An Innovative Correction–Fusion Approach for Multi-Satellite Precipitation Products Conditioned by Gauge Background Fields over the Lancang River Basin
Abstract
1. Introduction
2. Study Area and Data
2.1. Study Area
2.2. Data
2.2.1. Satellite Datasets
2.2.2. Rain Gauge Data
3. Methods
3.1. Evaluation Indexes
3.2. Merging Technique
3.2.1. Window Sliding Data Correction
3.2.2. Bayesian Data Fusion
3.3. Kriging Method
4. Results and Discussion
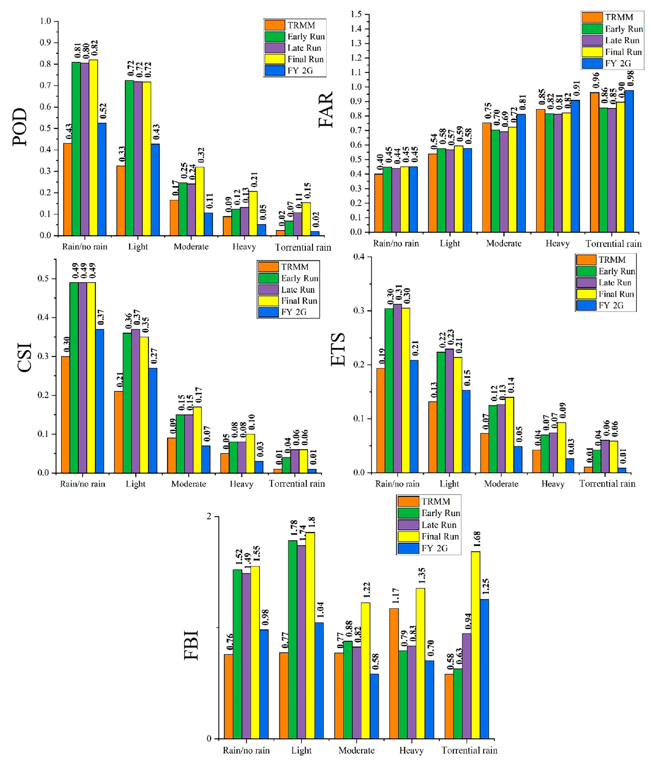
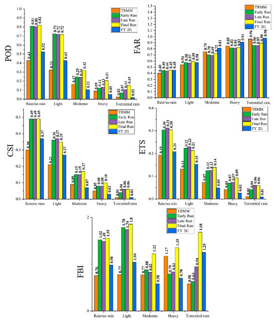
4.1. Evaluation of Multi-Source Satellite Data
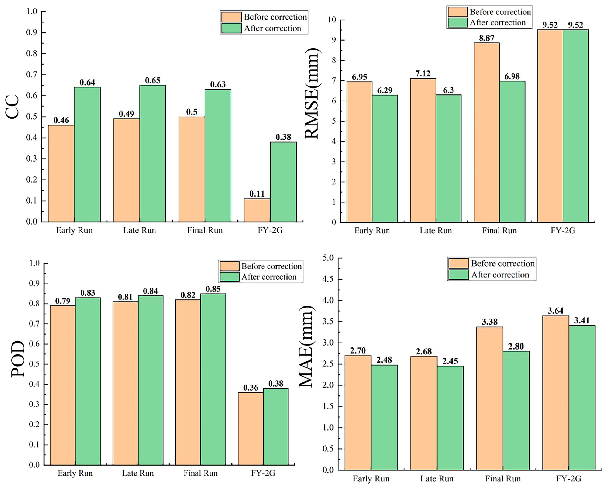
4.2. Evaluation of the Bias Correction Scheme
4.3. Evaluation of the Precipitation Fusion Method
4.4. Spatial Effect of the Correction–Fusion Method
5. Future Research Directions
- (1)
- Spatial scale: the spatial scale of the satellite precipitation data used in this study was 0.1° (approximately 10 km); therefore, its application on a smaller spatial scale (such as 5 km) requires further verification and analysis.
- (2)
- Time scale: satellite precipitation data with a time scale of 1 day were selected for the comparative evaluation and applicability analysis in this study, which cannot easily meet the needs of flood monitoring and forecasting. In addition, the effect of the deviation correction is closely related to the time scale [52]. The next step is to research on an hourly time scale to better meet the demands of flood monitoring, forecasting, and management.
- (3)
- Precipitation level: Deng et al. [53] found that some precipitation events were lost due to systematic errors in the revised model. Therefore, follow-up research should determine whether the proposed correction–fusion processing improves the ability of SPPs to detect precipitation events.
- (4)
- Combining multiple factors: In this study, we aimed to preliminarily verify the improvement effect of the proposed correction–fusion method on SPPs. Therefore, according to actual data from the Lancang River Basin, a correction was performed only through the relationship between ground station data and multi-source satellite precipitation data. However, satellites can only detect local precipitation conditions over a period; that is, they reflect a transient situation [54]. Therefore, the use of the relationship between satellite precipitation data and ground-measured data for corrections is limited. Future research should refer to the work of Zhang et al. [55] and other studies and attempt to add multiple factors to further improve data quality, such as latitude and longitude, digital elevation model topographic factors, seasonal factors, and the normalized difference vegetation index.
- (5)
- Change study area: The method of this study will be further improved and applied to other remote areas with insufficient data to verify the universality and reliability of the method on the one hand and to provide precipitation data sources for other similar areas on the other hand.
6. Conclusions
- (1)
- The correlation between the SPP data and ground-measured data in the Lancang River Basin was higher for the GPM IMERG products than for the TRMM and FY-2G, indicating a better ability to reflect actual long-term precipitation characteristics. Among the GPM products, the Final Run showed a better performance than the Early and Late Runs, which exhibited similar performances. However, FY-2G exhibited a lower RB among the SPPs on monthly and annual scales, which indicates that FY-2G products can better describe total precipitation.
- (2)
- We proposed a novel window sliding data correction method that significantly improved the quality of SPP data by not only improving their correlation and detection ability but also reducing their deviation. This method showed some applicability to the Lancang River Basin, although the correction effect was better in the middle and lower reaches of the basin than in the upper reaches due to the higher number of ground observation stations and higher quality of the ground reference information.
- (3)
- The Bayesian fusion method further improved the data quality and provided more reliable data sources for the Lancang River Basin. In this study, the corrected FY-2G data were fused with selected GPM-revised products for the first time to obtain near- and non-real-time fusion datasets. The former datasets are suitable for scenarios requiring more timely acquisition, such as practical applications, whereas the latter are more useful for scenarios prioritizing accuracy over data timeliness, such as scientific research.
Author Contributions
Funding
Data Availability Statement
Conflicts of Interest
References
- Dong, N.; Yu, Z.; Gu, H.; Yang, C.; Yang, M.; Wei, J.; Wang, H.; Arnault, J.; Laux, P.; Kunstmann, H. Climate-induced hydrological impact mitigated by a high-density reservoir network in the Poyang Lake Basin. J. Hydrol. 2019, 579, 124148. [Google Scholar] [CrossRef]
- Nan, L.; Yang, M.; Wang, H.; Xiang, Z.; Hao, S. Comprehensive Evaluation of Global Precipitation Measurement Mission (GPM) IMERG Precipitation Products over Mainland China. Water 2021, 13, 3381. [Google Scholar] [CrossRef]
- Mahmoud, M.T.; Hamouda, M.A.; Mohamed, M.M. Spatiotemporal evaluation of the GPM satellite precipitation products over the United Arab Emirates. Atmos. Res. 2019, 219, 200–212. [Google Scholar] [CrossRef]
- Wang, J.; Adler, R.F.; Huffman, G.J.; Bolvin, D. An updated TRMM composite climatology of tropical rainfall and its validation. J. Clim. 2014, 27, 273–284. [Google Scholar] [CrossRef]
- Jamandre, C.A.; Narisma, G.T. Spatio-temporal validation of satellite-based rainfall estimates in the Philippines. Atmos. Res. 2013, 122, 599–608. [Google Scholar] [CrossRef]
- Kim, K.; Park, J.; Baik, J.; Choi, M. Evaluation of topographical and seasonal feature using GPM IMERG and TRMM 3B42 over Far-East Asia. Atmos. Res. 2017, 187, 95–105. [Google Scholar] [CrossRef]
- Xiang, S.Y.; Li, Y.Q.; Zhai, S.X.; Peng, J. Comparative analysis of precipitation structures in two Southwest China Vortex events over eastern Sichuan basin by TRMM. J. Atmos. Solar Terr. Phys. 2021, 221, 105691. [Google Scholar] [CrossRef]
- Yang, N.; Zhang, K.; Hong, Y.; Zhao, Q.; Huang, Q.; Xu, Y.; Xue, X.; Chen, S. Evaluation of the TRMM multisatellite precipitation analysis and its applicability in supporting reservoir operation and water resources management in Hanjiang basin, China. J. Hydrol. 2017, 549, 313–325. [Google Scholar] [CrossRef]
- Li, X.H.; Zhang, Q.; Xu, C.Y. Suitability of the TRMM satellite rainfalls in driving a distributed hydrological model for water balance computations in Xinjiang catchment, Poyang lake basin. J. Hydrol. 2012, 426–427, 28–38. [Google Scholar] [CrossRef]
- Xue, X.; Hong, Y.; Limaye, A.S.; Gourley, J.J.; Huffman, G.J.; Khan, S.I.; Dorji, C.; Chen, S. Statistical and hydrological evaluation of TRMM-based Multi-satellite Precipitation Analysis over the Wangchu Basin of Bhutan: Are the latest satellite precipitation products 3B42V7 ready for use in ungauged basins? J. Hydrol. 2013, 499, 91–99. [Google Scholar] [CrossRef]
- Zulkafli, Z.; Buytaert, W.; Onof, C.; Manz, B.; Tarnavsky, E.; Lavado, W.; Guyot, J. A comparative performance analysis of TRMM 3B42 (TMPA) versions 6 and 7 for hydrological applications over Andean-Amazon River basins. J. Hydrol. Meteorol. 2014, 15, 581–592. [Google Scholar] [CrossRef]
- Yuan, F.; Wang, B.; Shi, C.; Cui, W.; Zhao, C.; Liu, Y.; Ren, L.; Zhang, L.; Zhu, Y.; Chen, T.; et al. Evaluation of hydrological utility of IMERG Final run V05 and TMPA 3B42V7 satellite precipitation products in the Yellow River source region, China. J. Hydrol. 2018, 567, 696–711. [Google Scholar] [CrossRef]
- Fang, J.; Yang, W.; Luan, Y.; Du, J.; Lin, A.; Zhao, L. Evaluation of the TRMM 3B42 and GPM IMERG products for extreme precipitation analysis over China. Atmos. Res. 2019, 223, 24–38. [Google Scholar] [CrossRef]
- Wang, X.; Ding, Y.; Zhao, C.; Wang, J. Similarities and improvements of GPM IMERG upon TRMM 3B42 precipitation product under complex topographic and climatic conditions over Hexi region, Northeastern Tibetan Plateau. Atmos. Res. 2019, 218, 347–363. [Google Scholar] [CrossRef]
- Nan, L.J.; Yang, M.X.; Liu, K.; Dong, N.P. Applicability analysis of GPM satellite precipitation dataset in Nandu River basin. In Proceedings of the International Conference on Computational Modeling, Simulation, and Data Analysis (CMSDA 2021), Sanya, China, 3–5 December 2021; Volume 12160, pp. 1–6. [Google Scholar] [CrossRef]
- Sun, G.K.; Wei, Y.X.; Wang, G.S.; Shi, R.; Chen, H.; Mo, C. Downscaling correction and hydrological applicability of the three latest high-resolution satellite precipitation products (GPM, GSMAP, and MSWEP) in the Pingtang catchment, China. Adv. Meteorol. 2022, 2022, 6507109. [Google Scholar] [CrossRef]
- Chaudhary, S.; Dhanya, C.T. An improved error decomposition scheme for satellite-based precipitation products. J. Hydrol. 2021, 598, 126434. [Google Scholar] [CrossRef]
- Li, W.Y.; Jiang, Q.; He, X.G.; Sun, H.; Sun, W.; Scaioni, M.; Chen, S.; Li, X.; Gao, J.; Hong, Y. Effective multi-satellite precipitation fusion procedure conditioned by gauge background fields over the Chinese mainland. J. Hydrol. 2022, 610, 127783. [Google Scholar] [CrossRef]
- Yang, X.Y.; Yang, S.; Tan, M.L.; Pan, H.; Zhang, H.; Wang, G.; He, R.; Wang, Z. Correcting the bias of daily satellite precipitation estimates in tropical regions using deep neural network. J. Hydrol. 2022, 608, 127656. [Google Scholar] [CrossRef]
- Yuan, F.; Zhang, L.M.; Win, K.W.W.; Ren, L.; Zhao, C.; Zhu, Y.; Jiang, S.; Liu, Y. Assessment of GPM and TRMM multi-satellite precipitation products in streamflow simulations in a data-sparse mountainous watershed in Myanmar. Remote Sens. 2017, 9, 302. [Google Scholar] [CrossRef]
- Wei, L.Y.; Jiang, S.H.; Ren, L.L.; Zhang, L.; Wang, M.; Liu, Y.; Duan, Z. Bias correction of GPM IMERG Early Run daily precipitation product using near real-time CPC global measurements. Atmos. Res. 2022, 279, 106403. [Google Scholar] [CrossRef]
- Abera, W.; Brocca, L.; Rigon, R. Comparative evaluation of different satellite rainfall estimation products and bias correction in the Upper Blue Nile (UBN) basin. Atmos. Res. 2016, 178–179, 471–483. [Google Scholar] [CrossRef]
- Liu, S.H.; Yan, D.H.; Qin, T.L.; Weng, B.; Li, M.; Liu, S.; Yan, D.; Qin, T.; Weng, B.; Li, M. Correction of TRMM. 3B42V7 based on linear regression models over China. Adv. Meteorol. 2016, 2016, 3103749. [Google Scholar] [CrossRef]
- Gumindoga, W.; Rientjes, T.H.M.; Haile, A.T.; Makurira, H.; Reggiani, P. Performance of bias-correction schemes for CMORPH rainfall estimates in the Zambezi River basin. Hydrol. Earth Syst. Sci. 2019, 23, 2915–2938. [Google Scholar] [CrossRef]
- Nigussie, A.B.; Tenfie, H.W.; Zimale, F.A.; Endalew, A.; Wudiye, G. Evaluation of multiple bias correction methods with different satellite rainfall products in the Main Beles Watershed, Upper Blue Nile (Abbay) Basin, Ethiopia. J. Water Clim. Chang. 2023, 14, 156–174. [Google Scholar] [CrossRef]
- Le, X.; Nguyen Van, L.; Hai Nguyen, D.; Nguyen, G.V.; Jung, S.; Lee, G. Comparison of bias-corrected multisatellite precipitation products by deep learning framework. Int. J. Appl. Earth Obs. Geoinf. 2023, 116, 103177. [Google Scholar] [CrossRef]
- Bibi, S.; Song, Q.H.; Zhang, Y.P.; Liu, Y.; Kamran, M.A.; Sha, L.; Zhou, W.; Wang, S.; Gnanamoorthy, P. Effects of climate change on terrestrial water storage and basin discharge in the lancang River Basin. J. Hydrol. Reg. Stud. 2021, 37, 100896. [Google Scholar] [CrossRef]
- Gui, Z.H.; Chen, X.H.; He, Y.H. Spatiotemporal analysis of water resources system vulnerability in the Lancang River Basin, China. J. Hydrol. 2021, 601, 126614. [Google Scholar] [CrossRef]
- Zhao, H.; Yang, B.; Yang, S.; Huang, Y.; Dong, G.; Bai, J.; Wang, Z. Systematical estimation of GPM-based global satellite mapping of precipitation products over China. Atmos. Res. 2018, 201, 206–217. [Google Scholar] [CrossRef]
- Yong, B.; Ren, L.; Hong, Y.; Wang, J.; Gourley, J.J.; Jiang, S.; Chen, X.; Wang, W. Hydrologic evaluation of multi-satellite precipitation analysis standard precipitation products in basins beyond its inclined latitude band: A case study in Laohahe basin. China Water Resour. Res. 2010, 46, 1–20. [Google Scholar] [CrossRef]
- Liu, Z.F. Accuracy of satellite precipitation products in data-scarce Inner Tibetan Plateau comprehensively evaluated using a novel ground observation network. J. Hydrol. Reg. Stud. 2023, 47, 101405. [Google Scholar] [CrossRef]
- Guo, H.; Chen, S.; Bao, A.M.; Behrangi, A.; Hong, Y.; Ndayisaba, F.; Hu, J.; Stepanian, P.M. Early assessment of Integrated Multi-satellite Retrievals for Global Precipitation Measurement over China. Atmos. Res. 2016, 176–177, 121–133. [Google Scholar] [CrossRef]
- Huang, W.R.; Chang, Y.H.; Liu, P.Y. Assessment of IMERG precipitation over Taiwan at multiple timescales. Atmos. Res. 2018, 214, 239–249. [Google Scholar] [CrossRef]
- Arshad, M.; Ma, X.; Yin, J.; Ullah, W.; Ali, G.; Ullah, S.; Liu, M.; Shahzaman, M.; Ullah, I. Evaluation of GPM-IMERG and TRMM-3B42 precipitation products over Pakistan. Atmos. Res. 2021, 249, 105341. [Google Scholar] [CrossRef]
- Wang, Z.L.; Zhong, R.D.; Lai, C.G.; Chen, J. Evaluation of the GPM IMERG satellite-based precipitation products and the hydrological utility. Atmos. Res. 2017, 196, 151–163. [Google Scholar] [CrossRef]
- Tan, M.L.; Santo, H. Comparison of GPM IMERG, TMPA 3B42 and PERSIANN-CDR satellite precipitation products over Malaysia. Atmos. Res. 2018, 202, 63–76. [Google Scholar] [CrossRef]
- Caracciolo, D.; Francipane, A.; Viola, F.; Noto, L.V.; Deidda, R. Performances of GPM satellite precipitation over the two major Mediterranean islands. Atmos. Res. 2018, 213, 309–322. [Google Scholar] [CrossRef]
- Boluwade, A.; Stadnyk, T.; Fortin, V.; Roy, G. Assimilation of precipitation Estimates from the Integrated Multisatellite Retrievals for GPM (IMERG, early Run) in the Canadian Precipitation Analysis (CaPA). J. Hydrol. Reg. Stud. 2017, 14, 10–22. [Google Scholar] [CrossRef]
- Vernimmen, R.R.E.; Hooijer, A.; Aldrian, E.; van Dijk, A.I.J.M. Evaluation and bias correction of satellite rainfall data for drought monitoring in Indonesia. Hydrol. Earth Syst. Sci. 2012, 16, 133–146. [Google Scholar] [CrossRef]
- Tesfagiorgis, K.; Mahani, S.E.; Krakauer, N.Y.; Khanbilvardi, R. Bias correction of satellite rainfall estimates using a radar-gauge product—A case study in Oklahoma (USA). Hydrol. Earth Syst. Sci. 2011, 15, 2631–2647. [Google Scholar] [CrossRef]
- Zhou, L.; Koike, T.; Takeuchi, K.; Rasmy, M.; Onuma, K.; Ito, H.; Selvarajah, H.; Liu, L.; Li, X.; Ao, T. A study on availability of ground observations and its impacts on bias correction of satellite precipitation products and hydrologic simulation efficiency. J. Hydrol. 2022, 610, 127595. [Google Scholar] [CrossRef]
- Raftery, A.E.; Gneiting, T.; Balabdaoui, F.; Polakowski, M. Using Bayesian model averaging to calibrate forecast ensembles. Mon. Weather Rev. 2005, 133, 1155–1174. [Google Scholar] [CrossRef]
- Ma, Y.Z.; Chandrasekar, V.; Biswas, S.K. A Bayesian correction approach for improving dual-frequency precipitation radar rainfall rate estimates. J. Meteorol. Soc. Jpn. 2020, 98, 511–525. [Google Scholar] [CrossRef]
- Belkhiri, L.; Tiri, A.; Mouni, L. Spatial distribution of the groundwater quality using kriging and Co-kriging interpolations. Groundw. Sustain. Dev. 2020, 11, 100473. [Google Scholar] [CrossRef]
- Ma, Q.; Li, Y.; Feng, H.; Yu, Q.; Zou, Y.; Liu, F.; Pulatov, B. Performance evaluation and correction of precipitation data using the 20-year IMERG and TMPA precipitation products in diverse subregions of China. Atmos. Res. 2021, 249, 105304. [Google Scholar] [CrossRef]
- Sun, W.; Sun, Y.H.; Li, X.J.; Wang, T.; Wang, Y.; Qiu, Q.; Deng, Z. Evaluation and correction of GPM IMERG precipitation products over the capital circle in Northeast China at multiple spatiotemporal scales. Adv. Meteorol. 2018, 2018, 4714173. [Google Scholar] [CrossRef]
- Lu, X.; Tang, G.; Wang, X.; Liu, Y.; Jia, L.; Xie, G.; Li, S.; Zhang, Y. Correcting GPM IMERG precipitation data over the Tianshan Mountains in China. J. Hydrol. 2019, 575, 1239–1252. [Google Scholar] [CrossRef]
- Wanders, N.; Pan, M.; Wood, E.F. Correction of real-time satellite precipitation with multi-sensor satellite observations of land surface variables. Remote Sens. Environ. 2015, 160, 206–221. [Google Scholar] [CrossRef]
- Zhang, L.; Xin, Z.H.; Zhang, C.; Song, C.; Zhou, H. Exploring the potential of satellite precipitation after bias correction in streamflow simulation in a semi-arid watershed in northeastern China. J. Hydrol. Reg. Stud. 2022, 43, 101192. [Google Scholar] [CrossRef]
- Xiao, S.; Zou, L.; Xia, J.; Yang, Z.; Yao, T. Bias correction framework for satellite precipitation products using a rain/no rain discriminative model. Sci. Total Environ. 2022, 818, 151679. [Google Scholar] [CrossRef]
- Ji, X.; Li, Y.G.; Luo, X.; He, D.; Guo, R.; Wang, J.; Bai, Y.; Yue, C.; Liu, C. Evaluation of bias correction methods for Aphrodite data to improve hydrologic simulation in a large Himalayan basin. Atmos. Res. 2020, 242, 104964. [Google Scholar] [CrossRef]
- Lin, Q.X.; Peng, T.; Wu, Z.Y.; Guo, J.; Chang, W.; Xu, Z. Performance evaluation, error decomposition and Tree-based Machine Learning error correction of GPM IMERG and TRMM 3B42 products in the Three Gorges Reservoir Area. Atmos. Res. 2022, 268, 105988. [Google Scholar] [CrossRef]
- Deng, P.X.; Zhang, M.Y.; Guo, H.J.; Xu, C.; Bing, J.; Jia, J. Error analysis and correction of the daily GSMaP products over Hanjiang River Basin of China. Atmos. Res. 2018, 214, 121–134. [Google Scholar] [CrossRef]
- Choubin, B.; Khalighi-Sigaroodi, S.; Mishra, A.; Goodarzi, M.; Shamshirband, S.; Ghaljaee, E.; Zhang, F. A novel bias correction framework of TMPA 3B42 daily precipitation data using similarity matrix/homogeneous conditions. Sci. Total Environ. 2019, 694, 133680. [Google Scholar] [CrossRef]
- Zhang, Y.R.; Sun, A.; Sun, H.W.; Gui, D.; Xue, J.; Liao, W.; Yan, D.; Zhao, N.; Zeng, X. Error adjustment of TMPA satellite precipitation estimates and assessment of their hydrological utility in the middle and upper Yangtze River Basin, China. Atmos. Res. 2019, 216, 52–64. [Google Scholar] [CrossRef]









| Name | Spatial Resolution | Temporal Resolution | Period |
|---|---|---|---|
| TRMM 3B42RT | 0.25° × 0.25° | daily | 2016–2019 |
| GPM IMERG Early Run | 0.1° × 0.1° | daily | 2016–2020 |
| GPM IMERG Late Run | 0.1° × 0.1° | daily | 2016–2020 |
| GPM IMERG Final Run | 0.1° × 0.1° | daily | 2016–2020 |
| FY 2G | 0.1° × 0.1° | daily | 2016–2020 |
| Statistics | Formula | Range | Optimal Value |
|---|---|---|---|
| CC [32] | [−1, 1] | 1 | |
| RMSE [33] | [0, + | 0 | |
| RB [34] | ( | 0 | |
| POD [35] | [0, 1] | 1 | |
| FAR [36] | [0, 1] | 0 | |
| CSI [37] | [0, 1] | 1 | |
| ETS [38] | [−, 1] | 1 | |
| ETS = | |||
| FBI [38] | FBI = | [0, +] | 1 |
| Step | Methods | Formula |
|---|---|---|
| 1 | Initialize (Iter = 0) | = 1/K |
| 2 | Calculate the initial likelihood value | |
| 3 | Calculate hidden variables (Iter = Iter + 1) | |
| 4 | Calculate the weight | |
| 5 | Calculate the error | |
| 6 | Calculate the likelihood value | |
| 7 | Test the convergence | if l< |
| Datasets | FY 2G | GPM IMERG (Early/Late/Final) |
|---|---|---|
| FY-Early | 0.13 | 0.87 |
| FY-Late | 0.13 | 0.87 |
| FY-Final | 0.14 | 0.86 |
| Datasets | CC | RMSE (mm) | MAE (mm) | POD |
|---|---|---|---|---|
| FY 2G corrected set | 0.40 | 9.49 | 3.36 | 0.37 |
| Early Run corrected set | 0.51 | 18.76 | 5.39 | 0.81 |
| Late Run corrected set | 0.53 | 20.77 | 5.63 | 0.82 |
| Final Run corrected set | 0.54 | 25.92 | 7.43 | 0.84 |
| FY-Early | 0.53 | 16.36 | 4.87 | 0.86 |
| FY-Late | 0.54 | 18.06 | 5.07 | 0.87 |
| FY-Final | 0.55 | 22.41 | 6.58 | 0.88 |
Disclaimer/Publisher’s Note: The statements, opinions and data contained in all publications are solely those of the individual author(s) and contributor(s) and not of MDPI and/or the editor(s). MDPI and/or the editor(s) disclaim responsibility for any injury to people or property resulting from any ideas, methods, instructions or products referred to in the content. |
© 2024 by the authors. Licensee MDPI, Basel, Switzerland. This article is an open access article distributed under the terms and conditions of the Creative Commons Attribution (CC BY) license (https://creativecommons.org/licenses/by/4.0/).
Share and Cite
Nan, L.; Yang, M.; Wang, H.; Wang, H.; Dong, N. An Innovative Correction–Fusion Approach for Multi-Satellite Precipitation Products Conditioned by Gauge Background Fields over the Lancang River Basin. Remote Sens. 2024, 16, 1824. https://doi.org/10.3390/rs16111824
Nan L, Yang M, Wang H, Wang H, Dong N. An Innovative Correction–Fusion Approach for Multi-Satellite Precipitation Products Conditioned by Gauge Background Fields over the Lancang River Basin. Remote Sensing. 2024; 16(11):1824. https://doi.org/10.3390/rs16111824
Chicago/Turabian StyleNan, Linjiang, Mingxiang Yang, Hao Wang, Hejia Wang, and Ningpeng Dong. 2024. "An Innovative Correction–Fusion Approach for Multi-Satellite Precipitation Products Conditioned by Gauge Background Fields over the Lancang River Basin" Remote Sensing 16, no. 11: 1824. https://doi.org/10.3390/rs16111824
APA StyleNan, L., Yang, M., Wang, H., Wang, H., & Dong, N. (2024). An Innovative Correction–Fusion Approach for Multi-Satellite Precipitation Products Conditioned by Gauge Background Fields over the Lancang River Basin. Remote Sensing, 16(11), 1824. https://doi.org/10.3390/rs16111824

