Thermal Discharge Temperature Retrieval and Monitoring of NPPs Based on SDGSAT-1 Images
Abstract
1. Introduction
2. Methodology
2.1. Data Preprocess
2.1.1. Geometric Correction
2.1.2. Radiometric Calibration
2.2. Surface Emissivity Calculation
2.3. Atmospheric Transmissivity Calculation
2.4. SST Retrieval
2.4.1. RTE Algorithm
2.4.2. MW Algorithm
2.4.3. SW Algorithm
2.4.4. NLSST Algorithm
3. Results and Discussion
3.1. Experimental Data
3.2. Results and Discussion
3.2.1. SST Distribution
3.2.2. SST Comparison
- (1)
- MWSST, RTESST, NLSST, and SWSST are all higher than B2/B3-Tsensor by about 3–5 °C.
- (2)
- The SST retrieved from the split-window algorithms (SWSST and NLSST) is generally higher than that of the single-channel algorithms (MWSST and RTESST), which is largely related to the fact that the split-window algorithms can correct atmospheric effect and obtain more accurate SST.
- (3)
- The values of SWSST and NLSST are close to each other, with a small difference of 0.5 °C. It is inferred that the small difference is relevant to the NLSST algorithm’s empirical coefficients, which have not been updated for a long time. The small difference also confirms the theoretical hypothesis stated in Section 2.4.4, which relatively verifies the accuracy of the SW algorithm.
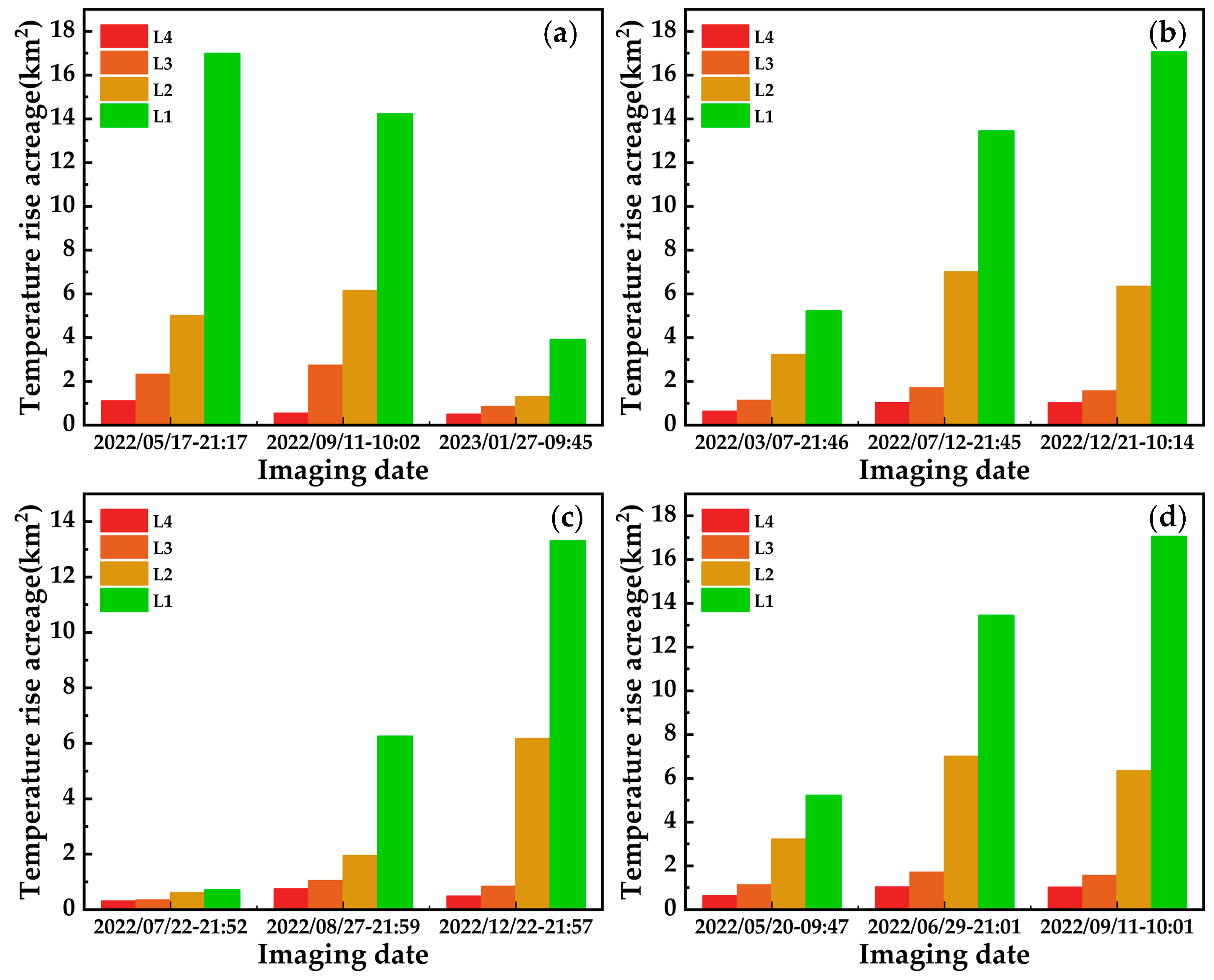
3.2.3. Thermal Discharge Monitoring
- (1)
- Obvious seasonal variation of the temperature rise area is monitored near the outfall of the four NPPs. The proportion of L1 temperature rise area is the largest (about 15 km2 in winter and 5 km2 in summer) and the smallest proportion is the L4 area (about 2 km2 in winter and 0.5 km2 in summer).
- (2)
- The highest temperature difference is about 4 °C, and the total acreage of temperature rise area is about 25 km2, diffusing in a feather-shape to distant natural seas.
- (3)
- The temperature rise areas of different NPPs have obvious distinctions influenced by terrain, climate, wind direction, tides, and geographical location.
4. Conclusions
Author Contributions
Funding
Data Availability Statement
Acknowledgments
Conflicts of Interest
References
- Gaeta, M.G.; Samaras, A.G.; Archetti, R. Numerical investigation of thermal discharge to coastal areas: A case study in South Italy. Environ. Model. Softw. 2020, 124, 104596. [Google Scholar] [CrossRef]
- Donlon, C.; Minnett, P.; Gentemann, C.; Nightingale, T.; Barton, I.; Ward, B.; Murray, M. Toward improved validation of satellite sea surface skin temperature measurements for climate research. J. Clim. 2002, 15, 353–369. [Google Scholar] [CrossRef]
- Schluessel, P.; Emery, W.J.; Grassl, H.; Mammen, T. On the bulk-skin temperature difference and its impact on satellite remote sensing of sea surface temperature. J. Geophys. Res. Ocean. 1990, 95, 13341–13356. [Google Scholar] [CrossRef]
- Fox-Kemper, B.; Hewitt, H.; Xiao, C.; Aðalgeirsdóttir, G.; Drijfhout, S.; Edwards, T.; Golledge, N.; Hemer, M.; Kopp, R.; Krinner, G. Ocean, cryosphere and sea level change. AGU Fall Meet. Abstr. 2021, 2021, U13B-09. [Google Scholar]
- Zhang, Z.; Wang, D.; Cheng, Y.; Gong, F. Long-term changes and factors that influence changes in thermal discharge from nuclear power plants in Daya Bay, China. Remote Sens. 2022, 14, 763. [Google Scholar] [CrossRef]
- Wang, X.; Gong, C.; Hu, Y.; Wang, X.; Li, L.; He, Z. Retrieval of sea surface temperature and thermal discharge monitoring in nuclear power plant using Gaofen-5 satellite remote sensing imagery. J. Appl. Remote Sens. 2022, 16, 012013. [Google Scholar] [CrossRef]
- Tang, D.; Kester, D.R.; Wang, Z.; Lian, J.; Kawamura, H. AVHRR satellite remote sensing and shipboard measurements of the thermal plume from the Daya Bay, nuclear power station, China. Remote Sens. Environ. 2003, 84, 506–515. [Google Scholar] [CrossRef]
- Chen, C.; Shi, P.; Mao, Q. Application of remote sensing techniques for monitoring the thermal pollution of cooling-water discharge from nuclear power plant. J. Environ. Sci. Health Part A 2003, 38, 1659–1668. [Google Scholar] [CrossRef]
- Chelton, D.B.; Wentz, F.J. Global microwave satellite observations of sea surface temperature for numerical weather prediction and climate research. Bull. Am. Meteorol. Soc. 2005, 86, 1097–1116. [Google Scholar] [CrossRef]
- Minnett, P.J.; Barton, I.J. Remote sensing of the earth’s surface temperature. Radiom. Temp. Meas. Ii Appl. 2010, 43, 333–391. [Google Scholar]
- Szczodrak, M.D.; Minnett, P.J. Relative Merits of Optimal Estimation and Non-Linear Retrievals of Sea-Surface Temperature from MODIS. Remote Sens. 2022, 14, 2249. [Google Scholar] [CrossRef]
- Walton, C.C. Nonlinear multichannel algorithms for estimating sea surface temperature with AVHRR satellite data. J. Appl. Meteorol. Climatol. 1988, 27, 115–124. [Google Scholar] [CrossRef]
- Dash, P.; Göttsche, F.-M.; Olesen, F.-S.; Fischer, H. Separating surface emissivity and temperature using two-channel spectral indices and emissivity composites and comparison with a vegetation fraction method. Remote Sens. Environ. 2005, 96, 1–17. [Google Scholar] [CrossRef]
- Nie, P.; Zhu, H.; Xu, H.; Huang, Y.; Hua, W. Monitoring of Tianwan Nuclear Power Plant Thermal Pollution Based on Remotely Sensed Landsat Data. In Proceedings of the IGARSS 2020-2020 IEEE International Geoscience and Remote Sensing Symposium, Waikoloa, HI, USA, 26 September–2 October 2020; pp. 5624–5627. [Google Scholar]
- Zhang, J.; Li, X.; Li, L.; Sun, P.; Su, X.; Hu, T.; Chen, F. Lightweight U-Net for cloud detection of visible and thermal infrared remote sensing images. Opt. Quantum Electron. 2020, 52, 397. [Google Scholar] [CrossRef]
- Minnett, P.; Alvera-Azcárate, A.; Chin, T.; Corlett, G.; Gentemann, C.; Karagali, I.; Li, X.; Marsouin, A.; Marullo, S.; Maturi, E. Half a century of satellite remote sensing of sea-surface temperature. Remote Sens. Environ. 2019, 233, 111366. [Google Scholar] [CrossRef]
- Wick, G.A.; Jackson, D.L.; Castro, S.L. Assessing the ability of satellite sea surface temperature analyses to resolve spatial variability–The northwest tropical Atlantic ATOMIC region. Remote Sens. Environ. 2023, 284, 113377. [Google Scholar] [CrossRef]
- Tanahashi, S.; Kawamura, H.; Matsuura, T.; Takahashi, T.; Yusa, H. Improved estimates of wide-ranging sea surface temperature from GMS S-VISSR data. J. Oceanogr. 2000, 56, 345–358. [Google Scholar] [CrossRef]
- Wu, Y.; Tang, F.; Dai, Y.; Wang, F.; Shi, Y.; Zhang, S. Blend with the Sea Surface Temperature from Different Satellites and Their Comparison in the Southeast Pacific Ocean. J. Ocean Univ. China 2023, 22, 452–458. [Google Scholar] [CrossRef]
- Merchant, C.J.; Le Borgne, P. Retrieval of sea surface temperature from space, based on modeling of infrared radiative transfer: Capabilities and limitations. J. Atmos. Ocean. Technol. 2004, 21, 1734–1746. [Google Scholar] [CrossRef]
- Embury, O.; Merchant, C.J.; Filipiak, M.J. A reprocessing for climate of sea surface temperature from the along-track scanning radiometers: Basis in radiative transfer. Remote Sens. Environ. 2012, 116, 32–46. [Google Scholar] [CrossRef]
- Xuejiao, C.; Yunzhi, C. Mono-window Algorithm Applicability in Fujian Sea and Its Surrounding Areas Sea Surface Temperature Retrieval. Remote Sens. Technol. Appl. 2017, 32, 773–779. [Google Scholar]
- Jiménez-Muñoz, J.C.; Sobrino, J.A. A generalized single-channel method for retrieving land surface temperature from remote sensing data. J. Geophys. Res. Atmos. 2003, 108, 4688. [Google Scholar] [CrossRef]
- Fu, J.; Chen, C.; Guo, B.; Chu, Y.; Zheng, H. A split-window method to retrieving sea surface temperature from Landsat 8 thermal infrared remote sensing data in offshore waters. Estuar. Coast. Shelf Sci. 2020, 236, 106626. [Google Scholar] [CrossRef]
- McMillin, L.M. Estimation of sea surface temperatures from two infrared window measurements with different absorption. J. Geophys. Res. 1975, 80, 5113–5117. [Google Scholar] [CrossRef]
- McMillin, L.; Crosby, D. Theory and validation of the multiple window sea surface temperature technique. J. Geophys. Res. Ocean. 1984, 89, 3655–3661. [Google Scholar] [CrossRef]
- Qin, Z.-H.; Zhang, M.-H.; Karnieli, A.; Berliner, P. Mono-window algorithm for retrieving land surface temperature from Landsat TM6 data. Acta Geogr. Sin. 2001, 56, 456–466. [Google Scholar]
- Hanyue, C.; Li, Z.; Jiaguo, L.; Xieyu, F. A comparison of two mono-window algorithms for retrieving sea surface temperature from Landsat8 data in coastal water of Hongyan River nuclear power station. Remote Sens. Nat. Resour. 2018, 30, 45–53. [Google Scholar]
- Kleespies, T.J.; McMillin, L.M. Determination of Precipitable Water with the AVHRR (Advanced Very High Resolution Radiometer); Air Force Geophysics Lab Hanscom AFB MA: Bedford, MA, USA, 1988. [Google Scholar]
- Hulley, G.C.; Hook, S.J. Generating Consistent Land Surface Temperature and Emissivity Products between ASTER and MODIS Data for Earth Science Research. Geosci. Remote Sens. IEEE Trans. 2011, 49, 1304–1315. [Google Scholar] [CrossRef]
- Gillespie, A.; Rokugawa, S.; Matsunaga, T.; Cothern, J.S.; Hook, S.; Kahle, A.B. A temperature and emissivity separation algorithm for Advanced Spaceborne Thermal Emission and Reflection Radiometer (ASTER) images. IEEE Trans. Geosci. Remote Sens. 1998, 36, 1113–1126. [Google Scholar] [CrossRef]
- Li, L.; Jiang, L.; Zhang, J.; Wang, S.; Chen, F. A complete YOLO-based ship detection method for thermal infrared remote sensing images under complex backgrounds. Remote Sens. 2022, 14, 1534. [Google Scholar] [CrossRef]
- Li, X.; Yang, L.; Su, X.; Hu, Z.; Chen, F. A correction method for thermal deformation positioning error of geostationary optical payloads. IEEE Trans. Geosci. Remote Sens. 2019, 57, 7986–7994. [Google Scholar] [CrossRef]
- Planck, M. The Theory of Heat Radiation. 1914. Available online: https://archive.org/details/theoryofheatradi00planrich (accessed on 21 February 2023).
- Marcq, S.; Delogu, E.; Chapelier, M.; Vidal, T.H. DirecTES: A Direct Method for Land and Sea Surface Temperature and Emissivity Separation for Thermal Infrared Sensors—Application to TRISHNA and ECOSTRESS. Remote Sens. 2023, 15, 517. [Google Scholar] [CrossRef]
- Verdin, J.; Funk, C.; Klaver, R.; Roberts, D. Exploring the correlation between Southern Africa NDVI and Pacific sea surface temperatures: Results for the 1998 maize growing season. Int. J. Remote Sens. 1999, 20, 2117–2124. [Google Scholar] [CrossRef]
- Srivastava, A.; Rodriguez, J.F.; Saco, P.M.; Kumari, N.; Yetemen, O. Global Analysis of Atmospheric Transmissivity Using Cloud Cover, Aridity and Flux Network Datasets. Remote Sens. 2021, 13, 1716. [Google Scholar] [CrossRef]
- Wan, Z.; Li, Z.-L. A physics-based algorithm for retrieving land-surface emissivity and temperature from EOS/MODIS data. IEEE Trans. Geosci. Remote Sens. 1997, 35, 980–996. [Google Scholar]
- Shi, H.; Xiao, Z.; Wen, J.; Wu, S. An Optical–Thermal Surface–Atmosphere Radiative Transfer Model Coupling Framework with Topographic Effects. IEEE Trans. Geosci. Remote Sens. 2020, 60, 1–12. [Google Scholar] [CrossRef]
- Zhu, H.; Li, Q.; Zheng, C.; Hong, Y.; Xu, Z.; Wang, H.; Shen, W.; Kaur, S.; Ghosh, P.; Qiu, M. High-temperature infrared camouflage with efficient thermal management. Light Sci. Appl. 2020, 9, 60. [Google Scholar] [CrossRef] [PubMed]
- Petrenko, B.; Ignatov, A.; Kihai, Y.; Stroup, J.; Dash, P. Evaluation and selection of SST regression algorithms for JPSS VIIRS. J. Geophys. Res. Atmos. 2014, 119, 4580–4599. [Google Scholar] [CrossRef]
- Chen, Y.; Duan, S.-B.; Labed, J.; Li, Z.-L. Development of a split-window algorithm for estimating sea surface temperature from the Chinese Gaofen-5 data. Int. J. Remote Sens. 2019, 40, 1621–1639. [Google Scholar] [CrossRef]



















| Items | Payloads | Wavelength | Revisit | Resolution |
|---|---|---|---|---|
| Microwave | FY-3B MWRI | 10.65/18.7/23.8/36.5/89.0 GHz | 1 day | 15–85 km |
| TRMM TMI | 10.7/19.4/21.3/37.0/85.5 GHz | 1–2 days | 25–50 km | |
| GCOM-W1 AMSR2 | 6–89 GHz | 1–3 days | 31.25 km | |
| DMSP SSM/I | 19.36/22.23/37.0/85.5 GHz | 1 day | 12.5–25 km | |
| Infrared | GOES ABI | 10.5–12.5 µm | 0.5–1 h | 3–10 km |
| FY2S VISSR | 10.3–11.3/11.5–12.5 µm | |||
| Terra MODIS | 10.78–11.28/11.77–12.27 µm | 12 h | 1 km | |
| NOAA AVHRR | 10.3–11.3/11.5–12.5 | 12 h | 1.1 km | |
| ERS-2 ATSR-2 | 10.35–11.35/11.5–12.5 µm | 1–2 days | 1–2 km | |
| FY-3 VIRR | 10.3–11.3/11.5–12.5 µm | 1–4 days | 1.1 km | |
| Sentinel-3 SLSTR | 10.8–12.02 µm | 2 days | 1 km | |
| S-NPP VIIRS | 8–12 µm | 16 days | 750 m | |
| Landsat-7 ETM+ | 10.4–12.5 µm | 1–16 days | 100 m | |
| Landsat-8 TIRS | 10.6–11.19/11.5–12.51 µm | 16 days | ||
| Terra ASTER | 8.125–8.475/8.475–8.825/8.925–9.275/10.25–10.95/10.95–11.65 µm | 16 days | 90 m |
| Payloads | Spectrum (μm) | Resolution (m) | NETD/SNR | Radio-Calibration Precision |
|---|---|---|---|---|
| TIS | B1:8–10.5 | 30 | 0.2 K@300 K | Relative: 5% Absolute: 1 K@300 K |
| B2:10.30–11.3 | ||||
| B3:11.5–12.5 | ||||
| MII | b1:0.374–0.427 | 10 | ≥130 | Relative: 2% Absolute: 5% |
| b2:0.410–0.467 | ≥150 | |||
| b3:0.457–0.529 | ||||
| b4:0.510–0.597 | ||||
| b5:0.618–0.696 | ||||
| b6:0.744–0.813 | ||||
| b7:0.798–0.911 |
| Parameters | TIS-B1 | TIS-B2 | TIS-B3 | TIRS-B10 | TIRS-B11 | MII-Red | MII-NIR |
|---|---|---|---|---|---|---|---|
| gain | 0.003947 | 0.003946 | 0.005329 | 0.000342 | 0.000342 | 0.016096 | 0.019719 |
| bias | 0.167126 | 0.124622 | 0.222530 | 0.1 | 0.1 | 0 | 0 |
| k1 | 1655.628 | 838.706 | 543.058 | 774.89 | 480.89 | ||
| k2 | 1542.762 | 1342.719 | 1232.021 | 1321.08 | 1201.14 | ||
| Regions | Image Name | Acquisition Time | Solar Zenith Angle (°) |
|---|---|---|---|
| TW NPP | TW-TIS-220517 | 21:17 | 113.602 |
| TW-TIS-220615 | 09:54 | 29.476 | |
| TW-TIS-220625 | 10:03 | 29.749 | |
| TW-TIS-220911 | 10:02 | 41.492 | |
| TW-TIS-230111 | 09:56 | 64.582 | |
| TW-TIS-230127 | 09:54 | 61.806 | |
| TW-MII-220504 | |||
| TW-MII-220615 | |||
| TW-MII-220625 | |||
| TW-MII-220911 | |||
| TW-MII-230111 | |||
| TW-MII-230127 | |||
| TW-TIRS-200526 | 08:36 | ||
| LA NPP | LA-TIS-220307 | 21:46 | 135.027 |
| LA-TIS-220625 | 10:06 | 31.078 | |
| LA-TIS-220712 | 21:45 | 120.520 | |
| LA-TIS-221221 | 10:14 | 56.250 | |
| LA-MII-220625 | |||
| LA-MII-221221 | |||
| LA-TIRS-211230 | 10:46 | ||
| YJ NPP | YJ-TIS-220722 | 21:52 | 122.796 |
| YJ-TIS-220827 | 21:59 | 130.618 | |
| YJ-TIS-221211 | 10:14 | 54.269 | |
| YJ-MII-220406 | |||
| YJ-TIRS-211212 | 10:59 | ||
| HY NPP | HY-TIS-220520 | 09:47 | 31.565 |
| HY-TIS-220629 | 21:01 | 104.302 | |
| HY-TIS-220911 | 10:01 | 43.620 | |
| HY-TIS-221117 | 09:48 | 63.627 | |
| HY-TIS-230111 | 09:45 | 68.855 | |
| HY-MII-220520 | |||
| HY-MII-220911 | |||
| HY-MII-221117 | |||
| HY-MII-230111 | |||
| HY-TIRS-211207 | 08:35 |
| Temperature Rise Levels | R | G | B | |
|---|---|---|---|---|
| 40 | 40 | 204 | ||
| L1 | 40 | 204 | 40 | |
| L2 | 204 | 149 | 40 | |
| L3 | 204 | 95 | 40 | |
| L4 | 204 | 40 | 40 |
Disclaimer/Publisher’s Note: The statements, opinions and data contained in all publications are solely those of the individual author(s) and contributor(s) and not of MDPI and/or the editor(s). MDPI and/or the editor(s) disclaim responsibility for any injury to people or property resulting from any ideas, methods, instructions or products referred to in the content. |
© 2023 by the authors. Licensee MDPI, Basel, Switzerland. This article is an open access article distributed under the terms and conditions of the Creative Commons Attribution (CC BY) license (https://creativecommons.org/licenses/by/4.0/).
Share and Cite
Huang, W.; Jiao, J.; Zhao, L.; Hu, Z.; Peng, X.; Yang, L.; Li, X.; Chen, F. Thermal Discharge Temperature Retrieval and Monitoring of NPPs Based on SDGSAT-1 Images. Remote Sens. 2023, 15, 2298. https://doi.org/10.3390/rs15092298
Huang W, Jiao J, Zhao L, Hu Z, Peng X, Yang L, Li X, Chen F. Thermal Discharge Temperature Retrieval and Monitoring of NPPs Based on SDGSAT-1 Images. Remote Sensing. 2023; 15(9):2298. https://doi.org/10.3390/rs15092298
Chicago/Turabian StyleHuang, Wenwen, Jingjie Jiao, Lixing Zhao, Zhuoyue Hu, Xiaohong Peng, Lan Yang, Xiaoyan Li, and Fansheng Chen. 2023. "Thermal Discharge Temperature Retrieval and Monitoring of NPPs Based on SDGSAT-1 Images" Remote Sensing 15, no. 9: 2298. https://doi.org/10.3390/rs15092298
APA StyleHuang, W., Jiao, J., Zhao, L., Hu, Z., Peng, X., Yang, L., Li, X., & Chen, F. (2023). Thermal Discharge Temperature Retrieval and Monitoring of NPPs Based on SDGSAT-1 Images. Remote Sensing, 15(9), 2298. https://doi.org/10.3390/rs15092298

