Estimation of Chlorophyll Content in Apple Leaves Infected with Mosaic Disease by Combining Spectral and Textural Information Using Hyperspectral Images
Abstract
1. Introduction
2. Materials and Methods
2.1. Experimental Design
2.2. LCC Determination
2.3. Hyperspectral Image Collection and Processing
2.3.1. Hyperspectral Image Acquisition and Calibration
2.3.2. Image Segmentation and Selection of Region of Interest (ROI)
2.4. Data Processing
2.4.1. Extraction of Spectral Data and Selection of Optimal Wavelengths
2.4.2. Sample Split
2.4.3. Vegetation Indices Extraction
2.4.4. Image Textural Feature Extraction and Texture Indices Construction
2.4.5. Vegetation Indices and Textural Features Selection
2.4.6. Combination of Spectral and Textural Features
2.4.7. Model Methods and Evaluation Metrics
3. Results
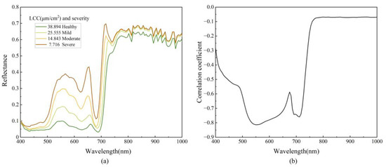
3.1. Spectral Characteristics of Leaves
3.2. Characteristic Wavelength Selection and Modeling
3.2.1. Characteristic Wavelength Selection
3.2.2. Models Based on Spectral Features
3.3. Vegetation Indices Selection and Modeling
3.3.1. Vegetation Indices Selection
3.3.2. Models Based on Vegetation Indices
3.4. Textural Feature Analysis and Modeling
3.4.1. Textural Feature Analysis
3.4.2. Textural Feature Construction and Selection
3.4.3. Models Based on Textural Features
3.4.4. Models Based on Combined Features
3.5. Inversion of LCC by HSI
4. Discussion
4.1. The LCC of Apple Leaves Infected with Mosaic Disease Exhibits Close Correlation with Spectral and Textural Features
4.2. Comparative Analysis of Regression Models for Estimating LCC Using Spectral and Textural Features
5. Conclusions
- (1)
- Samples with different LCC showed significant differences in spectral reflectance. Moreover, certain textural features under visible spectra, particularly MEA, VAR, and ENT showed a high correlation with LCC. Multi-metric aggregated VIs and NDTIs enhance feature differentiation;
- (2)
- Based on validation results from single feature models, spectral indices and textural indices, respectively, demonstrate optimal performance. Textural features, in general, exhibit inferior regression performance compared to spectral features and are unsuitable for independent applications;
- (3)
- Utilizing combined features as input parameters has the potential to enhance the estimation of LCC in apple mosaic leaves. However, the effectiveness of the combined approach was influenced by the performance of member variables. Ultimately, the SVR model combining NDTIs and VIs derived from the red and yellow bands exhibited the most accurate prediction of LCC (R2 = 0.8665, RMSE = 1.8871, RPD = 2.7454). This model outperformed the best-performing VIs model based on univariate parameters (R2 = 0.8532, RMSE = 2.1444, RPD = 2.6179);
- (4)
- Among the three machine learning methods used, the SVR model showed better estimation performance than the BPNN and KNNR models.
Author Contributions
Funding
Data Availability Statement
Acknowledgments
Conflicts of Interest
References
- Xing, F.; Wang, H.; Li, S. Advances in the Identification of Pathogens Associated with Apple Mosaic Disease of Apple Trees in China. J. Fruit Sci. 2021, 37, 1953–1963. [Google Scholar]
- Wu, C.; Niu, Z.; Tang, Q.; Huang, W. Estimating Chlorophyll Content from Hyperspectral Vegetation Indices: Modeling and Validation. Agric. For. Meteorol. 2008, 148, 1230–1241. [Google Scholar] [CrossRef]
- Mohammed, G.H.; Binder, W.D.; Gillies, S.L. Chlorophyll Fluorescence: A Review of Its Practical Forestry Applications and Instrumentation. Scand. J. For. Res. 1995, 10, 383–410. [Google Scholar] [CrossRef]
- Liu, Y.; Zhang, Y.; Jiang, D.; Zhang, Z.; Chang, Q. Quantitative Assessment of Apple Mosaic Disease Severity Based on Hyperspectral Images and Chlorophyll Content. Remote Sens. 2023, 15, 2202. [Google Scholar] [CrossRef]
- Zeng, J.; Ping, W.; Sanaeifar, A.; Xu, X.; Luo, W.; Sha, J.; Huang, Z.; Huang, Y.; Liu, X.; Zhan, B.; et al. Quantitative Visualization of Photosynthetic Pigments in Tea Leaves Based on Raman Spectroscopy and Calibration Model Transfer. Plant Methods 2021, 17, 4. [Google Scholar] [CrossRef] [PubMed]
- Sharma, M.; Jindal, V. Approximation Techniques for Apple Disease Detection and Prediction Using Computer Enabled Technologies: A Review. Remote Sens. Appl. Soc. Environ. 2023, 32, 101038. [Google Scholar] [CrossRef]
- Xu, T.; Wang, F.; Shi, Z.; Xie, L.; Yao, X. Dynamic Estimation of Rice Aboveground Biomass Based on Spectral and Spatial Information Extracted from Hyperspectral Remote Sensing Images at Different Combinations of Growth Stages. ISPRS J. Photogramm. Remote Sens. 2023, 202, 169–183. [Google Scholar] [CrossRef]
- Numata, I.; Roberts, D.A.; Chadwick, O.A.; Schimel, J.P.; Galvão, L.S.; Soares, J.V. Evaluation of Hyperspectral Data for Pasture Estimate in the Brazilian Amazon Using Field and Imaging Spectrometers. Remote Sens. Environ. 2008, 112, 1569–1583. [Google Scholar] [CrossRef]
- Zhou, X.; Zhao, C.; Sun, J.; Cao, Y.; Yao, K.; Xu, M. A Deep Learning Method for Predicting Lead Content in Oilseed Rape Leaves Using Fluorescence Hyperspectral Imaging. Food Chem. 2023, 409, 135251. [Google Scholar] [CrossRef]
- Zhao, R.; An, L.; Tang, W.; Qiao, L.; Wang, N.; Li, M.; Sun, H.; Liu, G. Improving Chlorophyll Content Detection to Suit Maize Dynamic Growth Effects by Deep Features of Hyperspectral Data. Field Crops Res. 2023, 297, 108929. [Google Scholar] [CrossRef]
- Wu, J.; Bai, T.; Li, X. Inverting Chlorophyll Content in Jujube Leaves Using a Back-Propagation Neural Network–Random Forest–Ridge Regression Algorithm with Combined Hyperspectral Data and Image Color Channels. Agronomy 2024, 14, 140. [Google Scholar] [CrossRef]
- Li, X.; Wei, Z.; Peng, F.; Liu, J.; Han, G. Estimating the Distribution of Chlorophyll Content in CYVCV Infected Lemon Leaf Using Hyperspectral Imaging. Comput. Electron. Agric. 2022, 198, 107036. [Google Scholar] [CrossRef]
- Gai, J.; Wang, J.; Xie, S.; Xiang, L.; Wang, Z. Spectroscopic Determination of Chlorophyll Content in Sugarcane Leaves for Drought Stress Detection. Precis. Agric. 2024, 25, 543–569. [Google Scholar] [CrossRef]
- Myneni, R.B.; Hall, F.G.; Sellers, P.J.; Marshak, A.L. The Interpretation of Spectral Vegetation Indexes. IEEE Trans. Geosci. Remote Sens. 1995, 33, 481–486. [Google Scholar] [CrossRef]
- Zhang, Y.; Xiao, J.; Yan, K.; Lu, X.; Li, W.; Tian, H.; Wang, L.; Deng, J.; Lan, Y. Advances and Developments in Monitoring and Inversion of the Biochemical Information of Crop Nutrients Based on Hyperspectral Technology. Agronomy 2023, 13, 2163. [Google Scholar] [CrossRef]
- Xue, L.; Yang, L. Deriving Leaf Chlorophyll Content of Green-Leafy Vegetables from Hyperspectral Reflectance. ISPRS J. Photogramm. Remote Sens. 2009, 64, 97–106. [Google Scholar] [CrossRef]
- Gitelson, A.A.; Viña, A.; Ciganda, V.; Rundquist, D.C.; Arkebauer, T.J. Remote Estimation of Canopy Chlorophyll Content in Crops. Geophys. Res. Lett. 2005, 32, L08403. [Google Scholar] [CrossRef]
- Dash, J.; Curran, P.J. The MERIS Terrestrial Chlorophyll Index. Int. J. Remote Sens. 2004, 25, 5403–5413. [Google Scholar] [CrossRef]
- Rao, N.R.; Garg, P.K.; Ghosh, S.K.; Dadhwal, V.K. Estimation of Leaf Total Chlorophyll and Nitrogen Concentrations Using Hyperspectral Satellite Imagery. J. Agric. Sci. 2008, 146, 65–75. [Google Scholar]
- Gao, C.; Li, H.; Wang, J.; Zhang, X.; Huang, K.; Song, X.; Yang, W.; Feng, M.; Xiao, L.; Zhao, Y.; et al. Combined Use of Spectral Resampling and Machine Learning Algorithms to Estimate Soybean Leaf Chlorophyll. Comput. Electron. Agric. 2024, 218, 108675. [Google Scholar] [CrossRef]
- Kira, O.; Linker, R.; Gitelson, A. Non-Destructive Estimation of Foliar Chlorophyll and Carotenoid Contents: Focus on Informative Spectral Bands. Int. J. Appl. Earth Obs. Geoinform. 2015, 38, 251–260. [Google Scholar] [CrossRef]
- Shu, M.; Fei, S.; Zhang, B.; Yang, X.; Guo, Y.; Li, B.; Ma, Y. Application of UAV Multisensor Data and Ensemble Approach for High-Throughput Estimation of Maize Phenotyping Traits. Plant Phenomics 2022, 2022, 9802585. [Google Scholar] [CrossRef] [PubMed]
- Pineda, M. An Overview of the Special Issue on Plant Phenotyping for Disease Detection. Remote Sens. 2021, 13, 4182. [Google Scholar] [CrossRef]
- Sun, J.; Jin, X.; Mao, H.; Wu, X.; Zhu, W.; Zhang, X.; Gao, H. Detection of Nitrogen Content in Lettuce Leaves Based on Spectroscopy and Texture Using Hyperspectral Imaging Technology. Trans. Chin. Soc. Agric. Eng. 2014, 30, 167–173. [Google Scholar]
- Zhang, X.; Zhang, K.; Sun, Y.; Zhao, Y.; Zhuang, H.; Ban, W.; Chen, Y.; Fu, E.; Chen, S.; Liu, J.; et al. Combining Spectral and Texture Features of UAS-Based Multispectral Images for Maize Leaf Area Index Estimation. Remote Sens. 2022, 14, 331. [Google Scholar] [CrossRef]
- Xie, C.; Wang, J.; Feng, L.; Liu, F.; Wu, D.; He, Y. Study on the Early Detection of Early Blight on Tomato Leaves Using Hyperspectral Imaging Technique Based on Spectroscopy and Texture. Spectrosc. Spectr. Anal. 2013, 33, 1603–1607. [Google Scholar]
- Yan, M.; Wang, H.; Wu, Y. Detection of Chlorophyll Content of Epipremnum Aureum Based on Fusion of Spectrum and Texture Features. J. Nanjing Agric. Univ. 2021, 44, 568–575. [Google Scholar]
- An, L.; Tang, W.; Qiao, L.; Zhao, R.; Sun, H.; Li, M.; Zhang, Y.; Zhang, M.; Li, X. Estimation of Chlorophyll Distribution in Banana Canopy Based on RGB-NIR Image Correction for Uneven Illumination. Comput. Electron. Agric. 2022, 202, 107358. [Google Scholar] [CrossRef]
- Cerovic, Z.G.; Masdoumier, G.; Ghozlen, N.B.; Latouche, G. A New Optical Leaf-clip Meter for Simultaneous Non-destructive Assessment of Leaf Chlorophyll and Epidermal Flavonoids. Physiol. Plant. 2012, 146, 251–260. [Google Scholar] [CrossRef]
- He, L.; Wan, L.; Gao, H. Recognition of Drought Stress in Tomato Based on Hyperspectral Imaging. Spectrosc. Spectr. Anal. 2023, 43, 724–730. [Google Scholar]
- Xiao, Q.; Tang, W.; Zhang, C.; Zhou, L.; Feng, L.; Shen, J.; Yan, T.; Gao, P.; He, Y.; Wu, N. Spectral Preprocessing Combined with Deep Transfer Learning to Evaluate Chlorophyll Content in Cotton Leaves. Plant Phenomics 2022, 2022, 9813841. [Google Scholar] [CrossRef] [PubMed]
- Yin, W.-J.; Ru, C.-L.; Zheng, J.; Zhang, L.; Yan, J.-Z.; Zhang, H. Fusion of Spectrum and Image Features to Identify Glycyrrhizae Radix et Rhizoma from Different Origins Based on Hyperspectral Imaging Technology. Chin. Mater. Medica 2021, 46, 923–930. [Google Scholar]
- Pan, Z.; Sun, G.; Zhang, A.; Fu, H.; Wang, X.; Ren, G. Tobacco Disease Detection Model Based on Band Selection. Spectrosc. Spectr. Anal. 2023, 43, 1023–1029. [Google Scholar]
- Araújo, M.C.U.; Saldanha, T.C.B.; Galvão, R.K.H.; Yoneyama, T.; Chame, H.C.; Visani, V. The Successive Projections Algorithm for Variable Selection in Spectroscopic Multicomponent Analysis. Chemom. Intell. Lab. Syst. 2001, 57, 65–73. [Google Scholar] [CrossRef]
- Deng, X.L.; Zeng, G.L.; Zhu, Z.H.; Huang, Z.X.; Yang, J.C.; Tong, Z.J.; Yin, X.B.; Wang, T.W.; Lan, Y.B. Classification and feature band extraction of diseased citrus plants based on UAV hyperspectral remote sensing. J. South. China Agric. Univ. 2020, 41, 100–108. [Google Scholar]
- Mao, F.; Sun, H.; Liu, H.; Zhang, J.; Li, M.; Yang, L. Prediction of Winter Wheat Chlorophyll Content Based on Gram-Schmidt and SPXY Algorithm. J. Agric. Mach. 2017, 48, 160–165. [Google Scholar]
- Galvao, R.; Araujo, M.; Jose, G.; Pontes, M.; Silva, E.; Saldanha, T. A Method for Calibration and Validation Subset Partitioning. Talanta 2005, 67, 736–740. [Google Scholar] [CrossRef] [PubMed]
- Wang, S.; Han, P.; Cui, G.; Wang, D.; Liu, S.; Zhao, Y. The NIR Detection Research of Soluble Solid Content in Watermelon Based on SPXY Algorithm. Spectrosc. Spectr. Anal. 2019, 39, 738–742. [Google Scholar]
- Kim, M.S.; Daughtry, C.; Chappelle, E.; McMurtrey, J.; Walthall, C. The Use of High Spectral Resolution Bands for Estimating Absorbed Photosynthetically Active Radiation (A Par). In CNES, Proceedings of the 6th International Symposium on Physical Measurements and Signatures in Remote Sensing, Val d’Isere, France, 17–24 January 1994; NASA: Washington, DC, USA, 1994. [Google Scholar]
- Daughtry, C. Estimating Corn Leaf Chlorophyll Concentration from Leaf and Canopy Reflectance. Remote Sens. Environ. 2000, 74, 229–239. [Google Scholar] [CrossRef]
- Haboudane, D.; Miller, J.R.; Tremblay, N.; Zarco-Tejada, P.J.; Dextraze, L. Integrated Narrow-Band Vegetation Indices for Prediction of Crop Chlorophyll Content for Application to Precision Agriculture. Remote Sens. Environ. 2002, 81, 416–426. [Google Scholar] [CrossRef]
- Chen, J.M. Evaluation of Vegetation Indices and a Modified Simple Ratio for Boreal Applications. Can. J. Remote Sens. 1996, 22, 229–242. [Google Scholar] [CrossRef]
- Datt, B. Remote Sensing of Chlorophyll a, Chlorophyll b, Chlorophyll A+b, and Total Carotenoid Content in Eucalyptus Leaves. Remote Sens. Environ. 1998, 66, 111–121. [Google Scholar] [CrossRef]
- Rondeaux, G.; Steven, M.; Baret, F. Optimization of Soil-Adjusted Vegetation Indices. Remote Sens. Environ. 1996, 55, 95–107. [Google Scholar] [CrossRef]
- Devadas, R.; Lamb, D.W.; Simpfendorfer, S.; Backhouse, D. Evaluating ten spectral vegetation indices for identifying rust infection in individual wheat leaves. Precis. Agric. 2009, 10, 459–470. [Google Scholar] [CrossRef]
- Metternicht, G. Vegetation Indices Derived from High-Resolution Airborne Videography for Precision Crop Management. Int. J. Remote Sens. 2003, 24, 2855–2877. [Google Scholar] [CrossRef]
- Blackburn, G.A. Spectral Indices for Estimating Photosynthetic Pigment Concentrations: A Test Using Senescent Tree Leaves. Int. J. Remote Sens. 1998, 19, 657–675. [Google Scholar] [CrossRef]
- Zarco-Tejada, P.J.; Pushnik, J.C.; Dobrowski, S.; Ustin, S.L. Steady-State Chlorophyll a Fluorescence Detection from Canopy Derivative Reflectance and Double-Peak Red-Edge Effects. Remote Sens. Environ. 2003, 84, 283–294. [Google Scholar] [CrossRef]
- Broge, N.H.; Leblanc, E. Comparing Prediction Power and Stability of Broadband and Hyperspectral Vegetation Indices for Estimation of Green Leaf Area Index and Canopy Chlorophyll Density. Remote Sens. Environ. 2001, 76, 156–172. [Google Scholar] [CrossRef]
- Peñuelas, J.; Gamon, J.A.; Fredeen, A.L.; Merino, J.; Field, C.B. Reflectance Indices Associated with Physiological Changes in Nitrogen- and Water-Limited Sunflower Leaves. Remote Sens. Environ. 1994, 48, 135–146. [Google Scholar] [CrossRef]
- Merzlyak, M.N.; Gitelson, A.A.; Chivkunova, O.B.; Rakitin, V.Y.U. Non-destructive Optical Detection of Pigment Changes during Leaf Senescence and Fruit Ripening. Physiol. Plant. 1999, 106, 135–141. [Google Scholar] [CrossRef]
- Gitelson, A.A.; Viña, A.; Arkebauer, T.J.; Rundquist, D.C.; Keydan, G.; Leavitt, B. Remote Estimation of Leaf Area Index and Green Leaf Biomass in Maize Canopies. Geophys. Res. Lett. 2003, 30, 1248. [Google Scholar] [CrossRef]
- Roujean, J.-L.; Breon, F.-M. Estimating PAR Absorbed by Vegetation from Bidirectional Reflectance Measurements. Remote Sens. Environ. 1995, 51, 375–384. [Google Scholar] [CrossRef]
- Gitelson, A.A.; Merzlyak, M.N.; Lichtenthaler, H.K. Detection of Red Edge Position and Chlorophyll Content by Reflectance Measurements Near 700 Nm. J. Plant Physiol. 1996, 148, 501–508. [Google Scholar] [CrossRef]
- Gitelson, A.; Merzlyak, M.; Zur, Y.; Stark, R.; Gritz, U. Non-Destructive and Remote Sensing Techniques for Estimation of Vegetation Status. Sch. Nat. Resour. Fac. Publ. 2001, 3543, 327–335. [Google Scholar]
- Chappelle, E.W.; Kim, M.S.; McMurtrey, J.E. Ratio Analysis of Reflectance Spectra (RARS): An Algorithm for the Remote Estimation of the Concentrations of Chlorophyll A, Chlorophyll B, and Carotenoids in Soybean Leaves. Remote Sens. Environ. 1992, 39, 239–247. [Google Scholar] [CrossRef]
- le Maire, G.; François, C.; Dufrêne, E. Towards Universal Broad Leaf Chlorophyll Indices Using PROSPECT Simulated Database and Hyperspectral Reflectance Measurements. Remote Sens. Environ. 2004, 89, 1–28. [Google Scholar] [CrossRef]
- Vogelmann, J.E.; Rock, B.N.; Moss, D.M. Red Edge Spectral Measurements from Sugar Maple Leaves. Int. J. Remote Sens. 1993, 14, 1563–1575. [Google Scholar] [CrossRef]
- Barnes, E.; Clarke, T.R.; Richards, S.E.; Colaizzi, P.; Haberland, J.; Kostrzewski, M.; Waller, P.; Choi, C.; Riley, E.; Thompson, T.L. Coincident Detection of Crop Water Stress, Nitrogen Status, and Canopy Density Using Ground Based Multispectral Data. In Proceedings of the International Conference on Precision Agriculture and Other Resource Management, Bloomington, MN, USA, 16–19 July 2000. [Google Scholar]
- Gamon, J.A.; Peñuelas, J.; Field, C.B. A Narrow-Waveband Spectral Index That Tracks Diurnal Changes in Photosynthetic Efficiency. Remote Sens. Environ. 1992, 41, 35–44. [Google Scholar] [CrossRef]
- Wang, D.; Li, R.; Liu, T.; Liu, S.; Sun, C.; Guo, W. Combining Vegetation, Color, and Texture Indices with Hyperspectral Parameters Using Machine-Learning Methods to Estimate Nitrogen Concentration in Rice Stems and Leaves. Field Crops Res. 2023, 304, 109175. [Google Scholar] [CrossRef]
- Yuan, W.; Meng, Y.; Li, Y.; Ji, Z.; Kong, Q.; Gao, R.; Su, Z. Research on Rice Leaf Area Index Estimation Based on Fusion of Texture and Spectral Information. Comput. Electron. Agric. 2023, 211, 108016. [Google Scholar] [CrossRef]
- Khan, I.H.; Liu, H.; Li, W.; Cao, A.; Wang, X.; Liu, H.; Cheng, T.; Tian, Y.; Zhu, Y.; Cao, W.; et al. Early Detection of Powdery Mildew Disease and Accurate Quantification of Its Severity Using Hyperspectral Images in Wheat. Remote Sens. 2021, 13, 3612. [Google Scholar] [CrossRef]
- Liu, B.; Shen, W.; Yue, Y.; Li, R.; Tong, Q.; Zhang, B. Combining Spatial and Spectral Information to Estimate Chlorophyll Contents of Crop Leaves with a Field Imaging Spectroscopy System. Precis. Agric. 2017, 18, 491–506. [Google Scholar] [CrossRef]
- Sudu, B.; Rong, G.; Guga, S.; Li, K.; Zhi, F.; Guo, Y.; Zhang, J.; Bao, Y. Retrieving SPAD Values of Summer Maize Using UAV Hyperspectral Data Based on Multiple Machine Learning Algorithm. Remote Sens. 2022, 14, 5407. [Google Scholar] [CrossRef]
- Zheng, H.; Cheng, T.; Zhou, M.; Li, D.; Yao, X.; Tian, Y.; Cao, W.; Zhu, Y. Improved Estimation of Rice Aboveground Biomass Combining Textural and Spectral Analysis of UAV Imagery. Precis. Agric. 2019, 20, 611–629. [Google Scholar] [CrossRef]
- Guo, W.; Gong, Z.; Gao, C.; Yue, J.; Fu, Y.; Sun, H.; Zhang, H.; Zhou, L. An Accurate Monitoring Method of Peanut Southern Blight Using Unmanned Aerial Vehicle Remote Sensing. Precis. Agric. 2024. [Google Scholar] [CrossRef]
- Yang, Y.; Zhang, X.; Gao, W.; Zhang, Y.; Hou, X. Improving Lake Chlorophyll-a Interpreting Accuracy by Combining Spectral and Texture Features of Remote Sensing. Environ. Sci. Pollut. Res. 2023, 30, 83628–83642. [Google Scholar] [CrossRef]
- Reshef, D.N.; Reshef, Y.A.; Finucane, H.K.; Grossman, S.R.; McVean, G.; Turnbaugh, P.J.; Lander, E.S.; Mitzenmacher, M.; Sabeti, P.C. Detecting Novel Associations in Large Data Sets. Science 2011, 334, 1518–1524. [Google Scholar] [CrossRef] [PubMed]
- Zhu, W.; Sun, Z.; Peng, J.; Huang, Y.; Li, J.; Zhang, J.; Yang, B.; Liao, X. Estimating Maize Above-Ground Biomass Using 3D Point Clouds of Multi-Source Unmanned Aerial Vehicle Data at Multi-Spatial Scales. Remote Sens. 2019, 11, 2678. [Google Scholar] [CrossRef]
- Doktor, D.; Lausch, A.; Spengler, D.; Thurner, M. Extraction of Plant Physiological Status from Hyperspectral Signatures Using Machine Learning Methods. Remote Sens. 2014, 6, 12247–12274. [Google Scholar] [CrossRef]
- Liang, D.; Guan, Q.; Huang, W.; Huang, L.; Yang, G. Remote Sensing Inversion of Leaf Area Index Based on Support Vector Machine Regression in Winter Wheat. Trans. Chin. Soc. Agric. Eng. 2013, 29, 117–123. [Google Scholar]
- Guo, J.; Zhang, J.; Xiong, S.; Zhang, Z.; Wei, Q.; Zhang, W.; Feng, W.; Ma, X. Hyperspectral Assessment of Leaf Nitrogen Accumulation for Winter Wheat Using Different Regression Modeling. Precis. Agric. 2021, 22, 1634–1658. [Google Scholar] [CrossRef]
- Rumelhart, D.E.; Hinton, G.E.; Williams, R.J. Learning Representations by Back-Propagating Errors. Nature 1986, 323, 533–536. [Google Scholar] [CrossRef]
- Ta, N.; Chang, Q.; Zhang, Y. Estimation of Apple Tree Leaf Chlorophyll Content Based on Machine Learning Methods. Remote Sens. 2021, 13, 3902. [Google Scholar] [CrossRef]
- Viscarra Rossel, R.A.; McGlynn, R.N.; McBratney, A.B. Determining the Composition of Mineral-Organic Mixes Using UV–Vis–NIR Diffuse Reflectance Spectroscopy. Geoderma 2006, 137, 70–82. [Google Scholar] [CrossRef]
- Zhang, J.; Wang, K.; Wang, R. Study on Hyperspectral Remote Sensing in Estimate Vegetation Leaf Chlorophyll Content. J. Shanghai Jiaotong Univ. 2003, 21, 74–80. [Google Scholar]
- Chen, F.-F.; Du, Z.-Y.; Liu, X.; Xie, L.; Chen, J.-S. Effect of Cucumber Mosaic Virus-Encoded 2b Protein on Photosynthesis and Chloroplast Structure of the Host Plant. Prog. Biochem. Biophys. 2007, 34, 889–896. [Google Scholar]
- Medina-Puche, L.; Tan, H.; Dogra, V.; Wu, M.; Rosas-Diaz, T.; Wang, L.; Ding, X.; Zhang, D.; Fu, X.; Kim, C.; et al. A Defense Pathway Linking Plasma Membrane and Chloroplasts and Co-Opted by Pathogens. Cell 2020, 182, 1109–1124.e25. [Google Scholar] [CrossRef] [PubMed]
- Peng, Z.; Guan, L.; Liao, Y.; Lian, S. Estimating Total Leaf Chlorophyll Content of Gannan Navel Orange Leaves Using Hyperspectral Data Based on Partial Least Squares Regression. IEEE Access 2019, 7, 155540–155551. [Google Scholar] [CrossRef]
- Sonobe, R.; Wang, Q. Towards a Universal Hyperspectral Index to Assess Chlorophyll Content in Deciduous Forests. Remote Sens. 2017, 9, 191. [Google Scholar] [CrossRef]
- Wen, P.-F.; He, J.; Ning, F.; Wang, R.; Zhang, Y.-H.; Li, J. Estimating Leaf Nitrogen Concentration Considering Unsynchronized Maize Growth Stages with Canopy Hyperspectral Technique. Ecol. Indic. 2019, 107, 105590. [Google Scholar] [CrossRef]
- Xiao, B.; Li, S.; Dou, S.; He, H.; Fu, B.; Zhang, T.; Sun, W.; Yang, Y.; Xiong, Y.; Shi, J.; et al. Comparison of Leaf Chlorophyll Content Retrieval Performance of Citrus Using FOD and CWT Methods with Field-Based Full-Spectrum Hyperspectral Reflectance Data. Comput. Electron. Agric. 2024, 217, 108559. [Google Scholar] [CrossRef]
- Shah, S.H.; Angel, Y.; Houborg, R.; Ali, S.; McCabe, M.F. A Random Forest Machine Learning Approach for the Retrieval of Leaf Chlorophyll Content in Wheat. Remote Sens. 2019, 11, 920. [Google Scholar] [CrossRef]
- Wang, R.; Tuerxun, N.; Zheng, J. Improved Estimation of SPAD Values in Walnut Leaves by Combining Spectral, Texture, and Structural Information from UAV-Based Multispectral Image. Sci. Hortic. 2024, 328, 112940. [Google Scholar] [CrossRef]
- Patel, M.K.; Ryu, D.; Western, A.W.; Suter, H.; Young, I.M. Which Multispectral Indices Robustly Measure Canopy Nitrogen across Seasons: Lessons from an Irrigated Pasture Crop. Comput. Electron. Agric. 2021, 182, 106000. [Google Scholar] [CrossRef]
- Guo, A.; Huang, W.; Ye, H.; Dong, Y.; Ma, H.; Ren, Y.; Ruan, C. Identification of Wheat Yellow Rust Using Spectral and Texture Features of Hyperspectral Images. Remote Sens. 2020, 12, 1419. [Google Scholar] [CrossRef]














| Disease Severity | Symptomatic Behavior | Sample Size |
|---|---|---|
| health | Disease free with green leaves | 30 |
| slight | Mild leaf yellowing with <20% spot area | 30 |
| moderate | Spots begin to turn yellow to some extent, 20–50% of spot area | 30 |
| severe | Yellow deepening whitening, >50% of the area of spot area | 30 |
| Sample | Minimum (μg/cm2) | Maximum (μg/cm2) | Mean (μg/cm2) | Standard Deviation | Number of Samples |
|---|---|---|---|---|---|
| Calibration set | 0.8710 | 44.6830 | 19.5287 | 9.0887 | 320 |
| Validation set | 6.7040 | 36.3190 | 19.4912 | 5.1807 | 160 |
| Total | 0.8710 | 44.6830 | 19.5162 | 7.9951 | 480 |
| Index | Formula | Reference |
|---|---|---|
| CARI (Chlorophyll Absorption Ratio Index) | [39] | |
| MCARI (Modified Chlorophyll Absorption in Reflectance Index) | [40] | |
| TCARI (Chlorophyll Absorption in Reflectance Index) | [41] | |
| MSR (Modified Simple Ratio 670,800) | [42] | |
| Datt4 | [43] | |
| OSAVI (Optimised Soil Adjusted Vegetation Index) | [44] | |
| MCARI/OSAVI | [40] | |
| TCARI/OSAVI | [40] | |
| SIPI (Structure Insensitive Pigment Index) | [45] | |
| PPR (Plant Pigment Ratio) | [46] | |
| PSSRa (Pigment Specific Simple Ratio a) | [47] | |
| PSSRb (Pigment Specific Simple Ratio b) | [47] | |
| DPI (Double Peak Index) | [48] | |
| TVI (Triangular Vegetation Index) | [49] | |
| NPCI (Normalized Pigment chlorophyll Index) | [50] | |
| PSRI (Plant Senescence Reflectance Index) | [51] | |
| CIred-edge (Red-edge Chlorophyll Index) | [52] | |
| CIgreen (Green Chlorophyll Index) | [52] | |
| RDVI (Renormalized Difference Vegetation Index) | [53] | |
| MTCI (MERIS Terrestrial Chlorophyll Index) | [18] | |
| GNDVI (Green Normalized Difference Vegetation Index) | [54] | |
| ARI (Anthocyanin Reflectance Index) | [55] | |
| RARSa (Ratio Analysis of Reflectance Spectra a) | [56] | |
| RARSb (Ratio Analysis of Reflectance Spectra b) | [56] | |
| RARSc (Ratio Analysis of Reflectance Spectra c) | [56] | |
| DD (Double Difference Index) | [57] | |
| Vog2 (Vogelmann Index 2) | [58] | |
| NDRE (Normalized Difference Red Edge Index) | [59] | |
| REIP (Red-Edge Inflection Point) | [58] | |
| PRI (Photochemical Reflectance Index) | [60] |
| Name | Function Expression | Description |
|---|---|---|
| Mean(MEA) | Describe the grayscale mean value of the grayscale matrix. | |
| Variance(VAR) | Describe the variability of grayscale values around their average. | |
| Correlation(COR) | Describe the linear relationship between pixel intensities to assess texture consistency. | |
| Angular Second Moment(ASM) | Describe the uniformity of image grayscale distribution and the coarseness of the texture. | |
| Dissimilarity(DIS) | Describe the similarity of image grayscale distribution. | |
| Homogeneity(HOM) | Describe local uniformity of image grayscale distribution. | |
| Entropy(ENT) | Describe the complexity and disorder in the grayscale matrix. | |
| Contrast(CON) | Describe the intensity levels between the central pixel and its neighbors. |
| Input Features | Model | RMSEC | R2C | RMSEv | R2v | RPDv |
|---|---|---|---|---|---|---|
| Full wavelengths | SVR | 2.1282 | 0.8483 | 2.3909 | 0.8031 | 2.2605 |
| BPNN | 2.2174 | 0.8268 | 2.4816 | 0.7879 | 2.2064 | |
| KNNR | 2.5463 | 0.8045 | 2.6833 | 0.7436 | 2.0608 | |
| OWs | SVR | 2.1054 | 0.8522 | 2.3107 | 0.8057 | 2.2675 |
| BPNN | 2.1146 | 0.8498 | 2.3116 | 0.7844 | 2.2169 | |
| KNNR | 2.4192 | 0.8149 | 2.5163 | 0.7799 | 2.1366 |
| Input Features | Model | RMSEC | R2C | RMSEv | R2v | RPDv |
|---|---|---|---|---|---|---|
| VIs | SVR | 2.1887 | 0.8478 | 2.5858 | 0.7855 | 2.1660 |
| BPNN | 2.1494 | 0.8556 | 2.4880 | 0.8014 | 2.2748 | |
| KNNR | 2.4134 | 0.8500 | 2.5827 | 0.7860 | 2.2738 | |
| Significant VIs | SVR | 2.1718 | 0.8488 | 2.1444 | 0.8532 | 2.6179 |
| BPNN | 2.0377 | 0.8603 | 2.2884 | 0.8328 | 2.4820 | |
| KNNR | 2.1249 | 0.8565 | 2.1784 | 0.8510 | 2.6077 |
| Input Features | Model | RMSEC | R2C | RMSEv | R2v | RPDv |
|---|---|---|---|---|---|---|
| Significant Base-textures | SVR | 3.6001 | 0.7116 | 3.6088 | 0.6663 | 1.7366 |
| BPNN | 3.6634 | 0.7077 | 3.7430 | 0.6410 | 1.6700 | |
| KNNR | 3.7267 | 0.6976 | 3.8706 | 0.6161 | 1.6198 | |
| NDTIs | SVR | 2.5566 | 0.7953 | 2.8092 | 0.7829 | 2.1617 |
| BPNN | 2.5196 | 0.8009 | 2.7453 | 0.7927 | 2.2032 | |
| KNNR | 2.6842 | 0.7900 | 2.9304 | 0.7638 | 2.0683 | |
| DTIs | SVR | 3.4481 | 0.7412 | 3.5180 | 0.6821 | 1.7791 |
| BPNN | 3.4946 | 0.7254 | 3.6142 | 0.6645 | 1.7273 | |
| KNNR | 3.5577 | 0.7157 | 3.8034 | 0.6466 | 1.6528 | |
| RTIs | SVR | 3.5745 | 0.7150 | 3.5363 | 0.6709 | 1.7408 |
| BPNN | 3.2226 | 0.7470 | 3.6697 | 0.6606 | 1.7186 | |
| KNNR | 3.6031 | 0.7126 | 3.8175 | 0.6401 | 1.6502 |
| Input Features | Selected Features |
|---|---|
| OWs + Base-textures | 449.58 nm, 510.17 nm, 550.95 nm, 592.04 nm, 628.25 nm, 675.15 nm, 727.72 nm, 780.78 nm, 964.77 nm, MEA, COR, ASM |
| VIs + Base-textures | PSSRb, CIred-edge, CIgreen, MTCI, GNDVI, DD, NDRE, REP, MEA, COR, CON |
| VIs + NDTIs | CIgreen, GNDVI, REP, NDRE, MTCI, DD, CIred-edge, NDTI (MEA-VAR), NDTI (MEA-ENT) |
| VIs + DTIs | CIgreen, NDRE, GNDVI, MTCI, CIred-edge, PSSRb, DD, REP, DTI (HOM-ENT) |
| VIs + RTIs | NDRE, CIgreen, GNDVI, DD, REP, MTCI, CIred-edge, RTI (VAR-HOM), RTI (VAR-ENT) |
Disclaimer/Publisher’s Note: The statements, opinions and data contained in all publications are solely those of the individual author(s) and contributor(s) and not of MDPI and/or the editor(s). MDPI and/or the editor(s) disclaim responsibility for any injury to people or property resulting from any ideas, methods, instructions or products referred to in the content. |
© 2024 by the authors. Licensee MDPI, Basel, Switzerland. This article is an open access article distributed under the terms and conditions of the Creative Commons Attribution (CC BY) license (https://creativecommons.org/licenses/by/4.0/).
Share and Cite
Song, Z.; Liu, Y.; Yu, J.; Guo, Y.; Jiang, D.; Zhang, Y.; Guo, Z.; Chang, Q. Estimation of Chlorophyll Content in Apple Leaves Infected with Mosaic Disease by Combining Spectral and Textural Information Using Hyperspectral Images. Remote Sens. 2024, 16, 2190. https://doi.org/10.3390/rs16122190
Song Z, Liu Y, Yu J, Guo Y, Jiang D, Zhang Y, Guo Z, Chang Q. Estimation of Chlorophyll Content in Apple Leaves Infected with Mosaic Disease by Combining Spectral and Textural Information Using Hyperspectral Images. Remote Sensing. 2024; 16(12):2190. https://doi.org/10.3390/rs16122190
Chicago/Turabian StyleSong, Zhenghua, Yanfu Liu, Junru Yu, Yiming Guo, Danyao Jiang, Yu Zhang, Zheng Guo, and Qingrui Chang. 2024. "Estimation of Chlorophyll Content in Apple Leaves Infected with Mosaic Disease by Combining Spectral and Textural Information Using Hyperspectral Images" Remote Sensing 16, no. 12: 2190. https://doi.org/10.3390/rs16122190
APA StyleSong, Z., Liu, Y., Yu, J., Guo, Y., Jiang, D., Zhang, Y., Guo, Z., & Chang, Q. (2024). Estimation of Chlorophyll Content in Apple Leaves Infected with Mosaic Disease by Combining Spectral and Textural Information Using Hyperspectral Images. Remote Sensing, 16(12), 2190. https://doi.org/10.3390/rs16122190

