Time Phase Selection and Accuracy Analysis for Predicting Winter Wheat Yield Based on Time Series Vegetation Index
Abstract
1. Introduction
2. Materials and Methods
2.1. Study Area
2.2. Data Sources
2.2.1. Remote Sensing Image Acquisition
2.2.2. Division of Growth Stages
2.2.3. Measured Data of Winter Wheat Yield
2.3. Methods
- (1)
- Vegetation index screening. This part comprises the comparative analysis of the correlation between five vegetation indexes and yield in the whole growth period and selection of indexes with high correlation in multiple growth periods for modeling the input parameters.
- (2)
- Model comparison. The missing original time series data and the data optimized by the two IM models are input into the RF model as parameters, and the parameter optimization method with the best prediction yield is selected for modeling by comparing and analyzing the accuracy.
- (3)
- Screening and combination comparison of winter wheat growth period. The growth period is reduced from 10 periods one by one. The vegetation index of different growth periods and combinations is input into the yield prediction model as a parameter, and the number and combination of growth periods with the best yield estimation effect are obtained by comparing and analyzing the accuracy.
- (4)
- Prediction yield mapping of winter wheat. The yield prediction results are obtained according to the combined input parameters of the optimal growth period, and the results are transformed into a yield map. Combined with the existing vector map of winter wheat planting area in the study area, the predicted yield map of winter wheat is obtained by pruning.
2.3.1. Calculation of Vegetation Index
2.3.2. Interpolation Models
- (1)
- PLI: Piecewise linear interpolation uses a linear function to interpolate between adjacent data points. Compared with more complex interpolation methods, PLI is simpler, more intuitive, easier to understand and implement, and is suitable for some data smoothing and approximate scenarios [38]. First, the given data point set is divided into several intervals. Then, in each interval of stages containing missing images, a linear function is used to connect adjacent data points to form a linear curve. The specific formula is as follows:Here, X denotes the middle day of the time phase where the image is missing, is the index value of the interpolation day, is the date of the interpolation day, is the date of the latest image before the interpolation day, is the date for the latest image after the interpolation day, and and are the index values of the day.
- (2)
- CSI: Cubic spline interpolation is a more complex interpolation method, which fits cubic polynomials between adjacent data points. Compared with PLI, CSI introduces higher-order polynomials in the fitting process to obtain smoother curves, which is more in line with the time series law of vegetation index [39]. First, the given data point set is divided into several intervals (interpolation is performed between every two dates where an image exists with an interval of 0.05), and then in each interval, the cubic polynomial is used to fit the adjacent data points to ensure that the adjacent intervals are smooth and continuous. The specific formula is as follows:where is a cubic spline function on interval , ); , , and are coefficients and need to meet the conditions of Equations (5), (6) and (7). and are the dates of the previous day and the next day to be interpolated; and are the index values of the corresponding dates; and and are the dates of the two endpoints of the whole vegetation index time series curve, respectively.
2.3.3. Random Forest
- (1)
- The 10 growth stages were deleted one by one, and the data combinations of different growth stages were exhausted. The yield model was constructed, and the time phase information was analyzed to predict the yield. Finally, 9 growth stages (10 models), 8 growth stages (45 models), 7 growth stages (120 models), 6 growth stages (210 models), 5 growth stages (252 models), 4 growth stages (210 models), 3 growth stages (120 models), 2 growth stages (45 models), and 1 growth stage (10 models) were randomly selected, with a total of 1,023 models. The accuracies of the winter wheat yield estimation model with each combination as the input parameter were compared to obtain the results of all the different situations.
- (2)
- The data were randomly divided into training and validation sets according to the ratio of 3:1. In the range from 50 to 1000, every 50 was the number of decision trees, and a prediction was made, and the number of decision trees with the best prediction effect was selected. The number of decision trees selected in the RF model was 20.
- (3)
- The RF model was established with the optimal number of decision trees, and the input parameters were trained and verified to obtain the predicted yield.
2.3.4. Evaluation of Model Accuracy
3. Results
3.1. Vegetation Index Screening
3.2. Correlation between Vegetation Index and Yield in the Study Area
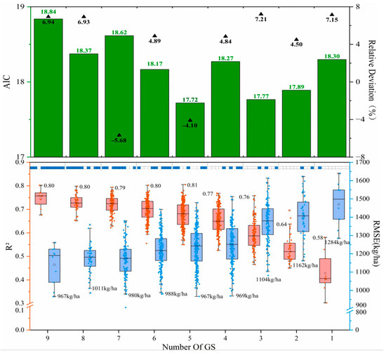
3.3. Time Phase Selection and Model Evaluation of Yield Estimation Using Remote Sensing
3.4. Production Remote Sensing Mapping and Analysis
4. Discussion
4.1. Effect of Vegetation Index Selection on Yield Estimation Model
4.2. Consideration and Influence of Data Interpolation in Yield Estimation
4.3. Analysis of the Influence of Time Phase Selection on Yield Estimation Model in Yield Prediction
5. Conclusions
Author Contributions
Funding
Data Availability Statement
Acknowledgments
Conflicts of Interest
References
- Alexandratos, N.; Bruinsma, J. World Agriculture towards 2030/2050: The 2012 Revision; FAO: Rome, Italy, 2012. [Google Scholar]
- Ray, D.K.; Mueller, N.D.; West, P.C.; Foley, J.A. Yield trends are insufficient to double global crop production by 2050. PLoS ONE 2013, 8, e66428. [Google Scholar] [CrossRef]
- FAO. The State of Food and Agriculture 2022: Transforming Agri-Food Systems with Agricultural Automation; FAO: Rome, Italy, 2022. [Google Scholar]
- Sun, J.; Lai, Z.; Di, L.; Sun, Z.; Tao, J.; Shen, Y. Multilevel deep learning network for county-level corn yield estimation in the us corn belt. IEEE J. Sel. Top. Appl. Earth Obs. Remote Sens. 2020, 13, 5048–5060. [Google Scholar] [CrossRef]
- Zhang, H.; Zhang, Y.; Liu, K.; Lan, S.; Gao, T.; Li, M. Winter wheat yield prediction using integrated Landsat 8 and Sentinel-2 vegetation index time-series data and machine learning algorithms. Comput. Electron. Agric. 2023, 213, 108250. [Google Scholar] [CrossRef]
- Chen, P.; Li, Y.; Liu, X.; Tian, Y.; Zhu, Y.; Cao, W.; Cao, Q. Improving yield prediction based on spatio-temporal deep learning approaches for winter wheat: A case study in Jiangsu Province, China. Comput. Electron. Agric. 2023, 213, 108201. [Google Scholar] [CrossRef]
- Paudel, D.; Boogaard, H.; de Wit, A.; Janssen, S.; Osinga, S.; Pylianidis, C.; Athanasiadis, I.N. Machine learning for large-scale crop yield forecasting. Agric. Syst. 2021, 187, 103016. [Google Scholar] [CrossRef]
- Zhao, Y.; Potgieter, A.B.; Zhang, M.; Wu, B.; Hammer, G.L. Predicting wheat yield at the field scale by combining high-resolution Sentinel-2 satellite imagery and crop modelling. Remote Sens. 2020, 12, 1024. [Google Scholar] [CrossRef]
- Liakos, K.G.; Busato, P.; Moshou, D.; Pearson, S.; Bochtis, D. Machine learning in Agriculture: A review. Sensors 2018, 18, 2674. [Google Scholar] [CrossRef]
- Zhou, W.; Liu, Y.; Ata-Ul-Karim, S.T.; Ge, Q.; Li, X.; Xiao, J. Integrating climate and satellite Remote Sensing data for predicting county-level wheat yield in China using machine learning methods. Int. J. Appl. Earth Obs. Geoinf. 2022, 111, 102861. [Google Scholar] [CrossRef]
- Manivasagam, V.S.; Rozenstein, O. Practices for upscaling crop simulation models from field scale to large regions. Comput. Electron. Agric. 2020, 175, 105554. [Google Scholar] [CrossRef]
- Jeong, J.H.; Resop, J.P.; Mueller, N.D.; Fleisher, D.H.; Yun, K.; Butler, E.E.; Timlin, D.J.; Shim, K.-M.; Gerber, J.S.; Reddy, V.R.; et al. Random forests for global and regional crop yield predictions. PLoS ONE 2016, 11, e0156571. [Google Scholar] [CrossRef]
- Wang, J.; Wang, P.; Tian, H.; Tansey, K.; Liu, J.; Quan, W. A deep learning framework combining CNN and GRU for improving wheat yield estimates using time series remotely sensed multi-variables. Comput. Electron. Agric. 2023, 206, 107705. [Google Scholar] [CrossRef]
- Gómez, D.; Salvador, P.; Sanz, J.; Casanova, J.L. Modelling wheat yield with antecedent information, satellite and climate data using machine learning methods in Mexico. Agric. For. Meteorol. 2021, 300, 108317. [Google Scholar] [CrossRef]
- Breiman, L. Random forests. Mach. Learn. 2001, 45, 5–32. [Google Scholar] [CrossRef]
- Sun, Y.; Zhang, S.; Tao, F.; Aboelenein, R.; Amer, A. Improving Winter Wheat Yield Forecasting Based on Multi-Source Data and Machine Learning. Agriculture 2022, 12, 571. [Google Scholar] [CrossRef]
- Han, S.; Zhao, Y.; Cheng, J.; Zhao, F.; Yang, H.; Feng, H.; Li, Z.; Ma, X.; Zhao, C.; Yang, G. Monitoring key wheat growth variables by integrating phenology and UAV multispectral imagery data into random forest model. Remote Sens. 2022, 14, 3723. [Google Scholar] [CrossRef]
- Fieuzal, R.; Bustillo, V.; Collado, D.; Dedieu, G. Combined use of multi-temporal Landsat-8 and Sentinel-2 images for wheat yield estimates at the intra-plot spatial scale. Agronomy 2020, 10, 327. [Google Scholar] [CrossRef]
- Li, Z.; Taylor, J.; Yang, H.; Casa, R.; Jin, X.; Li, Z.; Song, X.; Yang, G. A hierarchical interannual wheat yield and grain protein prediction model using spectral vegetative indices and meteorological data. Field Crops Res. 2020, 248, 107711. [Google Scholar] [CrossRef]
- Segarra, J.; Araus, J.L.; Kefauver, S.C. Farming and Earth Observation: Sentinel-2 data to estimate within-field wheat grain yield. Int. J. Appl. Earth Obs. Geoinf. 2022, 107, 102697. [Google Scholar] [CrossRef]
- Wang, L.; Tian, Y.; Yao, X.; Zhu, Y.; Cao, W. Predicting grain yield and protein content in wheat by fusing multi-sensor and multi-temporal remote-sensing images. Field Crops Res. 2014, 164, 178–188. [Google Scholar] [CrossRef]
- Fu, Y.; Huang, J.; Shen, Y.; Liu, S.; Huang, Y.; Dong, J.; Han, W.; Ye, T.; Zhao, W.; Yuan, W. A satellite-based method for national winter wheat yield estimating in China. Remote Sens. 2021, 13, 4680. [Google Scholar] [CrossRef]
- Jin, H.; Xu, W.; Li, A.; Xie, X.; Zhang, Z.; Xia, H. Spatially and Temporally Continuous Leaf Area Index Mapping for Crops through Assimilation of Multi-resolution Satellite Data. Remote Sens. 2019, 11, 2517. [Google Scholar] [CrossRef]
- Soltani, A.; Holger, M.; Peter, D.V. Assessing linear interpolation to generate daily radiation and temperature data for use in crop simulations. Eur. J. Agron. 2004, 21, 133–148. [Google Scholar] [CrossRef]
- Wu, S.; Yang, P.; Ren, J.; Chen, Z.; Li, H. Regional winter wheat yield estimation based on the WOFOST model and a novel VW-4DEnSRF assimilation algorithm. Remote Sens. Environ. 2021, 255, 112276. [Google Scholar] [CrossRef]
- Li, X.; Zhu, W.; Xie, Z.; Zhan, P.; Huang, X.; Sun, L.; Duan, Z. Assessing the effects of time interpolation of NDVI composites on phenology trend estimation. Remote Sens. 2021, 13, 5018. [Google Scholar] [CrossRef]
- Vannoppen, A.; Gobin, A. Estimating Farm Wheat Yields from NDVI and Meteorological Data. Agronomy 2021, 11, 946. [Google Scholar] [CrossRef]
- Nagy, A.; Szabó, A.; Adeniyi, O.D.; Tamás, J. Wheat yield forecasting for the Tisza River catchment using landsat 8 NDVI and SAVI time series and reported crop statistics. Agronomy 2021, 11, 652. [Google Scholar] [CrossRef]
- Yunus, K.; Polat, N.A. linear approach for wheat yield prediction by using different spectral vegetation indices. Int. J. Eng. Geosci. 2023, 8, 52–62. [Google Scholar]
- Kouadio, L.; Newlands, N.K.; Davidson, A.; Zhang, Y.; Chipanshi, A. Assessing the performance of MODIS NDVI and EVI for seasonal crop yield forecasting at the ecodistrict scale. Remote Sens. 2014, 6, 10193–10214. [Google Scholar] [CrossRef]
- Wang, Q.; Moreno-Martínez, Á.; Muñoz-Marí, J.; Campos-Taberner, M.; Camps-Valls, G. Estimation of vegetation traits with kernel NDVI. ISPRS J. Photogramm. Remote Sens. 2023, 195, 408–417. [Google Scholar] [CrossRef]
- Rouse, J.W.; Haas, R.H.; Schell, J.A.; Deering, D.M. Monitoring vegetation systems in the Great Plains with ERTS. NASA Spec. Publ. 1974, 351, 309. [Google Scholar]
- Huete, A.R. A soil-adjusted vegetation index (SAVI). Remote Sens. Environ. 1988, 25, 295–309. [Google Scholar] [CrossRef]
- Qi, J.; Chehbouni, A.; Huete, A.R.; Kerr, Y.H.; Sorooshian, S. A modified soil adjusted vegetation index. Remote Sens. Environ. 1994, 48, 119–126. [Google Scholar] [CrossRef]
- Huete, A.; Didan, K.; Miura, T.; Rodriguez, E.P.; Gao, X.; Ferreira, L.G. Overview of the radiometric and biophysical performance of the MODIS vegetation indices. Remote Sens. Environ. 2002, 83, 195–213. [Google Scholar] [CrossRef]
- Camps-Valls, G.; Campos-Taberner, M.; Moreno-Martínez, A.; Walther, S.; Duveiller, G.; Cescatti, A.; Mahecha, M.D.; Muñoz-Marí, J.; García-Haro, F.J.; Guanter, L.; et al. A unified vegetation index for quantifying the terrestrial biosphere. Sci. Adv. 2021, 7, eabc7447. [Google Scholar] [CrossRef]
- Oh, C.; Han, S.; Jeong, J. Time-series data augmentation based on interpolation. Procedia Comput. Sci. 2020, 175, 64–71. [Google Scholar] [CrossRef]
- Kodama, K.M.; Kourkchi, E.; Longman, R.J.; Lucas, M.P.; Bateni, S.M.; Huang, Y.F.; Kagawa-Viviani, A.; Mclean, J.; Cleveland, S.B.; Giambelluca, T.W. Mapping Daily Air Temperature Over the Hawaiian Islands From 1990 to 2021 via an Optimized Piecewise Linear Regression Technique. Earth Space Sci. 2024, 11, e2023EA002851. [Google Scholar] [CrossRef]
- Wu, Y.H.; Hung, M.C.; Patton, J. Assessment and visualization of spatial interpolation of soil pH values in farmland. Precis. Agric. 2013, 14, 565–585. [Google Scholar] [CrossRef]
- Wang, L.; Zhou, X.; Zhu, X.; Dong, Z.; Guo, W. Estimation of biomass in wheat using random forest regression algorithm and Remote Sensing data. Crop J. 2016, 4, 212–219. [Google Scholar] [CrossRef]
- Everingham, Y.; Sexton, J.; Skocaj, D.; Inman-Bamber, G. Accurate prediction of sugarcane yield using a random forest algorithm. Agron. Sustain. Dev. 2016, 36, 27. [Google Scholar] [CrossRef]
- Wang, X.; Huang, J.; Feng, Q.; Yin, D. Winter wheat yield prediction at county level and uncertainty analysis in main wheat-producing regions of China with deep learning approaches. Remote Sens. 2020, 12, 1744. [Google Scholar] [CrossRef]
- Han, J.; Zhang, Z.; Cao, J.; Luo, Y.; Zhang, L.; Li, Z.; Zhang, J. Prediction of winter wheat yield based on multi-source data and machine learning in China. Remote Sens. 2020, 12, 236. [Google Scholar] [CrossRef]
- Naqvi, S.; Tahir, M.N.; Shah, G.A.; Sattar, R.S.; Awais, M. Remote estimation of wheat yield based on vegetation indices derived from time series data of Landsat 8 imagery. Appl. Ecol. Environ. Res. 2019, 17, 3909–3925. [Google Scholar] [CrossRef]
- Agapiou, A.; Hadjimitsis, D.G.; Alexakis, D.D. Evaluation of broadband and narrowband vegetation indices for the identification of archaeological crop marks. Remote Sens. 2012, 4, 3892–3919. [Google Scholar] [CrossRef]
- Son, N.; Chen, C.; Minh, V.; Trung, N. A comparative analysis of multitemporal MODIS EVI and NDVI data for large-scale rice yield estimation. Agric. For. Meteorol. 2014, 197, 52–64. [Google Scholar] [CrossRef]
- Jin, X.; Li, Z.; Feng, H.; Ren, Z.; Li, S. Estimation of maize yield by assimilating biomass and canopy cover derived from hyperspectral data into the AquaCrop model. Agric. Water Manag. 2020, 227, 105846. [Google Scholar] [CrossRef]
- Jin, X.; Li, Z.; Yang, G.; Yang, H.; Feng, H.; Xu, X.; Wang, J.; Li, X.; Luo, J. Winter wheat yield estimation based on multi-source medium resolution optical and radar imaging data and the AquaCrop model using the particle swarm optimization algorithm. ISPRS J. Photogramm. Remote Sens. 2017, 126, 24–37. [Google Scholar] [CrossRef]
- Lv, Z.; Liu, X.; Cao, W.; Zhu, Y. A model-based estimate of regional wheat yield gaps and water use efficiency in main winter wheat production regions of China. Sci. Rep. 2017, 7, 6081. [Google Scholar] [CrossRef]
- Evans, F.H.; Shen, J. Long-term hindcasts of wheat yield in fields using remotely sensed phenology, climate data and machine learning. Remote Sens. 2021, 13, 2435. [Google Scholar] [CrossRef]
- Ben-Ari, T.; Adrian, J.; Klein, T.; Calanca, P.; Van der Velde, M.; Makowski, D. Identifying indicators for extreme wheat and maize yield losses. Agric. For. Meteorol. 2016, 220, 130–140. [Google Scholar] [CrossRef]
- Eyre, R.; Lindsay, J.; Laamrani, A.; Berg, A. Within-Field Yield Prediction in Cereal Crops Using LiDAR-Derived Topographic Attributes with Geographically Weighted Regression Models. Remote Sens. 2021, 13, 4152. [Google Scholar] [CrossRef]
- Mo, X.; Liu, S.; Lin, Z.; Xu, Y.; Xiang, Y.; McVicar, T. Prediction of crop yield, water consumption and water use efficiency with a SVAT-crop growth model using remotely sensed data on the North China Plain. Ecol. Model. 2005, 183, 301–322. [Google Scholar] [CrossRef]
- Van, W.J.; Grassini, P.; Cassman, K.G. Impact of derived global weather data on simulated crop yields. Glob. Change Biol. 2013, 19, 3822–3834. [Google Scholar]
- Lv, Z.; Liu, X.; Cao, W.; Zhu, Y. Climate change impacts on regional winter wheat production in main wheat production regions of China. Agric. For. Meteorol. 2013, 171–172, 234–248. [Google Scholar] [CrossRef]
- Raun, W.R.; Solie, J.B.; Johnson, G.V.; Stone, M.L.; Lukina, E.V.; Thomason, W.E.; Schepers, J.S. In-season prediction of potential grain yield in winter wheat using canopy reflectance. Agron. J. 2001, 93, 131–138. [Google Scholar] [CrossRef]
- Ren, Y.; Li, Q.; Du, X.; Zhang, Y.; Wang, H.; Shi, G.; Wei, M. Analysis of corn yield prediction potential at various growth phases using a process-based model and deep learning. Plants 2023, 12, 446. [Google Scholar] [CrossRef] [PubMed]
- Yu, H.; Zhang, Q.; Sun, P.; Song, C. Impact of droughts on winter wheat yield in different growth stages during 2001–2016 in Eastern China. Int. J. Disaster Risk Sci. 2018, 9, 376–391. [Google Scholar] [CrossRef]
- Özdoğan, M. Modeling the impacts of climate change on wheat yields in Northwestern Turkey. Agric. Ecosyst. Environ. 2011, 141, 1–12. [Google Scholar] [CrossRef]
- Zhang, Y.; Qin, Q.; Ren, H.; Sun, Y.; Li, M.; Zhang, T.; Ren, S. Optimal hyperspectral characteristics determination for winter wheat yield prediction. Remote Sens. 2018, 10, 2015. [Google Scholar] [CrossRef]
- Deng, Q.; Wu, M.; Zhang, H.; Cui, Y.; Li, M.; Zhang, Y. Winter Wheat Yield Estimation Based on Optimal Weighted Vegetation Index and BHT-ARIMA Model. Remote Sens. 2022, 14, 1994. [Google Scholar] [CrossRef]
- Zhou, X.; Zheng, H.B.; Xu, X.Q.; He, J.Y.; Ge, X.K.; Yao, X.; Cheng, T.; Zhu, Y.; Cao, W.X.; Tian, Y.C. Predicting grain yield in rice using multi-temporal vegetation indices from UAV-based multispectral and digital imagery. ISPRS J. Photogramm. Remote Sens. 2017, 130, 246–255. [Google Scholar] [CrossRef]
- Li, Z.; Fan, C.; Zhao, Y.; Jin, X.; Casa, R.; Huang, W.; Song, X.; Blasch, G.; Yang, G.; Taylor, J.; et al. Remote sensing of quality traits in cereal and arable production systems: A review. The Crop J. 2024, 12, 45–57. [Google Scholar] [CrossRef]
- Yang, S.; Hu, L.; Wu, H.; Ren, H.; Qiao, H.; Li, P.; Fan, W. Integration of crop growth model and random forest for winter wheat yield estimation from UAV hyperspectral imagery. IEEE J. Sel. Top. Appl. Earth Obs. Remote Sens. 2021, 14, 6253–6269. [Google Scholar] [CrossRef]








| Bands (B#) | Central Wavelength (nm) | Spatial Resolution (m) |
|---|---|---|
| B02—Blue | 496.6 (S2A)/492.1 (S2B) | 10 |
| B03—Green | 560.0 (S2A)/559.0 (S2B) | 10 |
| B04—Red | 664.5 (S2A)/665.0 (S2B) | 10 |
| B06—Red-edge | 740.2 (S2A)/739.1 (S2B) | 10 |
| B08—Nir | 835.1 (S2A)/833.0 (S2B) | 10 |
| Vegetation Index | Calculation Formula | Reference |
|---|---|---|
| NDVI | [32] | |
| SAVI | [33] | |
| MSAVI | [34] | |
| EVI | [35] | |
| kNDVI | [36] |
Disclaimer/Publisher’s Note: The statements, opinions and data contained in all publications are solely those of the individual author(s) and contributor(s) and not of MDPI and/or the editor(s). MDPI and/or the editor(s) disclaim responsibility for any injury to people or property resulting from any ideas, methods, instructions or products referred to in the content. |
© 2024 by the authors. Licensee MDPI, Basel, Switzerland. This article is an open access article distributed under the terms and conditions of the Creative Commons Attribution (CC BY) license (https://creativecommons.org/licenses/by/4.0/).
Share and Cite
Wang, Z.; Zhang, C.; Gao, L.; Fan, C.; Xu, X.; Zhang, F.; Zhou, Y.; Niu, F.; Li, Z. Time Phase Selection and Accuracy Analysis for Predicting Winter Wheat Yield Based on Time Series Vegetation Index. Remote Sens. 2024, 16, 1995. https://doi.org/10.3390/rs16111995
Wang Z, Zhang C, Gao L, Fan C, Xu X, Zhang F, Zhou Y, Niu F, Li Z. Time Phase Selection and Accuracy Analysis for Predicting Winter Wheat Yield Based on Time Series Vegetation Index. Remote Sensing. 2024; 16(11):1995. https://doi.org/10.3390/rs16111995
Chicago/Turabian StyleWang, Ziwen, Chuanmao Zhang, Lixin Gao, Chengzhi Fan, Xuexin Xu, Fangzhao Zhang, Yiming Zhou, Fangpeng Niu, and Zhenhai Li. 2024. "Time Phase Selection and Accuracy Analysis for Predicting Winter Wheat Yield Based on Time Series Vegetation Index" Remote Sensing 16, no. 11: 1995. https://doi.org/10.3390/rs16111995
APA StyleWang, Z., Zhang, C., Gao, L., Fan, C., Xu, X., Zhang, F., Zhou, Y., Niu, F., & Li, Z. (2024). Time Phase Selection and Accuracy Analysis for Predicting Winter Wheat Yield Based on Time Series Vegetation Index. Remote Sensing, 16(11), 1995. https://doi.org/10.3390/rs16111995

