PD-LL-Transformer: An Hourly PM2.5 Forecasting Method over the Yangtze River Delta Urban Agglomeration, China
Abstract
1. Introduction
2. Study Area and Materials
2.1. Study Area
2.2. Data Collection
2.2.1. Air Quality Data
2.2.2. Satellite AOD
2.2.3. Meteorological Data
2.2.4. Data Instruction and Preprocessing
2.3. Deep-Learning Environment
3. Methodologies
3.1. Basics of Deep Learning and Transformer Infrastructure
3.2. Poly-Dimensional Local-LSTM Transformer
3.2.1. Combination of Multivariate Features
3.2.2. Local-LSTM Transformer
4. Results and Analysis
4.1. Model Performance
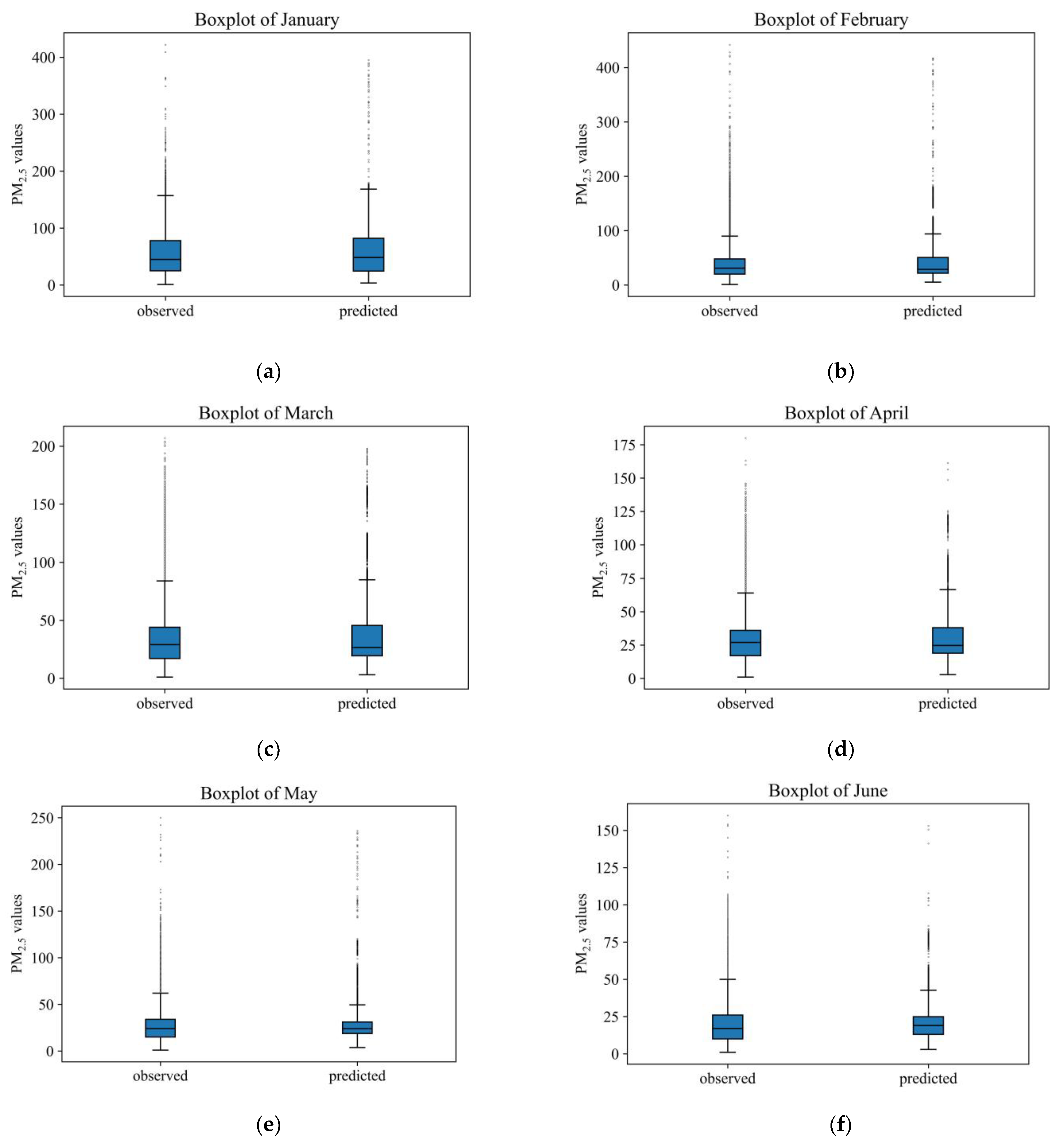
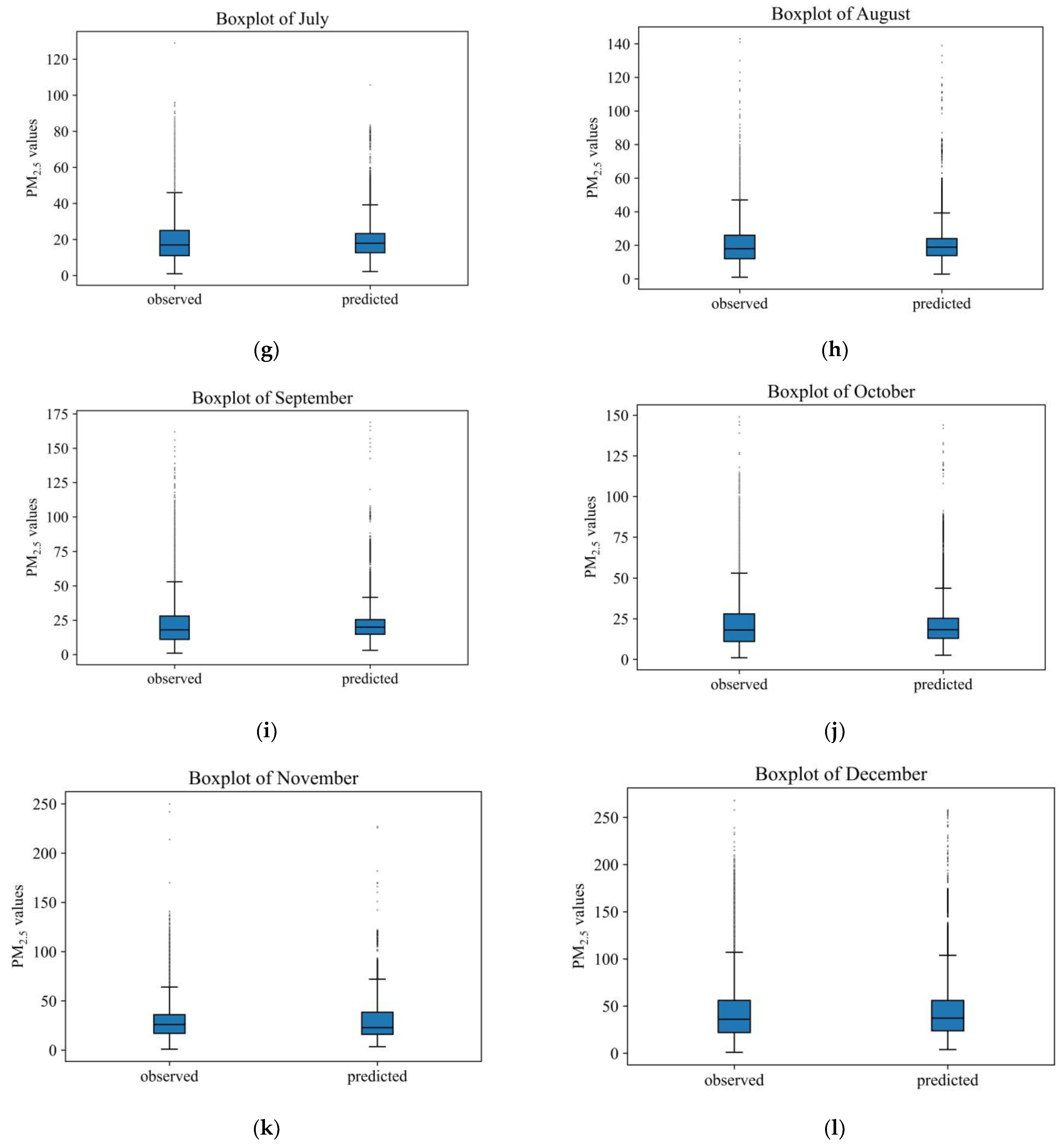
4.2. Pollution Trends
4.3. Different-Hour Predictions
4.4. Spatio Distribution of Prediction
5. Conclusions and Discussions
Supplementary Materials
Author Contributions
Funding
Data Availability Statement
Conflicts of Interest
References
- Wu, S.; Deng, F.; Hao, Y.; Wang, X.; Zheng, C.; Lv, H.; Lu, X.; Wei, H.; Huang, J.; Qin, Y.; et al. Fine particulate matter, temperature, and lung function in healthy adults: Findings from the HVNR study. Chemosphere 2014, 108, 168–174. [Google Scholar] [CrossRef] [PubMed]
- Xing, Y.F.; Xu, Y.H.; Shi, M.H.; Lian, Y.X. The impact of PM2.5 on the human respiratory system. J. Thorac. Dis. 2016, 8, E69–E74. [Google Scholar] [CrossRef] [PubMed]
- Ravishankara, A.R. Heterogeneous and multiphase chemistry in the troposphere. Science 1997, 276, 1058–1065. [Google Scholar] [CrossRef]
- Crouse, D.L.; Peters, P.A.; Hystad, P.; Brook, J.R.; van Donkelaar, A.; Martin, R.V.; Villeneuve, P.J.; Jerrett, M.; Goldberg, M.S.; Pope, C.A., 3rd; et al. Ambient PM2.5, O3, and NO2 Exposures and Associations with Mortality over 16 Years of Follow-Up in the Canadian Census Health and Environment Cohort (CanCHEC). Environ. Health Perspect. 2015, 123, 1180–1186. [Google Scholar] [CrossRef] [PubMed]
- Song, C.B.; He, J.J.; Wu, L.; Jin, T.S.; Chen, X.; Li, R.P.; Ren, P.P.; Zhang, L.; Mao, H.J. Health burden attributable to ambient PM2.5 in China. Environ. Pollut. 2017, 223, 575–586. [Google Scholar] [CrossRef] [PubMed]
- Liang, C.S.; Duan, F.K.; He, K.B.; Ma, Y.L. Review on recent progress in observations, source identifications and countermeasures of PM2.5. Environ. Int. 2016, 86, 150–170. [Google Scholar] [CrossRef] [PubMed]
- Chan, C.K.; Yao, X. Air pollution in mega cities in China. Atmos. Environ. 2008, 42, 1–42. [Google Scholar] [CrossRef]
- van Donkelaar, A.; Martin, R.V.; Brauer, M.; Boys, B.L. Use of Satellite Observations for Long-Term Exposure Assessment of Global Concentrations of Fine Particulate Matter. Environ. Health Perspect. 2015, 123, 135–143. [Google Scholar] [CrossRef] [PubMed]
- Li, J.; Carlson, B.E.; Lacis, A.A. How well do satellite AOD observations represent the spatial and temporal variability of PM2.5 concentration for the United States? Atmos. Environ. 2015, 102, 260–273. [Google Scholar] [CrossRef]
- Fu, D.S.; Song, Z.J.; Zhang, X.L.; Xia, X.G.; Wang, J.; Che, H.Z.; Wu, H.J.; Tang, X.; Zhang, J.Q.; Duan, M.Z. Mitigating MODIS AOD non-random sampling error on surface PM2.5 estimates by a combined use of Bayesian Maximum Entropy method and linear mixed-effects model. Atmos. Pollut. Res. 2020, 11, 482–490. [Google Scholar] [CrossRef]
- Yang, Z.M.; Zdanski, C.; Farkas, D.; Bang, J.; Williams, H. Evaluation of Aerosol Optical Depth (AOD) and PM2.5 associations for air quality assessment. Remote Sens. Appl.-Soc. Environ. 2020, 20, 100396. [Google Scholar] [CrossRef]
- Hu, K.Y.; Guo, X.L.; Gong, X.Y.; Wang, X.P.; Liang, J.Q.; Li, D.Q. Air quality prediction using spatio-temporal deep learning. Atmos. Pollut. Res. 2022, 13, 101543. [Google Scholar] [CrossRef]
- Li, Y.; Xue, Y.; Guang, J.; She, L.; Chen, G.L.; Fan, C. Hourly Ground Level PM2.5 Estimation for the Southeast of China Based on Himawari-8 Observation Data. In Proceedings of the IEEE International Geoscience and Remote Sensing Symposium (IGARSS), Yokohama, Japan, 28 July–2 August 2019; pp. 7850–7853. [Google Scholar]
- Song, Z.; Chen, B.; Huang, J. Combining Himawari-8 AOD and deep forest model to obtain city-level distribution of PM2.5 in China. Environ. Pollut. 2022, 297, 118826. [Google Scholar] [CrossRef] [PubMed]
- Xue, Y.; Li, Y.; Guang, J.; Tugui, A.; She, L.; Qin, K.; Fan, C.; Che, Y.H.; Xie, Y.Q.; Wen, Y.N.; et al. Hourly PM2.5 Estimation over Central and Eastern China Based on Himawari-8 Data. Remote Sens. 2020, 12, 855. [Google Scholar] [CrossRef]
- Gad, I.M.; Doreswamy, H.; Harishkumar, K.S.; Km, Y. Forecasting Air Pollution Particulate Matter (PM2.5) Using Machine Learning Regression Models. Procedia Comput. Sci. 2020, 171, 2057–2066. [Google Scholar]
- Chen, G.; Li, S.; Knibbs, L.D.; Hamm, N.A.S.; Cao, W.; Li, T.; Guo, J.; Ren, H.; Abramson, M.J.; Guo, Y. A machine learning method to estimate PM2.5 concentrations across China with remote sensing, meteorological and land use information. Sci. Total Environ. 2018, 636, 52–60. [Google Scholar] [CrossRef] [PubMed]
- Chen, X.L.; Li, H.; Zhang, S.T.; Chen, Y.Z.; Fan, Q. High Spatial Resolution PM2.5 Retrieval Using MODIS and Ground Observation Station Data Based on Ensemble Random Forest. IEEE Access 2019, 7, 44416–44430. [Google Scholar] [CrossRef]
- Li, H.Q.; Shi, X.H. Data Driven based PM2.5 Concentration Forecasting. In Proceedings of the International Conference on Biological Engineering and Pharmacy (BEP), Shanghai, China, 9–11 December 2016; pp. 301–304. [Google Scholar]
- Zhou, Y.; Chang, F.J.; Chang, L.C.; Kao, I.F.; Wang, Y.S.; Kang, C.C. Multi-output support vector machine for regional multi-step-ahead PM2.5 forecasting. Sci. Total Environ. 2019, 651, 230–240. [Google Scholar] [CrossRef]
- Dai, H.B.; Huang, G.Q.; Zeng, H.B.; Zhou, F.Y. PM2.5 volatility prediction by XGBoost-MLP based on GARCH models. J Clean Prod. 2022, 356, 131898. [Google Scholar] [CrossRef]
- Mathew, A.; Gokul, P.R.; Shekar, P.R.; Arunab, K.S.; Abdo, H.G.; Almohamad, H.; Al Dughairi, A.A. Air quality analysis and PM2.5 modelling using machine learning techniques: A study of Hyderabad city in India. Cogent Eng. 2023, 10, 2243743. [Google Scholar] [CrossRef]
- Vignesh, P.P.; Jiang, J.H.; Kishore, P. Predicting PM2.5 Concentrations Across USA Using Machine Learning. Earth Space Sci. 2023, 10, e2023EA002911. [Google Scholar] [CrossRef]
- Karimian, H.; Li, Y.Q.; Chen, Y.L.; Wang, Z.R. Evaluation of different machine learning approaches and aerosol optical depth in PM2.5 prediction. Environ. Res. 2023, 216, 114465. [Google Scholar] [CrossRef] [PubMed]
- Gupta, P.; Christopher, S.A. Particulate matter air quality assessment using integrated surface, satellite, and meteorological products: Multiple regression approach. J. Geophys. Res. Atmos. 2009, 114, D14205. [Google Scholar] [CrossRef]
- Gupta, P.; Christopher, S.A. Particulate matter air quality assessment using integrated surface, satellite, and meteorological products: 2. A neural network approach. J. Geophys. Res. Atmos. 2009, 114. [Google Scholar] [CrossRef]
- Lee, C.; Lee, K.; Kim, S.; Yu, J.; Jeong, S.; Yeom, J. Hourly Ground-Level PM2.5 Estimation Using Geostationary Satellite and Reanalysis Data via Deep Learning. Remote Sens. 2021, 13, 2121. [Google Scholar] [CrossRef]
- Li, T.W.; Shen, H.F.; Yuan, Q.Q.; Zhang, X.C.; Zhang, L.P. Estimating Ground-Level PM2.5 by Fusing Satellite and Station Observations: A Geo-Intelligent Deep Learning Approach. Geophys. Res. Lett. 2017, 44, 11985–11993. [Google Scholar] [CrossRef]
- Sun, Y.B.; Zeng, Q.L.; Geng, B.; Lin, X.W.; Sude, B.; Chen, L.F. Deep Learning Architecture for Estimating Hourly Ground-Level PM2.5 Using Satellite Remote Sensing. IEEE Geosci. Remote Sens. Lett. 2019, 16, 1343–1347. [Google Scholar] [CrossRef]
- Lu, X.M.; Wang, J.J.; Yan, Y.T.; Zhou, L.G.; Ma, W.C. Estimating hourly PM2.5 concentrations using Himawari-8 AOD and a DBSCAN-modified deep learning model over the YRDUA, China. Atmos. Pollut. Res. 2021, 12, 183–192. [Google Scholar] [CrossRef]
- Wang, Z.; Li, R.Y.; Chen, Z.Y.; Yao, Q.; Gao, B.B.; Xu, M.Q.; Yang, L.; Li, M.C.; Zhou, C.H. The estimation of hourly PM2.5 concentrations across China based on a Spatial and Temporal Weighted Continuous Deep Neural Network (STWC-DNN). ISPRS J. Photogramm. Remote Sens. 2022, 190, 38–55. [Google Scholar] [CrossRef]
- Hochreiter, S.; Schmidhuber, J. Bridging long time lags by weight guessing and “long short term memory”. In Proceedings of the Sintra Workshop on Spatiotemporal Models in Biological and Artificial Systems, Sintra, Portugal, 6–8 November 1996; pp. 65–72. [Google Scholar]
- Zhang, Y.Y.; Sun, Q.S.; Liu, J.; Petrosian, O. Long-Term Forecasting of Air Pollution Particulate Matter (PM2.5) and Analysis of Influencing Factors. Sustainability 2024, 16, 19. [Google Scholar] [CrossRef]
- Cho, K.; Van Merrienboer, B.; Gulcehre, C.; Bahdanau, D.; Bougares, F.; Schwenk, H.; Bengio, Y. Learning Phrase Representations using RNN Encoder-Decoder for Statistical Machine Translation. arXiv 2014, arXiv:1406.1078. [Google Scholar]
- Ding, C.; Wang, G.Z.; Zhang, X.Y.; Liu, Q.; Liu, X.D. A hybrid CNN-LSTM model for predicting PM2.5 in Beijing based on spatiotemporal correlation. Environ. Ecol. Stat. 2021, 28, 503–522. [Google Scholar] [CrossRef]
- Kim, H.S.; Han, K.M.; Yu, J.; Kim, J.; Kim, K.; Kim, H. Development of a CNN plus LSTM Hybrid Neural Network for Daily PM2.5 Prediction. Atmosphere 2022, 13, 2124. [Google Scholar] [CrossRef]
- Li, D.; Liu, J.P.; Zhao, Y.Y. Prediction of Multi-Site PM2.5 Concentrations in Beijing Using CNN-Bi LSTM with CBAM. Atmosphere 2022, 13, 1719. [Google Scholar] [CrossRef]
- Li, T.Y.; Hua, M.; Wu, X. A Hybrid CNN-LSTM Model for Forecasting Particulate Matter PM2.5. IEEE Access 2020, 8, 26933–26940. [Google Scholar] [CrossRef]
- Zhu, M.Y.; Xie, J. Investigation of nearby monitoring station for hourly PM2.5 forecasting using parallel multi-input 1D-CNN-biLSTM. Expert Syst. Appl. 2023, 211, 118707. [Google Scholar] [CrossRef]
- Vaswani, A.; Shazeer, N.; Parmar, N.; Uszkoreit, J.; Jones, L.; Gomez, A.N.; Kaiser, Ł.; Polosukhin, I. Attention is all you need. Adv. Neural Inf. Process. Syst. 2017, 30. Available online: https://arxiv.org/abs/1706.03762 (accessed on 14 April 2024).
- Devlin, J.; Chang, M.W.; Lee, K.; Toutanova, K. BERT: Pre-training of Deep Bidirectional Transformers for Language Understanding. arXiv 2018, arXiv:1810.04805. [Google Scholar]
- Radford, A.; Narasimhan, K.; Salimans, T.; Sutskever, I. Improving Language Understanding by Generative Pre-Training. 2018. Available online: https://www.mikecaptain.com/resources/pdf/GPT-1.pdf (accessed on 14 April 2024).
- Tong, W.T.; Limperis, J.; Hamza-Lup, F.; Xu, Y.; Li, L.X. Robust Transformer-based model for spatiotemporal PM2.5 prediction in California. Earth Sci. Inform. 2023. [Google Scholar] [CrossRef]
- Verma, A.; Ranga, V.; Vishwakarma, D.K. A novel approach for forecasting PM2.5 pollution in Delhi using CATALYST. Environ. Monit. Assess. 2023, 195, 1457. [Google Scholar] [CrossRef]
- Zeng, Q.L.; Wang, L.H.; Zhu, S.Y.; Gao, Y.H.; Qiu, X.F.; Chen, L.F. Long-term PM2.5 concentrations forecasting using CEEMDAN and deep Transformer neural network. Atmos. Pollut. Res. 2023, 14, 101839. [Google Scholar] [CrossRef]
- Zhang, Z.; Zhang, S. Modeling air quality PM2.5 forecasting using deep sparse attention-based transformer networks. Int. J. Environ. Sci. Technol. 2023, 20, 13535–13550. [Google Scholar] [CrossRef]
- Yu, M.Z.; Masrur, A.; Blaszczak-Boxe, C. Predicting hourly PM2.5 concentrations in wildfire-prone areas using a SpatioTemporal Transformer model. Sci. Total Environ. 2023, 860, 160446. [Google Scholar] [CrossRef] [PubMed]
- Wang, H.Q.; Zhang, L.F.; Wu, R. MSAFormer: A Transformer-Based Model for PM2.5 Prediction Leveraging Sparse Autoencoding of Multi-Site Meteorological Features in Urban Areas. Atmosphere 2023, 14, 1294. [Google Scholar] [CrossRef]
- Limperis, J.; Tong, W.T.; Hamza-Lup, F.; Li, L.X. PM2.5 forecasting based on transformer neural network and data embedding. Earth Sci. Inform. 2023, 16, 2111–2124. [Google Scholar] [CrossRef]
- Li, L.; Chen, C.H.; Fu, J.S.; Huang, C.; Streets, D.G.; Huang, H.Y.; Zhang, G.F.; Wang, Y.J.; Jang, C.J.; Wang, H.L.; et al. Air quality and emissions in the Yangtze River Delta, China. Atmos. Chem. Phys. 2011, 11, 1621–1639. [Google Scholar] [CrossRef]
- Zhang, C.Y.; Zhao, L.; Zhang, H.T.; Chen, M.N.; Fang, R.Y.; Yao, Y.; Zhang, Q.P.; Wang, Q. Spatial-temporal characteristics of carbon emissions from land use change in Yellow River Delta region, China. Ecol. Indicators 2022, 136, 108623. [Google Scholar] [CrossRef]
- Meuleau, N.; Dorigo, M. Ant colony optimization and stochastic gradient descent. Artif Life 2002, 8, 103–121. [Google Scholar] [CrossRef]
- Saeed, U.; Ahmad, S.; Alsadi, J.; Ross, D.; Rizvi, G. Implementation Of Neural Network For Color Properties Of Polycarbonates. In Proceedings of the 29th International Conference of the Polymer-Processing-Society (PPS), Nuremberg, Germany, 15–19 July 2013; pp. 56–59. [Google Scholar]
- Kingma, D.; Ba, J. Adam: A Method for Stochastic Optimization. arXiv 2014, arXiv:1412.6980. [Google Scholar]
- GB 3095-2012; Ambient Air Quality Standards. Ministry of Ecology and Environment of the People’s Republic of China: Beijing, China, 2012. Available online: https://www.chinesestandard.net/PDF.aspx/GB3095-2012 (accessed on 14 April 2024).
- HJ 633-2012; Technical Regulation on Ambient Air Quality Index (on trial). Ministry of Ecology and Environment of the People’s Republic of China: Beijing, China, 2012. Available online: https://www.chinesestandard.net/PDF.aspx/HJ633-2012 (accessed on 14 April 2024).












| Province | 2020 | 2021 | 2022 |
|---|---|---|---|
| Shanghai | 32.22 | 28.00 | 24.88 |
| Zhejiang | 25.69 | 24.01 | 24.77 |
| Jiangsu | 34.37 | 31.23 | 29.44 |
| Anhui | 34.36 | 32.53 | 32.24 |
| All YRDUA | 32.30 | 29.99 | 29.25 |
| Feature | Explanation | Original Dim | Embedding Dim |
|---|---|---|---|
| Station | All 132 monitoring stations | 132 | 3 |
| Season | Four seasons of the year | 4 | 1 |
| Month of the year | 12 months of the year | 12 | 2 |
| Hour of the day | 24 h of the day | 24 | 1 |
| AQI level | (0–50), (50–100), (100–) | 3 | 1 |
| PM2.5 level | (0–35), (35–75), (75–115), (115–150), (150–250), (250–) | 6 | 1 |
| O3 level | (0–50), (50–100), (100–200), (200–300), (300–) | 4 | 1 |
| AOD availability | Whether AOD value is missing or not | 2 | 1 |
| Hyper Parameter | Value |
|---|---|
| dmodel | 16 |
| Num of Blocks | 2 |
| Num of LSTMs | 5 |
| Num of head | 2 |
| Kernel size | 3 |
| Dropout | 0.15 |
| Learning rate | 0.001 |
| Batch size | 32 |
| Loss | L2 Loss |
| Metrics | R2, MAE, RMSE |
| Optimizer | ADAM |
| Forecast Window | 24 h |
| Model | R2 | MAE | RMSE |
|---|---|---|---|
| MLP | 0.6785 | 8.3029 | 13.2637 |
| LSTM | 0.7199 | 7.9584 | 12.3337 |
| PD-Transformer | 0.8751 | 5.6377 | 8.0299 |
| PD-LL-Transformer | 0.8929 | 4.4523 | 7.2683 |
| Model | R2 Enhancement | MAE Reduction | RMSE Reduction |
|---|---|---|---|
| MLP | 31.60% | 46.38% | 45.20% |
| LSTM | 24.03% | 44.06% | 41.07% |
| PD-Transformer | 2.03% | 21.03% | 9.48% |
| PD-LL-Transformer | / | / | / |
Disclaimer/Publisher’s Note: The statements, opinions and data contained in all publications are solely those of the individual author(s) and contributor(s) and not of MDPI and/or the editor(s). MDPI and/or the editor(s) disclaim responsibility for any injury to people or property resulting from any ideas, methods, instructions or products referred to in the content. |
© 2024 by the authors. Licensee MDPI, Basel, Switzerland. This article is an open access article distributed under the terms and conditions of the Creative Commons Attribution (CC BY) license (https://creativecommons.org/licenses/by/4.0/).
Share and Cite
Zou, R.; Huang, H.; Lu, X.; Zeng, F.; Ren, C.; Wang, W.; Zhou, L.; Dai, X. PD-LL-Transformer: An Hourly PM2.5 Forecasting Method over the Yangtze River Delta Urban Agglomeration, China. Remote Sens. 2024, 16, 1915. https://doi.org/10.3390/rs16111915
Zou R, Huang H, Lu X, Zeng F, Ren C, Wang W, Zhou L, Dai X. PD-LL-Transformer: An Hourly PM2.5 Forecasting Method over the Yangtze River Delta Urban Agglomeration, China. Remote Sensing. 2024; 16(11):1915. https://doi.org/10.3390/rs16111915
Chicago/Turabian StyleZou, Rongkun, Heyun Huang, Xiaoman Lu, Fanmei Zeng, Chu Ren, Weiqing Wang, Liguo Zhou, and Xiaoyan Dai. 2024. "PD-LL-Transformer: An Hourly PM2.5 Forecasting Method over the Yangtze River Delta Urban Agglomeration, China" Remote Sensing 16, no. 11: 1915. https://doi.org/10.3390/rs16111915
APA StyleZou, R., Huang, H., Lu, X., Zeng, F., Ren, C., Wang, W., Zhou, L., & Dai, X. (2024). PD-LL-Transformer: An Hourly PM2.5 Forecasting Method over the Yangtze River Delta Urban Agglomeration, China. Remote Sensing, 16(11), 1915. https://doi.org/10.3390/rs16111915
