Study on the Spatial and Temporal Trends of Ecological Environment Quality and Influencing Factors in Xinjiang Oasis
Abstract
1. Introduction
2. Materials and Methods
2.1. Study Area
2.2. Data Sources
2.3. Methodology
2.3.1. RSEI Model Construction
2.3.2. Coefficient of Variation
2.3.3. Trend Analysis Method
2.3.4. Hurst Index
2.3.5. Pearson’s Correlation Coefficient Method
2.3.6. Geodetector
3. Results
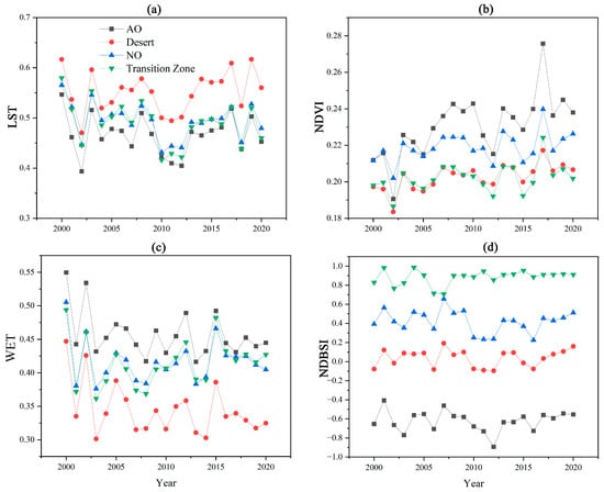
3.1. Characteristics of Spatial and Temporal Changes in Ecological Quality in Oases
3.2. Analysis of Ecological Stability and Future Sustainability of Oases
3.3. Evaluation of Oasis Ecosystem Quality Models and Analysis of Driving Factors
3.3.1. Evaluation and Prediction of Oasis Ecosystem Quality Models
3.3.2. Oasis Ecosystem Quality Drivers
3.3.3. Analysis of Drivers of Ecological Environment Quality Change
3.3.4. Seasonal Correlation between Changes in Ecosystem Quality and Indicators
4. Discussion
4.1. Patial and Temporal Variations in the Ecological Quality of Oases
4.2. Oasis Ecosystem Quality Drivers
4.3. Research Limitations and Outlook
5. Conclusions
- The spatial distribution of ecological environmental quality in the oasis region of Xinjiang shows obvious differentiation and aggregation, and the overall distribution of the RSEI is high in the north and low in the south. The ecological environmental quality shows a fluctuating downward trend from 2000 to 2020, decreasing from 0.210 to 0.189. The ecological environmental quality of AO is greater than the mean value of 0.112 for NO.
- Based on the coefficient of variation, the Hurst index, and trend analyses, the stability of ecological environment quality in the Xinjiang oasis from 2001 to 2020 is high. The continuous decline of the ecological environment is the main type, mostly distributed in the periphery of the oasis. AO is better than NO in terms of greenness, stability, and sustainability, and the continuous increase in the ecological environment area is mostly concentrated in the distribution range of AO.
- Correlation analyses showed that NDVI and WET were positive indicators, while NDBSI and LST were negative indicators, and the positive feedback provided by the continuous decrease in WET and the increase in NDVI could not offset the negative feedback brought by the increase in LST and NDBSI, which was an important reason for the decline in the ecological quality of the oasis in Xinjiang.
- The top three highest contributors based on geodetectors were found to be PRE (0.83) > RHU (0.82) > ET (0.57), with climate being the main factor influencing the ecological quality of oases, and the overall ecological quality of oases can be appropriately improved by increasing the proportion of artificial oases.
Author Contributions
Funding
Data Availability Statement
Acknowledgments
Conflicts of Interest
References
- Zhang, H.; Wu, H.W.; Zheng, Q.H.; Yu, Y.H. A preliminary study of oasis evolution in the Tarim Basin, Xinjiang, China. J. Arid. Environ. 2003, 55, 545–553. [Google Scholar] [CrossRef]
- Fang, Y.; Wang, X.; Cheng, Y.; Wang, Z. Oasis Change Characteristics and Influencing Factors in the Shiyang River Basin, China. Sustainability 2022, 14, 14354. [Google Scholar] [CrossRef]
- Liu, X.R.; Shen, Y.J. Quantification of the impacts of climate change and human agricultural activities on oasis water requirements in an arid region: A case study of the Heihe River basin, China. Earth Syst. Dyn. 2018, 9, 211–225. [Google Scholar] [CrossRef]
- Song, W.; Zhang, Y. Expansion of agricultural oasis in the Heihe River Basin of China: Patterns, reasons and policy implications. Phys. Chem. Earth 2015, 89–90, 46–55. [Google Scholar] [CrossRef]
- Zhang, J.; Zhang, P.; Gu, X.; Deng, M.; Lai, X.; Long, A.; Deng, X. Analysis of Spatio-Temporal Pattern Changes and Driving Forces of Xinjiang Plain Oases Based on Geodetector. Land 2023, 12, 1508. [Google Scholar] [CrossRef]
- Xie, Y.C.; Gong, J.; Sun, P.; Gou, X.H. Oasis dynamics change and its influence on landscape pattern on Jinta oasis in arid China from 1963a to 2010a: Integration of multi-source satellite images. Int. J. Appl. Earth Obs. Geoinf. 2014, 33, 181–191. [Google Scholar] [CrossRef]
- Liu, L.; Xue, J.; Mao, D.L.; Chang, J.J.; Wang, S.K.; Li, X.X. An integrative socio-hydrological resilience assessment and management implications for oasis sustainability in arid regions, Northwest China. J. Hydrol. Reg. Stud. 2023, 47, 101389. [Google Scholar] [CrossRef]
- Li, X.Y.; Xiao, D.N.; He, X.Y.; Chen, W.; Song, D.M. Factors associated with farmland area changes in arid regions: A case study of the Shiyang River basin, northwestern China. Front. Ecol. Environ. 2007, 5, 139–144. [Google Scholar] [CrossRef]
- Yang, Q.; Lei, J.Q.; Wei, W.S.; Zhao, J.F.; Gao, W. Study on the effects of artificial oases to the climate change trend. In Proceedings of the Conference on Remote Sensing and Modeling of Ecosystems for Sustainability, Denver, CO, USA, 2–4 August 2004; pp. 455–465. [Google Scholar]
- Xu, H. A remote sensing urban ecological index and its application. Acta Ecol. Sin. 2013, 33, 7853–7862. [Google Scholar]
- Zheng, Z.H.; Wu, Z.F.; Chen, Y.B.; Guo, C.; Marinello, F. Instability of remote sensing based ecological index (RSEI) and its improvement for time series analysis. Sci. Total Environ. 2022, 814, 152595. [Google Scholar] [CrossRef]
- Liu, X.; Guo, P.; Qi, J.; Du, W.; Zhang, R.; Zhang, K. Spatio-temporal changes and driving forces in the ecological environment of Altay City determined using an MRSEI model. Arid Zone Res. 2023, 40, 1014–1026. [Google Scholar]
- Huang, S.; Li, Y.; Hu, H.; Xue, P.; Wang, J. Assessment of optimal seasonal selection for RSEI construction: A case study of ecological environment quality assessment in the Beijing-Tianjin-Hebei region from 2001 to 2020. Geocarto Int. 2024, 39, 2311224. [Google Scholar] [CrossRef]
- Xue, H.; Liu, P. Spatiotemporal Variation of Ecological Environmental Quality and Its Response to Different Driving Factors in the Section of Yellow River Basin in Recent 31 YearsTaking Yan′an City as an Example. Res. Soil Water Conserv. 2024, 31, 373–384. [Google Scholar]
- Wang, Y.; Xu, Y.; Yang, J.; Chen, Y.; Wei, J.; Zhou, J.; Zhang, W.; Cheng, W. Dynamic monitoring and spatio-temporal pattern evolution analysis of ecoenvironmental quality in Chongqing based on remote sensing. Acta Ecol. Sin. 2023, 43, 6278–6292. [Google Scholar]
- Ariken, M.; Zhang, F.; Liu, K.; Fang, C.L.; Kung, H.T. Coupling coordination analysis of urbanization and eco-environment in Yanqi Basin based on multi-source remote sensing data. Ecol. Indic. 2020, 114, 106331. [Google Scholar] [CrossRef]
- Aizizi, Y.; Kasimu, A.; Liang, H.W.; Zhang, X.L.; Zhao, Y.Y.; Wei, B.H. Evaluation of ecological space and ecological quality changes in urban agglomeration on the northern slope of the Tianshan Mountains. Ecol. Indic. 2023, 146, 109896. [Google Scholar] [CrossRef]
- Lv, Y.; Xiu, L.A.; Yao, X.J.; Yu, Z.P.; Huang, X.Y. Spatiotemporal evolution and driving factors analysis of the eco-quality in the Lanxi urban agglomeration. Ecol. Indic. 2023, 156, 111114. [Google Scholar] [CrossRef]
- Wu, S.P.; Gao, X.; Lei, J.Q.; Zhou, N.; Guo, Z.K.; Shang, B.J. Ecological environment quality evaluation of the Sahel region in Africa based on remote sensing ecological index. J. Arid Land 2022, 14, 14–33. [Google Scholar] [CrossRef]
- Wen, X.L.; Ming, Y.L.; Gao, Y.G.; Hu, X.Y. Dynamic Monitoring and Analysis of Ecological Quality of Pingtan Comprehensive Experimental Zone, a New Type of Sea Island City, Based on RSEI. Sustainability 2020, 12, 21. [Google Scholar] [CrossRef]
- Xiong, Y.; Xu, W.H.; Lu, N.; Huang, S.D.; Wu, C.; Wang, L.G.; Dai, F.; Kou, W.L. Assessment of spatial–temporal changes of ecological environment quality based on RSEI and GEE: A case study in Erhai Lake Basin, Yunnan province, China. Ecol. Indic. 2021, 125, 107518. [Google Scholar] [CrossRef]
- Jiang, F.; Zhang, Y.Q.; Li, J.Y.; Sun, Z.Y. Research on remote sensing ecological environmental assessment method optimized by regional scale. Environ. Sci. Pollut. Res. 2021, 28, 68174–68187. [Google Scholar] [CrossRef] [PubMed]
- Geng, J.W.; Yu, K.Y.; Xie, Z.; Zhao, G.J.; Ai, J.W.; Yang, L.Q.; Yang, H.H.; Liu, J. Analysis of Spatiotemporal Variation and Drivers of Ecological Quality in Fuzhou Based on RSEI. Remote Sens. 2022, 14, 4900. [Google Scholar] [CrossRef]
- Huang, H.; Xue, J.; Feng, X.; Zhao, J.; Sun, H.; Hu, Y.; Ma, Y. Thriving arid oasis urban agglomerations: Optimizing ecosystem services pattern under future climate change scenarios using dynamic Bayesian network. J. Environ. Manag. 2024, 350, 119612. [Google Scholar] [CrossRef] [PubMed]
- Huang, R.; Chen, X.; Hu, Q.; Jiang, S.; Dong, J. Impacts of altitudinal ecohydrological dynamic changes on water balance under warming climate in a watershed of the Qilian Mountains, China. Sci. Total Environ. 2024, 908, 168070. [Google Scholar] [CrossRef]
- Zhang, J.; Qin, Y.; Zhang, Y.; Lu, X.; Cao, J. Comparative Assessment of the Spatiotemporal Dynamics and Driving Forces of Natural and Constructed Wetlands in Arid and Semiarid Areas of Northern China. Land 2023, 12, 1980. [Google Scholar] [CrossRef]
- Wang, L.; Jiao, L.; Lai, F.; Zhang, N. Evaluation of ecological changes based on a remote sensing ecological index in a Manas Lake wetland, Xinjiang. Acta Ecol. Sin. 2019, 39, 2963–2972. [Google Scholar]
- Chen, L.; Liu, P.; Hua, Y. Comprehensive Evaluation of Ecological Quality and its Factors Analysis in the Shule River Basin Based on RSEI. Chin. J. Soil Sci. 2021, 52, 25–33. [Google Scholar]
- Zhang, G.; Nie, Z.; Cui, H.; Wang, Q.; Yan, M.; Tian, Y.; Wang, J. Main causes and mechanism for the natural oasis degeneration in the lower reaches of northwest inland basins. Hydrogeol. Eng. Geol. 2022, 49, 1–11. [Google Scholar]
- Yang, Y.; Liu, Y.; Dong, W.; Li, L. Spatio-temporal variation analysis of urbanization and land use benefit of oasis urban areas in Xinjiang. Acta Ecol. Sin. 2011, 31, 6568–6578. [Google Scholar]
- Pan, G.; Shen, T.; Ma, X.; Qiao, X. Effects of human activities and natural factors on ecological environment of the Hailiutu river basin. J. Arid Land Resour. Environ. 2017, 31, 67–72. [Google Scholar]
- Chen, C.; Wu, Y.; Wang, J.; Zhao, X.; Zhao, L. Artificial and natural oasis mutual converting process and the proper ration in the middle reaches of Tarim River basin. J. Water Resour. Water Eng. 2017, 28, 42–47. [Google Scholar]
- Zheng, Z.; Ma, Z.; Li, M.; Xia, J. Regional water budgets and hydroclimatic trend variations in Xinjiang from 1951 to 2000. Clim. Chang. 2017, 144, 447–460. [Google Scholar] [CrossRef]
- Lobser, S.E.; Cohen, W.B. MODIS tasselled cap: Land cover characteristics expressed through transformed MODIS data. Int. J. Remote Sens. 2007, 28, 5079–5101. [Google Scholar] [CrossRef]
- Hu, X.; Xu, H. A new remote sensing index for assessing the spatial heterogeneity in urban ecological quality: A case from Fuzhou City, China. Ecol. Indic. 2018, 89, 11–21. [Google Scholar] [CrossRef]
- Liao, Y.; Wu, G.; Zhang, Z. Multi-Scale Remote Sensing Assessment of Ecological Environment Quality and Its Driving Factors in Watersheds: A Case Study of Huashan Creek Watershed in China. Remote Sens. 2023, 15, 5633. [Google Scholar] [CrossRef]
- Liu, C.; Zhang, X.; Wang, T.; Chen, G.; Zhu, K.; Wang, Q.; Wang, J. Detection of vegetation coverage changes in the Yellow River Basin from 2003 to 2020. Ecol. Indic. 2022, 138, 108818. [Google Scholar] [CrossRef]
- Li, Y.; Pan, X.; Wang, C.; Liu, Y.; Zhao, Q. Changes of vegetation net primary productivity and its driving factors from 2000 to 2011 in Guangxi, China. Acta Ecol. Sin. 2014, 34, 5220–5228. [Google Scholar]
- Lei, X.; Xie, P.; Wu, Z.Y.; Sang, Y.F.; Zhao, J.Y.; Li, B.B. Hydrologic variability and sensitivity based on Hurst coefficient and Bartels statistic. Ying Yong Sheng Tai Xue Bao J. Appl. Ecol. 2018, 29, 1051–1060. [Google Scholar] [CrossRef]
- Deng, X.; Liu, Y.; Gao, F.; Liao, S.; Zhou, F.; Cai, G. Spatial Distribution and Mechanism of Urban Occupation Mixture in Guangzhou: An Optimized GeoDetector-Based Index to Compare Individual and Interactive Effects. ISPRS Int. J. Geo-Inf. 2021, 10, 659. [Google Scholar] [CrossRef]
- Sawut, R.; Abliz, A.; Li, H.; Kasim, N.; Li, X. Dynamic Monitoring and Analysis of Ecological Environment in Fukang City Based on RSEI Model. Res. Soil Water Conserv. 2020, 27, 283–289, 297. [Google Scholar]
- Chen, M.; Feng, D.; Zhang, S.; Jiang, Y.; Zhang, X. Dynamic monitoring and prediction of eco-environmental quality in Yining City based on RSEI and ANN-CA-Markov model. Arid Land Geogr. 2023, 46, 911–921. [Google Scholar]
- Wang, J.; Ding, J.; Ge, X.; Qin, S.; Zhang, Z. Assessment of ecological quality in Northwest China (2000–2020) using the Google Earth Engine platform: Climate factors and land use/land cover contribute to ecological quality. J. Arid Land 2022, 14, 1196–1211. [Google Scholar] [CrossRef]
- Luo, W.; Wang, F.; Rong, M. Dynamic evolution of ecological-economic-social system coupling coordination in national key ecological function areas: Take the Altay region of Xinjiang as an example. Acta Ecol. Sin. 2022, 42, 4729–4741. [Google Scholar]
- Xia, N.; Hai, W.; Tang, M.; Song, J.; Quan, W.; Zhang, B.; Ma, Y. Spatiotemporal evolution law and driving mechanism of production-living-ecological space from 2000 to 2020 in Xinjiang, China. Ecol. Indic. 2023, 154, 110807. [Google Scholar] [CrossRef]
- Yao, J.; Mao, W.; Chen, J.; Dilinuer, T. Signal and impact of wet-to-dry shift over Xinjiang, China. Acta Geogr. Sin. 2021, 76, 57–72. [Google Scholar]
- Aizizi, Y.; Kasimu, A.; Liang, H.; Zhang, X.; Wei, B.; Zhao, Y.; Ainiwaer, M. Evaluation of Ecological Quality Status and Changing Trend in Arid Land Based on the Remote Sensing Ecological Index: A Case Study in Xinjiang, China. Forests 2023, 14, 1830. [Google Scholar] [CrossRef]
- Cui, R.; Han, J.; Hu, Z. Assessment of Spatial Temporal Changes of Ecological Environment Quality: A Case Study in Huaibei City, China. Land 2022, 11, 944. [Google Scholar] [CrossRef]
- Cheng, Y.; Song, W.; Yu, H.; Wei, X.; Sheng, S.; Liu, B.; Gao, H.; Li, J.; Cao, C.; Yang, D. Assessment and Prediction of Landscape Ecological Risk from Land Use Change in Xinjiang, China. Land 2023, 12, 895. [Google Scholar] [CrossRef]
- Li, T.-T.; Ma, C.; Guo, Z.-C. Ecological quality evaluation and influencing factors analysis of Helan Mountain based on RSEI. Shengtaixue Zazhi 2021, 40, 1154–1165. [Google Scholar]
- Fang, C.; Zhu, R.; Lu, R.; Chen, Z.; Wang, L.; Shan, J.A.; Yin, Z. Analysis of Vegetation Cover Change Characteristics and Influencing Factors in the Shiyang River basin based on GEE. Remote Sens. Technol. Appl. 2023, 38, 1167–1179. [Google Scholar]












| Sources | Datasets | Time Resolution | Spatial Resolution | Description |
|---|---|---|---|---|
| Google Earth Engine | MOD13A1 | 16 d | 500 m | It provides a vegetation index for the vegetation component of the land cover RSEI. |
| MOD11A2 | 8 d | 1 km | It provides the temperature for use in the heat component of the land cover RSEI | |
| MOD09A1 | 8 d | 500 m | It provides reflectance for the calculation of drought and moisture components in the land cover RSEI. | |
| Landsat 5TM | 16 d | 30 m | Supplementing the missing MODIS data for 2000. | |
| National Earth System Science Data Sharing Service Platform | Temperature, precipitation, relative humidity, ET | 2000−2020 | 1 km | China 1 km resolution yearly temperature and precipitation data, relative humidity data, ET data |
| Resource and Environment Science and Data Center | Land use data | 5 a | 30 m | 30 m China land cover datasets (2000, 2005, 2010, 2015, 2020) |
| Xinjiang Water Resources Bulletin | Data on water use in agriculture | 2000−2020 | For correlation analysis |
| Criterion of Interval | Interaction |
|---|---|
| Q(X1∩X2) < Min[q(X1), q(X2)] | Nonlinear weakening |
| Min[q(X1), q(X2)] < q(X1∩X2) < Max[q(X1), q (X2)] | Single-factor nonlinear weakening |
| q(X1∩X2) > Max[q(X1), q (X2)] | Dual-factor enhancement |
| q(X1∩X2) = q(X1) + q(X2) | Independence |
| q(X1∩X2) > q(X1) + q(X2) | Nonlinear enhancement |
| Type | CV | Slope | Hurst | ||||||
|---|---|---|---|---|---|---|---|---|---|
| Mean | Min | Max | Mean | Min | Max | Mean | Min | Max | |
| AO | 0.104 | 0.000 | 1.043 | 0.001 | −0.018 | 0.022 | 0.485 | 0.091 | 1.099 |
| NO | 0.128 | 0.000 | 0.749 | −0.001 | −0.017 | 0.020 | 0.490 | 0.098 | 1.026 |
| Desert Oasis Transition Zone | 0.170 | 0.000 | 0.897 | −0.001 | −0.014 | 0.021 | 0.476 | 0.091 | 1.103 |
| Desert | 0.267 | 0.000 | 1.574 | −0.002 | −0.020 | 0.020 | 0.464 | 0.073 | 0.985 |
| Year | WET | NDVI | NDBSI | LST | β | R2 | F | Contribution (%) |
|---|---|---|---|---|---|---|---|---|
| 2000 | 0.548 | 0.326 | −0.085 | −0.355 | 0.946 | 0.895 | 204,788.68 | 82.44 |
| 2005 | 0.664 | 0.368 | −0.153 | −0.115 | 0.933 | 0.871 | 167,817.46 | 80.21 |
| 2010 | 0.397 | 0.404 | −0.279 | −0.299 | 0.958 | 0.918 | 235,334.82 | 79.92 |
| 2015 | 0.481 | 0.371 | −0.117 | −0.360 | 0.940 | 0.883 | 181,239.52 | 83.62 |
| 2020 | 0.487 | 0.470 | −0.097 | −0.420 | 0.961 | 0.924 | 239,893.99 | 76.58 |
| PRE | RHU | TEM | ET | IW | AOC | NOC | AO/NO | |
|---|---|---|---|---|---|---|---|---|
| PRE | 0.83 | |||||||
| RHU | 0.99 | 0.82 | ||||||
| TEM | 0.95 | 0.97 | 0.42 | |||||
| ET | 0.94 | 0.95 | 0.93 | 0.57 | ||||
| IW | 0.95 | 0.97 | 0.84 | 0.96 | 0.42 | |||
| AOC | 0.93 | 0.95 | 0.81 | 0.93 | 0.72 | 0.15 | ||
| NOC | 0.90 | 0.99 | 0.74 | 0.98 | 0.92 | 0.67 | 0.39 | |
| AO/NO | 0.93 | 0.96 | 0.94 | 0.98 | 0.98 | 0.95 | 0.89 | 0.47 |
Disclaimer/Publisher’s Note: The statements, opinions and data contained in all publications are solely those of the individual author(s) and contributor(s) and not of MDPI and/or the editor(s). MDPI and/or the editor(s) disclaim responsibility for any injury to people or property resulting from any ideas, methods, instructions or products referred to in the content. |
© 2024 by the authors. Licensee MDPI, Basel, Switzerland. This article is an open access article distributed under the terms and conditions of the Creative Commons Attribution (CC BY) license (https://creativecommons.org/licenses/by/4.0/).
Share and Cite
Zhang, J.; Zhang, P.; Deng, X.; Ren, C.; Deng, M.; Wang, S.; Lai, X.; Long, A. Study on the Spatial and Temporal Trends of Ecological Environment Quality and Influencing Factors in Xinjiang Oasis. Remote Sens. 2024, 16, 1980. https://doi.org/10.3390/rs16111980
Zhang J, Zhang P, Deng X, Ren C, Deng M, Wang S, Lai X, Long A. Study on the Spatial and Temporal Trends of Ecological Environment Quality and Influencing Factors in Xinjiang Oasis. Remote Sensing. 2024; 16(11):1980. https://doi.org/10.3390/rs16111980
Chicago/Turabian StyleZhang, Ji, Pei Zhang, Xiaoya Deng, Cai Ren, Mingjiang Deng, Shuhong Wang, Xiaoying Lai, and Aihua Long. 2024. "Study on the Spatial and Temporal Trends of Ecological Environment Quality and Influencing Factors in Xinjiang Oasis" Remote Sensing 16, no. 11: 1980. https://doi.org/10.3390/rs16111980
APA StyleZhang, J., Zhang, P., Deng, X., Ren, C., Deng, M., Wang, S., Lai, X., & Long, A. (2024). Study on the Spatial and Temporal Trends of Ecological Environment Quality and Influencing Factors in Xinjiang Oasis. Remote Sensing, 16(11), 1980. https://doi.org/10.3390/rs16111980

