Construction of Remote Sensing Indices Knowledge Graph (RSIKG) Based on Semantic Hierarchical Graph
Abstract
1. Introduction
- A remote sensing index knowledge graph (RSIKG) is proposed. The concepts and relationships of remote sensing indices are modeled as ontologies, and they are mapped to graph databases to construct RSIKG.
 - A knowledge representation method is developed for remote sensing indices. It adopts a semantic hierarchical graph structure to represent the remote sensing index graph using two layers: The entity-relationship layer and the mathematical semantic layer. The former primarily models the related concepts and their relationships, while the latter represents and analyzes the mathematical semantics of the index formula.
 - A complete mathematical semantic processing pipeline for remote sensing indices is presented. It includes the extraction of remote sensing index formulas, the abstraction modeling of semantics, and the construction of mathematical semantic graphs. In addition, a method for calculating the index similarity of mathematical semantic graphs is also proposed.
 
2. Related Work
2.1. The Existing Remote Sensing Index Resources
2.2. Remote Sensing Knowledge Graph
2.3. The Semantic Representation of Mathematical Formulas and Knowledge Graphs
3. The Knowledge Graph of Remote Sensing Indices
3.1. Overview of the Framework of RSIKG
3.1.1. Overview and Classification of Remote Sensing Indices
3.1.2. The Intrinsic Connections of Remote Sensing Indices
3.2. Semantic Hierarchical Graph
3.3. Entity Relationship Modeling in RSIKG
3.4. Processing the Mathematical Semantics of Index Formulas
3.4.1. Extraction of Mathematical Formula Information
3.4.2. Mathematical Semantic Representation and Parsing
| Code 1. MathML document fragment corresponding to the NDWI formula. | 
| <math xmlns=“http://www.w3.org/1998/Math/MathML” display=“block”>   <mi>N</mi> <mi>D</mi> <mi>W</mi> <mi>I</mi> <mo>=</mo> <mfrac> <mrow> <mi>G</mi> <mi>R</mi> <mi>E</mi> <mi>E</mi> <mi>N</mi> <mo>−</mo> <mi>N</mi> <mi>I</mi> <mi>R</mi> </mrow> <mrow> <mi>G</mi> <mi>R</mi> <mi>E</mi> <mi>E</mi> <mi>N</mi> <mo>+</mo> <mi>N</mi> <mi>I</mi> <mi>R</mi> </mrow> </mfrac></math>  | 
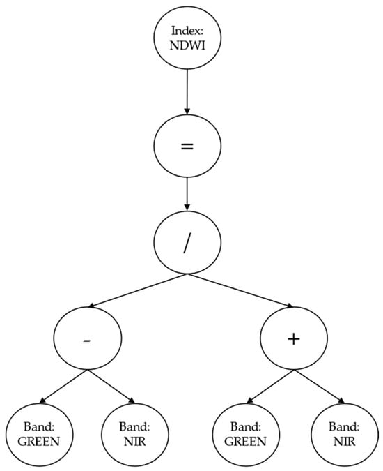
3.4.3. The Construction of the Mathematical Semantic Graph
- Variable nodes (e.g., GREEN, NIR) are mapped to band names.
 - Constant nodes (e.g., −1, 1) are mapped to constant values.
 - Variable nodes (variables not identified as band names) are mapped to undetermined coefficients.
 - Operator nodes (e.g., +, −, /) are mapped to mathematical semantic relation edges with the operator symbol as the label.
 - Subtrees (e.g., GREEN − NIR) are mapped to subgraphs, recursively applying rules based on the structure of the subtree.
 - All root nodes that are numbers are mapped to band indices.
 
- The semantic graph is a directed acyclic graph (DAG), meaning each node has one or more incoming and outgoing edges, but no cycle exists.
 - Each subgraph of the semantic graph has a root node, and the root node is connected to other nodes through relation edges.
 - Between two nodes of the semantic graph, there can be multiple edges, each with a different label.
 
3.5. Mathematical Semantic Graph Inference
- Delete node: Link its child nodes to the parent node to maintain order.
 - Insert a node between a known node and a contiguous subsequence of its child nodes.
 - Modify the label of a node.
 
4. Construction and Application of RSIKG
- Ontology design and modeling: Based on a synthesis of various sources of reference materials on remote sensing indices, relevant concepts and their relationships are abstracted and modeled into ontologies. The next section introduces the tools employed and details of the process in this step.
 - Data processing and database mapping: This step mainly deals with processing the index metadata and mathematical semantics of remote sensing indices, which are stored in a relational database. These data are mapped to resource description framework (RDF) files using a database mapping tool. Formula semantics are stored as attributes during this process. For more information, please refer to Section 4.2.
 - Query and reasoning: This step utilizes SPARQL queries on RDF triples using Jena. Simultaneously, RDF triples are imported into Neo4J for property graph analysis and visualization of results. Additionally, the extension function of the query statement is implemented based on the semantic similarity inference method proposed in Section 3.5.
 
4.1. Ontology Design and Modeling
4.2. Data Processing and Database Mapping
4.2.1. Data Collection and Processing
4.2.2. Data Storage and Ontology Mapping
- Graph database: Indices are represented as nodes, their attributes serve as node labels or properties, and their relationships are depicted as edges between nodes.
 - Triple-store database: Indices function as subjects, their attributes act as predicates, and their attribute values serve as objects, forming a triple. The relationships can also be expressed as predicates, with the relationship objects as additional objects, forming another triple. This work employs the triple standard RDF for storing KG data.
 
4.3. The Query and Reasoning Phase
- Ontology file configuration: Jena is configured with an ontology file by the RSIKG developer in accordance with the design in Figure 10. This ensures that our KG reasoning can correctly understand and process relevant entities and relationships.
 - RDF data import and loading: The raw RDF data extracted from the MySQL database is imported into the TDB graph data store of Jena. This step is the foundation for building KG reasoning.
 - Query and reasoning: Jena is employed in this step. The developer launches Jena’s SPARQL reasoning service. SPARQL is a language for querying and manipulating RDF data. By using Jena’s SPARQL query and reasoning capabilities, various complex queries and reasoning operations can be performed by users on the KG. Engineering optimizations can be applied to query parsing, optimization, and execution to achieve effective graph data querying and reasoning functions, consequently improving performance.
 - Result output: This step consists of presenting the results of RSIKG graph querying and reasoning to the user in an appropriate format. Users can visualize the results or export the data from the graph database.
 
4.4. Graph Visualization Analysis
| Code 2. Imports RDF from an url (file or http) and stores it in Neo4j as a property graph | 
| CALL n10s.graphconfig.init(); CREATE CONSTRAINT n10s_unique_uri for (r:Resource) require r.uri IS UNIQUE; CALL n10s.graphconfig.set({handleVocabUris: “IGNORE”}); CALL n10s.rdf.import.fetch(‘file:///tmp/rsikg_mapping_mod.nt’, ‘N-Triples’);  | 
4.5. Property Graph Analysis and Applications
4.5.1. Relevant Analysis in the Field of Environmental Resources
4.5.2. Multi Sensor Correlation Analysis
| Code 3. Analysis of the shortest path between two sensors. | 
| MATCH (p1:sensor {sensor_Name:“GLI”}),(p2:sensor{sensor_Name:“SPOT 6”}), p=shortestpath((p1)-[*..10]-(p2)) RETURN p  | 
4.6. The Semantic Inference of Remote Sensing Index
5. Discussion and Limitation
6. Conclusions and Future Prospects
- Deep learning-based mathematical reasoning: Currently, mathematical semantic processing is challenging due to the complex structures of equations, which contain numerous mathematical symbols and operational rules, and their semantics usually require specific domain expertise. In recent years, the continuous development of graph embedding and graph neural networks has gained more attention from scholars [87]. It is expected that more studies about mathematical semantic processing will emerge in the future, providing stronger support for representing and analyzing mathematical knowledge to generate comprehensive indices.
 - The construction of multimodal KGs: Our primary research focus aims to establish a usable index graph database based on remote sensing satellite image data. It also aims to provide analytical capabilities, intending to offer a framework for establishing relationships among satellite sensors, bands, remote sensing indices, and other information. The construction of biophysical information among indices may be a future direction for investigation. For example, building ontologies related to climate conditions such as temperature, humidity, precipitation, or variables concerning soil area and types. Additionally, exploring methods for calculating indices with multimodal ontologies to broaden their application in remote sensing indices could facilitate the exploration of new comprehensive indices.
 - High-dimensional data subspace clustering: Data dimensions are increasing as a result of multimodal and multisensor information [88], particularly multispectral and hyperspectral remote sensing data, posing typical high-dimensional data challenges [89,90]. Further investigation of algorithms integrating high-dimensional data subspace clustering with RSIKG is required. This includes investigating the use of high-dimensional data subspace clustering and transfer learning algorithms [91] in various scenarios.
 - Visualization and interaction of KGs: Visualization and interaction are significant components in the research of KGs. Through visualization techniques, complex remote sensing data can be transformed into easily comprehensible graphics, allowing non-professionals to comprehend the meaning of remote sensing data as well. Additionally, GraphXR, which incorporates the capabilities of augmented reality into KGs, allows for a more powerful mode of knowledge presentation [92]. In future studies, we should pay attention to the connection between KGs and AR maps [93,94]. A more intuitive visualization and interaction of KG should be developed in the future.
 
Author Contributions
Funding
Data Availability Statement
Acknowledgments
Conflicts of Interest
References
- Gao, L.; Wang, X.; Johnson, B.A.; Tian, Q.; Wang, Y.; Verrelst, J.; Mu, X.; Gu, X. Remote Sensing Algorithms for Estimation of Fractional Vegetation Cover Using Pure Vegetation Index Values: A Review. ISPRS J. Photogramm. Remote Sens. 2020, 159, 364–377. [Google Scholar] [CrossRef] [PubMed]
 - Wu, X.; Shi, W.; Tao, F. Estimations of Forest Water Retention across China from an Observation Site-Scale to a National-Scale. Ecol. Indic. 2021, 132, 108274. [Google Scholar] [CrossRef]
 - Honarbakhsh, A.; Tahmoures, M.; Afzali, S.F.; Khajehzadeh, M.; Ali, M.S. Remote Sensing and Relief Data to Predict Soil Saturated Hydraulic Conductivity in a Calcareous Watershed, Iran. Catena 2022, 212, 106046. [Google Scholar] [CrossRef]
 - Zhang, M.; Shi, W.; Ren, Y.; Wang, Z.; Ge, Y.; Guo, X.; Mao, D.; Ma, Y. Proportional Allocation with Soil Depth Improved Mapping Soil Organic Carbon Stocks. Soil Tillage Res. 2022, 224, 105519. [Google Scholar] [CrossRef]
 - Chen, J.; Chen, S.; Fu, R.; Li, D.; Jiang, H.; Wang, C.; Peng, Y.; Jia, K.; Hicks, B.J. Remote Sensing Big Data for Water Environment Monitoring: Current Status, Challenges, and Future Prospects. Earths Future 2022, 10, e2021EF002289. [Google Scholar] [CrossRef]
 - Camps-Valls, G.; Campos-Taberner, M.; Moreno-Martínez, Á.; Walther, S.; Duveiller, G.; Cescatti, A.; Mahecha, M.D.; Muñoz-Marí, J.; García-Haro, F.J.; Guanter, L.; et al. A Unified Vegetation Index for Quantifying the Terrestrial Biosphere. Sci. Adv. 2021, 7, eabc7447. [Google Scholar] [CrossRef] [PubMed]
 - Wang, Z.; Chen, T.; Zhu, D.; Jia, K.; Plaza, A. RSEIFE: A New Remote Sensing Ecological Index for Simulating the Land Surface Eco-Environment. J. Environ. Manag. 2023, 326, 116851. [Google Scholar] [CrossRef]
 - Vayssade, J.-A.; Paoli, J.-N.; Gée, C.; Jones, G. DeepIndices: Remote Sensing Indices Based on Approximation of Functions through Deep-Learning, Application to Uncalibrated Vegetation Images. Remote Sens. 2021, 13, 2261. [Google Scholar] [CrossRef]
 - Chen, H.; Li, H.; Liu, Z.; Zhang, C.; Zhang, S.; Atkinson, P.M. A Novel Greenness and Water Content Composite Index (GWCCI) for Soybean Mapping from Single Remotely Sensed Multispectral Images. Remote Sens. Environ. 2023, 295, 113679. [Google Scholar] [CrossRef]
 - Barton, C.M.; Alberti, M.; Ames, D.; Atkinson, J.-A.; Bales, J.; Burke, E.; Chen, M.; Diallo, S.Y.; Earn, D.J.D.; Fath, B.; et al. Call for Transparency of COVID-19 Models. Science 2020, 368, 482–483. [Google Scholar] [CrossRef]
 - Montero, D.; Aybar, C.; Mahecha, M.D.; Martinuzzi, F.; Söchting, M.; Wieneke, S. A Standardized Catalogue of Spectral Indices to Advance the Use of Remote Sensing in Earth System Research. Sci. Data 2023, 10, 197. [Google Scholar] [CrossRef] [PubMed]
 - Gao, S.; Zhong, R.; Yan, K.; Ma, X.; Chen, X.; Pu, J.; Gao, S.; Qi, J.; Yin, G.; Myneni, R.B. Evaluating the Saturation Effect of Vegetation Indices in Forests Using 3D Radiative Transfer Simulations and Satellite Observations. Remote Sens. Environ. 2023, 295, 113665. [Google Scholar] [CrossRef]
 - Zhou, D.; Zhang, L.; Hao, L.; Sun, G.; Xiao, J.; Li, X. Large Discrepancies among Remote Sensing Indices for Characterizing Vegetation Growth Dynamics in Nepal. Agric. For. Meteorol. 2023, 339, 109546. [Google Scholar] [CrossRef]
 - Wang, H.; Fu, T.; Du, Y.; Gao, W.; Huang, K.; Liu, Z.; Chandak, P.; Liu, S.; Van Katwyk, P.; Deac, A.; et al. Scientific Discovery in the Age of Artificial Intelligence. Nature 2023, 620, 47–60. [Google Scholar] [CrossRef] [PubMed]
 - Peng, C.; Xia, F.; Naseriparsa, M.; Osborne, F. Knowledge Graphs: Opportunities and Challenges. Artif. Intell. Rev. 2023, 56, 13071–13102. [Google Scholar] [CrossRef] [PubMed]
 - Hao, X.; Ji, Z.; Li, X.; Yin, L.; Liu, L.; Sun, M.; Liu, Q.; Yang, R. Construction and Application of a Knowledge Graph. Remote Sens. 2021, 13, 2511. [Google Scholar] [CrossRef]
 - Abburu, S.; Dube, N. Ontology Concept-Based Management and Semantic Retrieval of Satellite Data. J. Intell. Syst. 2017, 26, 197–213. [Google Scholar] [CrossRef]
 - Li, Y.; Kong, D.; Zhang, Y.; Tan, Y.; Chen, L. Robust Deep Alignment Network with Remote Sensing Knowledge Graph for Zero-Shot and Generalized Zero-Shot Remote Sensing Image Scene Classification. ISPRS J. Photogramm. Remote Sens. 2021, 179, 145–158. [Google Scholar] [CrossRef]
 - Li, Y.; Ouyang, S.; Zhang, Y. Combining Deep Learning and Ontology Reasoning for Remote Sensing Image Semantic Segmentation. Knowl.-Based Syst. 2022, 243, 108469. [Google Scholar] [CrossRef]
 - Zhang, Y.; Wang, F.; Li, Y.; OuYang, S.; Wei, D.; Liu, X.; Kong, D.; Chen, R.; Zhang, B. Remote Sensing Knowledge Graph Construction and Its Application in Typical Scenarios. Natl. Remote Sens. Bull. 2023, 27, 249–266. [Google Scholar] [CrossRef]
 - Zhao, L.; Li, Q.; Chang, Q.; Shang, J.; Du, X.; Liu, J.; Dong, T. In-Season Crop Type Identification Using Optimal Feature Knowledge Graph. ISPRS J. Photogramm. Remote Sens. 2022, 194, 250–266. [Google Scholar] [CrossRef]
 - Ge, X.; Yang, Y.; Chen, J.; Li, W.; Huang, Z.; Zhang, W.; Peng, L. Disaster Prediction Knowledge Graph Based on Multi-Source Spatio-Temporal Information. Remote Sens. 2022, 14, 1214. [Google Scholar] [CrossRef]
 - Liu, X.; Zhang, Y.; Zou, H.; Wang, F.; Cheng, X.; Wu, W.; Liu, X.; Li, Y. Multi-Source Knowledge Graph Reasoning for Ocean Oil Spill Detection from Satellite SAR Images. Int. J. Appl. Earth Obs. Geoinf. 2023, 116, 103153. [Google Scholar] [CrossRef]
 - Indices Gallery—ArcGIS Pro. Documentation. Available online: https://pro.arcgis.com/en/pro-app/latest/help/data/imagery/indices-gallery.htm (accessed on 19 August 2023).
 - Alphabetical List of Spectral Indices. Available online: https://www.nv5geospatialsoftware.com/docs/alphabeticallistspectralindices.html (accessed on 22 August 2023).
 - Gorelick, N.; Hancher, M.; Dixon, M.; Ilyushchenko, S.; Thau, D.; Moore, R. Google Earth Engine: Planetary-Scale Geospatial Analysis for Everyone. Remote Sens. Environ. 2017, 202, 18–27. [Google Scholar] [CrossRef]
 - Rivera, J.; Verrelst, J.; Delegido, J.; Veroustraete, F.; Moreno, J. On the Semi-Automatic Retrieval of Biophysical Parameters Based on Spectral Index Optimization. Remote Sens. 2014, 6, 4927–4951. [Google Scholar] [CrossRef]
 - Maxant, J.; Braun, R.; Caspard, M.; Clandillon, S. ExtractEO, a Pipeline for Disaster Extent Mapping in the Context of Emergency Management. Remote Sens. 2022, 14, 5253. [Google Scholar] [CrossRef]
 - Anderson, R. Rander38/Remote-Sensing-Indices-Derivation-Tool. Available online: https://github.com/rander38/Remote-Sensing-Indices-Derivation-Tool (accessed on 23 August 2023).
 - Henrich, V.; Götze, C.; Jung, A.; Sandow, C.; Thürkow, D.; Gläßer, C. Development of an Online Indices Database: Motivation, Concept and Implementation. In Proceedings of the 6th EARSeL Imaging Spectroscopy SIG Workshop Innovative Tool for Scientific and Commercial Environment Applications, Tel Aviv, Israel, 16–18 March 2009; pp. 16–18. [Google Scholar]
 - Velastegui-Montoya, A.; Montalván-Burbano, N.; Carrión-Mero, P.; Rivera-Torres, H.; Sadeck, L.; Adami, M. Google Earth Engine: A Global Analysis and Future Trends. Remote Sens. 2023, 15, 3675. [Google Scholar] [CrossRef]
 - Tamiminia, H.; Salehi, B.; Mahdianpari, M.; Quackenbush, L.; Adeli, S.; Brisco, B. Google Earth Engine for Geo-Big Data Applications: A Meta-Analysis and Systematic Review. ISPRS J. Photogramm. Remote Sens. 2020, 164, 152–170. [Google Scholar] [CrossRef]
 - Delegido, J.; Verrelst, J.; Rivera, J.P.; Ruiz-Verdú, A.; Moreno, J. Brown and Green LAI Mapping through Spectral Indices. Int. J. Appl. Earth Obs. Geoinf. 2015, 35, 350–358. [Google Scholar] [CrossRef]
 - IDB—Index DataBase. Available online: https://www.indexdatabase.de/ (accessed on 6 August 2023).
 - Gun, Z.; Chen, J. Novel Knowledge Graph- and Knowledge Reasoning-Based Classification Prototype for OBIA Using High Resolution Remote Sensing Imagery. Remote Sens. 2023, 15, 321. [Google Scholar] [CrossRef]
 - Stewart, I. Mathematics, Maps, and Models. In The Map and the Territory: Exploring the Foundations of Science, Thought and Reality; Wuppuluri, S., Doria, F.A., Eds.; The Frontiers Collection; Springer International Publishing: Cham, Switzerland, 2018; pp. 345–356. ISBN 978-3-319-72478-2. [Google Scholar]
 - Bian, S.-F.; Li, H.-P. Mathematical Analysis in Cartography by Means of Computer Algebra System. In Cartography—A Tool for Spatial Analysis; Bateira, C., Ed.; InTech: Rijeka, Croatia, 2012; ISBN 978-953-51-0689-0. [Google Scholar][Green Version]
 - Subrt, T.; Brozova, H. Knowledge Maps and Mathematical Modelling. Electron. J. Knowl. Manag. 2007, 5, 497–504. [Google Scholar][Green Version]
 - Shen, F. A United Framework for Both Formal, Natural and Social Science 2022. arXiv 2022, arXiv:2105.04036. [Google Scholar] [CrossRef]
 - Brožová, H.; Šubrt, T.; Bartoška, J. Knowledge Maps in Agriculture and Rural Development. Agric. Econ. Zemědělská Ekon. 2008, 54, 546–552. [Google Scholar] [CrossRef]
 - Fionda, V.; Gutierrez, C.; Pirrò, G. Building Knowledge Maps of Web Graphs. Artif. Intell. 2016, 239, 143–167. [Google Scholar] [CrossRef]
 - Moradi, F. Effectiveness of Concept Mapping’s Efficiency in Differential Equations. Inf. Investig. Ens. Inéd. 2020, 20, 1–23. [Google Scholar] [CrossRef]
 - Maraee, A.; Sturm, A. Formal Semantics and Analysis Tasks for ME-MAP Models. In Proceedings of the 2017 11th International Conference on Research Challenges in Information Science (RCIS), Brighton, UK, 10–12 May 2017; pp. 234–243. [Google Scholar]
 - Elizarov, A.; Kirillovich, A.; Lipachev, E.; Nevzorova, O.; Solovyev, V.; Zhiltsov, N. Mathematical Knowledge Representation: Semantic Models and Formalisms 2014. arXiv 2014, arXiv:1408.6806. [Google Scholar] [CrossRef]
 - Pardos, Z.A.; Nam, A.J.H. A Map of Knowledge 2018. arXiv 2018, arXiv:1811.07974. [Google Scholar] [CrossRef]
 - Wang, C.; Yue, T.; Fan, Z. Semantic Analysis and Mapping of Resource and Environmental Mathematical Models. Comput. Eng. Appl. 2013, 49, 1–6. [Google Scholar] [CrossRef]
 - Wang, C.; Yue, T.; Fan, Z. Formal Linguistic Research of Resource and Environment Model Compound Based on Model-Flow. J. Geo-Inf. Sci. 2014, 16, 31–38. [Google Scholar] [CrossRef]
 - Lu, Y.; Yue, T.; Wang, C.; Wang, Q. Workflow-Based Spatial Modeling Environment and Its Application in Food Provisioning Services of Grassland Ecosystem. In Proceedings of the 2010 18th International Conference on Geoinformatics, Geoinformatics 2010, Beijing, China, 18–20 June 2010; IEEE Computer Society: Washington, DC, USA, 2010; pp. 1–6. [Google Scholar]
 - Wang, C.; Yue, T. A Software Tool for Earth Surface Modeling of Environmental Variables. Procedia Environ. Sci. 2012, 13, 565–573. [Google Scholar] [CrossRef]
 - Xue, J.; Su, B. Significant Remote Sensing Vegetation Indices: A Review of Developments and Applications. J. Sens. 2017, 2017, 1353691. [Google Scholar] [CrossRef]
 - Rouse, J.W.; Haas, R.H.; Schell, J.A.; Deering, D.W. Monitoring Vegetation Systems in the Great Plains with ERTS. Nasa Spec. Publ. 1974, 351, 309–317. [Google Scholar]
 - Bannari, A.; Morin, D.; Bonn, F.; Huete, A.R. A Review of Vegetation Indices. Remote Sens. Rev. 1995, 13, 95–120. [Google Scholar] [CrossRef]
 - Gao, B. NDWI—A Normalized Difference Water Index for Remote Sensing of Vegetation Liquid Water from Space. Remote Sens. Environ. 1996, 58, 257–266. [Google Scholar] [CrossRef]
 - Zha, Y.; Gao, J.; Ni, S. Use of Normalized Difference Built-up Index in Automatically Mapping Urban Areas from TM Imagery. Int. J. Remote Sens. 2003, 24, 583–594. [Google Scholar] [CrossRef]
 - Bhatti, S.S.; Tripathi, N.K. Built-up Area Extraction Using Landsat 8 OLI Imagery. GIScience Remote Sens. 2014, 51, 445–467. [Google Scholar] [CrossRef]
 - Hall, D.K.; Riggs, G.A.; Salomonson, V.V. Development of Methods for Mapping Global Snow Cover Using Moderate Resolution Imaging Spectroradiometer Data. Remote Sens. Environ. 1995, 54, 127–140. [Google Scholar] [CrossRef]
 - Hall, D.K.; Riggs, G.A. Normalized-Difference Snow Index (NDSI). In Encyclopedia of Snow, Ice and Glaciers; Singh, V.P., Singh, P., Haritashya, U.K., Eds.; Springer: Dordrecht, The Netherlands, 2011; pp. 779–780. ISBN 978-90-481-2642-2. [Google Scholar]
 - Hall, D.K.; Riggs, G.A.; Salomonson, V.V.; DiGirolamo, N.E.; Bayr, K.J. MODIS Snow-Cover Products. Remote Sens. Environ. 2002, 83, 181–194. [Google Scholar] [CrossRef]
 - Meyer, L.H.; Heurich, M.; Beudert, B.; Premier, J.; Pflugmacher, D. Comparison of Landsat-8 and Sentinel-2 Data for Estimation of Leaf Area Index in Temperate Forests. Remote Sens. 2019, 11, 1160. [Google Scholar] [CrossRef]
 - Li, P.; Jiang, L.; Feng, Z. Cross-Comparison of Vegetation Indices Derived from Landsat-7 Enhanced Thematic Mapper Plus (ETM+) and Landsat-8 Operational Land Imager (OLI) Sensors. Remote Sens. 2013, 6, 310–329. [Google Scholar] [CrossRef]
 - Widlowski, J.-L.; Verstraete, M.M.; Pinty, B.; Gobron, N. Advanced Vegetation Indices Optimized for Up-Coming Sensors: Design, Performance, and Applications. IEEE Trans. Geosci. Remote Sens. 2000, 38, 2489–2505. [Google Scholar] [CrossRef]
 - Zeng, Y.; Hao, D.; Huete, A.; Dechant, B.; Berry, J.; Chen, J.M.; Joiner, J.; Frankenberg, C.; Bond-Lamberty, B.; Ryu, Y.; et al. Optical Vegetation Indices for Monitoring Terrestrial Ecosystems Globally. Nat. Rev. Earth Environ. 2022, 3, 477–493. [Google Scholar] [CrossRef]
 - Jordan, C.F. Derivation of Leaf-Area Index from Quality of Light on the Forest Floor. Ecology 1969, 50, 663–666. [Google Scholar] [CrossRef]
 - Richardson, A.J.; Wiegand, C. Distinguishing Vegetation from Soil Background Information. Photogramm. Eng. Remote Sens. 1977, 43, 1541–1552. [Google Scholar]
 - Badgley, G.; Field, C.B.; Berry, J.A. Canopy Near-Infrared Reflectance and Terrestrial Photosynthesis. Sci. Adv. 2017, 3, e1602244. [Google Scholar] [CrossRef] [PubMed]
 - Baldocchi, D.D.; Ryu, Y.; Dechant, B.; Eichelmann, E.; Hemes, K.; Ma, S.; Sanchez, C.R.; Shortt, R.; Szutu, D.; Valach, A.; et al. Outgoing Near-Infrared Radiation from Vegetation Scales With Canopy Photosynthesis Across a Spectrum of Function, Structure, Physiological Capacity, and Weather. J. Geophys. Res. Biogeosci. 2020, 125, e2019JG005534. [Google Scholar] [CrossRef]
 - Tamašauskaitė, G.; Groth, P. Defining a Knowledge Graph Development Process Through a Systematic Review. ACM Trans. Softw. Eng. Methodol. 2023, 32, 1–40. [Google Scholar] [CrossRef]
 - IBEM. Mathematical Formula Detection Dataset. Available online: https://zenodo.org/records/4757865 (accessed on 7 September 2023).
 - breezedeus CnMFD_Dataset. Available online: https://www.kaggle.com/datasets/breezedeus/cnmfd-dataset (accessed on 7 September 2023).
 - Schmitt-Koopmann, F.M.; Huang, E.M.; Hutter, H.-P.; Stadelmann, T.; Darvishy, A. FormulaNet: A Benchmark Dataset for Mathematical Formula Detection. IEEE Access 2022, 10, 91588–91596. [Google Scholar] [CrossRef]
 - Yan, Z.; Zhang, X.; Gao, L.; Yuan, K.; Tang, Z. ConvMath: A Convolutional Sequence Network for Mathematical Expression Recognition. In Proceedings of the 2020 25th International Conference on Pattern Recognition (ICPR), Milan, Italy, 10–15 January 2021; pp. 4566–4572. [Google Scholar]
 - Deng, Y.; Kanervisto, A.; Ling, J.; Rush, A.M. Image-to-Markup Generation with Coarse-to-Fine Attention. In Proceedings of the 34th International Conference on Machine Learning, Sydney, Australia, 6–11 August 2017; Microtome Publishing: Brookline, NY, USA, 2017; Volume 70, pp. 980–989. [Google Scholar]
 - Lukas-Blecher/LaTeX-OCR: Pix2tex: Using a ViT to Convert Images of Equations into LaTeX Code. Available online: https://github.com/lukas-blecher/LaTeX-OCR (accessed on 7 September 2023).
 - Duregård, J.; Jansson, P. Embedded Parser Generators. ACM SIGPLAN Not. 2012, 46, 107–117. [Google Scholar] [CrossRef]
 - Forsberg, M.; Ranta, A. Labelled BNF: A High-Level Formalism for Defining Well-Behaved Programming Languages. Proc. Est. Acad. Sci. Phys. Math. 2003, 52, 356. [Google Scholar] [CrossRef]
 - Watabe, T.; Miyazaki, Y. Framework of a System for Extracting Mathematical Concepts from Content MathML-Based Mathematical Expressions. In Intelligent Interactive Multimedia: Systems and Services; Watanabe, T., Watada, J., Takahashi, N., Howlett, R.J., Jain, L.C., Eds.; Smart Innovation, Systems and Technologies; Springer: Berlin/Heidelberg, Germany, 2012; Volume 14, pp. 269–278. ISBN 978-3-642-29933-9. [Google Scholar]
 - Greiner-Petter, A.; Schubotz, M.; Cohl, H.S.; Gipp, B. MathTools: An Open API for Convenient MathML Handling. In Intelligent Computer Mathematics; Rabe, F., Farmer, W.M., Passmore, G.O., Youssef, A., Eds.; Lecture Notes in Computer Science; Springer International Publishing: Cham, Switzerland, 2018; Volume 11006, pp. 104–110. ISBN 978-3-319-96811-7. [Google Scholar]
 - Hussain, S.; Bai, S.; Khoja, S. Content MathML (CMML) Conversion Using LATEX Math Grammar (LMG). In Proceedings of the 2019 7th International Conference on Smart Computing & Communications (ICSCC), Sarawak, Malaysia, 28–30 June 2019; IEEE: Manhattan, NY, USA, 2019; pp. 1–5. [Google Scholar]
 - Schubotz, M.; Meuschke, N.; Hepp, T.; Cohl, H.S.; Gipp, B. VMEXT: A Visualization Tool for Mathematical Expression Trees. In Intelligent Computer Mathematics; Geuvers, H., England, M., Hasan, O., Rabe, F., Teschke, O., Eds.; Lecture Notes in Computer Science; Springer International Publishing: Cham, Switzerland, 2017; Volume 10383, pp. 340–355. ISBN 978-3-319-62074-9. [Google Scholar]
 - Dwivedi, S.P.; Srivastava, V.; Gupta, U. Graph Similarity Using Tree Edit Distance. In Proceedings of the Structural, Syntactic, and Statistical Pattern Recognition, Montreal, QC, Canada, 26–27 August 2022; Krzyzak, A., Suen, C.Y., Torsello, A., Nobile, N., Eds.; Springer International Publishing: Cham, Switzerland, 2022; pp. 233–241. [Google Scholar]
 - Pawlik, M.; Augsten, N. RTED: A Robust Algorithm for the Tree Edit Distance. Proc. VLDB Endow. 2011, 5, 334–345. [Google Scholar] [CrossRef]
 - Pawlik, M.; Augsten, N. Tree Edit Distance: Robust and Memory-Efficient. Inf. Syst. 2016, 56, 157–173. [Google Scholar] [CrossRef]
 - Pawlik, M.; Augsten, N. Minimal Edit-Based Diffs for Large Trees. In Proceedings of the 29th ACM International Conference on Information & Knowledge Management, Virtual Event, 19–23 October 2020; pp. 1225–1234. [Google Scholar]
 - Karpov, N.; Zhang, Q. SyncSignature: A Simple, Efficient, Parallelizable Framework for Tree Similarity Joins. Proc. VLDB Endow. 2022, 16, 330–342. [Google Scholar] [CrossRef]
 - Guo, Z.; Liu, Y. Research on Mathematical Formula Knowledge Base for Formula Recognition. In Proceedings of the 2018 IEEE/WIC/ACM International Conference on Web Intelligence (WI), Santiago, Chile, 3–6 December 2018; IEEE: Manhattan, NY, USA, 2018; pp. 619–622. [Google Scholar]
 - Ferreira, D.; Thayaparan, M.; Valentino, M.; Rozanova, J.; Freitas, A. To Be or Not to Be an Integer? Encoding Variables for Mathematical Text. In Proceedings of the Findings of the Association for Computational Linguistics: ACL 2022, Dublin, Ireland, 22–27 May 2022; Association for Computational Linguistics: Kerrville, TX, USA, 2022; pp. 938–948. [Google Scholar]
 - Wang, M.; Tang, Y.; Wang, J.; Deng, J. Premise Selection for Theorem Proving by Deep Graph Embedding. In Proceedings of the 31st International Conference on Neural Information Processing Systems, Long Beach, CA, USA, 4–9 December 2017; Curran Associates Inc.: Red Hook, NY, USA, 2017; pp. 2783–2793. [Google Scholar]
 - Araújo, A.F.R.; Antonino, V.O.; Ponce-Guevara, K.L. Self-Organizing Subspace Clustering for High-Dimensional and Multi-View Data. Neural Netw. 2020, 130, 253–268. [Google Scholar] [CrossRef] [PubMed]
 - Wan, Y.; Zhong, Y.; Ma, A.; Zhang, L. Multi-Objective Sparse Subspace Clustering for Hyperspectral Imagery. IEEE Trans. Geosci. Remote Sens. 2020, 58, 2290–2307. [Google Scholar] [CrossRef]
 - Cai, Y.; Zhang, Z.; Cai, Z.; Liu, X.; Jiang, X.; Yan, Q. Graph Convolutional Subspace Clustering: A Robust Subspace Clustering Framework for Hyperspectral Image. IEEE Trans. Geosci. Remote Sens. 2021, 59, 4191–4202. [Google Scholar] [CrossRef]
 - Liu, C.; Zhao, Q.; Yan, B.; Elsayed, S.; Sarker, R. Transfer Learning-Assisted Multi-Objective Evolutionary Clustering Framework with Decomposition for High-Dimensional Data. Inf. Sci. 2019, 505, 440–456. [Google Scholar] [CrossRef]
 - Sun, H.; Song, Z.; Chen, Q.; Wang, M.; Tang, F.; Dou, L.; Zou, Q.; Yang, F. MMiKG: A Knowledge Graph-Based Platform for Path Mining of Microbiota–Mental Diseases Interactions. Brief. Bioinform. 2023, 24, bbad340. [Google Scholar] [CrossRef]
 - Huang, K.; Wang, C.; Shi, W. Accurate and Robust Rotation-Invariant Estimation for High-Precision Outdoor AR Geo-Registration. Remote Sens. 2023, 15, 3709. [Google Scholar] [CrossRef]
 - Wang, C.; Huang, K.; Shi, W. An Accurate and Efficient Quaternion-Based Visualization Approach to 2D/3D Vector Data for the Mobile Augmented Reality Map. ISPRS Int. J. Geo-Inf. 2022, 11, 383. [Google Scholar] [CrossRef]
 















| Category | Typical Resources | Advantages | Disadvantages in Resources Management  | 
|---|---|---|---|
| Data products | MODIS, Landsat, Sentinel, AVHRR, etc. | 
  | 
  | 
| Platform software | ArcGIS Pro 3.2 [24], ENVI 5.7 [25], etc. | 
  | 
  | 
| Cloud-based platform | Google Earth Engine (GEE) [26] | 
  | 
  | 
| Specific index calculation tools | ARTMO [27], ExtractEO [28], Remote Sensing Indices Derivation Tool [29]  | 
  | 
  | 
| Index databases | Index DataBase (IDB) [30] | 
  | 
  | 
| Standardized catalog of indices | Awesome Spectral Indices (ASI) [11] | 
  | 
  | 
| Approach | Description | 
|---|---|
| Knowledge graph integration | Utilizing KGs to integrate concepts and knowledge from multiple heterogeneous sources. | 
| Deep learning and ontology reasoning | Integrating deep learning in remote sensing with ontology reasoning techniques from KGs. | 
| Integrating diverse information | Integrating diverse information beyond remote sensing for specific domain problems. | 
| Relationships | Description | 
|---|---|
| Mathematical formulas as KGs | Mathematical formulas can be viewed as a special case of KGs, representing relationships and attributes of modeling systems. | 
| KGs for representing mathematical concepts | KGs can be used to express and manage mathematical concepts and equations, facilitating their organization and comprehension. | 
| Semantic reasoning for mathematical formulas | Semantic reasoning models based on KGs can be used to map the semantics of equations onto the KG. | 
| Information | Value | Comment | 
|---|---|---|
| Name | Normalized difference vegetation index | |
| Abbreviation | NDVI | |
| Definition | A remote sensing index reflecting vegetation coverage | |
| Formula | ||
| Bands | Near-infrared band (NIR), red band (RED). | |
| Band information | NIR = [800; 10; 10], Red = [670; 50; 30] | |
| The studied environmental resources | Vegetation, agriculture, … | |
| References. | [Rouse, J.W.; Haas, R.H.; Schell, J.A.; Deering, D.W. Monitoring Vegetation Systems in the Great Plains with ERTS. Nasa Special Publication 1974, 351, 309–317.] | Ref. [51] | 
| Triple | Description | Relation | Entities | Ontologies | 
|---|---|---|---|---|
| (NDVI, isCalculatedwith, Landsat 8 OLI) | NDVI can be calculated from Landsat 8 OLI | isCalculatedwith | NDVI, Landsat 8 OLI  | Index, Sensor  | 
| (Landsat 8 OLI, ContainBands, Red) | Landsat 8 OLI contains Red band | ContainBands | Landsat 8 OLI, Red  | Sensor, Band  | 
| (Landsat 8 OLI, isAppliedFor, Vegetation) | Landsat 8 OLI is applicable for vegetation resources | isAppliedFor | Landsat 8 OLI, | Sensor, Environmental Resources  | 
| (NDVI, isMeasuredFor, Vegetation) | NDVI is employed for quantifying vegetation health and productivity | isMeasuredFor | NDVI, Vegetation  | Index, Environmental Resources  | 
| (NDVI, isPresentedin, Ref. [51])  | NDVI is presented in Ref. [51] | isPresentedin | NDVI, Ref. [51]  | Index, Reference  | 
| Entity | Property | Description | 
|---|---|---|
| Index | Name | The name representing the index, such as normalized difference vegetation index (NDVI), is utilized. | 
| Formula | The calculation formula representing the index, such as NDVI = (NIR − RED)/(NIR + RED). | |
| Coefficient | The unknown coefficients within the index are typically determined empirically or through fitting. | |
| Abbreviation | The abbreviated form denoting the index name, such as NDVI, EVI, etc. | |
| Sensor | Name | The designation of the sensor, such as Landsat 8 OLI, Sentinel 2 MSI, etc. | 
| Resolution | The spatial resolution of the sensor imagery, such as 30 m, 10 m, etc. | |
| Band | Name | Band names or band ID, such as RED, NIR, SWIR, corresponds to the ontology’s basic categories. | 
| WL_start | The starting wavelength of the electromagnetic wave corresponding to the spectral band | |
| WL_end | The terminating wavelength of the electromagnetic wave corresponding to the spectral band | |
| WL_mid | The mid-wavelength of the electromagnetic wave corresponding to the spectral band. | |
| SpatRes | The spatial resolution of the spectral band is indicated. The unit is in meters. | |
| BandsMath | derivedEqu | The formula for index applied to the sensor’s band operations. | 
| EnvRes | Name | The name of environmental resources, such as Agriculture, Forestry, Metal, Soil. | 
| Description | Descriptive information of environmental resources. | |
| Reference | Title | Title of the reference literature. | 
| Year | Year of publication of the reference literature. | |
| Author | Author(s) of the reference literature. | |
| Journal | The journal in which the reference literature is published. | |
| Keywords | The keywords associated with the reference literature. | 
| Information | Sources | Processing Tools and Methods | 
|---|---|---|
| Meta-information of references (title, authors, publication, etc.)  | Digital PDF files | Automatically extracted by the python library pdf2bib | 
| Equations in references | PDF files | Automatically extracted by the method described in Section 3.4.1. | 
| Equations, meta information from web | Website | Python web scraping libraries (Beautiful Soup, Requests) | 
| Other information that cannot be easily automatically extracted | Data collectors manually input and correct data. | 
| Index | Formula | Distance | Similarity | 
|---|---|---|---|
| NDVI | 0 | 1 | |
| NDVI rededge | 2 | 0.86 | |
| NBR | 2 | 0.86 | |
| NDRE | 2 | 0.86 | |
| MNDVI | 2 | 0.86 | |
| …… | |||
| RDVI | 9 | 0.53 | |
| DmSR | 24 | 0.29 | |
| ARI | 16 | 0 | |
| Ferrous iron | 16 | 0 | 
Disclaimer/Publisher’s Note: The statements, opinions and data contained in all publications are solely those of the individual author(s) and contributor(s) and not of MDPI and/or the editor(s). MDPI and/or the editor(s) disclaim responsibility for any injury to people or property resulting from any ideas, methods, instructions or products referred to in the content.  | 
© 2023 by the authors. Licensee MDPI, Basel, Switzerland. This article is an open access article distributed under the terms and conditions of the Creative Commons Attribution (CC BY) license (https://creativecommons.org/licenses/by/4.0/).
Share and Cite
Wang, C.; Shi, W.; Lv, H. Construction of Remote Sensing Indices Knowledge Graph (RSIKG) Based on Semantic Hierarchical Graph. Remote Sens. 2024, 16, 158. https://doi.org/10.3390/rs16010158
Wang C, Shi W, Lv H. Construction of Remote Sensing Indices Knowledge Graph (RSIKG) Based on Semantic Hierarchical Graph. Remote Sensing. 2024; 16(1):158. https://doi.org/10.3390/rs16010158
Chicago/Turabian StyleWang, Chenliang, Wenjiao Shi, and Hongchen Lv. 2024. "Construction of Remote Sensing Indices Knowledge Graph (RSIKG) Based on Semantic Hierarchical Graph" Remote Sensing 16, no. 1: 158. https://doi.org/10.3390/rs16010158
APA StyleWang, C., Shi, W., & Lv, H. (2024). Construction of Remote Sensing Indices Knowledge Graph (RSIKG) Based on Semantic Hierarchical Graph. Remote Sensing, 16(1), 158. https://doi.org/10.3390/rs16010158
        
