; Goetz, S.J.; Loveland, T.R.; et al. High-resolution global maps of 21st-century forest cover change. Science 2013, 342, 850–853. [Google Scholar] [CrossRef] [PubMed]
- Song, X.P.; Hansen, M.C.; Stehman, S.V.; Potapov, P.V.; Tyukavina, A.; Vermote, E.F.; Townshend, J.R. Global land change from 1982 to 2016. Nature 2018, 560, 639–643. [Google Scholar] [CrossRef] [PubMed]
- Turner, M.G. Disturbance and landscape dynamics in a changing world. Ecology 2010, 91, 2833–2849. [Google Scholar] [CrossRef] [PubMed]
- Xiao, H.; Zhang, X.; Yan, M.; Zhang, L.; Wang, H.; Ma, Y.; Liu, J. The temporal-based forest disturbance monitoring analysis: A case study of nature reserves of hainan island of china from 1987 to 2020. Front. Environ. Sci. 2022, 10, 891752. [Google Scholar] [CrossRef]
- Tollerud, H.J.; Zhu, Z.; Smith, K.; Wellington, D.F.; Hussain, R.A.; Viola, D. Toward consistent change detection across irregular remote sensing time series observations. Remote Sens. Environ. 2023, 285, 113372. [Google Scholar] [CrossRef]
- Serneels, S.; Said, M.Y.; Lambin, E.F. Land cover changes around a major east african wildlife reserve: The mara ecosystem (kenya). Int. J. Remote Sens. 2001, 22, 3397–3420. [Google Scholar] [CrossRef]
- Lu, D.; Mausel, P.; Brondizio, E.; Moran, E. Change detection techniques. Int. J. Remote Sens. 2004, 25, 2365–2401. [Google Scholar] [CrossRef]
- Banskota, A.; Kayastha, N.; Falkowski, M.J.; Wulder, M.A.; Froese, R.E.; White, J.C. Forest monitoring using landsat time series data: A review. Can. J. Remote Sens. 2014, 40, 362–384. [Google Scholar] [CrossRef]
- Zhu, Z. Change detection using landsat time series: A review of frequencies, preprocessing, algorithms, and applications. ISPRS J. Photogramm. Remote Sens. 2017, 130, 370–384. [Google Scholar] [CrossRef]
- Huang, C.; Goward, S.N.; Schleeweis, K.; Thomas, N.; Masek, J.G.; Zhu, Z. Dynamics of national forests assessed using the landsat record: Case studies in eastern united states. Remote Sens. Environ. 2009, 113, 1430–1442. [Google Scholar] [CrossRef]
- Verbesselt, J.; Hyndman, R.; Newnham, G.; Culvenor, D. Detecting trend and seasonal changes in satellite image time series. Remote Sens. Environ. 2010, 114, 106–115. [Google Scholar] [CrossRef]
- Brooks, E.B.; Wynne, R.H.; Thomas, V.A.; Blinn, C.E.; Coulston, J.W. On-the-fly massively multitemporal change detection using statistical quality control charts and landsat data. IEEE Trans. Geosci. Remote Sens. 2013, 52, 3316–3332. [Google Scholar] [CrossRef]
- Zhu, Z.; Woodcock, C.E. Continuous change detection and classification of land cover using all available landsat data. Remote Sens. Environ. 2014, 144, 152–171. [Google Scholar] [CrossRef]
- Kennedy, R.; Yang, Z.; Cohen, W. Detecting trends in forest disturbance and recovery using yearly landsat time series: 1. Landtrendr—Temporal segmentation algorithms. Remote Sens. Environ. 2010, 114, 2897–2910. [Google Scholar] [CrossRef]
- Pasquarella, V.J.; Arévalo, P.; Bratley, K.H.; Bullock, E.L.; Gorelick, N.; Yang, Z.; Kennedy, R.E. Demystifying landtrendr and ccdc temporal segmentation. Int. J. Appl. Earth Obs. 2022, 110, 102806–102818. [Google Scholar] [CrossRef]
- Ding, N.; Li, M. Mapping forest abrupt disturbance events in southeastern china—Comparisons and tradeoffs of landsat time series analysis algorithms. Remote Sens. 2023, 15, 5408. [Google Scholar]
- Kennedy, R.; Cohen, W.; Schroeder, T. Trajectory-based change detection for automated characterization of forest disturbance dynamics. Remote Sens. Environ. 2007, 110, 370–386. [Google Scholar] [CrossRef]
- Kennedy, R.; Yang, Z.; Gorelick, N.; Braaten, J.; Cavalcante, L.; Cohen, W.; Healey, S. Implementation of the landtrendr algorithm on google earth engine. Remote Sens. 2018, 10, 691. [Google Scholar] [CrossRef]
- Cohen, W.; Healey, S.; Yang, Z.; Zhu, Z.; Gorelick, N. Diversity of algorithm and spectral band inputs improves landsat monitoring of forest disturbance. Remote Sens. 2020, 12, 1673. [Google Scholar] [CrossRef]
- Cohen, W.; Yang, Z.; Healey, S.; Kennedy, R.; Gorelick, N. A landtrendr multispectral ensemble for forest disturbance detection. Remote Sens. Environ. 2018, 205, 131–140. [Google Scholar] [CrossRef]
- Qiu, D.; Liang, Y.; Shang, R.; Chen, J.M. Improving landtrendr forest disturbance mapping in china using multi-season observations and multispectral indices. Remote Sens. 2023, 15, 2381. [Google Scholar] [CrossRef]
- Liu, W.; Guan, H.; Hesp, P.A.; Batelaan, O. Remote sensing delineation of wildfire spatial extents and post-fire recovery along a semi-arid climate gradient. Ecol. Inform. 2023, 78, 102304. [Google Scholar] [CrossRef]
- de Jong, S.M.; Shen, Y.; de Vries, J.; Bijnaar, G.; van Maanen, B.; Augustinus, P.; Verweij, P. Mapping mangrove dynamics and colonization patterns at the suriname coast using historic satellite data and the landtrendr algorithm. Int. J. Appl. Earth Obs. Geoinf. 2021, 97, 102293. [Google Scholar] [CrossRef]
- Li, C.; Gong, P.; Wang, J.; Zhu, Z.; Biging, G.S.; Yuan, C.; Hu, T.; Zhang, H.; Wang, Q.; Li, X.; et al. The first all-season sample set for mapping global land cover with landsat-8 data. Sci. Bull. 2017, 62, 508–515. [Google Scholar] [CrossRef] [PubMed]
- Yang, J.; Huang, X. The 30m annual land cover dataset and its dynamics in china from 1990 to 2019. Earth Syst. Sci. Data 2021, 13, 3907–3925. [Google Scholar] [CrossRef]
- Liu, J.; Kuang, W.; Zhang, Z.; Xu, X.; Qin, Y.; Ning, J.; Zhou, W.; Zhang, S.; Li, R.; Yan, C. Spatiotemporal characteristics, patterns, and causes of land-use changes in china since the late 1980s. J. Geogr. Sci. 2014, 24, 195–210. [Google Scholar] [CrossRef]
- Gong, P.; Liu, H.; Zhang, M.; Li, C.; Wang, J.; Huang, H.; Clinton, N.; Ji, L.; Li, W.; Bai, Y.; et al. Stable classification with limited sample: Transferring a 30-m resolution sample set collected in 2015 to mapping 10-m resolution global land cover in 2017. Sci. Bull. 2019, 64, 370–373. [Google Scholar] [CrossRef]
- Kennedy, R.; Yang, Z.; Braaten, J.; Copass, C.; Antonova, N.; Jordan, C.; Nelson, P. Attribution of disturbance change agent from landsat time-series in support of habitat monitoring in the puget sound region, USA. Remote Sens. Environ. 2015, 166, 271–285. [Google Scholar] [CrossRef]
- Toledo, M.; Poorter, L.; Peña-Claros, M.; Alarcón, A.; Balcázar, J.; Leaño, C.; Licona, J.C.; Llanque, O.; Vroomans, V.; Zuidema, P. Climate is a stronger driver of tree and forest growth rates than soil and disturbance. J. Ecol. 2011, 99, 254–264. [Google Scholar] [CrossRef]
- Cutler, D.R.; Edwards, T.C.; Beard, K.H.; Cutler, A.; Hess, K.T.; Gibson, J.; Lawler, J.J. Random forests for classification in ecology. Ecology 2007, 88, 2783–2792. [Google Scholar] [CrossRef] [PubMed]
- Stehman, S. Selecting and interpreting measures of thematic classification accuracy. Remote Sens. Environ. 1997, 62, 77–89. [Google Scholar] [CrossRef]
- Zhu, Z.C.; Piao, S.L.; Myneni, R.B.; Huang, M.T.; Zeng, Z.Z.; Canadell, J.G.; Ciais, P.; Sitch, S.; Friedlingstein, P.; Arneth, A.; et al. Greening of the earth and its drivers. Nat. Clim. Change 2016, 6, 791–795. [Google Scholar] [CrossRef]
- Xu, Y.; Yu, L.; Peng, D.; Zhao, J.; Cheng, Y.; Liu, X.; Li, W.; Meng, R.; Xu, X.; Gong, P. Annual 30-m land use/land cover maps of china for 1980–2015 from the integration of avhrr, modis and landsat data using the bfast algorithm. Sci. China Earth Sci. 2020, 63, 1390–1407. [Google Scholar] [CrossRef]
- Xia, X.; Xia, X.; Chen, X.; Fan, L.; Liu, S.; Qin, Y.; Qin, Z.; Xiao, X.; Xu, W.; Yue, C.; et al. Reconstructing long-term forest cover in china by fusing national forest inventory and 20 land use and land cover data sets. J. Geophys. Res. Biogeosci. 2023, 128, e2022JG007101. [Google Scholar]
- Liu, Z.; Wang, W.J.; Ballantyne, A.; He, H.S.; Wang, X.; Liu, S.; Ciais, P.; Wimberly, M.C.; Piao, S.; Yu, K.; et al. Forest disturbance decreased in china from 1986 to 2020 despite regional variations. Commun. Earth Environ. 2023, 4, 15. [Google Scholar] [CrossRef]
- Shen, J.; Chen, G.; Hua, J.; Huang, S.H.; Ma, J. Contrasting forest loss and gain patterns in subtropical china detected using an integrated landtrendr and machine-learning method. Remote Sens. 2022, 14, 3238. [Google Scholar] [CrossRef]
- Lothspeich, A.C.; Knight, J.F. The applicability of landtrendr to surface water dynamics: A case study of minnesota from 1984 to 2019 using google earth engine. Remote Sens. 2022, 14, 2662. [Google Scholar] [CrossRef]
- Li, Y.; Xu, X.; Wu, Z.; Fan, H.; Tong, X.; Liu, J. A forest type-specific threshold method for improving forest disturbance and agent attribution mapping. GIScience Remote Sens. 2022, 59, 1624–1642. [Google Scholar] [CrossRef]
- Hua, J.; Chen, G.; Yu, L.; Ye, Q.; Jiao, H.; Luo, X. Improved mapping of long-term forest disturbance and recovery dynamics in the subtropical china using all available landsat time-series imagery on google earth engine platform. IEEE J. Sel. Top. Appl. Earth Obs. Remote Sens. 2021, 14, 2754–2768. [Google Scholar] [CrossRef]
- Wang, G.; Innes, J.L.; Lei, J.; Dai, S.; Wu, S.W. China’s forestry reforms. Science 2007, 318, 1556–1557. [Google Scholar] [CrossRef] [PubMed]
- Van Den Hoek, J.; Ozdogan, M.; Burnicki, A.; Zhu, A.X. Evaluating forest policy implementation effectiveness with a cross-scale remote sensing analysis in a priority conservation area of southwest china. Appl. Geogr. 2014, 47, 177–189. [Google Scholar] [CrossRef]
- Yin, R.; Newman, D. Impacts of rural reform: The case of the chinese forest sector. Environ. Dev. Econ. 1997, 2, 289–303. [Google Scholar] [CrossRef]
- Zhang, D. China’s forest expansion in the last three plus decades: Why and how? For. Policy Econ. 2019, 98, 75–81. [Google Scholar] [CrossRef]
- Hyde, W.F.; Yin, R.S. 40 years of china’s forest reforms: Summary and outlook. For. Policy Econ. 2019, 98, 90–95. [Google Scholar] [CrossRef]
- Zhang, X.; Wu, S.; Ning, Y. An analysis on china’s institutional change of collective forest tenure system and its economic motivation. J. Beijing For. Univ. (Soc. Sci.) 2015, 14, 57–63. [Google Scholar]
- Liu, C.; Wang, S.; Liu, H.; Zhu, W. Why did the 1980s’ reform of collective forestland tenure in southern china fail? For. Policy Econ. 2017, 83, 131–141. [Google Scholar] [CrossRef]















| Parameter | Parameter Description | Ranges | Default Value | Optimized Value |
|---|---|---|---|---|
| Max Segments | Maximum number of segments to be fitted on the time-series | 4–10 | 10 | 8 |
| Spike Threshold | To attenuate peaks or outliers in the pixel value trajectory, if the percentage difference between the values of two adjacent time points is less than that value, the value will be considered an outlier and needs to be eliminated | 0.75–1.0 | 0.9 | 0.9 |
| Vertex Count Over Shoot | The number of nodes that can be exceeded in the regression of potential nodes in the initial stage | 0–3 | 3 | 3 |
| Recovery Threshold | If a segment has a recovery rate faster than 1/Recovery Threshold (in years), then the segment is not considered as disturbance | 0.25–1.0 | 1.0 | 0.5 (Guangxi, Guangdong) 0.25 (the rest) |
| Pval Threshold | If the p-value of the fitted model exceeds this threshold, then the current model is discarded and another is fitted using the optimizer | 0.05, 0.1, 0.2 | 0.05 | 0.05 |
| Best Model Proportion | Takes the model with most vertices that has a p-value that is at most this proportion away from the model with lowest p-value | 0.5–1.2 | 0.75 | 0.75 |
| Change Magnitude Threshold for stand-replacing loss | The minimum change magnitudes used to remove the persistent forest pixels before running the RF method | 0–1000 | - | 200–280 |
| Regions | Producer Accuracy | User Accuracy | OA1 | Kappa | OA2 | OA Change (%) |
|---|---|---|---|---|---|---|
| Hunan | 95% | 93% | 95% | 0.89 | 87% | 9.20 |
| Yunnan | 91% | 94% | 91% | 0.88 | 89% | 2.25 |
| Guizhou | 97% | 97% | 97% | 0.94 | 89% | 8.99 |
| Guangdong | 93% | 91% | 92% | 0.88 | 86% | 6.98 |
| Sichuan | 97% | 92% | 95% | 0.89 | 87% | 9.20 |
| Fujian | 90% | 95% | 92% | 0.91 | 89% | 3.37 |
| Guangxi | 89% | 95% | 92% | 0.86 | 85% | 8.24 |
| Province | Producers Accuracy | User Accuracy | Overall Accuracy | Kappa |
|---|---|---|---|---|
| Hunan | 98% | 92% | 94% | 0.88 |
| Yunnan | 97% | 92% | 95% | 0.90 |
| Guizhou | 98% | 93% | 96% | 0.93 |
| Guangdong | 95% | 92% | 93% | 0.89 |
| Sichuan | 97% | 96% | 97% | 0.94 |
| Fujian | 97% | 95% | 96% | 0.92 |
| Guangxi | 92% | 98% | 95% | 0.89 |
Disclaimer/Publisher’s Note: The statements, opinions and data contained in all publications are solely those of the individual author(s) and contributor(s) and not of MDPI and/or the editor(s). MDPI and/or the editor(s) disclaim responsibility for any injury to people or property resulting from any ideas, methods, instructions or products referred to in the content. |
© 2024 by the authors. Licensee MDPI, Basel, Switzerland. This article is an open access article distributed under the terms and conditions of the Creative Commons Attribution (CC BY) license (https://creativecommons.org/licenses/by/4.0/).
Share and Cite
Tu, Y.; Liao, K.; Chen, Y.; Jiao, H.; Chen, G. Optimized Parameters for Detecting Multiple Forest Disturbance and Recovery Events and Spatiotemporal Patterns in Fast-Regrowing Southern China. Remote Sens. 2024, 16, 2240. https://doi.org/10.3390/rs16122240
Tu Y, Liao K, Chen Y, Jiao H, Chen G. Optimized Parameters for Detecting Multiple Forest Disturbance and Recovery Events and Spatiotemporal Patterns in Fast-Regrowing Southern China. Remote Sensing. 2024; 16(12):2240. https://doi.org/10.3390/rs16122240
Chicago/Turabian StyleTu, Yuwei, Kaiping Liao, Yuxuan Chen, Hongbo Jiao, and Guangsheng Chen. 2024. "Optimized Parameters for Detecting Multiple Forest Disturbance and Recovery Events and Spatiotemporal Patterns in Fast-Regrowing Southern China" Remote Sensing 16, no. 12: 2240. https://doi.org/10.3390/rs16122240
APA StyleTu, Y., Liao, K., Chen, Y., Jiao, H., & Chen, G. (2024). Optimized Parameters for Detecting Multiple Forest Disturbance and Recovery Events and Spatiotemporal Patterns in Fast-Regrowing Southern China. Remote Sensing, 16(12), 2240. https://doi.org/10.3390/rs16122240

