A Comparative Study on Multi-Parameter Ionospheric Disturbances Associated with the 2015 Mw 7.5 and 2023 Mw 6.3 Earthquakes in Afghanistan
Abstract
1. Introduction
2. Data and Methods
2.1. Tectonic Setting of Afghanistan Earthquakes
2.2. Spatiotemporal Data Selection Criteria
2.3. Multi-Parameter Data and Processing
2.4. Solar–Geomagnetic Impact Exclusion
3. Results
3.1. Multi-Parameter Ionospheric Anomalies
3.1.1. GIM-TEC Anomalies
3.1.2. GPS-TEC Anomalies
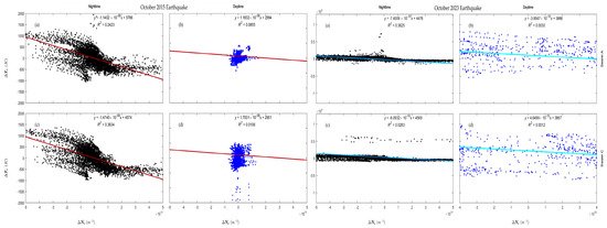
3.1.3. Ne and Te Anomalies
3.1.4. foF2 and hmF2 Anomalies
4. Discussion
5. Conclusions
- It was detected that GIM-TEC anomalies for the October 2015 Mw 7.5 earthquake started appearing from 26 days before the shock to 1 day before the shock, while for the 2023 Mw 6.3 earthquake, the Swarm anomalies could be noticed even 2 h before the earthquake happened.
- After stringently examining the common anomaly days, it was found that all possible ionospheric parameters for the 2015 earthquake were 30-09, 03-10, 15-10, 17-10, 18-10, 19-10, 20-10, 24-10, and 25-10, and for the 2023 earthquake, they were 19-09, 21-09, 24-09, 26-09, 29-09, 30-09, 02-10, 06-10, 07-10, 10-10, 11-10, 13-10, 14-10, and 15-10.
- Spatiotemporal coincidence was well established during the multi-parameter analysis, which confirms that the revealed ionospheric anomalies are important precursors of earthquakes.
- The data validations from various sources for anomalous days also confirm the true pre-seismic activities induced in the ionosphere.
Supplementary Materials
Author Contributions
Funding
Data Availability Statement
Acknowledgments
Conflicts of Interest
References
- Pulinets, S.A. Seismic Activity as a Source of the Ionospheric Variability. Adv. Space Res. 1998, 22, 903–906. [Google Scholar] [CrossRef]
- Dautermann, T.; Calais, E.; Haase, J.; Garrison, J. Investigation of Ionospheric Electron Content Variations before Earthquakes in Southern California, 2003–2004. J. Geophys. Res. 2007, 112, 2006JB004447. [Google Scholar] [CrossRef]
- Pulinets, S.A.; Gaivoronska, T.B.; Leyva Contreras, A.; Ciraolo, L. Correlation Analysis Technique Revealing Ionospheric Precursors of Earthquakes. Nat. Hazards Earth Syst. Sci. 2004, 4, 697–702. [Google Scholar] [CrossRef]
- Qiang, Z.; Xu, X.; Dian, C. Case 27 Thermal Infrared Anomaly Precursor of Impending Earthquakes. PAGEOPH 1997, 149, 159–171. [Google Scholar] [CrossRef]
- Wu, L.; Liu, S.; Wu, Y. The Experiment Evidences for Tectonic Earthquake Forecasting Based on Anomaly Analysis on Satellite Infrared Image. In Proceedings of the 2006 IEEE International Symposium on Geoscience and Remote Sensing, Denver, CO, USA, 31 July–4 August 2006; pp. 2158–2162. [Google Scholar]
- Das, N.; Bhandari, R.; Ghose, D.; Sen, P.; Sinha, B. Significant Anomalies of Helium, Radon and Gamma Ahead of 7.9 M China Earthquake. Acta Geod. Geophys. Hung. 2009, 44, 357–365. [Google Scholar] [CrossRef]
- Wu, L.; Zheng, S.; De Santis, A.; Qin, K.; Di Mauro, R.; Liu, S.; Rainone, M.L. Geosphere Coupling and Hydrothermal Anomalies before the 2009 Mw 6.3 L’Aquila Earthquake in Italy. Nat. Hazards Earth Syst. Sci. 2016, 16, 1859–1880. [Google Scholar] [CrossRef]
- Pak, Y.E. Linear Electro-Elastic Fracture Mechanics of Piezoelectric Materials. Int. J. Fract. 1992, 54, 79–100. [Google Scholar] [CrossRef]
- Freund, F.T.; Takeuchi, A.; Lau, B.W.S.; Post, R.; Keefner, J.; Mellon, J.; Al-Manaseer, A. Stress-Induced Changes in the Electrical Conductivity of Igneous Rocks and the Generation of Ground Currents. Terr. Atmos. Ocean. Sci. 2004, 15, 437. [Google Scholar] [CrossRef]
- Freund, F. Toward a Unified Solid State Theory for Pre-Earthquake Signals. Acta Geophys. 2010, 58, 719–766. [Google Scholar] [CrossRef]
- Freund, F. Pre-Earthquake Signals: Underlying Physical Processes. J. Asian Earth Sci. 2011, 41, 383–400. [Google Scholar] [CrossRef]
- Mao, W.; Wu, L.; Liu, S.; Gao, X.; Huang, J.; Xu, Z.; Qi, Y. Additional Microwave Radiation From Experimentally Loaded Granite Covered With Sand Layers: Features and Mechanisms. IEEE Trans. Geosci. Remote Sens. 2020, 58, 5008–5022. [Google Scholar] [CrossRef]
- Qi, Y.; Wu, L.; Ding, Y.; Mao, W. Microwave Brightness Temperature Anomalies Associated With the 2015 Mw 7.8 Gorkha and Mw 7.3 Dolakha Earthquakes in Nepal. IEEE Trans. Geosci. Remote Sens. 2020, 60, 4500611. [Google Scholar] [CrossRef]
- Wu, L.; Wang, X.; Qi, Y.; Lu, J.; Mao, W. Characteristics and Mechanisms of Near-Surface Negative Atmospheric Electric Field Anomalies Preceding the 5 September 2022, M s 6.8 Luding Earthquake in China. Nat. Hazards Earth Syst. Sci. 2024, 24, 773–789. [Google Scholar] [CrossRef]
- Pulinets, S.; Boyarchuk, K. Ionospheric Precursors of Earthquakes; Springer: Berlin, Germany; New York, NY, USA, 2004; ISBN 978-3-540-20839-6. [Google Scholar]
- Draz, M.U.; Shah, M.; Jamjareegulgarn, P.; Shahzad, R.; Hasan, A.M.; Ghamry, N.A. Deep Machine Learning Based Possible Atmospheric and Ionospheric Precursors of the 2021 Mw 7.1 Japan Earthquake. Remote Sens. 2023, 15, 1904. [Google Scholar] [CrossRef]
- Gousheva, M.; Glavcheva, R.; Danov, D.; Angelov, P.; Hristov, P.; Kirov, B.; Georgieva, K. Satellite Monitoring of Anomalous Effects in the Ionosphere Probably Related to Strong Earthquakes. Adv. Space Res. 2006, 37, 660–665. [Google Scholar] [CrossRef]
- He, L.; Heki, K. Ionospheric Anomalies Immediately before Mw7.0–8.0 Earthquakes. J. Geophys. Res. 2017, 122, 8659–8678. [Google Scholar] [CrossRef]
- Li, W.; Yue, J.; Guo, J.; Yang, Y.; Zou, B.; Shen, Y.; Zhang, K. Statistical Seismo-Ionospheric Precursors of M7.0+ Earthquakes in Circum-Pacific Seismic Belt by GPS TEC Measurements. Adv. Space Res. 2018, 61, 1206–1219. [Google Scholar] [CrossRef]
- Xie, T.; Chen, B.; Wu, L.; Dai, W.; Kuang, C.; Miao, Z. Detecting Seismo-Ionospheric Anomalies Possibly Associated With the 2019 Ridgecrest (California) Earthquakes by GNSS, CSES, and Swarm Observations. JGR Space Phys. 2021, 126, e2020JA028761. [Google Scholar] [CrossRef]
- Ruwali, A.; Kumar, A.J.S.; Prakash, K.B.; Sivavaraprasad, G.; Ratnam, D.V. Implementation of Hybrid Deep Learning Model (LSTM-CNN) for Ionospheric TEC Forecasting Using GPS Data. IEEE Geosci. Remote Sens. Lett. 2021, 18, 1004–1008. [Google Scholar] [CrossRef]
- Li, Q.; Yang, D.; Fang, H. Two Hours Ahead Prediction of the TEC over China Using a Deep Learning Method. Universe 2022, 8, 405. [Google Scholar] [CrossRef]
- Xie, T.; Dai, Z.; Zhu, X.; Chen, B.; Ran, C. LSTM-Based Short-Term Ionospheric TEC Forecast Model and Positioning Accuracy Analysis. GPS Solut. 2023, 27, 66. [Google Scholar] [CrossRef]
- Jeong, S.; Lee, W.K.; Kil, H.; Jang, S.; Kim, J.; Kwak, Y. Deep Learning-Based Regional Ionospheric Total Electron Content Prediction—Long Short-Term Memory (LSTM) and Convolutional LSTM Approach. Space Weather 2024, 22, e2023SW003763. [Google Scholar] [CrossRef]
- He, L.M.; Wu, L.X.; De Santis, A.; Liu, S.J.; Yang, Y. Is There a One-to-One Correspondence between Ionospheric Anomalies and Large Earthquakes along Longmenshan Faults? Ann. Geophys. 2014, 32, 187–196. [Google Scholar] [CrossRef]
- He, L.; Wu, L.; Liu, S.; Ma, B. Seismo-Ionospheric Anomalies Detection Based on Integrated Wavelet. In Proceedings of the 2011 IEEE International Geoscience and Remote Sensing Symposium, Vancouver, BC, Canada, 24–29 July 2011; pp. 1834–1837. [Google Scholar]
- Pulinets, S.; Krankowski, A.; Hernandez-Pajares, M.; Marra, S.; Cherniak, I.; Zakharenkova, I.; Rothkaehl, H.; Kotulak, K.; Davidenko, D.; Blaszkiewicz, L.; et al. Ionosphere Sounding for Pre-Seismic Anomalies Identification (INSPIRE): Results of the Project and Perspectives for the Short-Term Earthquake Forecast. Front. Earth Sci. 2021, 9, 610193. [Google Scholar] [CrossRef]
- Iwata, T.; Umeno, K. Pre-Seismic Ionospheric Anomalies Detected before the 2016 Kumamoto Earthquake. JGR Space Phys. 2017, 122, 3602–3616. [Google Scholar] [CrossRef]
- Kandalyan, R.A.; Alquran, M.K. Ionosphere Scintillation and Earthquakes. Jordan J. Phys. 2010, 3, 69–76. [Google Scholar]
- Xu, T.; Wu, J.; Zhao, Z.; Liu, Y.; He, S.; Li, J.; Wu, Z.; Hu, Y. Brief Communication “Monitoring Ionospheric Variations before Earthquakes Using the Vertical and Oblique Sounding Network over China”. Nat. Hazards Earth Syst. Sci. 2011, 11, 1083–1089. [Google Scholar] [CrossRef]
- Parrot, M.; Benoist, D.; Berthelier, J.J.; Błęcki, J.; Chapuis, Y.; Colin, F.; Elie, F.; Fergeau, P.; Lagoutte, D.; Lefeuvre, F.; et al. The Magnetic Field Experiment IMSC and Its Data Processing Onboard DEMETER: Scientific Objectives, Description and First Results. Planet. Space Sci. 2006, 54, 441–455. [Google Scholar] [CrossRef]
- Marchetti, D.; Akhoondzadeh, M. Analysis of Swarm Satellites Data Showing Seismo-Ionospheric Anomalies around the Time of the Strong Mexico (Mw = 8.2) Earthquake of 08 September 2017. Adv. Space Res. 2018, 62, 614–623. [Google Scholar] [CrossRef]
- Liu, J.Y.; Chen, Y.I.; Chuo, Y.J.; Chen, C.S. A Statistical Investigation of Preearthquake Ionospheric Anomaly. J. Geophys. Res. 2006, 111, 2005JA011333. [Google Scholar] [CrossRef]
- Cherrier, N.; Castaings, T.; Boulch, A. Deep Sequence-to-Sequence Neural Networks for Ionospheric Activity Map Prediction. In Neural Information Processing; Liu, D., Xie, S., Li, Y., Zhao, D., El-Alfy, E.-S.M., Eds.; Lecture Notes in Computer Science; Springer International Publishing: Cham, Switzerland, 2017; Volume 10638, pp. 545–555. ISBN 978-3-319-70138-7. [Google Scholar]
- Salikhov, N.; Shepetov, A.; Pak, G.; Nurakynov, S.; Kaldybayev, A.; Ryabov, V.; Zhukov, V. Investigation of the Pre- and Co-Seismic Ionospheric Effects from the 6 February 2023 M7.8 Turkey Earthquake by a Doppler Ionosonde. Atmosphere 2023, 14, 1483. [Google Scholar] [CrossRef]
- Sharma, G.; Nayak, K.; Romero-Andrade, R.; Aslam, M.A.M.; Sarma, K.K.; Aggarwal, S.P. Low Ionosphere Density Above the Earthquake Epicentre Region of Mw 7.2, El Mayor–Cucapah Earthquake Evident from Dense CORS Data. J. Indian Soc. Remote Sens. 2024, 52, 543–555. [Google Scholar] [CrossRef]
- Tachema, A. Identifying Pre-Seismic Ionospheric Disturbances Using Space Geodesy: A Case Study of the 2011 Lorca Earthquake (Mw 5.1), Spain. Earth Sci. Inform. 2024, 1–17. [Google Scholar] [CrossRef]
- Nayak, K.; Romero-Andrade, R.; Sharma, G.; Zavala, J.L.C.; Urias, C.L.; Trejo Soto, M.E.; Aggarwal, S.P. A Combined Approach Using B-Value and Ionospheric GPS-TEC for Large Earthquake Precursor Detection: A Case Study for the Colima Earthquake of 7.7 Mw, Mexico. Acta Geod. Geophys. 2023, 58, 515–538. [Google Scholar] [CrossRef]
- Song, J.; Kang, S.-H.; Han, D.-H.; Kim, B.-G.; Kee, C. Real-Time Detection of Seismic Ionospheric Disturbance Using Global Navigation Satellite System Signal. JKSAS 2019, 47, 549–557. [Google Scholar] [CrossRef]
- Marchand, R.; Berthelier, J.J. Simple Model for Post Seismic Ionospheric Disturbances above an Earthquake Epicentre and along Connecting Magnetic Field Lines. Nat. Hazards Earth Syst. Sci. 2008, 8, 1341–1347. [Google Scholar] [CrossRef]
- Sezen, U.; Arikan, F.; Arikan, O.; Ugurlu, O.; Sadeghimorad, A. Online, Automatic, Near-real Time Estimation of GPS-TEC: IONOLAB-TEC. Space Weather 2013, 11, 297–305. [Google Scholar] [CrossRef]
- Yasyukevich, Y.V.; Kiselev, A.V.; Zhivetiev, I.V.; Edemskiy, I.K.; Syrovatskii, S.V.; Maletckii, B.M.; Vesnin, A.M. SIMuRG: System for Ionosphere Monitoring and Research from GNSS. GPS Solut. 2020, 24, 69. [Google Scholar] [CrossRef]
- Hayes, G.P.; Meyers, E.K.; Dewey, J.W.; Briggs, R.W.; Earle, P.S.; Benz, H.M.; Smoczyk, G.M.; Flamme, H.E.; Barnhart, W.D.; Gold, R.D.; et al. Tectonic Summaries of Magnitude 7 and Greater Earthquakes from 2000 to 2015. US Geol. Surv. 2017, 148. [Google Scholar] [CrossRef]
- Ghassabian, N.N. Afghanistan Earthquake Swarm 10-29-2023; Brill: Leiden, The Netherlands, 2023. [Google Scholar] [CrossRef]
- Wu, L.; Qin, K.; Liu, S. GEOSS-Based Thermal Parameters Analysis for Earthquake Anomaly Recognition. Proc. IEEE 2012, 100, 2891–2907. [Google Scholar] [CrossRef]
- Qin, K.; Wu, L.; Zheng, S.; Liu, S. A Deviation-Time-Space-Thermal (DTS-T) Method for Global Earth Observation System of Systems (GEOSS)-Based Earthquake Anomaly Recognition: Criterions and Quantify Indices. Remote Sens. 2013, 5, 5143–5151. [Google Scholar] [CrossRef]
- Dobrovolsky, I.P.; Zubkov, S.I.; Miachkin, V.I. Estimation of the Size of Earthquake Preparation Zones. PAGEOPH 1979, 117, 1025–1044. [Google Scholar] [CrossRef]
- Oikonomou, C. Investigation of Ionospheric TEC Precursors Related to the M7.8 Nepal and M8.3 Chile Earthquakes in 2015 Based on Spectral and Statistical Analysis. Nat. Hazards 2016, 83, 97–116. [Google Scholar] [CrossRef]
- Nayak, K.; López-Urías, C.; Romero-Andrade, R.; Sharma, G.; Guzmán-Acevedo, G.M.; Trejo-Soto, M.E. Ionospheric Total Electron Content (TEC) Anomalies as Earthquake Precursors: Unveiling the Geophysical Connection Leading to the 2023 Moroccan 6.8 Mw Earthquake. Geosciences 2023, 13, 319. [Google Scholar] [CrossRef]
- Colonna, R.; Filizzola, C.; Genzano, N.; Lisi, M.; Tramutoli, V. Optimal Setting of Earthquake-Related Ionospheric TEC (Total Electron Content) Anomalies Detection Methods: Long-Term Validation over the Italian Region. Geosciences 2023, 13, 150. [Google Scholar] [CrossRef]
- Van Den IJssel, J.; Encarnação, J.; Doornbos, E.; Visser, P. Precise Science Orbits for the Swarm Satellite Constellation. Adv. Space Res. 2015, 56, 1042–1055. [Google Scholar] [CrossRef]
- De Santis, A.; Balasis, G.; Pavón-Carrasco, F.J.; Cianchini, G.; Mandea, M. Potential Earthquake Precursory Pattern from Space: The 2015 Nepal Event as Seen by Magnetic Swarm Satellites. Earth Planet. Sci. Lett. 2017, 461, 119–126. [Google Scholar] [CrossRef]
- Liu, J.; Huang, J.; Zhang, X. Ionospheric Perturbations in Plasma Parameters before Global Strong Earthquakes. Adv. Space Res. 2014, 53, 776–787. [Google Scholar] [CrossRef]
- Ondoh, T. Investigation of Precursory Phenomena in the Ionosphere, Atmosphere and Groundwater before Large Earthquakes of M>6.5. Adv. Space Res. 2009, 43, 214–223. [Google Scholar] [CrossRef]
- Pulinets, S.A.; Legen’ka, A.D.; Gaivoronskaya, T.V.; Depuev, V.K. Main Phenomenological Features of Ionospheric Precursors of Strong Earthquakes. J. Atmos. Sol. Terr. Phys. 2003, 65, 1337–1347. [Google Scholar] [CrossRef]
- Global Ionosphere Radio Observatory. 2023. Available online: https://giro.uml.edu/ (accessed on 1 November 2023).
- Wu, L.; Qi, Y.; Mao, W.; Lu, J.; Ding, Y.; Peng, B.; Xie, B. Scrutinizing and Rooting the Multiple Anomalies of Nepal Earthquake Sequence in 2015 with the Deviation–Time–Space Criterion and Homologous Lithosphere–Coversphere–Atmosphere–Ionosphere Coupling Physics. Nat. Hazards Earth Syst. Sci. 2023, 23, 231–249. [Google Scholar] [CrossRef]
- Kamogawa, M. Preseismic Lithosphere-atmosphere-ionosphere Coupling. Eos Trans. 2006, 87, 417–424. [Google Scholar] [CrossRef]
- Khan, A.Q.; Ghaffar, B.; Shah, M.; Ullah, I.; Oliveira-Júnior, J.F.; Eldin, S.M. Possible Seismo-Ionospheric Anomalies Associated with the 2016 Mw 6.5 Indonesia Earthquake from GPS TEC and Swarm Satellites. Front. Astron. Space Sci. 2022, 9, 1065453. [Google Scholar] [CrossRef]
- Haider, S.F.; Shah, M.; Li, B.; Jamjareegulgarn, P.; De Oliveira-Júnior, J.F.; Zhou, C. Synchronized and Co-Located Ionospheric and Atmospheric Anomalies Associated with the 2023 Mw 7.8 Turkey Earthquake. Remote Sens. 2024, 16, 222. [Google Scholar] [CrossRef]
- Gousheva, M.; Danov, D.; Hristov, P.; Matova, M. Quasi-Static Electric Fields Phenomena in the Ionosphere Associated with Pre- and Post Earthquake Effects. Nat. Hazards Earth Syst. Sci. 2008, 8, 101–107. [Google Scholar] [CrossRef]
- Kouris, S.S.; Spalla, P.; Zolesi, B. Could Ionospheric Variations Be Precursors of a Seismic Event? A Short Discussion. Ann. Geophys. 2001, 44, 23. [Google Scholar] [CrossRef]











| Date | GIM TEC Anomaly (@UTC) | GPS TEC Anomaly (@UTC) | SWARM Ne and Te Anomaly | Fof2 Anomaly Presence | Date | GIM TEC Anomaly (@UTC) | GPS TEC Anomaly (@UTC) | SWARM Ne and Te Anomaly | Fof2 Anomaly Presence |
|---|---|---|---|---|---|---|---|---|---|
| 30-09-2015 | 9-11 (+) | - | (−) Ne Night/(+) Day\(−)Te Night/Day | - | 19-10-2015 | 1-3, 7-9, 11-13, 17-19 (+) | 13-16 (+) | (+) Ne Day\Te Day (+) | ✓ |
| 03-10-2015 | 15-17 (−) | - | (−) Ne Night\(+) Te Night | - | 20-10-2015 | 13-15 (SW of epicenter) (+) | 12-14 (+) | (+) Ne Day\Te Day (+) | ✓ |
| 15-10-2015 | 9-12 (+) | 8-12 (+) | (+) Ne Night/Day\Te Night (−) | - | 24-10-2015 | 13, 15 East of epicenter (−) | 16-19 (+) | (+) Ne Night\Te Night (−)\Te Day (+) | ✓ |
| 17-10-2015 | 8-19 (+) | 6-9 (+) | (+) Ne Day\Te Night (−) | ✓ | 25-10-2015 | 20, 21 (NE of epicenter) minors (+) | 15-18 (+) | (+) Ne Night\Te Night (−)\Te Day (+) | ✓ |
| 18-10-2015 | 9-13 (+) | 11-18 (+) | (+) Ne Day\Te Day (+) | ✓ | 26-10-2015 (DOE) | - | 6-8 (+) | (+) Ne Night/Te Night/Day (−) | ✓ |
| Date | GIM TEC Anomaly (@UTC) | GPS TEC Anomaly (@UTC) | SWARM Ne and Te Anomaly | Fof2 Anomaly presence | Date | GIM TEC Anomaly (@UTC) | GPS TEC Anomaly (@UTC) | SWARM Ne and Te Anomaly | Fof2 Anomaly presence |
|---|---|---|---|---|---|---|---|---|---|
| 21-09-2023 | 12 (S of epicenter) (+) | - | (−) Te Night | - | 07-10-2023 (DOE) | 3 (+) | 4-6 (+), 12–4 (+) | (−) Te Night | ✓ |
| 24-09-2023 | 6, 7 (+) | - | (+) Ne Day | - | 10-10-2023 | 3 (+) | 8-13 (+) | (−) Te Day | ✓ |
| 29-09-2023 | 8-11 (+) | - | (+) Ne Night\(−) Day/(−) Te Night | - | 11-10-2023 (DOE) | 10-11 (+) | 11-13 (+), 15 (+) | (+) Ne Night\(−) Day/(−) Te Night\Day | ✓ |
| 30-09-2023 | 10-13 (+) | - | (+) Ne Night\Day/(−) Te Night | - | 13-10-2023 | 17-23 (+) | 12-15 (+), 17-20 (+) | (+) Ne Day/Ne Night/(−) Te Night | ✓ |
| 01-10-2023 | 3 (+) | 16 (+) | (+) Ne Day/(−) Te Night/(±) Day | - | 14-10-2023 | 1-2((+),21-23((−) | 12-14 | (−) Te Day/Te Night | ✓ |
| 02-10-2023 | 10-13 (+) | 14-16 (+) | (+) Ne Night/(−) Te Night/(±) Day | - | 15-10-2023 (DOE) | 7-9 (+), 21-23 (−) | 9-12 (+) | (−) Ne Day/(−) Te Night | ✓ |
| 06-10-2023 | 14 (+) | 10-12 (+), 14-15 (+) | (+) Ne Day/(±) Te Day | ✓ | - | - | - | - | - |
Disclaimer/Publisher’s Note: The statements, opinions and data contained in all publications are solely those of the individual author(s) and contributor(s) and not of MDPI and/or the editor(s). MDPI and/or the editor(s) disclaim responsibility for any injury to people or property resulting from any ideas, methods, instructions or products referred to in the content. |
© 2024 by the authors. Licensee MDPI, Basel, Switzerland. This article is an open access article distributed under the terms and conditions of the Creative Commons Attribution (CC BY) license (https://creativecommons.org/licenses/by/4.0/).
Share and Cite
Rasheed, R.; Chen, B.; Wu, D.; Wu, L. A Comparative Study on Multi-Parameter Ionospheric Disturbances Associated with the 2015 Mw 7.5 and 2023 Mw 6.3 Earthquakes in Afghanistan. Remote Sens. 2024, 16, 1839. https://doi.org/10.3390/rs16111839
Rasheed R, Chen B, Wu D, Wu L. A Comparative Study on Multi-Parameter Ionospheric Disturbances Associated with the 2015 Mw 7.5 and 2023 Mw 6.3 Earthquakes in Afghanistan. Remote Sensing. 2024; 16(11):1839. https://doi.org/10.3390/rs16111839
Chicago/Turabian StyleRasheed, Rabia, Biyan Chen, Dingyi Wu, and Lixin Wu. 2024. "A Comparative Study on Multi-Parameter Ionospheric Disturbances Associated with the 2015 Mw 7.5 and 2023 Mw 6.3 Earthquakes in Afghanistan" Remote Sensing 16, no. 11: 1839. https://doi.org/10.3390/rs16111839
APA StyleRasheed, R., Chen, B., Wu, D., & Wu, L. (2024). A Comparative Study on Multi-Parameter Ionospheric Disturbances Associated with the 2015 Mw 7.5 and 2023 Mw 6.3 Earthquakes in Afghanistan. Remote Sensing, 16(11), 1839. https://doi.org/10.3390/rs16111839

