Vertical Accuracy Assessment and Improvement of Five High-Resolution Open-Source Digital Elevation Models Using ICESat-2 Data and Random Forest: Case Study on Chongqing, China
Abstract
1. Introduction
2. Materials and Methods
2.1. Study Area
2.2. Data
2.2.1. ALOS PALSAR
2.2.2. SRTM DEM
2.2.3. NASADEM
2.2.4. ASTER GDEM V3
2.2.5. ICESat-2 ATL08 Data
2.2.6. GlobeLand30
2.3. Methods
2.3.1. Pre-Processing of ICESat-2 ATL08 Data
2.3.2. Assessment of Vertical Accuracy
2.3.3. Elevation Accuracy Response Considering Different Slope, Aspect, Land Cover and Landform Types
2.3.4. Random Forest Model
3. Results
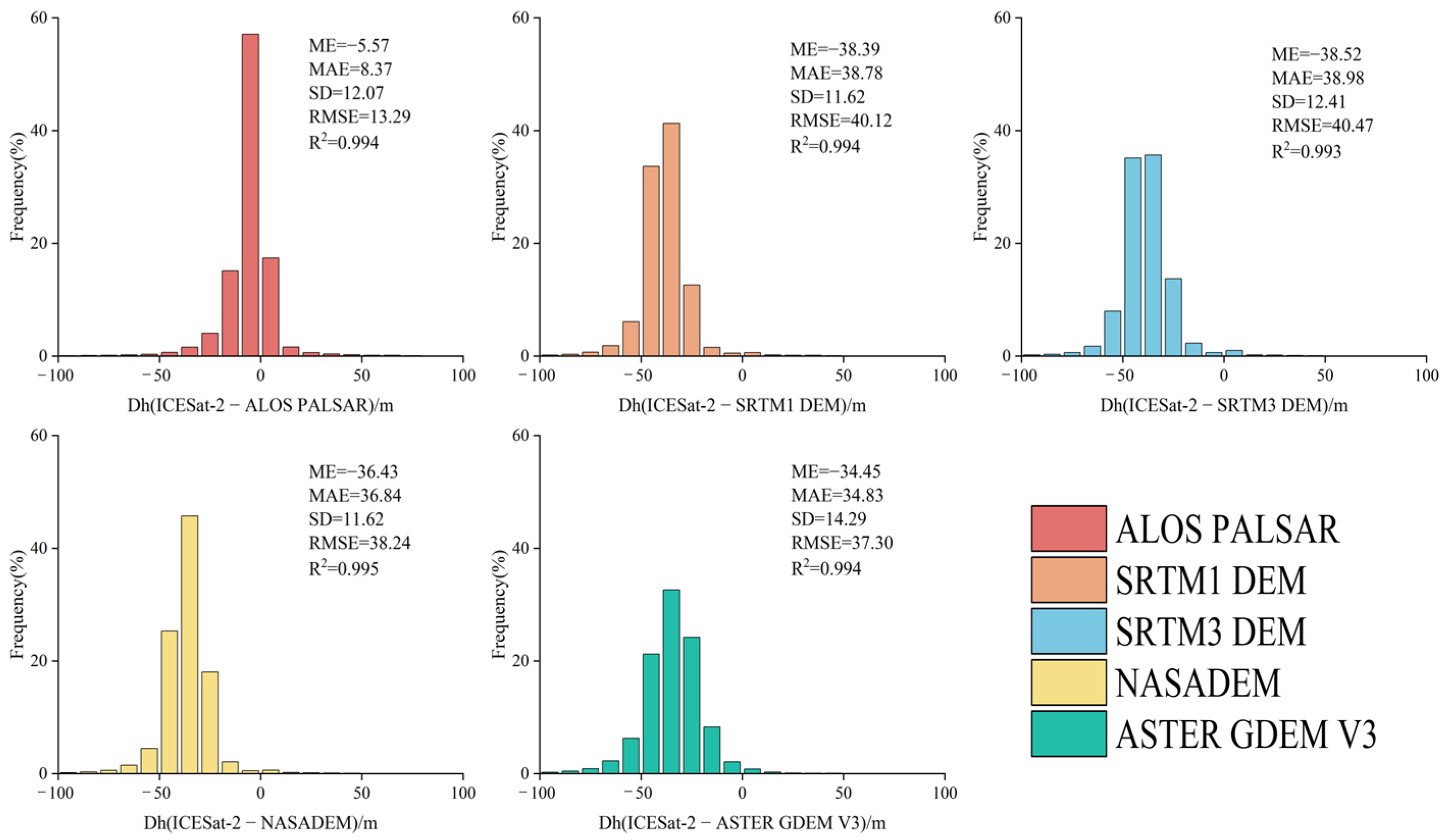
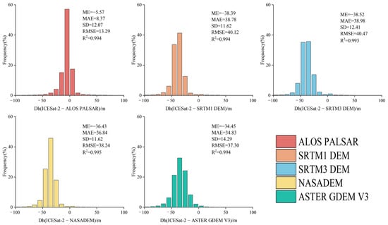
3.1. Accuracy Evaluation of Five DEMs before and after Correction
3.2. Comparison of the Accuracy of Five DEMs before and after Correction
3.2.1. DEM Accuracy Analysis before and after Correction Based on Slope
3.2.2. DEM Accuracy Analysis before and after Correction Based on Aspect
3.2.3. DEM Accuracy Analysis before and after Correction Based on Land Cover Type
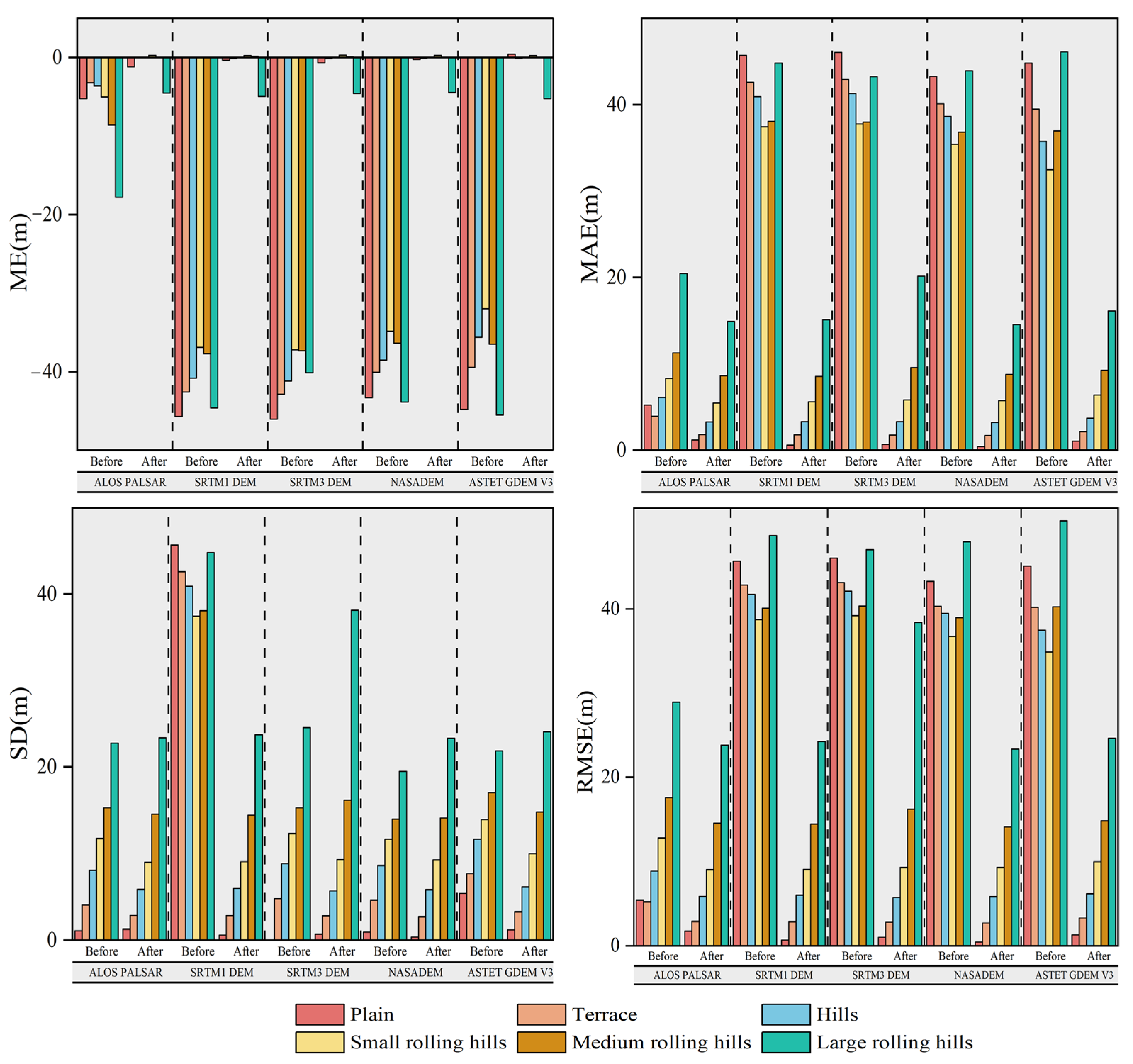
3.2.4. DEM Accuracy Analysis before and after Correction Based on Landform Types
3.3. Global and Local Analysis of Five Types of DEM before and after Correction
4. Discussion
4.1. The Impact of Spatial Resolution on DEM Accuracy
4.2. Slope and Aspect
4.3. Land Cover and Landform
4.4. The Best DEM Choice for Mountainous Cities
4.5. Limitations and Recommendations
5. Conclusions
- We found that spatial resolution is a major factor influencing the accuracy of DEMs. Data with higher spatial resolution, such as ALOS PALSAR, provide greater accuracy, especially in challenging terrains and dense vegetation areas. Additionally, we observed a positive correlation between slope and DEM accuracy. As the slope increases, the accuracy of the DEM generally decreases. The influence of aspect on DEM accuracy is relatively weak, but our correction method can improve the consistency of DEMs across various aspects.
- Vegetation cover and medium-to-large rolling hills pose significant challenges to the accuracy of DEMs. Before and after correction, all DEMs exhibited high error characteristics in vegetation types such as shrublands and forests. These factors are particularly important for complex mountainous urban terrain as they affect the quality and accuracy of DEM data.
- In mountainous urban areas like Chongqing, ALOS PALSAR and NASADEM demonstrate higher robustness and accuracy, especially after correction. Although the random forest model improved the accuracy of all DEMs, the correction effect was most significant for NASADEM, with its accuracy increasing by 74.44%. This was followed by SRTM1 DEM (74.15%), SRTM3 DEM (72.25%), ASTER GDEM V3 (71.12%), and ALOS PALSAR (31.15%). Therefore, selecting appropriate DEM datasets is crucial for research in mountainous urban areas. ALOS PALSAR and NASADEM outperformed the other datasets, mitigating the impact of terrain factors on DEM accuracy. This resulted in a more dependable and precise terrain data framework for research in mountainous urban areas.
Author Contributions
Funding
Data Availability Statement
Conflicts of Interest
References
- Berthier, E.; Arnaud, Y.; Kumar, R.; Ahmad, S.; Wagnon, P.; Chevallier, P. Remote sensing estimates of glacier mass balances in the Himachal Pradesh (Western Himalaya, India). Remote Sens. Environ. 2007, 108, 327–338. [Google Scholar] [CrossRef]
- Scown, M.W.; Thoms, M.C.; De Jager, N.R. Floodplain complexity and surface metrics: Influences of scale and geomorphology. Geomorphology 2015, 245, 102–116. [Google Scholar] [CrossRef]
- Courty, L.G.; Soriano-Monzalvo, J.C.; Pedrozo-Acuña, A. Evaluation of open-access global digital elevation models (AW3D30, SRTM, and ASTER) for flood modelling purposes. J. Flood Risk Manag. 2019, 12, e12550. [Google Scholar] [CrossRef]
- Natsagdorj, B.; Dalantai, S.; Sumiya, E.; Bao, Y.; Bayarsaikhan, S.; Batsaikhan, B.; Ganbat, D. Assessment of Some Meteorology Data of Average Monthly Air Temperature over Mongolia Using Digital Elevation Model (Dem) and Gis Techniques. Int. Arch. Photogramm. Remote Sens. Spat. Inf. Sci. 2021; 43, 117–121. [Google Scholar] [CrossRef]
- Elkhrachy, I. Vertical accuracy assessment for SRTM and ASTER Digital Elevation Models: A case study of Najran city, Saudi Arabia. Ain Shams Eng. J. 2018, 9, 1807–1817. [Google Scholar] [CrossRef]
- Sun, G.; Ranson, K.J.; Kharuk, V.I.; Kovacs, K. Validation of surface height from shuttle radar topography mission using shuttle laser altimeter. Remote Sens. Environ. 2003, 88, 401–411. [Google Scholar] [CrossRef]
- Peter, N.; Emmanuel, A.; Chukwuma, O. Determination of the Impacts of Landscape Offsets on the 30-metre SRTM DEM through a comparative analysis with Bare-Earth Elevations. In Proceedings of the FIG Working Week 2017, Helsinki, Finland, 29 May–2 June 2017. [Google Scholar]
- Greve, C. Digital Photogrammetry—An Addendum to the Manual of Photogrammetry; Publication of the American Society for Photogrammetry and Remote Sensing: Bethesda, MA, USA, 1996. [Google Scholar]
- Hanssen, R.F. Radar Interferometry: Data Interpretation and Error Analysis; Springer: New York, NY, USA, 2001. [Google Scholar]
- Lohr, U. Digital Elevation Models by Laser scanning. Photogramm. Rec. 1998, 16, 105–109. [Google Scholar] [CrossRef]
- Nitheshnirmal, S.; Thilagaraj, P.; Rahaman, S.A.; Jegankumar, R. Erosion risk assessment through morphometric indices for prioritisation of Arjuna watershed using ALOS-PALSAR DEM. Model. Earth Syst. Environ. 2019, 5, 907–924. [Google Scholar] [CrossRef]
- Farr, T.G.; Rosen, P.A.; Caro, E.; Crippen, R.; Duren, R.; Hensley, S.; Kobrick, M.; Paller, M.; Rodriguez, E.; Roth, L.; et al. The shuttle radar topography mission. Rev. Geophys. 2007, 45, 1–33. [Google Scholar] [CrossRef]
- Hirt, C.; Filmer, M.S.; Featherstone, W.E. Comparison and validation of the recent freely available ASTER-GDEM ver1, SRTM ver4.1 and GEODATA DEM-9S ver3 digital elevation models over Australia. Aust. J. Earth Sci. 2010, 57, 337–347. [Google Scholar] [CrossRef]
- Zink, M.; Bachmann, M.; Brautigam, B.; Fritz, T.; Hajnsek, I.; Moreira, A.; Wessel, B.; Krieger, G. TanDEM-X: The new global DEM takes shape. IEEE Geosci. Remote Sens. Mag. 2014, 2, 8–23. [Google Scholar] [CrossRef]
- Carter, J.R. Digital Representations of Topographic Surfaces. Photogramm. Eng. Remote Sens. 1988, 54, 1577–1580. [Google Scholar]
- Oksanen, J.; Sarjakoski, T. Error propagation of DEM-based surface derivatives. Comput. Geosci. 2005, 31, 1015–1027. [Google Scholar] [CrossRef]
- Cem, G.; Bedri, A.; Zeki, Y.Y.; Edip Müftüoğlu, A.; Güneysu, C.; Ertek, T.A.; Volkan, D.; Kaya, H. Morphologic Features of Kapıdağ Peninsula and its Coasts (NWTurkey) using by Remote Sensing and DTM. Int. J. Environ. Geoinformatics 2014, 1, 48–63. [Google Scholar] [CrossRef]
- KiliÇ, B.; GÜLgen, F.; ÇElen, M.; ÖNcel, S.; OruÇ, H.; Vural, S. Morphometric Analysis of Saz-Çayırova Drainage Basin using Geographic Information Systems and Different Digital Elevation Models. Int. J. Environ. Geoinformatics 2022, 9, 177–186. [Google Scholar] [CrossRef]
- Lakshmi, S.E.; Yarrakula, K. Review and critical analysis on digital elevation models. Geofizika 2019, 35, 129–157. [Google Scholar] [CrossRef]
- Athmania, D.; Achour, H. External Validation of the ASTER GDEM2, GMTED2010 and CGIAR-CSI- SRTM v4.1 Free Access Digital Elevation Models (DEMs) in Tunisia and Algeria. Remote Sens. 2014, 6, 4600–4620. [Google Scholar] [CrossRef]
- Fricker, H.A.; Borsa, A.; Minster, B.; Carabajal, C.; Quinn, K.; Bills, B. Assessment of ICESat performance at the salar de Uyuni, Bolivia. Geophys. Res. Lett. 2005, 32, L21S06. [Google Scholar] [CrossRef]
- Siegfried, M.R.; Hawley, R.L.; Burkhart, J.F. High-Resolution Ground-Based GPS Measurements Show Intercampaign Bias in ICESat Elevation Data Near Summit, Greenland. IEEE Trans. Geosci. Remote Sens. 2011, 49, 3393–3400. [Google Scholar] [CrossRef]
- Satgé, F.; Bonnet, M.P.; Timouk, F.; Calmant, S.; Pillco, R.; Molina, J.; Lavado-Casimiro, W.; Arsen, A.; Crétaux, J.F.; Garnier, J. Accuracy assessment of SRTM v4 and ASTER GDEM v2 over the Altiplano watershed using ICESat/GLAS data. Int. J. Remote Sens. 2015, 36, 465–488. [Google Scholar] [CrossRef]
- Gonzalez, J.H.; Bachmann, M.; Scheiber, R.; Krieger, G. Definition of ICESat Selection Criteria for Their Use as Height References for TanDEM-X. IEEE Trans. Geosci. Remote Sens. 2010, 48, 2750–2757. [Google Scholar] [CrossRef]
- Wang, C.; Zhu, X.; Nie, S.; Xi, X.; Li, D.; Zheng, W.; Chen, S. Ground elevation accuracy verification of ICESat-2 data: A case study in Alaska, USA. Opt. Express 2019, 27, 38168–38179. [Google Scholar] [CrossRef]
- Neuenschwander, A.L.; Magruder, L.A. Canopy and terrain height retrievals with ICESat-2: A first look. Remote Sens. 2019, 11, 1721. [Google Scholar] [CrossRef]
- Neuenschwander, A.; Guenther, E.; White, J.C.; Duncanson, L.; Montesano, P. Validation of ICESat-2 terrain and canopy heights in boreal forests. Remote Sens. Environ. 2020, 251, 112110. [Google Scholar] [CrossRef]
- Magruder, L.; Neuenschwander, A.; Klotz, B. Digital terrain model elevation corrections using space-based imagery and ICESat-2 laser altimetry. Remote Sens. Environ. 2021, 264, 112621. [Google Scholar] [CrossRef]
- Li, Y.; Fu, H.; Zhu, J.; Wu, K.; Yang, P.; Wang, L.; Gao, S. A method for SRTM DEM elevation error correction in forested areas using ICESat-2 data and vegetation classification data. Remote Sens. 2022, 14, 3380. [Google Scholar] [CrossRef]
- Xu, W.; Li, J.; Peng, D.; Jiang, J.; Xia, H.; Yin, H.; Yang, J. Multi-source DEM accuracy evaluation based on ICESat-2 in Qinghai-Tibet Plateau, China. Int. J. Digit. Earth 2023, 17, 2297843. [Google Scholar] [CrossRef]
- Ernesto, R.; Charles, S.M.; Eric, B.J. A Global Assessment of the SRTM Performance. Photogramm. Eng. Remote Sens. 2006, 72, 249–260. [Google Scholar] [CrossRef]
- Varga, M.; Bašić, T. Accuracy validation and comparison of global digital elevation models over Croatia. Int. J. Remote Sens. 2015, 36, 170–189. [Google Scholar] [CrossRef]
- Yap, L.; Kandé, L.H.; Nouayou, R.; Kamguia, J.; Ngouh, N.A.; Makuate, M.B. Vertical accuracy evaluation of freely available latest high-resolution (30 m) global digital elevation models over Cameroon (Central Africa) with GPS/leveling ground control points. Int. J. Digit. Earth 2018, 12, 500–524. [Google Scholar] [CrossRef]
- Chen, C.; Yang, S.; Li, Y. Accuracy assessment and correction of SRTM DEM using ICESat/GLAS data under data coregistration. Remote Sens. 2020, 12, 3435. [Google Scholar] [CrossRef]
- Du, P.; Bai, X.; Tan, K.; Xue, Z.; Samat, A.; Xia, J.; Li, E.; Su, H.; Liu, W. Advances of Four Machine Learning Methods for Spatial Data Handling: A Review. J. Geovisualization Spat. Anal. 2020, 4, 13. [Google Scholar] [CrossRef]
- Zhao, S.; Liu, J.; Cheng, W.; Zhou, C. Fusion Scheme and Implementation Based on SRTM1, ASTER GDEM V3, and AW3D30. ISPRS Int. J. Geo-Inf. 2022, 11, 207. [Google Scholar] [CrossRef]
- Crippen, R.; Buckley, S.; Agram, P.; Belz, E.; Gurrola, E.; Hensley, S.; Kobrick, M.; Lavalle, M.; Martin, J.; Neumann, M.; et al. Nasadem Global Elevation Model: Methods and Progress. ISPRS-Int. Arch. Photogramm. Remote Sens. Spat. Inf. Sci. 2016; 41, 125–128. [Google Scholar] [CrossRef]
- Buckley, S.M.; Agram, P.S.; Belz, J.E.; Crippen, R.E.; Gurrola, E.M.; Hensley, S.; Kobrick, M.; Lavalle, M.; Martin, J.M.; Neumann, M.; et al. NASA DEM: User Guide (Technical Report January). 2020. Available online: https://lpdaac.usgs.gov/documents/592/NASADEM_User_Guide_V1.pdf (accessed on 4 May 2024).
- Li, H.; Zhao, J.; Yan, B.; Yue, L.; Wang, L. Global DEMs vary from one to another: An evaluation of newly released Copernicus, NASA and AW3D30 DEM on selected terrains of China using ICESat-2 altimetry data. Int. J. Digit. Earth 2022, 15, 1149–1168. [Google Scholar] [CrossRef]
- Gesch, D.; Oimoen, M.; Danielson, J.; Meyer, D. Validation of the Aster Global Digital Elevation Model Version 3 over the Conterminous United States. ISPRS-Int. Arch. Photogramm. Remote Sens. Spat. Inf. Sci. 2016; 41, 143–148. [Google Scholar] [CrossRef]
- Markus, T.; Neumann, T.; Martino, A.; Abdalati, W.; Brunt, K.; Csatho, B.; Farrell, S.; Fricker, H.; Gardner, A.; Harding, D.; et al. The ice, cloud, and land elevation satellite-2 (ICESat-2): Science requirements, concept, and implementation. Remote Sens. Environ. 2017, 190, 260–273. [Google Scholar] [CrossRef]
- Neumann, T.A.; Martino, A.J.; Markus, T.; Bae, S.; Bock, M.R.; Brenner, A.C.; Brunt, K.M.; Cavanaugh, J.; Fernandes, S.T.; Hancock, D.W.; et al. The ice, cloud, and land elevation satellite—2 mission: A global geolocated photon product derived from the advanced topographic laser altimeter system. Remote Sens. Environ. 2019, 233, 111325. [Google Scholar] [CrossRef]
- Neuenschwander, A.; Pitts, K. The ATL08 land and vegetation product for the ICESat-2 Mission. Remote Sens. Environ. 2019, 221, 247–259. [Google Scholar] [CrossRef]
- Amy Neuenschwander, K.P.; Jelley, B.; Robbins, J. Ice, Cloud, and Land Elevation Satellite-2 (ICESat-2) Algorithm Theoretical Basis Document (ATBD); icesat2_atl08_atbd_r005_1; NASA: Greenbelt, MA, USA, 2022; Volume 2, p. 2022. [Google Scholar]
- Liu, A.; Cheng, X.; Chen, Z. Performance evaluation of GEDI and ICESat-2 laser altimeter data for terrain and canopy height retrievals. Remote Sens. Environ. 2021, 264, 112571. [Google Scholar] [CrossRef]
- Osama, N.; Shao, Z.; Ma, Y.; Yan, J.; Fan, Y.; Magdy Habib, S.; Freeshah, M. The ATL08 as a height reference for the global digital elevation models. Geo-Spat. Inf. Sci. 2022, 27, 327–346. [Google Scholar] [CrossRef]
- Li, B.; Xie, H.; Tong, X.; Liu, S.; Xu, Q.; Sun, Y. Extracting accurate terrain in vegetated areas from ICESat-2 data. International J. Appl. Earth Obs. Geoinf. 2023, 117, 103200. [Google Scholar] [CrossRef]
- Atmani, F.; Bookhagen, B.; Smith, T. Measuring Vegetation Heights and Their Seasonal Changes in the Western Namibian Savanna Using Spaceborne Lidars. Remote Sens. 2022, 14, 2928. [Google Scholar] [CrossRef]
- Shang, D.; Zhang, Y.; Dai, C.; Ma, Q.; Wang, Z. Extraction Strategy for ICESat-2 Elevation Control Points Based on ATL08 Product. IEEE Trans. Geosci. Remote Sens. 2022, 60, 5705012. [Google Scholar] [CrossRef]
- del Rosario González-Moradas, M.; Viveen, W. Evaluation of ASTER GDEM2, SRTMv3.0, ALOS AW3D30 and TanDEM-X DEMs for the Peruvian Andes against highly accurate GNSS ground control points and geomorphological-hydrological metrics. Remote Sens. Environ. 2020, 237, 111509. [Google Scholar] [CrossRef]
- Yamazaki, D.; Ikeshima, D.; Sosa, J.; Bates, P.D.; Allen, G.H.; Pavelsky, T.M. MERIT Hydro: A High-Resolution Global Hydrography Map Based on Latest Topography Dataset. Water Resour. Res. 2019, 55, 5053–5073. [Google Scholar] [CrossRef]
- Nardi, F.; Annis, A.; Di Baldassarre, G.; Vivoni, E.R.; Grimaldi, S. GFPLAIN250m, a global high-resolution dataset of Earth’s floodplains. Sci. Data 2019, 6, 180309. [Google Scholar] [CrossRef] [PubMed]
- Breiman, L. Random Forests. Mach. Learn. 2001, 45, 5–32. [Google Scholar] [CrossRef]
- He, X.; Chaney, N.W.; Schleiss, M.; Sheffield, J. Spatial downscaling of precipitation using adaptable random forests. Water Resour. Res. 2016, 52, 8217–8237. [Google Scholar] [CrossRef]
- Su, Y.; Guo, Q. A practical method for SRTM DEM correction over vegetated mountain areas. ISPRS J. Photogramm. Remote Sens. 2014, 87, 216–228. [Google Scholar] [CrossRef]
- Hu, M.; Ji, S. Accuracy evaluation and improvement of common DEM in Hubei Region based on ICESat/GLAS data. Earth Sci. Inform. 2021, 15, 221–231. [Google Scholar] [CrossRef]
- Li, H.; Deng, Q.; Wang, L. Automatic co-registration of digital elevation models based on centroids of subwatersheds. IEEE Trans. Geosci. Remote Sens. 2017, 55, 6639–6650. [Google Scholar] [CrossRef]
- Liu, X.; Ran, M.; Xia, H.; Deng, M. Evaluating Vertical Accuracies of Open-Source Digital Elevation Models over Multiple Sites in China Using GPS Control Points. Remote Sens. 2022, 14, 2000. [Google Scholar] [CrossRef]
- Huang, J.; Wei, L.; Chen, T.; Luo, M.; Yang, H.; Sang, Y. Evaluation of DEM Accuracy Improvement Methods Based on Multi-Source Data Fusion in Typical Gully Areas of Loess Plateau. Sensors 2023, 23, 3878. [Google Scholar] [CrossRef] [PubMed]
- Das, A.; Agrawal, R.; Mohan, S. Topographic correction of ALOS-PALSAR images using InSAR-derived DEM. Geocarto Int. 2014, 30, 145–153. [Google Scholar] [CrossRef]
- Mesa-Mingorance, J.L.; Ariza-López, F.J. Accuracy Assessment of Digital Elevation Models (DEMs): A Critical Review of Practices of the Past Three Decades. Remote Sens. 2020, 12, 2630. [Google Scholar] [CrossRef]
- Ouyang, Z.; Zhou, C.; Xie, J.; Zhu, J.; Zhang, G.; Ao, M. SRTM DEM correction using ensemble machine learning algorithm. Remote Sens. 2023, 15, 3946. [Google Scholar] [CrossRef]
- Meadows, M.; Wilson, M. A Comparison of Machine Learning Approaches to Improve Free Topography Data for Flood Modelling. Remote Sens. 2021, 13, 275. [Google Scholar] [CrossRef]
- Li, H.; Zhao, J. Evaluation of the newly released worldwide AW3D30 DEM over typical landforms of China using two global DEMs and ICESat/GLAS data. IEEE J. Sel. Top. Appl. Earth Obs. Remote Sens. 2018, 11, 4430–4440. [Google Scholar] [CrossRef]
- Uuemaa, E.; Ahi, S.; Montibeller, B.; Muru, M.; Kmoch, A. Vertical accuracy of freely available global digital elevation models (ASTER, AW3D30, MERIT, TanDEM-X, SRTM, and NASADEM). Remote Sens. 2020, 12, 3482. [Google Scholar] [CrossRef]
- Li, M.; Yin, X.; Tang, B.-H.; Yang, M. Accuracy Assessment of High-Resolution Globally Available Open-Source DEMs Using ICESat/GLAS over Mountainous Areas, A Case Study in Yunnan Province, China. Remote Sens. 2023, 15, 1952. [Google Scholar] [CrossRef]
- Zhao, X.; Su, Y.; Hu, T.; Chen, L.; Gao, S.; Wang, R.; Jin, S.; Guo, Q. A global corrected SRTM DEM product for vegetated areas. Remote Sens. Lett. 2018, 9, 393–402. [Google Scholar] [CrossRef]
- Zhou, C.; Zhang, G.; Yang, Z.; Ao, M.; Liu, Z.; Zhu, J. An adaptive terrain-dependent method for SRTM DEM correction over mountainous areas. IEEE Access 2020, 8, 130878–130887. [Google Scholar] [CrossRef]
- Pham, H.T.; Marshall, L.; Johnson, F.; Sharma, A. A method for combining SRTM DEM and ASTER GDEM2 to improve topography estimation in regions without reference data. Remote Sens. Environ. 2018, 210, 229–241. [Google Scholar] [CrossRef]
- Guan, L.; Pan, H.; Zou, S.; Hu, J.; Zhu, X.; Zhou, P. The impact of horizontal errors on the accuracy of freely available Digital Elevation Models (DEMs). Int. J. Remote Sens. 2020, 41, 7383–7399. [Google Scholar] [CrossRef]
- Shen, X.; Zhou, C.; Zhu, J. Improving the Accuracy of TanDEM-X Digital Elevation Model Using Least Squares Collocation Method. Remote Sens. 2023, 15, 3695. [Google Scholar] [CrossRef]










| Datasets | Acquired | Producer | Version | Resolution | Coverage | Datum Plain/ Vertical | Method Source | Vertical Accuracy | Access Website |
|---|---|---|---|---|---|---|---|---|---|
| ALOS PALSAR | 2018 | JAXA | V001 | 12.5 m | 60°N~59°S | WGS84 /WGS84 | L-SAR | 5 m | URL1 |
| SRTM1 DEM | 2014 | NASA | V003 | 1″(~30 m) | 60°N~56°S | WGS84 /EGM96 | C-SAR | 9 m | URL2 |
| SRTM3 DEM | 2015 | NASA | V4.1 | 3″(~90 m) | 60°N~56°S | WGS84 /EGM96 | C-SAR | 16 m | URL2 |
| NASA DEM | 2020 | LP DAAC | V001 | 1″(~30 m) | 60°N~56°S | WGS84 /EGM96 | Reprocessed C-SAR | 5 m | URL3 |
| ASTER GDEM V3 | 2019 | NASA METI | V3 | 1″(~30 m) | 83°N~83°S | WGS84 /EGM96 | Stereo NIR imagery | ~10 m | URL4 |
| ICESat-2 ATL08 | 2018 | NASA | V005 | 100 m | 90°N~90°S | WGS84 /WGS84 | Photon- counting | 0.75 m | URL5 |
| Parameters | Describe |
|---|---|
| latitude | Latitude of the most central signal photon in each segment. |
| longitude | Longitude of the most central signal photon in each segment. |
| h_te_best_fit | Best terrain elevation of midpoint of every 100 m segment. |
| terrain_slope | Along-track slope of the terrain within each segment, calculated by linearly fitting the terrain classification. |
| cloud_flag_atm | Cloud cover flag. If the flag is greater than 0, aerosols or clouds may be present. Valid range is 0–10. |
| night_flag | Flag indicating data were collected at night: 0 = day, 1 = night. |
| DEM | Statistical Parameters | ≤5° | 5~10° | 10~15° | 15~20° | ≥20° |
|---|---|---|---|---|---|---|
| ALOS PALSAR | Sample Point | 2069 | 2104 | 2051 | 2393 | 42,381 |
| ME | −0.41 | −3.81 | −5.24 | −6.55 | −10.37 | |
| cME | 0.18 | 0.15 | 0.11 | 0.16 | 0.08 | |
| RMSE | 11.16 | 9.53 | 11.34 | 13.49 | 18.85 | |
| cRMSE | 5.11 | 4.82 | 5.08 | 6.47 | 10.79 | |
| SRTM1 DEM | Sample Point | 2594 | 2380 | 2531 | 2292 | 41,201 |
| ME | −38.20 | −38.60 | −37.96 | −38.01 | −39.07 | |
| cME | 0.17 | 0.07 | 0.18 | −0.05 | 0.09 | |
| RMSE | 39.77 | 39.90 | 39.47 | 39.78 | 41.44 | |
| cRMSE | 4.65 | 4.37 | 5.73 | 7.80 | 10.88 | |
| SRTM3 DEM | Sample Point | 4825 | 3416 | 2904 | 2505 | 37,348 |
| ME | −39.59 | −38.96 | −37.40 | −37.71 | −39.27 | |
| cME | 0.12 | −0.02 | 0.08 | 0.01 | 0.15 | |
| RMSE | 41.01 | 40.57 | 39.37 | 40.07 | 43.31 | |
| cRMSE | 3.74 | 4.48 | 6.06 | 6.64 | 12.76 | |
| NASADEM | Sample Point | 2584 | 2496 | 2692 | 2459 | 40,767 |
| ME | −39.13 | −36.42 | −35.79 | −36.10 | −37.57 | |
| cME | 0.12 | −0.03 | 0.01 | −0.01 | 0.08 | |
| RMSE | 37.69 | 37.78 | 37.41 | 38.07 | 40.05 | |
| cRMSE | 4.63 | 5.27 | 5.43 | 7.30 | 10.87 | |
| ASTER GDEM V3 | Sample Point | 2575 | 2354 | 2598 | 2323 | 41,148 |
| ME | −34.02 | −34.29 | −33.19 | −34.02 | −39.02 | |
| cME | −0.03 | 0.05 | 0.04 | −0.04 | 0.06 | |
| RMSE | 36.32 | 36.37 | 35.81 | 37.39 | 43.33 | |
| cRMSE | 5.78 | 5.78 | 5.89 | 7.00 | 11.26 |
| DEM | Statistical Parameters | Plain | Terrace | Hills | Small Rolling Hills | Medium Rolling Hills | Large Rolling Hills |
|---|---|---|---|---|---|---|---|
| ALOS PALSAR | Sample Point | 4 | 3243 | 11,177 | 24,099 | 11,885 | 590 |
| ME | −5.24 | −3.21 | −3.62 | −5.02 | −8.59 | −17.80 | |
| cME | −1.19 | −0.04 | 0.02 | 0.29 | 0.04 | −4.50 | |
| RMSE | 5.35 | 5.18 | 8.81 | 12.76 | 17.54 | 28.90 | |
| cRMSE | 1.72 | 2.84 | 5.83 | 8.98 | 14.53 | 23.80 | |
| SRTM1 DEM | Sample Point | 4 | 3243 | 11,177 | 24,099 | 11,885 | 590 |
| ME | −45.70 | −42.59 | −40.80 | −36.90 | −37.70 | −44.60 | |
| cME | −0.33 | −0.09 | 0.01 | 0.25 | 0.14 | −4.94 | |
| RMSE | 45.70 | 42.84 | 41.72 | 38.74 | 40.09 | 48.74 | |
| cRMSE | 0.68 | 2.81 | 5.96 | 9.03 | 14.41 | 24.23 | |
| SRTM3 DEM | Sample Point | 4 | 3243 | 11,177 | 24,099 | 11,885 | 590 |
| ME | −46.04 | −42.88 | −41.19 | −37.22 | −37.34 | −40.12 | |
| cME | −0.68 | −0.10 | 0.03 | 0.31 | 0.13 | −4.57 | |
| RMSE | 46.04 | 43.14 | 42.12 | 39.20 | 40.35 | 47.04 | |
| cRMSE | 0.98 | 2.77 | 5.66 | 9.27 | 16.17 | 38.41 | |
| NASADEM | Sample Point | 4 | 3243 | 11,177 | 24,099 | 11,885 | 590 |
| ME | −43.29 | −40.07 | −38.50 | −34.83 | −36.38 | −43.87 | |
| cME | −0.24 | −0.07 | −0.03 | 0.27 | 0.04 | −4.44 | |
| RMSE | 43.30 | 40.33 | 39.45 | 36.72 | 38.97 | 48.00 | |
| cRMSE | 0.44 | 2.67 | 5.80 | 9.25 | 14.09 | 23.31 | |
| ASTER GDEM V3 | Sample Point | 4 | 3243 | 11,177 | 24,099 | 11,885 | 590 |
| ME | −44.80 | −39.46 | −35.62 | −31.98 | −36.48 | −45.50 | |
| cME | 0.45 | −0.05 | 0.01 | 0.26 | −0.02 | −5.24 | |
| RMSE | 45.12 | 40.20 | 37.47 | 34.87 | 40.25 | 50.48 | |
| cRMSE | 1.28 | 3.25 | 6.12 | 9.94 | 14.78 | 24.62 |
Disclaimer/Publisher’s Note: The statements, opinions and data contained in all publications are solely those of the individual author(s) and contributor(s) and not of MDPI and/or the editor(s). MDPI and/or the editor(s) disclaim responsibility for any injury to people or property resulting from any ideas, methods, instructions or products referred to in the content. |
© 2024 by the authors. Licensee MDPI, Basel, Switzerland. This article is an open access article distributed under the terms and conditions of the Creative Commons Attribution (CC BY) license (https://creativecommons.org/licenses/by/4.0/).
Share and Cite
Xu, W.; Li, J.; Peng, D.; Yin, H.; Jiang, J.; Xia, H.; Wen, D. Vertical Accuracy Assessment and Improvement of Five High-Resolution Open-Source Digital Elevation Models Using ICESat-2 Data and Random Forest: Case Study on Chongqing, China. Remote Sens. 2024, 16, 1903. https://doi.org/10.3390/rs16111903
Xu W, Li J, Peng D, Yin H, Jiang J, Xia H, Wen D. Vertical Accuracy Assessment and Improvement of Five High-Resolution Open-Source Digital Elevation Models Using ICESat-2 Data and Random Forest: Case Study on Chongqing, China. Remote Sensing. 2024; 16(11):1903. https://doi.org/10.3390/rs16111903
Chicago/Turabian StyleXu, Weifeng, Jun Li, Dailiang Peng, Hongyue Yin, Jinge Jiang, Hongxuan Xia, and Di Wen. 2024. "Vertical Accuracy Assessment and Improvement of Five High-Resolution Open-Source Digital Elevation Models Using ICESat-2 Data and Random Forest: Case Study on Chongqing, China" Remote Sensing 16, no. 11: 1903. https://doi.org/10.3390/rs16111903
APA StyleXu, W., Li, J., Peng, D., Yin, H., Jiang, J., Xia, H., & Wen, D. (2024). Vertical Accuracy Assessment and Improvement of Five High-Resolution Open-Source Digital Elevation Models Using ICESat-2 Data and Random Forest: Case Study on Chongqing, China. Remote Sensing, 16(11), 1903. https://doi.org/10.3390/rs16111903

